Cladielloides A and B: New Eunicellin-Type Diterpenoids from an Indonesian Octocoral Cladiella sp.
Abstract
:1. Introduction
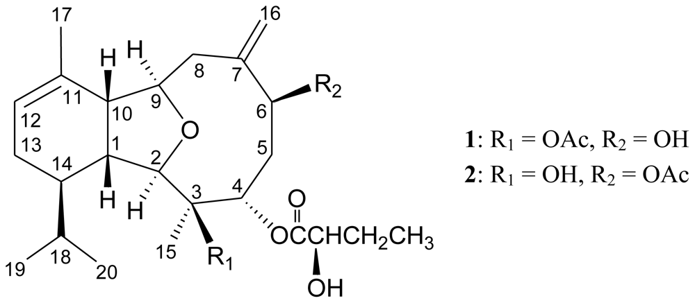
2. Results and Discussion
3. Experimental
3.1. General Experimental Procedures
3.2. Animal Material
3.3. Extraction and Isolation
3.4. Preparation of (S)- and (R)-MTPA Esters of Cladielloide A (1)
3.5. Cytotoxicity Testing
3.6. Human Neutrophil Superoxide Anion Generation and Elastase Release
Acknowledgements
- Samples Availability: Not available.
References
- Radhika, P. Chemical constituents and biological activities of the soft corals of genus Cladiella: A review. Biochem Syst Ecol 2006, 34, 781–789. [Google Scholar]
- Yamada, K; Ogata, N; Ryu, K; Miyamoto, T; Komori, T; Higuchi, R. Bioactive terpenoids from octocorallia. 3. A new eunicellin-based diterpenoid from the soft coral Cladiella sphaeroides. J Nat Prod 1997, 60, 393–396. [Google Scholar]
- Gray, CA; Davies-Coleman, MT; Schleyer, MH. Cembrane diterpenes from the Southern African soft coral Cladiella kashmani. J Nat Prod 2000, 63, 1551–1553. [Google Scholar]
- Chill, L; Berrer, N; Benayahu, Y; Kashman, Y. Eunicellin diterpenes from two Kenyan soft corals. J Nat Prod 2005, 68, 19–25. [Google Scholar]
- Ahmed, AF; Wu, M-H; Wang, G-H; Wu, Y-C; Sheu, J-H. Eunicellin-based diterpenoids, australins A–D, isolated from the soft coral Cladiella australis. J Nat Prod 2005, 68, 1051–1055. [Google Scholar]
- Hassan, HM; Khanfar, MA; Elnagar, AY; Mohammed, R; Shaala, LA; Youssef, DTA; Hifnawy, MS; El Sayed, KA. Pachycladins A–E, prostate cancer invasion and migration inhibitory eunicellin-based diterpenoids from the Red Sea soft coral Cladiella pachyclados. J Nat Prod 2010, 73, 848–853. [Google Scholar]
- Chen, B-W; Wu, Y-C; Chiang, MY; Su, J-H; Wang, W-H; Fan, T-Y; Sheu, J-H. Eunicellin-based diterpenoids from the cultured soft coral Klyxum simplex. Tetrahedron 2009, 65, 7016–7022. [Google Scholar]
- Chen, B-W; Chao, C-H; Su, J-H; Wen, Z-H; Sung, P-J; Sheu, J-H. Anti-inflammatory eunicellin-based diterpenoids from the cultured soft coral Klyxum simplex. Org Biomol Chem 2010, 8, 2363–2366. [Google Scholar]
- Miyamoto, T; Yamada, K; Ikeda, N; Komori, T; Higuchi, R. Bioactive terpenoids from octocorallia, I. Bioactive diterpenoids: litophynols A and B from the mucus of the soft coral Litophyton sp. J Nat Prod 1994, 57, 1212–1219. [Google Scholar]
- Ortega, MJ; Zubía, E; Salva, J. Structure and absolute configuration of palmonine F, a new eunicellin-based diterpene from the gorgonian Eunicella verrucosa. J Nat Prod 1994, 57, 1584–1586. [Google Scholar]
- Cóbar, OM. Survey of 2,11-cyclized cembranoids from Caribbean sources. Nat Prod Res 2009, 23, 26–43. [Google Scholar]
