Abstract
This paper presents the alkaloids found in green, brown and red marine algae. Algal chemistry has interested many researchers in order to develop new drugs, as algae include compounds with functional groups which are characteristic from this particular source. Among these compounds, alkaloids present special interest because of their pharmacological activities. Alkaloid chemistry has been widely studied in terrestrial plants, but the number of studies in algae is insignificant. In this review, a detailed account of macro algae alkaloids with their structure and pharmacological activities is presented. The alkaloids found in marine algae may be divided into three groups: 1. Phenylethylamine alkaloids, 2. Indole and halogenated indole alkaloids, 3. Other alkaloids.
1. Introduction
The term alkaloid was first proposed by Meissner in 1819 to characterize these “alkali-like” compounds found in plants [1,2], but it was not precisely defined [3]. With time, the definition has changed [4] to: a compound that has nitrogen atom(s) in a cyclic ring. Numerous biological amines and halogenated cyclic nitrogen-containing substances are included in the term alkaloid. The latter is specific from marine organisms and marine algae. They could not be found in terrestrial plants.
Some alkaloids isolated from marine algae correspond to contaminants, such as the indole derivative communesin isolated from a Penicillium sp. found on the green alga Enteromorpha intestinalis [5] and leptosins from Leptosphaeria on Sargassum tortillae [6]. These alkaloids were improperly attributed to algae and were not included in this paper.
After the isolation of alkaloids, pure active compounds were used in therapy instead of plant extracts. Isolation of active compounds from plants began in 18th century. Morphine was the first alkaloid extracted from a terrestrial plant in 1805 as reported by Kappelmayer [7] and hordenine was the first alkaloid isolated from a marine algae in 1969 [8,9]. Today approximately two thousand alkaloids are known. They occur abundantly in terrestrial plants and rarely in marine algae.
In this chapter alkaloids in marine algae were classified in three groups as follows:
- Phenylethylamine alkaloids.
- Indole and halogenated indole alkaloids.
- Other alkaloids.
2. Phenylethylamine Group
2.1. Phenylethylamine (PEA)
PEA (β/2-phenylethylamine, phenethylamine) is an aromatic amine made up of a benzene ring to which an ethylamine side chain is attached (Figure 1a). The PEA alkaloid group includes important alkaloids. It is a precursor of many natural and synthetic compounds. Several substituted PEAs are pharmacologically active compounds found in plants and animals. This group includes simple phenylamine (tyramine, hordenine) and catecholamine (dopamine). The latter was found in animals and terrestrial plants [10]. The structure of PEA allows substitutions on the aromatic ring, the α and β carbons and terminal amino group. The published papers concern amine compounds in marine algae [11,12], and in the plant kingdom including algae [13].
Figure 1.
Structures of phenylethylamine derivatives: (a) PEA; (b) N-ACPEA; (c) TYR; (d) N-ACTYR; (e) HORD; (f) DOP.
Sources: Some brown marine algae containing PEA are [11]: Desmerestia aculeata, Desmerestia viridis; Red: Ceramium rubrum, Cystoclonium purpureum, Delesseria sanguine, Dumontia incrassata, Polysiphonia urceolata, Polyides rotundus. Recently the presence of PEA was examined in 17 marine algae and it was found only in six red algae [14]: Gelidium crinale, Gracilaria bursa-pastoris, Halymenia floresii, Phyllophora crispa, Polysiphonia morrowii, Polysiphonia tripinnata. PEA was also found in the microalgae Scenedesmus acutus [15].
Pharmacological activity: PEA in the human brain acts as a neuromodulator and a neurotransmitter. PEA has been shown to relieve depression in 60% of depressed patients. It has been proposed that a PEA deficit may be the cause of a common form of depressive illness [16]. Substituted PEAs are pharmacologically active compounds as hormones, stimulants, hallucinogens, entactogenes, anorectics, bronchodilators and antidepressants [17].
Source: N-acetylphenylethylamine was first isolated from the red algae Phyllophora crispa and Gelidium crinale [18].
Pharmacological activity: N-ACPEA induced also rotations ipsilateral to the side of the brain lesion as PEA but its activity was 90% less active than β-PEA [16].
2.2. Tyramine (TYR, 4-hydroxyphenylethylamine; Figure 1c)
TYR is a monoamine derivative of the amino acid tyrosine.
Source: TYR occurs widely in plants, fungi and animal but is rare in algae. It was detected in the brown alga Laminaria saccharina, and red algae Chondrus crispus and Polysiphonia urceolata [19] and in the microalgae Scenedesmus acutus [14].
Pharmacological activity: TYR is a pharmacologically important compound. It stimulates the central nervous system, causes vasoconstriction, increases heart rate and blood pressure and is also responsible for migraines.
