Bioactive Cembranoids from the Dongsha Atoll Soft Coral Sarcophyton crassocaule
Abstract
:1. Introduction
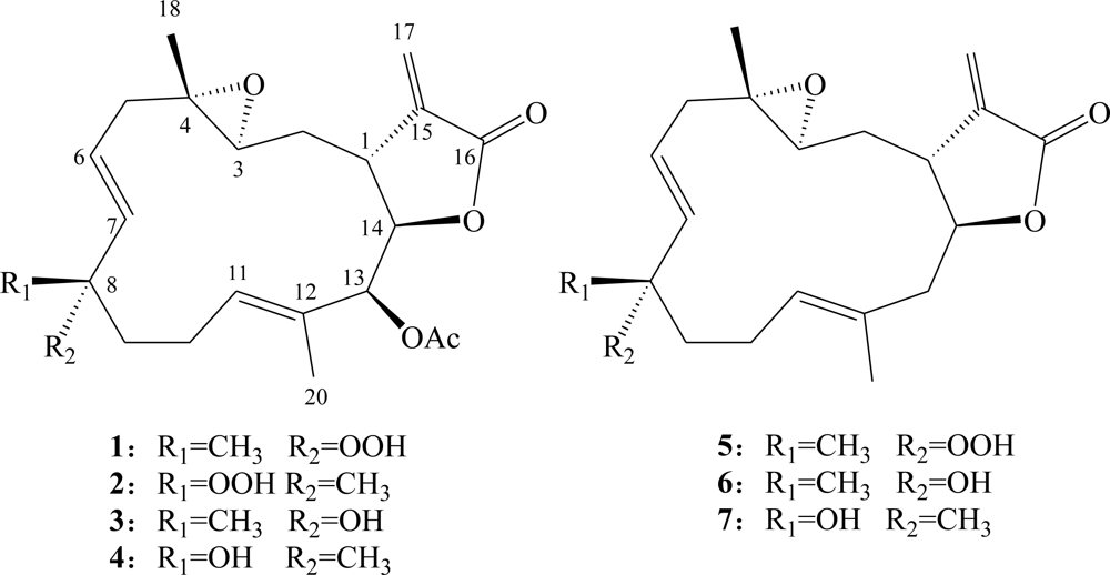
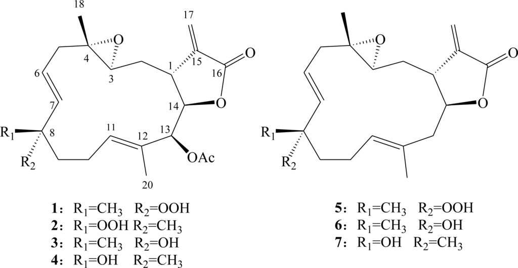
2. Results and Discussion
3. Experimental Section
3.1. General Experimental Procedures
3.2. Animal Material
3.3. Extraction and Separation
3.4. Cytotoxicity Testing
3.5. In Vitro Anti-Inflammatory Assay
Supporting Information
marinedrugs-09-00994-s001.pdfAcknowledgments
- Samples Availability: Not available.
