Exploring the Mechanisms of Ecological Land Change Based on the Spatial Autoregressive Model: A Case Study of the Poyang Lake Eco-Economic Zone, China
Abstract
:1. Introduction
2. Materials and Methods
2.1. Study Area

2.2. Data
2.3. Methods
2.3.1. Global Spatial Autocorrelation
2.3.2. Local Spatial Autocorrelation
2.3.3. Spatial Autoregressive Model
3. Results
3.1. Change of Ecological Land
3.2. Local Spatial Disparities of Ecological Land
3.2.1. Local Moran’s Ii
| Ecological Land Type | 1990 | 2000 | 2005 | |||
|---|---|---|---|---|---|---|
| Area (km2) | Percentage (%) | Area (km2) | Percentage (%) | Area (km2) | Percentage (%) | |
| Forestland | 22,044.98 | 72.17 | 22,056.81 | 72.25 | 22,040.23 | 72.58 |
| Grassland | 2,182.70 | 7.15 | 2,165.48 | 7.09 | 2,127.52 | 7.01 |
| Wetland | 6,318.69 | 20.69 | 6,306.43 | 20.66 | 6,200.45 | 20.42 |
| Ecological land | 30,546.37 | 100.00 | 30,528.72 | 100.00 | 30,368.20 | 100.00 |
| Time period | Moran’s I | E(I) | Mean | ZScore |
|---|---|---|---|---|
| 1990~2000 | 0.2091 * | −0.0323 | 0.0298 | 2.2269 |
| 2000~2005 | 0.1380 * | −0.0323 | −0.0299 | 1.9848 |
| 1990~2005 | 0.1646 * | −0.0323 | −0.0302 | 2.0425 |
| Time period | Minimum | Maximum | Mean | Moran’s Ii (+) | Moran’s Ii(−) | Range |
|---|---|---|---|---|---|---|
| 1990~2000 | −0.8155 | 1.0670 | 0.2025 | 9.2379 | 2.7569 | 1.8825 |
| 2000~2005 | −0.4629 | 1.2356 | 0.1144 | 5.5991 | 1.9398 | 1.6985 |
| 1990~2005 | −0.5106 | 1.3989 | 0.5943 | 7.4170 | 2.3153 | 1.9095 |
3.2.2. Spatial Association and Distribution Features Based on the Local Moran’s Ii

| Time period | Std-Iclc >0 | Std-Iclc <0 | Lag-Iclc >0 | Lag-Iclc <0 | H–H | L–L | L–L | H–L | ||||
|---|---|---|---|---|---|---|---|---|---|---|---|---|
| Ratio | Ratio | Ratio | Ratio | Comparison ratio | Ratio | Comparison ratio | Ratio | Comparison ratio | Ratio | Comparison ratio | Ratio | |
| 1990~2000 | 68.75 | 31.25 | 43.75 | 56.25 | S+L+ | 34.38 | S+L− | 34.38 | S−L− | 21.88 | S−L+ | 9.38 |
| 2000~2005 | 62.50 | 37.50 | 84.38 | 15.63 | S+L+ | 59.38 | S+L− | 3.13 | S−L− | 25.00 | S−L+ | 12.50 |