Acetyl derivative of tyramine
Source: It was found in the marine algae Phyllophora crispa and Gelidium crinale [18] and is produced by many microorganisms [14] and terrestrial plants [20].
Pharmacological activity: N-ACTYR is a neuropeptide and an important amine for chemical and pharmacological purposes. The presence of urinary N-ACTYR in neuroblastoma patients was demonstrated [21].
2.3. Hordenine (Anhaline) (HORD, 4-(2-dimethylaminoethyl) phenol; Figure 1e)
It was first isolated from terrestrial plant Anhanolium fissuratus in 1894 [22] and its structure was elucidated in 1906 [23].
Source: HORD was first obtained from red algae Phyllophora nervosa [new name: Phyllophora crispa] [8a,b], and later from Ahnfeltia paradoxa [24], from Gigartina stellata (Mastocarpus stellatus) [25] and from Gelidium crinale [26]. The amount of HORD was determined in Gelidium crinale [26] and Phyllophora nervosa [27] as 9.54–39.66 μg/g, respectively.
Pharmacological activity: The roles of amine compounds in marine algae are not clear [28]. HORD is diuretic and affects the central nervous system. In the past, HORD was used for the treatment of diarrhea and dysentery [29]. It has a positive inotropic effect upon the heart, increases systolic and diastolic blood pressure, peripheral blood volume and inhibits gut movement [30]. All effects are short and only observable with high doses.
2.4. Dopamine (DOP, 3,4-dihydroxyphenethylamine; Figure 1f)
DOP is a catecholamine carrying two hydroxyl groups in the position 3 and 4 of the phenyl ring. It is produced in the organism by decarboxylation of dihydroxyphenylalanine.
Source: DOP was found in animals and several terrestrial plants [9] and only one reference mentions its presence in the green alga Monostroma fuscum [31].
Pharmacological activity: It is a hormone and a neurotransmitter. DOP is a sympathomimetic compound. It was used to treat cardiovascular and kidney disorders [32].
3. Indole Group
This alkaloid group containing a benzylpyrrole (derived from tryptophan) includes caulerpin, caulersin, fragilamide, martensine, martefragine, denticine and almazolone.
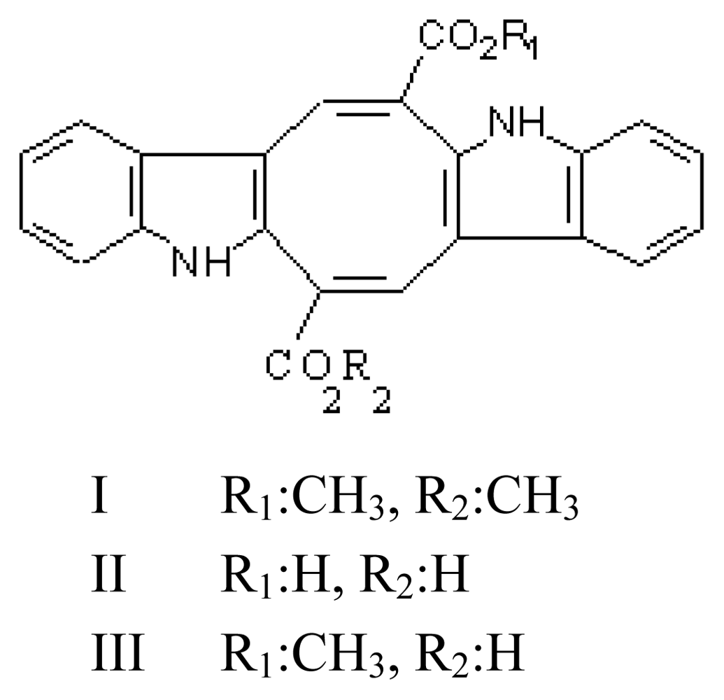
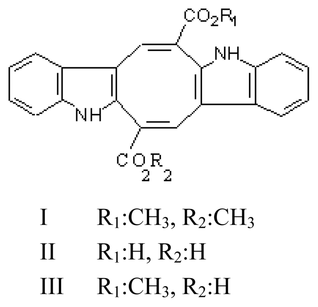
3.1. Caulerpin (CLP, dimethyl-6,13-dihydrodibenzo [b,i]phenazine-5,12-dicarboxylate methyl ester; Figure 2)
Figure 2.
Structures of CLP analogues (I, II, III).
Caulerpin contains two indole groups linked by a cyclic ring containing eight carbons with two carboxy groups. The structure of CLP (I) was first proposed [33,34] and later revised [35]. Its crystal structure [36] was studied. Two CLP (I) analogues CLP (II) and (III) were also isolated from Caulerpa racemosa [37].