- Ohtani, I; Kusumi, T; Kashman, Y; Kakisawa, H. High-Field FT NMR application of Mosher’s method. The absolute configurations of marine terpenoids. J Am Chem Soc 1991, 113, 4092–4096. [Google Scholar]
- Seco, JM; Quinoá, E; Riguera, R. The assignment of absolute configuration by NMR. Chem Rev 2004, 104, 17–117. [Google Scholar]
- Hoye, TR; Jeffrey, CS; Shao, F. Mosher ester analysis for the determination of absolute configuration of stereogenic (chiral) carbinol carbons. Nat Protoc 2007, 2, 2451–2458. [Google Scholar]
- Bayer, FM. Key to the genera of octocorallia exclusive of Pennatulacea (Coelenterata: anthozoa), with diagnoses of new taxa. Proc Biol Soc Wash 1981, 94, 902–947. [Google Scholar]
- Fabricius, K; Alderslade, P. Soft Corals and Sea Fans–A Comprehensive Guide to the Tropical Shallow-Water Genera of the Central-West Pacific, the Indian Ocean and the Red Sea; Australian Institute of Marine Science: Queensland, Australia, 2001; Volume 49, pp. 84–85. [Google Scholar]
- Alley, MC; Scudiero, DA; Monks, A; Hursey, ML; Czerwinski, MJ; Fine, DL; Abbott, BJ; Mayo, JG; Shoemaker, RH; Boyd, MR. Feasibility of drug screening with panels of human tumor cell lines using a microculture tetrazolium assay. Cancer Res 1988, 48, 589–601. [Google Scholar]
- Scudiero, DA; Shoemaker, RH; Paull, KD; Monks, A; Tierney, S; Nofziger, TH; Currens, MJ; Seniff, D; Boyd, MR. Evaluation of a soluble tetrazolium/formazan assay for cell growth and drug sensitivity in culture using human and other tumor cell lines. Cancer Res 1988, 48, 4827–4833. [Google Scholar]
- Hwang, T-L; Li, G-L; Lan, Y-H; Chia, Y-C; Hsieh, P-W; Wu, Y-H; Wu, Y-C. Potent inhibitors of superoxide anion production in activated human neutrophils by isopedicin, a bioactive component of the Chinese medicinal herb Fissistigma oldhamii. Free Radic Biol Med 2009, 46, 520–528. [Google Scholar]
- Hwang, T-L; Su, Y-C; Chang, H-L; Leu, Y-L; Chung, P-J; Kuo, L-M; Chang, Y-J. Suppression of superoxide anion and elastase release by C18 unsaturated fatty acids in human neutrophils. J Lipid Res 2009, 50, 1395–1408. [Google Scholar]


| C/H | 1H a | 13C b | 1H–1H COSY | HMBC (H→C) | |
|---|---|---|---|---|---|
| 1 | 2.74 m | 39.7 | (d) d | H-2, H-10, H-14 | C-2, −3, −10, −11, −14 |
| 2 | 3.86 d (8.0) c | 87.1 | (d) | H-1 | C-3, −4, −9, −14, −15 |
| 3 | 74.6 | (s) | |||
| 4 | 5.14 dd (4.4, 3.6) | 74.4 | (d) | H2-5 | C-3, −6, −15, −23 |
| 5α | 2.97 ddd (16.0, 4.4, 2.8) | 37.2 | (t) | H-4, H-5β, H-6 | C−3, −4 |
| β | 1.75 ddd (16.0, 5.6, 3.6) | H-4, H-5α, H-6 | C-4, −6, −7 | ||
| 6 | 4.21 br s | 72.6 | (d) | H2-5, OH-6 | n.o. e |
| 7 | 147.6 | (s) | |||
| 8 | 2.35 br d (2.4) | 40.0 | (t) | H-9 | C-6, −7, −9, −10, −16 |
| 9 | 4.16 dt (3.6, 3.2) | 81.3 | (d) | H2-8, H-10 | n.o. |
| 10 | 2.63 br s | 44.6 | (d) | H-1, H-9 | C-11 |
| 11 | 132.1 | (s) | |||