References
- Bishara, A; Rudi, A; Benayahu, Y; Kashman, Y. Three biscembranoids and their monomeric counterpart cembranoid, a biogenetic diels-alder precursor, from the soft coral. Sarcophyton elegans J Nat Prod 2007, 70, 1951–1954. [Google Scholar]
- Bensemhoun, J; Rudi, A; Bombarda, I; Gaydou, EM; Kashman, Y; Aknin, M. Flexusines A and B and epimukulol from the soft coral. Sarcophyton flexuosum J Nat Prod 2008, 71, 1262–1264. [Google Scholar]
- Marrero, J; Benítez, J; Rodríguez, AD; Zhao, H; Raptis, RG. Bipinnatins K–Q, Minor cembrane-type diterpenes from the west Indian gorgonian Pseudopterogorgia kallos: Isolation, structure assignment, and evaluation of biological activities. J Nat Prod 2008, 71, 381–389. [Google Scholar]
- Shi, Y-P; Rodríguez, AD; Barnes, CL; Sánchez, JA; Raptis, RG; Baran, P. New terpenoid constituents from Eunicea pinta. J Nat Prod 2002, 65, 1232–1241. [Google Scholar]
- Rashid, MA; Gustafson, KR; Boyd, MR. HIV-inhibitory cembrane derivatives from a Philippines collection of the soft coral Lobophytum species. J Nat Prod 2000, 63, 531–533. [Google Scholar]
- König, GM; Wright, AD. New cembranoid diterpenes from the soft coral. Sarcophyton ehrenbergi J Nat Prod 1998, 61, 494–496. [Google Scholar]
- Iwashima, M; Matsumoto, Y; Takahashi, H; Iguchi, K. New marine cembrane-type diterpenoids from the Okinawan soft coral. Clavularia koellikeri J Nat Prod 2000, 63, 1647–1652. [Google Scholar]
- Iguchi, K; Fukaya, T; Takahashi, H; Watanabe, K. Stolonilactone, a novel terpenoid-related compound, isolated from the Okinawan soft coral. Clavularia koellikeri J Org Chem 2004, 69, 4351–4355. [Google Scholar]
- Su, J-H; Ahmed, AF; Sung, P-J; Chao, C-H; Kuo, Y-H; Sheu, J-H. Manaarenolides A–I, new diterpenoids from the soft coral. Sinularia manaarensis J Nat Prod 2006, 69, 1134–1139. [Google Scholar]
- Lu, Y; Huang, C-Y; Lin, Y-F; Wen, Z-H; Su, J-H; Kuo, Y-H; Chiang, MY; Sheu, J-H. Anti-inflammatory cembranoids from the soft corals Sinularia querciformis and Sinularia granosa. J Nat Prod 2008, 71, 1754–1759. [Google Scholar]
- Ahmed, AF; Tai, S-H; Wen, Z-H; Su, J-H; Wu, Y-C; Hu, W-P; Sheu, J-H. A C-3 methylated isocembranoid and 10-oxocembranoids from a Formosan soft coral. Sinularia grandilobata J Nat Prod 2008, 71, 946–951. [Google Scholar]
- Ahmed, AF; Wen, Z-H; Su, J-H; Hsieh, Y-T; Wu, Y-C; Hu, W-P; Sheu, J-H. Oxygenated cembranoids from a Formosan soft coral Sinularia gibberosa. J Nat Prod 2008, 71, 179–185. [Google Scholar]