Source: CLP (I) was isolated especially from green algae and some from red algae. CLP (I) was first extracted from Caulerpa racemosa, C. sertularioides, C. serrulata [33,34] and later, isolated from various Caulerpa sp. as: C. lamourouxii [38], C. racemosa var. macrophysa, C. racemosa var. laetevirens, C. ashmeadii [39], C. cupressoides, C. paspaloides, C. prolifera, C. sertularioides [40], C. peltata [40–42], C. racemosa var. clavifera [43], C. taxifolia [44,45], C. serrulata [33]. CLP (I) was also isolated from other algae: green; Codium decorticatum [46], Halimeda incrassate [47], and red; Laurencia majuscula (CLP I, II) [48], Hypnea concornis [48], Caloglossa leprieurii [48,49], Chondria armata [50].
The content of CLP (I) in Caulerpa sp. are 15% for C. lentilifera, 5% for C. rasemosa, 2% for C.microphysa and 8% for C. sertulorides [51]. C. taxifolia has bloomed explosively in the Mediterranean Sea and has become a major ecological problem [52].
Pharmacological activity: There are different opinions on the toxicity of CLP (I). Symptoms were observed after the ingestion of Caulerpa genus [33]. It shows low toxicity [43]. C. racemosa extracts showed some cytotoxicity, but CLP (I) isolated from these extracts did not show any activity [53]. CLP (I) exhibited a moderate in-vitro antitumor activity against crown gall tumor [54]. CLP (I) showed moderate antibacterial activity against 8 species of bacteria isolated from algal surface [51]. CLP (I) containing alga Laurencia majuscula showed antifungal activity [55]. CLP (I) has been shown to be a plant growth regulator [55–57]. CLP (I) showed no peroxidase activity [58].
3.2. Caulersin (CLS)
CLS is a bisindole alkaloid with a 7 members central ring and two ≪anti parallel≫ indole cores [59] (Figure 3). It was synthesized by several authors [60–63]. CLS has three isomers: A, B and C [62].
Figure 3.
Structure of CLS.
Source: CLS was isolated from Caulerpa serrulata [59].
3.3. Martensia fragilis alkaloids
Several compounds were isolated from Martensia fragilis (M. denticulata) such as: fragilamide, martensines, martefragin A, and denticins.
3.3.1. Fragilamide (FRG)
FRG was extracted from the red alga Martensia fragilis. It is a labile amine and it rapidly auto-oxidized in solution. FRG is a 3-substituted indole and corresponds to a N-methylhomoisoleucyl unit and a p-hydroxybenzyl group connected to the indole unit C-3. The amide NH was connected to a cis disubstituted carbon-carbon double bond [64] (Figure 4).
Figure 4.
Structure of FRG.
Pharmacological activity: FRG showed strong antioxidant activity [65].
3.3.2. Martensines (MRT)
MRT A and B were extracted from the red algae Martensia fragilis [64]. MRTs are 3-substituted indoles.
3.3.2.1. Martensine A
MRT A is a 3- substituted indole bound to a 5-membered lactam ring [64] (Figure 5).
Figure 5.
Structures of MRT A and MRT B.
Pharmacological activity: MRT A shows an antibiotic activity against Bacillus subtilis, Staphylococcus aureus, and Mycobacterium smegmatis [64].
3.3.2.2. Martensine B
MRT B contains two carbonyl as γ-lactam and an aryl ketone group [64] (Figure 5).
3.3.3. Martefragin A (MRF A)
MRF A was isolated from Martensia fragilis. MRF A displays a 3-oxazolylindole structure [66 a,b] (Figure 6). It was also synthesized [67].
Figure 6.
Structures of MRF A.
Pharmacological activity: MRF A showed inhibitory activity on NADPH- depending lipid peroxidation in rat liver microsomes [66,67].
3.3.4. Denticins (DTC)
DTC’s were isolated from Martensia denticulata [68]. DTC(s) are 3-subsituted indole derivates named DTC A, B and C. These alkaloids contain sulfonic acids which are rarely found in alkaloids (Figure 7).
Figure 7.
Structures of DTCs.
Pharmacological activity: DTC(s) have an anti-photo-oxidative activity [68].
3.4. Almazolone (ALM)
ALM was isolated from the red alga Haraldiophyllum sp. collected in Dakar (Senegal). ALM is a disubstituted oxazolindole derivate. It has two steroisomers, which correspond to synthesized E and Z isomers [69] (Figure 8).
Figure 8.
Structures of ALM isomers E and Z.
4. Halogenated Indole Alkaloids (HLI)
HLI alkaloids were isolated only in marine organisms and algae but not in terrestrial plants. Many HLI alkaloids were isolated from red algae and only one from a green alga. These alkaloids contain an indole group substituted by bromine and chlorine atoms. Sulfur-containing bromoalkaloids were also extracted from red algae.
Pharmacological activity: Antibacterial activities of halogenated alkaloids were examined on terrestrial and some marine bacteria.