| 1990~2005 | 71.88 | 28.13 | 40.63 | 59.38 | S+L+ | 37.50 | S+L− | 34.38 | S−L− | 25.00 | S−L+ | 3.13 |


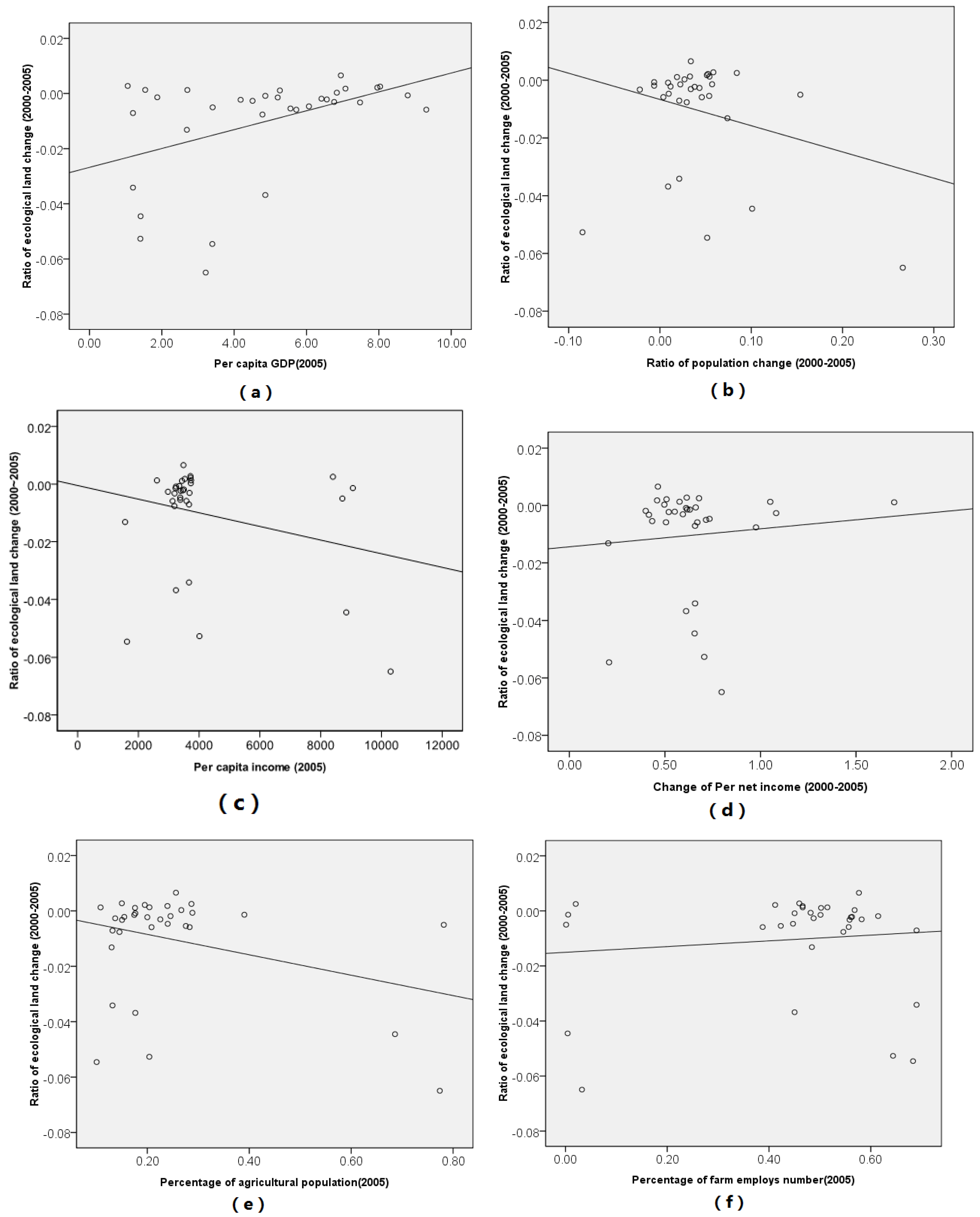
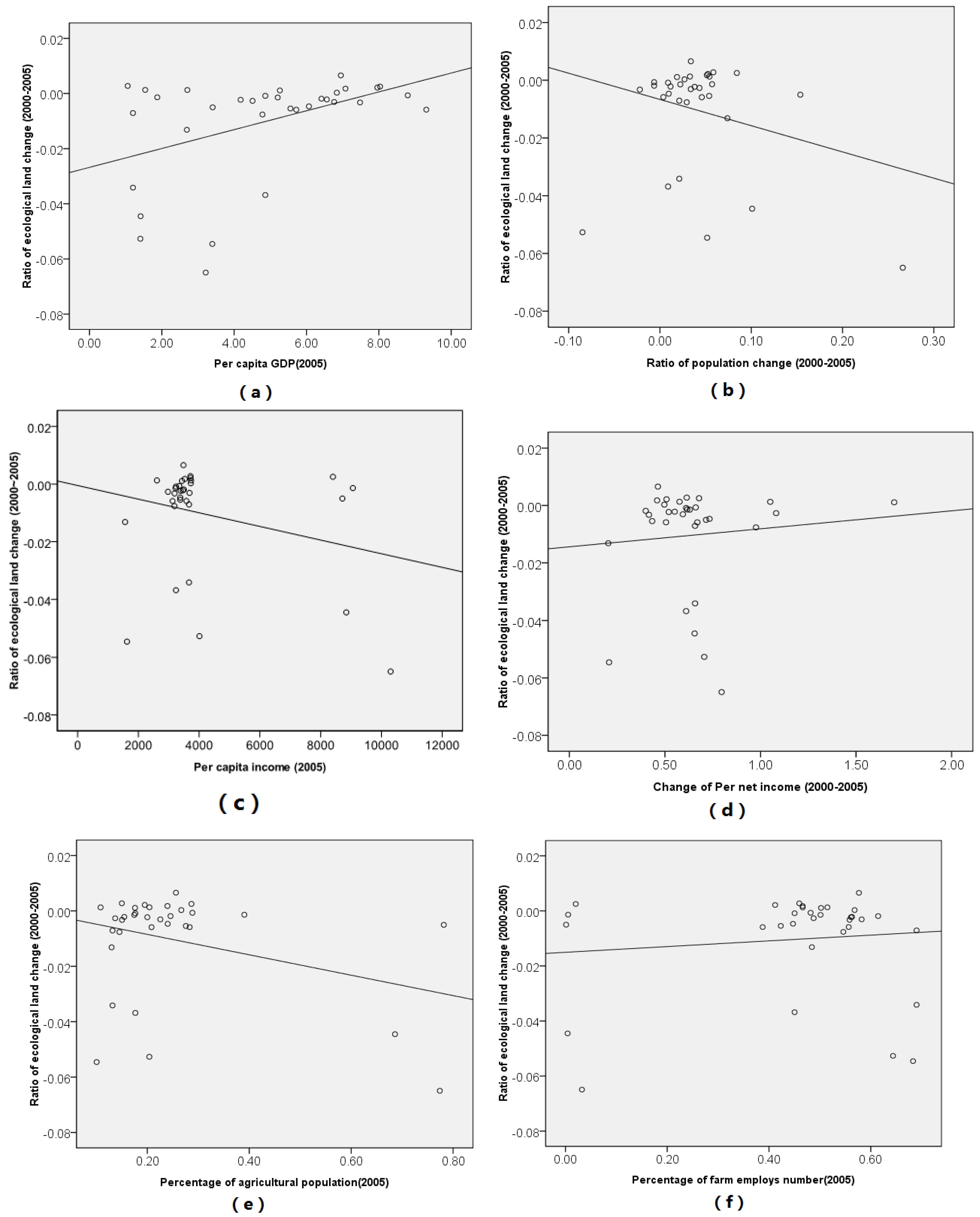
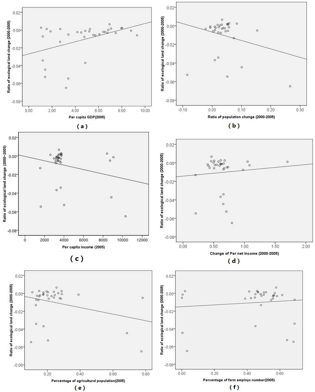
3.3. Influencing Factors of Ecological Land Change

| Model type | R2 or Pseudo R2 | LIK | AIC | SC |
|---|---|---|---|---|
| Linear regression model | 0.416 | 93.476 | −170.953 | −158.981 |
| Spatial lag model | 0.459 | 94.261 | −170.522 | −157.053 |
| Spatial error model | 0.644 | 101.646 | −187.292 | −175.319 |
| Variable | Coefficient | Std. Error | t Statistic | Probability |
| (A) Linear regression model | ||||
| Constant | 0.016 | 0.029 | 0.540 | 0.594 |
| Per capita GDP (104¥/per) | 0.002 | 0.001 | 1.881 | 0.072 |
| Ratio of population growth (2000–2005) (%) | −0.037 | 0.079 | −0.474 | 0.639 |
| Mean altitude (m) | 6.42E−05 | 4.44E−05 | 1.447 | 0.160 |
| Percentage of agricultural population (%) | −0.053 | 0.037 | −1.435 | 0.164 |
| Percentage of farm employees number (%) | −0.055 | 0.0339 | −1.657 | 0.110 |
| Per capita net income (¥/per) | −2.41E−06 | 3.66E−06 | −0.659 | 0.516 |
| Change of per capita net income (2000–2005) (¥/per) | 0.008 | 0.011 | 0.725 | 0.475 |
| Variable | Coefficient | Std. Error | Z Statistic | Probability |
| (B) Spatial lag model | ||||
| Ρ | −0.366 | 0.239 | −1.529 | 0.126 |
| Constant | 0.019 | 0.025 | 0.793 | 0.428 |
| Per capita GDP (104¥/per) | 0.003 | 0.001 | 2.725 | 0.006 |
| Ratio of population growth (2000–2005) (%) | −0.055 | 0.067 | −0.823 | 0.411 |
| Mean altitude (m) | 7.70E−05 | 3.86E−05 | 1.995 | 0.046 |
| Percentage of agricultural population (%) | −0.056 | 0.0312 | −1.779 | 0.075 |
| Percentage of farm employees number (%) | −0.072 | 0.029 | −2.495 | 0.013 |
| Per capita net income (¥/per) | −3.15E−06 | 3.15E−06 | −0.999 | 0.317 |
| Change of per capita net income (2000–2005) (¥/per) | 0.009 | 0.009 | 0.963 | 0.335 |
| Variable | Coefficient | Std. Error | Z Statistic | Probability |
| (C) Spatial error model | ||||
| Λ | −0.828 | 0.240 | −3.447 | 0.001 |
| Constant | 0.019 | 0.020 | 0.937 | 0.348 |