- Su, J-H; Lin, Y-F; Lu, Y; Huang, C-Y; Wang, W-H; Fang, T-Y; Sheu, J-H. Oxygenated cembranoids from the cultured and wild-type soft corals Sinularia flexibilis. Chem Pharm Bull 2009, 57, 1189–1192. [Google Scholar]
- Lu, Y; Su, J-H; Hsieh, C-H; Liu, Y-C; Kuo, Y-H; Wen, Z-H; Hsu, C-H; Sheu, J-H. Cembranoids from the soft corals Sinularia granosa and Sinularia querciformis. Chem Pharm Bull 2010, 58, 464–466. [Google Scholar]
- Chen, B-W; Chao, C-H; Su, J-H; Huang, C-Y; Dai, C-F; Wen, Z-H; Sheu, J-H. A novel symmetric sulfur-containing biscembranoid from the Formosan soft coral Sinularia flexibilis. Tetrahedron Lett 2010, 44, 5764–5766. [Google Scholar]
- Cheng, S-Y; Wen, Z-H; Wang, S-K; Chiou, S-F; Hsu, C-H; Dai, C-F; Chiang, MY; Duh, C-Y. Unprecedented hemiketal cembranolides with anti-inflammatory activity from the soft coral. Lobophytum durum J Nat Prod 2009, 72, 152–155. [Google Scholar]
- Chao, C-H; Wen, Z-H; Wu, Y-C; Yeh, H-C; Sheu, J-H. Cytotoxic and anti-inflammatory cembranoids from the soft coral Lobophytum crassum. J Nat Prod 2008, 71, 1819–1824. [Google Scholar]
- Huang, H-C; Ahmed, AF; Su, J-H; Wu, Y-C; Chiang, MY; Sheu, J-H. Crassocolides A–F, new cembranoids with a trans-fused lactone from the soft coral. Sarcophyton crassocaule J Nat Prod 2006, 69, 1554–1559. [Google Scholar]
- Huang, H-C; Chao, C-H; Kuo, Y-H; Sheu, J-H. Crassocolides G–M, cembranoids from a Formosan soft coral Sarcophyton crassocaule. Chem Biodivers 2009, 6, 1232–1242. [Google Scholar]
- Cheng, Y-B; Shen, Y-C; Kuo, Y-H; Khalil, AT. Cembrane diterpenoids from the Taiwanese soft coral. Sarcophyton stolidotum J Nat Prod 2008, 71, 1141–1145. [Google Scholar]
- Cheng, S-Y; Wang, S-K; Chiou, S-F; Hsu, C-H; Dai, C-F; Chiang, MY; Duh, C-Y. Cembranoids from the octocoral. Sarcophyton ehrenbergi J Nat Prod 2010, 73, 197–203. [Google Scholar]
- Sheu, J-H; Wang, G-H; Sung, P-J; Duh, C-Y; Chiang, MY. Pachyclavulariolides G–L and secopachyclavulariaenone A, seven novel diterpenoids from the soft coral Pachycalvularia violacea. Tetrahedron 2001, 57, 7639–7648. [Google Scholar]
- Sheu, J-H; Wang, G-H; Duh, C-Y; Soong, K. Pachyclavulariolides M-R, six novel diterpenoids from a Taiwanese soft coral Pachyclavularia violacea. J Nat Prod 2003, 66, 662–666. [Google Scholar]
- Lin, W-Y; Su, J-H; Lu, Y; Wen, Z-H; Dai, C-F; Kuo, Y-H; Sheu, J-H. Cytotoxic and Anti-inflammatory cembranoids from the Dongsha Atoll soft coral Sarcophyton crassocaule. Bioorg Med Chem 2010, 18, 1936–1941. [Google Scholar]