4.1. Bromoindole
4.1.1. Bromoindoles and N-methylbromoindoles isolated from algae are given by the source
- Red alga Laurencia brongniartii collected from Caribbean Sea [70] and Okinawan Sea [71] (Figure 9): 2,3,6-tribromo-1-methyl indole (9a) [70], 2,3,5-tribromo-1-methyl indole (9b) [72], 2,3,5,6-tetrabromo-1H-indole (9c) [70], 2,3,5,6-tetrabromo-1-methyl indole (9d) [70], 2,4,6-tribromo-1H-indole (9e)[71] and 2,3,4,6-tetrabromo-1H-indole (9f) [71]. Compounds 9c and 9f were also identified in the red alga Laurencia similis collected from Pulau Gaya, Malaysia [72] and compound 9b was isolated from a red alga Laurencia decumbens collected from Weizhou Island (South China-Sea) [73].
Figure 9. Structures of bromo compounds isolated from red algae Laurencia brongniartii, Laurencia similis and Laurencia decumbens.Pharmacological activity: Among compounds 9a–d only 9c showed antibacterial activity against Bacillus subtilis and Saccharomyces cerevisiae [70]. - Red alga Laurencia similis collected from Sanya, China [74] (Figure 9): 3,5,6-tribromo-1H-indole (9g) [74], 3,5,6-tribromo-1-methylindole (9h) [74] and 2,3,6-tribromo-1H-indole (9i) [74]
- Bromoindoles isolated from the red alga Laurencia decumbens collected from Weizhou Island (South China- Sea) [73] (Figure 9): 2,3,4,6-tetrabromo-1-methylindole (9j).
4.2. Sulfur-containing bromoalkaloids isolated from Laurencia brongniartii
- Thiobromoindoles [73] (Figure 10): 3-thiomethyl 2,4,6-tribromo-1H-indole (10a), 3-thiomethyl 2,4,5,6- tetrabromo-1H-indole (10b), 2,3-dithiomethyl-4,6-dibromo-1H-indole (10c) and 2,3-dithio-methyl-4,5,6- tribromo-1H-indole (10d).
Figure 10. Structures of thiobromo compounds isolated from the red alga Laurencia brongniartii. - Thiomethyl and sulfoxide containing bromoindoles [73] (Figure 11): 2-thiomethyl-3-sulfoxymethyl-4,6-dibromoindole (11a) and 2-sulfoxymethyl-3-thiomethyl-4,6-dibromo-1H-indole (11b).
Figure 11. Structures of thiomethyl and sulfoxide containing bromoindoles isolated from Laurencia brongniartii.
Laurencia brongniartii is an exceptionally important red algae. The isolated compounds were:
- Four sulfur-containing bromoindoles collected from Caribbean Sea [70,71].
- Four other sulfur-containing bromoindoles isolated from the Taiwanese coast [75], Okinawan Sea [71].
- Six new indoles of which the two are sulfoxides from the Okinawan Sea [71].
- A bisindole collected in Okinawan waters [71].
These results showed that halogenated alkaloid types depended on the same algae and collection areas [71].
4.3. Polyhalogenated indoles
Many polyhalogenated indoles were identified in Rhodophyllis membranacea collected from the Kaikoura coast (New Zealand). The fractions obtained from the extract of R. membranacea contain polychlorinated and polybrominated alkaloids [75] (Figure 12).
Figure 12.
Structure of polyhalogenated indoles from Rhodophyllis membranacea.
Pharmacological activity: Crude extract of R. membranacea showed strong antifungal activity due to the presences of these polyhalogenated indoles [75].
4.4. Bromobisindole
4.4.1. Polyhalogenated bisindoles (Figure 13)
Figure 13.
Structure of bromobisindoles isolated from Chaetomorpha basiretorsa and Laurencia similis.
4,4′-Dichloro-5,5′-dibromo-7,7′-dimethoxy-3,3′-bis-1H-indole (13a) was identified from the green alga Chaetomorpha basiretorsa [76]. 2,2′,5,5′,6,6′-hexabromo-3,3′-bis-1H-indole (13b) was identified from Laurencia similis collected from the coast of Sanya, Hainan Island (China) [77].
4.4.2. Thiomethyl-containing bromobisindoles
3,3′-bis(4,6-Dibromo-3-methylthio) indole was isolated from Laurencia brongniartii collected in Okinawan Sea [71] (Figure 14).
Figure 14.
Structure of thiomethyl containing bromobisindole.
5. Other
5.1. Lophocladines (LO, Figure 15)
Figure 15.
Structure of LO A and LO B.
There are two derivatives: lophocladine A and lophocladine B which were isolated from a red alga Lophocladia sp. collected from Fijian Island (New Zealand) [78] (Figure 15).