| Per capita GDP (104¥/per) | 0.004 | 0.000 | 3.888 | 0.000 |
| Ratio of population growth (2000–2005) (%) | −0.061 | 0.062 | −0.986 | 0.324 |
| Mean altitude(m) | 4.37E−05 | 3.20E−05 | 1.3666 | 0.172 |
| Percentage of agricultural population (%) | −0.069 | 0.029 | −2.362 | 0.018 |
| Percentage of farm employees number (%) | −0.070 | 0.022 | −3.132 | 0.002 |
| Per capita net income (¥/per) | −8.63E−07 | 2.44E−06 | −0.354 | 0.724 |
| Change of per capita net income (2000–2005) (¥/per) | 0.007 | 0.006 | 1.170 | 0.242 |
4. Discussion and Conclusions
Acknowledgments
Conflicts of Interest
References
- Eloy, L.; Meral, P.; Ludewigs, T.; Pinheiro, G.T.; Singer, B. Payments for ecosystem services in Amazonia. The challenge of land use heterogeneity in agricultural frontiers near Cruzeiro do Sul (Acre, Brazil). J. Environ. Plan. Manag. 2012, 55, 685–703. [Google Scholar] [CrossRef]
- Scholz, M.; Hedmark, Å.; Hartley, W. Recent advances in sustainable multifunctional land and urban management in Europe: A review. J. Environ. Plan. Manag. 2012, 55, 833–854. [Google Scholar] [CrossRef]
- Vitousek, P.M.; Mooney, H.A.; Lubchenco, J.; Melillo, J.M. Human domination of Earth’s ecosystems. Science 1997, 277, 494–499. [Google Scholar] [CrossRef]
- Xie, H.; Kung, C.-C.; Zhang, Y.; Li, X. Simulation of regionally ecological land based on a cellular automation model: A case study of Beijing, China. Int. J. Environ. Res. Public Health 2012, 9, 2986–3001. [Google Scholar] [CrossRef]
- Li, X. Core of Global environmental change research: Frontier in land use and coverage change. Acta Geogr. Sin. 1996, 51, 553–558. [Google Scholar]
- Hynes, S.; Campbell, D. Estimating the welfare impacts of agricultural landscape change in Ireland: A choice experiment approach. J. Environ. Plan. Manag. 2011, 54, 1019–1039. [Google Scholar] [CrossRef]
- Ebanyat, P.; de Ridder, N.; de Jager, A.; Delve, R.J.; Bekunda, M.A.; Giller, K.E. Drivers of land use change and household determinants of sustainability in smallholder farming systems of Eastern Uganda. Popul. Environ. 2010, 31, 474–506. [Google Scholar] [CrossRef]