- Alley, MC; Scudiero, DA; Monks, A; Hursey, ML; Czerwinski, MJ; Fine, DL; Abbott, BJ; Mayo, JG; Shoemaker, RH; Boyd, MR. Feasibility of drug screening with panels of human tumor cell lines using a microculture tetrazolium assay. Cancer Res 1988, 48, 589–601. [Google Scholar]
- Scudiero, DA; Shoemaker, RH; Paull, KD; Monks, A; Tierney, S; Nofziger, TH; Currens, MJ; Seniff, D; Boyd, MR. Evaluation of a soluble tetrazolium/formazan assay for cell growth and drug sensitivity in culture using human and other tumor cell lines. Cancer Res 1988, 48, 4827–4833. [Google Scholar]
- Jean, Y-H; Chen, W-F; Sung, C-S; Duh, C-Y; Huang, S-Y; Lin, C-S; Tai, M-H; Tzeng, S-F; Wen, Z-H. Capnellene, a natural marine compound derived from soft coral, attenuates chronic constriction injury-induced neuropathic pain in rats. Br J Pharmacol 2009, 158, 713–725. [Google Scholar]
- Jean, Y-H; Chen, W-F; Duh, C-Y; Huang, S-Y; Hsu, C-H; Lin, C-S; Sung, C-S; Chen, I-M; Wen, Z-H. Inducible nitric oxide synthase and cyclooxygenase-2 participate in anti-inflammatory and analgesic effects of the natural marine compound lemnalol from Formosan soft coral. Lemnalia cervicorni Eur J Pharmacol 2008, 578, 323–331. [Google Scholar]





| 1 a | 2 b | 3 b | 4 b | 5 a | 6 a | 7 a | |
|---|---|---|---|---|---|---|---|
| 1 | 37.7, CH c | 38.7, CH | 38.2, CH | 38.2, CH | 41.7, CH | 41.6, CH | 41.4, CH |
| 2 | 35.2, CH2 | 35.2, CH2 | 36.0, CH2 | 34.5, CH2 | 32.9, CH2 | 32.9, CH2 | 32.3, CH2 |
| 3 | 59.2, CH | 58.7, CH | 59.2, CH | 59.1, CH | 59.6, CH | 59.1, CH | 59.4, CH |
| 4 | 59.1, qC | 59.0, qC | 59.4, qC | 59.5, qC | 60.2, qC | 60.1, qC | 60.5, qC |
| 5 | 38.6, CH2 | 38.6, CH2 | 39.2, CH2 | 38.8, CH2 | 40.1, CH2 | 39.8, CH2 | 39.8, CH2 |
| 6 | 124.7, CH | 125.0, CH | 121.2, CH | 121.5, CH | 125.7, CH | 121.8, CH | 121.0, CH |
| 7 | 136.4, CH | 136.9, CH | 138.9, CH | 140.7, CH | 136.1, CH | 140.1, CH | 140.9, CH |
| 8 | 84.4, qC | 85.2, qC | 72.9, qC | 73.1, qC | 84.9, qC | 73.0, qC | 73.0, qC |
| 9 | 38.7, CH2 | 37.1, CH2 | 42.3, CH2 | 42.0, CH2 | 37.7, CH2 | 44.6, CH2 | 41.6, CH2 |
| 10 | 22.0, CH2 | 21.4, CH2 | 22.0, CH2 | 21.8, CH2 | 21.7, CH2 | 22.1, CH2 | 22.2, CH2 |
| 11 | 128.7, CH | 128.3, CH | 128.1, CH | 130.1, CH | 130.6, CH | 131.1, CH | 130.5, CH |
| 12 | 128.7, qC | 129.3, qC | 127.7, qC | 128.6, qC | 129.1, qC | 129.1, qC | 129.2, qC |
| 13 | 77.1, CH | 77.3, CH | 76.4, CH | 77.4, CH | 44.1, CH2 | 44.6, CH2 | 43.3, CH2 |