- Lophocladines A (LO A, 4-phenyl-[2,7]-naphthyridine-1(2H)-one, 15a)
- Lophocladines B (LO B, 4-phenyl-[2,7]-naphtyridine-1-amine, 15b)
Pharmacological activity: The cytotoxic activities of LO A and B were investigated on NCI-H-460 lung cancer and neuro-2a neuroblastoma and MDA-MB-435 breast cancer lines. Only LO B showed moderate cytotoxic activity on MDA-MB-435 and NCI-H-460 cell lines but not on neuro 2-a cell [78].
6. Conclusions
Marine algal alkaloids have been reviewed in this paper. Structurally the alkaloids isolated from marine algae mostly belong to the phenylethylamine and indole groups. Biological activities of these alkaloids were not wholly investigated. Alkaloids of marine algae are relatively rare, when compared with terrestrial plant alkaloids. Research on marine drugs has largely focused on finding drugs for cancer treatment. Nowadays, no alkaloids obtained from marine algae are used in medicine.
Acknowledgements
The authors thank Burak Çoban for reading the manuscript.
- Samples Availability: Available from the authors.
References and Notes
- Pelletier, SW. Chemistry of the Alkaloids; Van Nostrand Reinhold: New York, NY, USA, 1970; p. 1. [Google Scholar]
- Trier, G. Die Alkaloide; Verlag von Gebrüder: Borntraeger, Berlin, Germany, 1931; pp. 1–10. [Google Scholar]
- Swan, GA. An Introduction to the Alkaloids; Black Well Scientific: Oxford and Edinburgh, UK, 1967; p. 1. [Google Scholar]
- Bentley, KW. The Alkaloids; Interscience: New York, NY, USA, 1957; p. 1. [Google Scholar]
- Numata, A; Takahashi, C; Ito, Y; Takada, T; Kawai, K; Usami, Y; Matsumura, E; Imachi, M; Ito, T; Hasegawo, T. Communesin, cytotoxic metabolites of a fungus isolated from a marine algae. Tetrahedron Lett 1993, 34, 2355–2358. [Google Scholar]
- Takahashi, C; Takai, Y; Kimura, Y; Numata, A; Shigematsu, N; Tanaka, H. Cytotoxic metabolites from a fungi adherent of a marine alga. Phytochemistry 1995, 38, 155–158. [Google Scholar]
- Kappelmeier, P. Die Konstitutions Erforschung der Wichtigten Opium Alkaloide; Verlag von Ferdinand Enke: Stuttgart, Germany, 1912; p. 4. [Google Scholar]
- Guven, KC; Bora, A; Sunam, G. Alkaloid content of marine algae. I. Hordenine from Phyllophora nervosa. Eczacılık Bul 1969, 11, 177–184. [Google Scholar]
- Guven, KC; Bora, A; Sunam, G. Hordenine from the alga Phyllophora nervosa. Phytochemistry 1970, (9), 1893. [Google Scholar]
- Boit, HG. Ergebnisse der Alkaloid-Chemic; Academie-Verlag: Berlin, Germany, 1961; p. 16. [Google Scholar]
- Steiner, M; Hartmann, T. Über Verkommen und Verbreitung flüchtiger Amine bei Meeresalgen. Planta 1968, 79, 113–121. [Google Scholar]
- Kneifel, H. Amine in Algae Marine Algae in Pharmaceutical. In Science; Hoppe, HA, Levring, T, Tanaka, Y, Eds.; Walter de Gruyter: Berlin, Germany, 1979; pp. 365–401. [Google Scholar]
- Smith, TA. Phenethylamine and related compounds in plant. Phytochemistry 1977, 16, 9–18. [Google Scholar]
- Percot, A; Yalçın, A; Aysel, V; Erdugan, H; Dural, B; Güven, KC. β-Phenylethylamine content in marine algae around Turkish coasts. Bot Mar 2009, 52, 87–90. [Google Scholar]
- Rolle, I; Hobucher, HE; Kneifel, H; Paschold, B; Riepe, W; Soeder, CJ. Amines in unicellular green algae. 2. Amines in Scenedesmus acutus. Anal Biochem 1977, 77, 103–109. [Google Scholar]