- VanWey, L.K.; Guedes, G.R.; D’Antona, A.O. Out-migration and land-use change in agricultural frontiers: Insights from Altamira settlement project. Popul. Environ. 2012, 34, 44–68. [Google Scholar] [CrossRef]
- Zhang, M. Projections of water demand in view of changing land use patterns in Beijing Municipality. Popul. Environ. 2012, 33, 221–232. [Google Scholar] [CrossRef]
- Tan, M.H.; Li, X.B.; Lu, C.H.; Luo, W.; Kong, X.B.; Ma, S.H. Urban population densities and their policy implications in China. Habitat Int. 2008, 32, 471–484. [Google Scholar] [CrossRef]
- Liu, Y.B.; Yao, C.S.; Wang, G.X.; Bao, S.M. An integrated sustainable development approach to modeling the eco-environmental effects from urbanization. Ecol. Indic. 2011, 11, 1599–1608. [Google Scholar] [CrossRef]
- Tan, M. Urbanization in China: Critical issues in an era of rapid growth. Land Use Pol. 2009, 26, 856–856. [Google Scholar] [CrossRef]
- Anselin, L.; Sridharan, S.; Gholston, S. Using exploratory spatial data analysis to leverage social indicator databases: The discovery of interesting patterns. Soc. Indic. Res. 2007, 82, 287–309. [Google Scholar] [CrossRef]
- Ertur, C.; Koch, W. Regional disparities in the European Union and the enlargement process: An exploratory spatial data analysis, 1995–2000. Ann. Reg. Sci. 2006, 40, 723–765. [Google Scholar] [CrossRef]
- Gaither, C.J.; Poudyal, N.C.; Goodrick, S.; Bowker, J.M.; Malone, S.; Gan, J.B. Wildland fire risk and social vulnerability in the Southeastern United States: An exploratory spatial data analysis approach. For. Policy Econ. 2011, 13, 24–36. [Google Scholar] [CrossRef]
- Gray, D. District house price movements in England and Wales 1997–2007: An exploratory spatial data analysis approach. Urban Stud. 2012, 49, 1411–1434. [Google Scholar] [CrossRef]
- Guillain, R.; Le Gallo, J. Agglomeration and dispersion of economic activities in and around Paris: An exploratory spatial data analysis. Environ. Plan. B Plan. Des. 2010, 37, 961–981. [Google Scholar] [CrossRef]