| 14 | 81.1, CH | 81.4, CH | 81.3, CH | 82.0, CH | 81.3, CH | 82.3, CH | 82.8, CH |
| 15 | 139.3, qC | 139.1, qC | 138.1, qC | 139.0, qC | 139.0, qC | 139.0, qC | 139.1, qC |
| 16 | 169.3, qC | 169.3, qC | 167.4, qC | 169.4, qC | 169.6, qC | 169.6, qC | 169.7, qC |
| 17 | 121.1, CH2 | 122.2, CH2 | 121.1, CH2 | 121.8, CH2 | 122.4, CH2 | 122.4, CH2 | 122.0, CH2 |
| 18 | 18.2, CH3 | 18.2, CH3 | 19.3, CH3 | 18.0, CH3 | 17.6, CH3 | 17.6, CH3 | 17.6, CH3 |
| 19 | 23.5, CH3 | 20.9, CH3 | 31.2, CH3 | 28.4, CH3 | 22.3, CH3 | 29.8, CH3 | 29.4, CH3 |
| 20 | 15.2, CH3 | 15.2, CH3 | 16.4, CH3 | 14.6, CH3 | 17.0, CH3 | 16.9, CH3 | 17.2, CH3 |
| OAc | 20.8, CH3 | 20.8, CH3 | 21.8, CH3 | 20.8, CH3 | |||
| 169.1, qC | 169.3, qC | 167.4, qC | 169.3, qC |
| 1 a | 2 b | 3 b | 4 b | |
|---|---|---|---|---|
| 1 | 3.10 dt (12.0, 2.5) c | 3.13 dt (11.6, 2.4) | 3.11 dt (11.6, 2.8) | 3.04 ddd (11.2, 4.4, 2.4) |
| 2 | 1.84 ddd (14.5, 4.5,2.5) c | 1.86 m | 1.82 ddd (15.2, 5.6, 2.8) | 1.85 m |
| 1.69 ddd (14.5, 12.0, 7.0) | 1.71 m | 1.72 m | 1.74 m | |
| 3 | 2.57 dd (6.5, 4.5) | 2.58 dd (6.8, 4.8) | 2.59 t (5.6) | 2.64 t (6.4) |
| 5 | 2.48 dd (14.5, 7.5) | 2.50 dd (15.2, 6.4); | 2.46 t (2.8) | 2.51 dd (14.4, 6.4) |
| 2.27 dd (14.5, 7.5) | 2.30 dd (15.2, 6.4) | 2.24 t (2.4) | 2.21 dd (11.6, 14.4) | |
| 6 | 5.49 dt (16.0, 7.5) | 5.52 dt (16.0, 6.4) | 5.51 m | 5.51 ddd (16.0, 8.0, 6.4) |
| 7 | 5.59 d (16.0) | 5.54 d (16.0) | 5.49 m | 5.60 d (16.0) |
| 9 | 2.22 ddd (14.5, 10.5, 5.0) | 1.91 m | 2.04 brs | 1.87 m |
| 1.37 dt (10.5, 5.0) | 1.56 m | 1.45 m | 1.60 m | |
| 10 | 2.39 ddt (17.0, 10.5, 5.0) | 2.04 m | 2.34 m | 2.15 m |
| 2.02 brs | 2.05 brs | 2.07 m | ||
| 11 | 5.28 dd (7.0, 1.0) | 5.30 brs | 5.30 d (8.4) | 5.41 m |
| 13 | 5.38 s | 5.37 s | 5.38 s | 5.40 brs |
| 14 | 4.62 t (3.0) | 4.57 t (2.8) | 4.60 t (2.8) | 4.59 dd (4.4, 2.4) |
| 17 | 6.30 d (2.5) | 6.32 d (2.4) | 6.31 d (2.0) | 6.30 d (2.4) |
| 5.64 d (2.5) | 5.67 d (2.4) | 5.65 d (2.0) | 5.62 d (2.4) | |
| 18 | 1.30 s | 1.31 s | 1.30 s | 1.32 s |
| 19 | 1.41 s | 1.35 s | 1.34 s | 1.30 s |
| 20 | 1.76 s | 1.73 s | 1.75 s | 1.71 s |
| 8-OOH | 7.42 s | |||
| 13-OAc | 2.02 s | 2.03 s | 2.02 s | 2.04 s |
| 5 a | 6 a | 7 a | |
|---|---|---|---|
| 1 | 2.80 ddd (10.5, 5.0, 3.0) c | 2.79 ddd (10.5, 5.5, 3.0) | 2.84 ddd (10.5, 5.5, 2.5) |
| 2 | 1.83 ddd (15.5, 10.5, 5.5) | 1.90 m | 1.83 m |
| 1.78 ddd (15.5, 7.0, 3.0) | 1.75 ddd (14.5, 7.5, 3.0) | ||
| 3 | 2.66 dd (7.0, 5.5) | 2.71 dd (7.5, 4.5) | 2.71 t (6.0) |
| 5 | 2.60 dd(14.0, 5.0) | 2.58 m | 2.58 dd (15.0, 6.0) |