- Barroso, N; Rodriguez, M. Action of β-phenylethylamine and related amines on nigrostriatal dopamine neurotransmission. Eur J pharmacol 1996, 297, 195–203. [Google Scholar]
- Saavedra, JM. β-Phenylethylamine: Is this biogenic amine related to neuropsychiatic disease. Mod Pharmacol Toxicol 1978, 12, 139–157. [Google Scholar]
- Percot, A; Guven, KC; Aysel, V; Erdugan, H; Gezgin, T. N-acetyltyramine from Phyllophora crispa (Hudson) P.S. Dixon and N-acetylphenylethylamine from Gelidium crinale (Hare ex Turner) Graillon. Acta Pharm Sci 2009, 51, 9–14. [Google Scholar]
- Kneifel, H; Meinicke, M; Soeder, ÇJ. Analysis of amines in algae by high performance liquid chromatography. J Phycol 1977, 13, 36. [Google Scholar]
- Tian-Shung, WU; Yanna-Lii, L; Yu-Yi, C. Constituents of the fresh leaves of Aristolochia cucurbitifolia. Chem Pharm Bull 1999, 47, 571–573. [Google Scholar]
- Von Studnitz, W; Hanson, A. Demonstration of urinary N-acetyltyramine in patients with neuroblastoma. Clin Chim Acta 1967, 16, 180–183. [Google Scholar]
- Heffter, A. Ueber Pellote. Ein Beitrag zur pharmakologischen Kenntnis der Cacteen. (Naunyn- Schmiedeberg’s). Arch Exp Path Pharm 1894, 34, 65–86. [Google Scholar]
- Leger, E. Hordenine: A new alkaloid extracted from the germ of barley. J Pharm Chim 1906, 23, 177–181. [Google Scholar]
- Kawauchi, H; Sasaki, T. Isolation and identification of hordenine, p-(2-dimethylamino) ethylphenol from Ahnfeltia paradoxa. Bull Jap Soc Sci Fish 1978, 44, 135–137. [Google Scholar]
- Barwell, C; Blunden, G. Hordenine from the red alga Gigartina stellata. J Nat Prod 1981, 44, 500–502. [Google Scholar]
- Percot, A; Yalcın, A; Erduğan, H; Guven, KC. Hordenine amount in Phyllophora nervosa (D.C. Grev) (Marine alga) collected from Şile (The Black Sea) and Dardanelle. Acta Pharm Sci 2007, 49, 127–132. [Google Scholar]
- Yalcın, A; Percot, A; Erdugan, H; Coban, B; Guven, KC. Hordenine in marine alga, Gelidium crinale (Hare ex Turner) Gaillon. Acta Pharm Sci 2007, 49, 213–218. [Google Scholar]
- Baslow, MH. Marine Pharmacology; The William & Wilkins Co: Baltimore, MD, USA, 1969; pp. 56–85. [Google Scholar]
- Schweitzer, A; Wright, S. Action of hordenine compounds on the central nervous system. J Physiol 1938, 92, 422–438. [Google Scholar]
- Hapke, HJ; Strathmann, W. Pharmacological effects of hordenine. Deutsche tierärztliche Wochenschrift 1995, 102, 228–232. [Google Scholar]
- Tocher, RD; Tocher, CA. Biosynthesis of 3-hdroxy tyramine in plants Enz. Dopa decarboxylaze XI International Botanical Congresse, University of Washington, Seattle, WA, USA, August 24–September 2, 1969.
- Sweetman, SC. Martindale. In The Complete Drug Reference; Pharmaceutical Press, Williams Clowes: Suffock, UK, 2005; p. 907. [Google Scholar]
- Aguilar-Santos, G; Doty, MS. Chemical studies on three species of the marine algal genus Caulerpa. In Drugs from the Sea; Freudenthal, HD, Ed.; Marine Technology Society: Washington, DC, USA, 1968; pp. 173–176. [Google Scholar]
- Aguilar-Santos, G. Caulerpin, a new red pigment from green algae of the genus Caulerpa. J Chem Soc Perkin C: Org 1970, 6, 842–843. [Google Scholar]
- Maiti, BC; Thomson, RH; Mahendran, M. The structure of caulerpin, a pigment from Caulerpa algae. J Chem Res Synop 1978, 4, 126–127. [Google Scholar]
- Lu, Y; Lu, D; Zheng, QT; Lian, B; Su, JY; Cen, YZ. Crystal structure determination of caulerpin. Jiegou Huaxue 1994, 13, 472–476. [Google Scholar]