- Haining, R.; Wise, S.; Ma, J.S. Exploratory spatial data analysis in a geographic information system environment. J. R. Stat. Soc. 1998, 47, 457–469. [Google Scholar]
- Peeters, L.; Bacao, R.; Lobo, V.; Dassargues, A. Exploratory data analysis and clustering of multivariate spatial hydrogeological data by means of GEO3DSOM, a variant of Kohonen’s Self-Organizing Map. Hydrol. Earth Syst. Sci. 2007, 11, 1309–1321. [Google Scholar] [CrossRef]
- Hughes-Oliver, J.M.; Heo, T.Y.; Ghosh, S.K. An autoregressive point source model for spatial processes. Environmetrics 2009, 20, 575–594. [Google Scholar] [CrossRef]
- Olea, P.P. Analysing spatial and temporal variation in colony size: An approach using autoregressive mixed models and information theory. Popul. Ecol. 2009, 51, 161–174. [Google Scholar] [CrossRef]
- Tognelli, M.F.; Kelt, D.A. Analysis of determinants of mammalian species richness in South America using spatial autoregressive models. Ecography 2004, 27, 427–436. [Google Scholar] [CrossRef]
- Tu, J.; Xia, Z.G. Examining spatially varying relationships between land use and water quality using geographically weighted regression I: Model design and evaluation. Sci. Total Environ. 2008, 407, 358–378. [Google Scholar] [CrossRef]
- Jones, A.L.; Smart, P.L. Spatial and temporal changes in the structure of groundwater nitrate concentration time series (1935–1999) as demonstrated by autoregressive modelling. J. Hydrol. 2005, 310, 201–215. [Google Scholar] [CrossRef]
- Xie, H.; Liu, L.; Li, B.; Zhang, X. Spatial autocorrelation analysis of multi-scale land-use changes: A case study in Ongniud Banner, Inner Mongolia. Acta Geogr. Sin. 2006, 61, 389–400. [Google Scholar]
- Kim, S.E.; Niemeier, D. A weighted autoregressive model to improve mobile emissions estimates for locations with spatial dependence. Transp. Sci. 2001, 35, 413–424. [Google Scholar] [CrossRef]
- Xie, H.; Zou, J.; Peng, X. Spatial-temporal difference analysis of cultivated land use intensity based on emergy in Poyang Lake Eco-economic Zone. Acta Geogr. Sin. 2012, 67, 889–902. [Google Scholar]
- Thematic Satabase for Human-earth System. Available online: http://www.data.ac.cn/ (accessed on 25 October 2013).