| 2.15 dd (14.0, 6.5) | 2.15 ddd (26.0, 10.5, 3.0) | 2.12 dd (15.0, 8.0) | |
| 6 | 5.57 ddd (16.0, 6.5, 5.0) | 5.53 m | 5.53 ddd (16.0, 8.0, 6.0) |
| 7 | 5.58 d (16.0) | 5.55 d (16.0) | 5.61 d (16.0) |
| 9 | 2.04 m | 1.91 m | 1.73 m |
| 1.51 m | 1.57 m | ||
| 10 | 2.34 dt (13.5, 8.0) | 2.28 d (8.0) | 2.19 m |
| 2.02 m | 2.06 m | 2.09 m | |
| 11 | 5.23 brs | 5.24 t (6.5) | 5.29 t (7.0) |
| 13 | 2.58 dd (14.0, 5.0) | 2.59 dd (15.0, 5.5) | 2.55 dd (15.0, 6.0) |
| 2.25 dd (14.0, 8.0) | 2.26 d (8.0) | 2.35 dd (15.0, 6.0) | |
| 14 | 4.49 dt (8.0, 5.0) | 4.47 dt (8.0, 5.5) | 4.47 q (6.0) |
| 17 | 6.32 d (2.5) | 6.33 d (2.5) | 6.31 d (3.0) |
| 5.62 d (2.5) | 5.63 d (2.5) | 5.60 brs | |
| 18 | 1.32 s | 1.33 s | 1.34 s |
| 19 | 1.40 s | 1.32 s | 1.30 s |
| 20 | 1.67 s | 1.67 s | 1.65 s |
| 13-OAc |
| Compound | Daoy | HEp-2 | MCF-7 | WiDr |
|---|---|---|---|---|
| 1 | 7.3 ± 1.7 | 15.0 ± 1.9 | 19.4 ± 2.4 | 18.4 ± 0.9 |
| 2 | 8.3 ± 1.4 | 16.5 ± 1.7 | 9.6 ± 2.7 | 18.9 ± 1.9 |
| 3 | 6.4 ± 2.0 | 13.5 ± 2.5 | 9.4 ± 2.5 | 18.7 ± 1.0 |
| 4 | 5.1 ± 1.2 | 5.8 ± 0.5 | 8.4 ± 1.5 | 6.4 ± 2.0 |
| 5 | >20 | >20 | >20 | >20 |
| 6 | 9.9 ± 4.0 | >20 | 10.2 ± 1.0 | >20 |
| 7 | >20 | >20 | >20 | >20 |
| Mitomycin-C | 0.44 ± 0.06 | 0.30 ± 0.06 | 0.30 ± 0.12 | 0.47 ± 0.12 |
© 2011 by the authors; licensee MDPI, Basel, Switzerland. This article is an open-access article distributed under the terms and conditions of the Creative Commons Attribution license (http://creativecommons.org/licenses/by/3.0/).
Share and Cite
Lin, W.-Y.; Lu, Y.; Su, J.-H.; Wen, Z.-H.; Dai, C.-F.; Kuo, Y.-H.; Sheu, J.-H. Bioactive Cembranoids from the Dongsha Atoll Soft Coral Sarcophyton crassocaule. Mar. Drugs 2011, 9, 994-1006. https://doi.org/10.3390/md9060994
Lin W-Y, Lu Y, Su J-H, Wen Z-H, Dai C-F, Kuo Y-H, Sheu J-H. Bioactive Cembranoids from the Dongsha Atoll Soft Coral Sarcophyton crassocaule. Marine Drugs. 2011; 9(6):994-1006. https://doi.org/10.3390/md9060994
Chicago/Turabian StyleLin, Wan-Yu, Yi Lu, Jui-Hsin Su, Zhi-Hong Wen, Chang-Feng Dai, Yao-Haur Kuo, and Jyh-Horng Sheu. 2011. "Bioactive Cembranoids from the Dongsha Atoll Soft Coral Sarcophyton crassocaule" Marine Drugs 9, no. 6: 994-1006. https://doi.org/10.3390/md9060994
APA StyleLin, W.-Y., Lu, Y., Su, J.-H., Wen, Z.-H., Dai, C.-F., Kuo, Y.-H., & Sheu, J.-H. (2011). Bioactive Cembranoids from the Dongsha Atoll Soft Coral Sarcophyton crassocaule. Marine Drugs, 9(6), 994-1006. https://doi.org/10.3390/md9060994