- Anjaneyulu, ASR; Prakash, CVS; Mallavadhani, UV. Two caulerpin analogues and a sesquiterpene from Caulerpa racemosa. Phytochemistry 1991, 30, 3041–3042. [Google Scholar]
- Santos, GA; Doty, MS. Constituents of the green alga Caulerpa lamourouxii. Lloydia 1971, 34, 88–90. [Google Scholar]
- McConnell, OJ; Hughes, PA; Targett, NM; Daley, J. Effects of secondary metabolites from marine algae on feeding by the sea urchin Lytechinus variegatus. J Chem Ecol 1982, 8, 1437–1453. [Google Scholar]
- Vest, SE; Dawes, CJ; Romeo, JT. Distribution of caulerpin and caulerpicin in eight species of the green alga Caulerpa (Caulerpales). Bot Mar 1983, 26, 313–316. [Google Scholar]
- Capon, RJ; Ghisalberti, EL; Jefferies, PR. Metabolites of the green algae, Caulerpa species. Phytochemistry 1983, 22, 1465–1467. [Google Scholar]
- Cheng, F; Zhou, Y; Wu, J; Zhou, K. Chemical constituents of Caulerpa peltata. Shizhen Guoyi Guoyao 2008, 19, 856–857. [Google Scholar]
- Vidal, JP; Laurent, D; Kabore, SA; Rechencq, E; Boucard, M; Girard, JP; Escale, R; Rossi, JC. Caulerpin, Caulerpicin, Caulerpa scalpelliformis: Comparative acute toxicity study. Bot Mar 1984, 27, 533–537. [Google Scholar]
- Mao, S.-C; Guo, Y.-W; Shen, X. Two novel aromatic valerenane-type sesquiterpenes from Chinese green alga Caulerpa taxifolia. Biorg Med Chem Lett 2006, 16, 2947–2950. [Google Scholar]
- Schroder, HC; Badria, FA; Ayyad, SN; Batel, R; Wiens, M; Hassanein, HMA; Kurelec, B; Müller, WEG. Inhibitory effects of extracts from the marine alga Caulerpa taxifolia and of toxin from Caulerpa racemosa on multixenobiotic resistance in the marine sponge Geodia cydonium. Environ Toxicol Pharmacol 1998, 5, 119–126. [Google Scholar]
- Anjaneyulu, ASR; Prakash, CVS; Mallavadhani, UV. Sterols and terpenes of the marine green algal species Caulerpa racemosa and Codium decorticatum. J Indian Chem Soc 1991, 68, 480. [Google Scholar]
- Yan, S; Su, J; Wang, Y; Zeng, L. Studies on chemical constituents of Halimeda incrassata. Redai Haiyang 1999, 18, 91–94. [Google Scholar]
- Xu, X; Su, J. The separation, identification and bioassay of caulerpin. Ziran Kexueban 1996, 35, 64–66. [Google Scholar]
- Xu, XH; Su, JY; Zeng, LM; Wang, MY. Chemical constituents of the alga Caloglossa leprieurii. Gadeng Xuexiao Huaxue Xuebao 1998, 19, 249–251. [Google Scholar]
- Govenkar, MB; Wahidulla, S. Constituents of Chondria armata. Phytochemistry 2000, 54, 979–981. [Google Scholar]
- Vairappan, CS. Antibacterial activity of major secondary metabolities: found in four species of edible green macroalgae genus Caulerpa. Asian J Microbiol Biotech Environ Sci 2004, 6, 197–201. [Google Scholar]
- Higa, T; Kuniyoshi, M. Toxins associated with medicinal and edible seaweeds. J Toxicol Toxin Rev 2000, 19, 119–137. [Google Scholar]
- Rocha, FD; Soares, AR; Houghton, PJ; Pereira, RC; Kaplan, MAC; Teixeira, VL. Potential cytotoxic activity of some Brazilian seaweeds on human melanoma cells. Phytother Res 2007, 21, 170–175. [Google Scholar]
- Ayyad, SEN; Badria, FA. Caulerpine: An antitumor indole alkaloid from Caulerpa racemosa. Alexandria J Pharm Sci 1994, 8, 217–219. [Google Scholar]
- Xu, XH; Zhu, YD; Gao, W; Kong, CH. Agricultural lead compounds from Laurencia majuscula. Proceedings of International Forum on Green Chemical Science & Engineering and Process Systems Engineering, Tianjin, China, 8–10 October 2006; 1, pp. 538–541.