- Anselin, L. Spatial Econometrics: Methods and Models; Kluwer Academic Publishers: Dordrecht, The Netherlands, 1988. [Google Scholar]
- Anselin, L. Local indicators of spatial association-LISA. Geogr. Anal. 1995, 27, 93–115. [Google Scholar] [CrossRef]
- Getis, A.; Ord, J.K. The analysis of spatial association by use of distance statistics. Geogr. Anal. 1992, 24, 189–206. [Google Scholar] [CrossRef]
- Geary, R.C. The Contiguity Ratio and Statistical Mapping. Inc. Stat. 1954, 5, 115–145. [Google Scholar]
© 2013 by the authors; licensee MDPI, Basel, Switzerland. This article is an open access article distributed under the terms and conditions of the Creative Commons Attribution license (http://creativecommons.org/licenses/by/3.0/).
Share and Cite
Xie, H.; Liu, Z.; Wang, P.; Liu, G.; Lu, F. Exploring the Mechanisms of Ecological Land Change Based on the Spatial Autoregressive Model: A Case Study of the Poyang Lake Eco-Economic Zone, China. Int. J. Environ. Res. Public Health 2014, 11, 583-599. https://doi.org/10.3390/ijerph110100583
Xie H, Liu Z, Wang P, Liu G, Lu F. Exploring the Mechanisms of Ecological Land Change Based on the Spatial Autoregressive Model: A Case Study of the Poyang Lake Eco-Economic Zone, China. International Journal of Environmental Research and Public Health. 2014; 11(1):583-599. https://doi.org/10.3390/ijerph110100583
Chicago/Turabian StyleXie, Hualin, Zhifei Liu, Peng Wang, Guiying Liu, and Fucai Lu. 2014. "Exploring the Mechanisms of Ecological Land Change Based on the Spatial Autoregressive Model: A Case Study of the Poyang Lake Eco-Economic Zone, China" International Journal of Environmental Research and Public Health 11, no. 1: 583-599. https://doi.org/10.3390/ijerph110100583
APA StyleXie, H., Liu, Z., Wang, P., Liu, G., & Lu, F. (2014). Exploring the Mechanisms of Ecological Land Change Based on the Spatial Autoregressive Model: A Case Study of the Poyang Lake Eco-Economic Zone, China. International Journal of Environmental Research and Public Health, 11(1), 583-599. https://doi.org/10.3390/ijerph110100583