- Raub, MF; Cardellina, JH, II; Schwede, JG. The green algal pigment caulerpin as a plant growth regulator. Phytochemistry 1987, 26, 619–620. [Google Scholar]
- Huang, L; Cen, Y; Xu, S; Li, Y; Xu, S; Wu, Q. Research progress on caulerpin: plant growth regulator from algae. Tianran Chanwu Yanjiu Yu Kaifa 2001, 13, 74–78. [Google Scholar]
- Schwede, JG; Cardellina, JH; Grode, SH; James, TR, Jr; Blackman, AJ. Distribution of the pigment caulerpin in species of the green alga. Caulerpa Phytochemistry 1986, 26, 155–158. [Google Scholar]
- Su, JY; Zhu, Y; Zeng, LM; Xu, XH. A new bisindole from alga Caulerpa serrulata. J Nat Prod 1997, 60, 1043–1044. [Google Scholar]
- Fresneda, PM; Molina, P; Angeles, SM. The first synthesis of the bis (indole) marine alkaloid Caulersin. Synlett 1999, 10, 1652–1653. [Google Scholar]
- Wahlström, N; Stensland, B; Bergman, J. Synthesis of the marine alkaloid caulersin. Tetrahedron 2004, 60, 2147–2153. [Google Scholar]
- Miki, Y; Aoki, Y; Miyatake, H; Minematsu, T; Hibino, H. Synthesis of caulersin and its isomers by reaction of indole-2,3-dicarboxylic anhydrides with methyl indoleacetates. Tetrahedron Lett 2006, 47, 5215–5218. [Google Scholar]
- Bourderioux, A; Routier, S; Beneteau, V; Merour, J.-Y. Synthesis of benzo analogs of oxoarcyriaflavins and caulersine. Tetrahedron 2007, 63, 9465–9475. [Google Scholar]
- Kirkup, MP; Moore, RE. Indole alkaloids from the marine red alga Martensia fragilis. Tetrahedron Lett 1983, 24, 2087–2090. [Google Scholar]
- Takamatsu, S; Hodges, TW; Rajbhandari, I; Gerwick, WH; Hamann, MT; Nagle, DG. Marine natural products as novel antioxidant prototypes. J Nat Prod 2003, 66, 605–608. [Google Scholar]
- Takahashi, S; Matsunaga, T; Hasegawa, C; Saito, H; Fujita, D; Kiuchi, F; Tsuda, Y. Studies on bioactive substances in natural resources. VI. Isolation and structure elucidation of martefragin A. Toyama-ken Yakuji Kenkyusho Nenpo 1997, 24, 53–57. [Google Scholar]
- Nishida, A; Fuwa, M; Fujikaw, Y. First total synthesis of Martefragin A, a potent inhibitor of lipid peroxidation. Tetrahedron Lett 1998, 39, 5983–5986. [Google Scholar]
- Murakami, H; Kato, T; Mimura, A; Takahara, Y. New indole derivatives from Martensia denticulata seaweed. Biosci Biotechnol Biochem 1994, 58, 535–538. [Google Scholar]
- Guella, G; N’Diaye, I; Fofana, M; Mancini, I. Isolation synthesis and photochemical properties of almazolone, a new indole alkaloid from a red alga of Senegal. Tetrahedron 2006, 62, 1165–1170. [Google Scholar]
- Carter, GT; Rinehart, KL, Jr; Li, LH; Kuentzel, SL; Connor, JL. Brominated indoles from Laurencia brongniartii. Tetrahedron Lett 1978, 46, 4479–4482. [Google Scholar]
- Tanaka, J; Higa, T; Bernardinelli, G; Jefford, CW. Sulfur-containing polybromoindoles from the red alga Laurencia brongniartii. Tetrahedron 1989, 45, 7301–7310. [Google Scholar]
- Masuda, M; Kawaguchi, S; Takahashi, Y; Okamoto, K; Suzuki, M. Halogenated secondary metabolites of Laurencia similis (Rhodomelaceae, Rhodophyta). Bot Mar 1999, 42, 199–202. [Google Scholar]
- Ji, NY; Li, XM; Cui, CM; Wang, BG. Terpenes and polybromoindoles from the marine red alga Laurencia decumbens (Rhodomelacea). Helv Chim Acta 2007, 90, 1731–1736. [Google Scholar]
- Ji, N-Y; Li, X-M; Ding, L-P; Wang, B-G. Aristolane sesquiterpenes and highly brominated indoles from the marine red alga Laurencia similis (Rhodomelaceae). Helv Chim Acta 2007, 90, 385–391. [Google Scholar]
- Brennan, MR; Erickson, KL. Polyhalogenated indoles from the marine alga Rhodophyllis membranacea Harvey. Tetrahedron Lett 1978, 19, 1637–1640. [Google Scholar]
- Shi, DY; Han, LJ; Sun, J; Li, S; Wang, SJ; Yang, YC; Fan, X; Shi, JG. A new halogenated biindole and a new apo-carotenone from green alga Chaetomorpha basiretorsa Setchell. Chin Chem Lett 2005, 16, 777–780. [Google Scholar]
- Su, H; Yuan, ZH; Li, J; Guo, SJ; Deng, LP; Han, LJ; Zhu, XB; Shi, DY. Two new bromoindoles from red alga Laurencia similis. Chin Chem Lett 2009, 20, 456–458. [Google Scholar]
- Gross, H; Goeger, DE; Hills, P; Mooberry, SL; Ballantine, DL; Murray, TF; Valeriote, FA; Gerwick, WH. Lophocladines Bioactive alkaloids from red alga Lophocladia sp. J Nat Prod 2006, 69, 640–644. [Google Scholar]
© 2010 by the authors; licensee Molecular Diversity Preservation International, Basel, Switzerland This article is an open-access article distributed under the terms and conditions of the Creative Commons Attribution license (http://creativecommons.org/licenses/by/3.0/).