| 12 | 5.43 m | 122.2 | (d) | H2-13, H3-17 | n.o. |
| 13α | 2.10 m | 22.8 | (t) | H-12, H-13β, H-14 | n.o. |
| β | 1.97 m | H-12, H-13α, H-14 | n.o. | ||
| 14 | 1.58 m | 39.0 | (d) | H-1, H2-13, H-18 | n.o. |
| 15 | 1.37 s | 22.4 | (q) | C-2, −3, −4 | |
| 16a | 5.21 s | 115.2 | (t) | H-16b | C-6, −8 |
| b | 5.58 s | H-16a | C-6, −7, −8 | ||
| 17 | 1.68 d (0.8) | 22.0 | (q) | H-12 | C-10, −11, −12 |
| 18 | 1.62 m | 28.8 | (d) | H-14, H3-19, H3-20 | C-1, −14 |
| 19 | 0.92 d (6.4) | 21.3 | (q) | H-18 | C-14, −18, −20 |
| 20 | 0.83 d (6.4) | 20.5 | (q) | H-18 | C-14, −18, −19 |
| OH-6 | 2.84 d (7.2) | H-6 | n.o. | ||
| 3-OC(O)CH3 | 171.1 | (s) | |||
| 21 22 | 2.14 s | 20.6 | (q) | C-21 | |
![]() | 171.4 | (s) | |||
| 4.86 dd (6.8, 6.0) | 74.1 | (d) | H2-25 | C-23, −25, −26 | |
| 1.91 m | 24.3 | (t) | H-24, H3-26 | C-23, −24, −26 | |
| 1.03 t (7.2) | 9.3 | (q) | H2-25 | C-24, −25 | |
| Cladielloide A (1) | H/H | (Å) |
|---|---|---|
![]() | H-1/H-4 | 2.59 |
| H-1/H-10 | 2.33 | |
| H-2/H-14 | 2.45 | |
| H-2/H3-15 | 2.32 | |
| H-6/H-5α | 2.44 | |
| H-8α/H-9 | 2.44 | |
| H-8β/H-9 | 2.50 | |
| H-9/H3-17 | 2.61 |
| Position | 1H a | 13Cb | 1H 1H COSY | HMBC (H→C) | |
|---|---|---|---|---|---|
| 1 | 2.51 m | 40.6 | (d) d | H-2, H-10, H-14 | C-10 |
| 2 | 3.90 d (3.6) c | 88.1 | (d) | H-1 | C-1, −3, −4 |
| 3 | 74.8 | (s) | |||
| 4 | 5.21 dd (8.0, 4.0) | 73.8 | (d) | H2-5 | C-6, −21 |
| 5α | 2.48 m | 34.2 | (t) | H-4, H-5β, H-6 | C-6, −7 |
| β | 1.97 m | H-4, H-5α, H-6 | n.o. e | ||
| 6 | 4.66 dd (8.8, 3.2) | 83.8 | (d) | H2-5 | C-4, −7, −16, −25 |
| 7 | 144.2 | (s) | |||
| 8α | 2.65 dd (14.0, 4.8) | 41.4 | (t) | H-8β, H-9 | C-6, −7, −9, −10, −16 |
| β | 2.46 dd (14.0, 2.0) | H-8α, H-9 | C-6, −7, −9, −10, −16 | ||
| 9 | 4.06 br s | 82.4 | (d) | H2-8, H-10 | n.o. |
| 10 | 2.58 br s | 44.7 | (d) | H-1, H-9 | C-8, −9, −11 |
| 11 | 131.1 | (s) | |||
| 12 | 5.49 m | 123.1 | (d) | H2-13, H3-17 | n.o. |
| 13α | 2.01 m | 22.9 | (t) | H-12, H-13β, H-14 | n.o. |
| β | 1.80 m | H-12, H-13α, H-14 | n.o. | ||
| 14 | 1.39 m | 39.8 | (d) | H-1, H2-13, H-18 | C-2 |
| 15 | 1.33 s | 22.8 | (q) | C-2, −3, −4 | |
| 16a | 5.26 s | 117.7 | (t) | H-16b | C-6, −8 |
| b | 5.47 s | H-16a | C-6, −7, −8 | ||
| 17 | 1.69 d (1.2) | 22.8 | (q) | H-12 | C-10, −11, −12 |
| 18 | 1.80 m | 27.8 | (d) | H-14, H3-19, H3-20 | C-14, −19, −20 |
| 19 | 0.94 d (6.8) | 21.7 | (q) | H-18 | C-14, −18, −20 |
| 20 | 0.77 d (6.8) | 17.5 | (q) | H-18 | C-14, −19, −20 |
![]() | 170.2 | (s) | |||
| 4.87 dd (6.8, 6.0) | 74.3 | (d) | H2-23 | C-21, −23, −24 | |
| 1.91 m | 24.5 | (t) | H-22, H3-24 | C-21, −22, −24 | |
| 1.02 t (7.2) | 9.3 | (q) | H2-23 | C-22, −23 | |
| 6-OC(O)CH3 | 171.6 | (s) | |||
| 25 26 | 2.14 s | 20.6 | (q) | C-25 | |
| Compound | Cell lines IC50 (μg/mL) | |||
|---|---|---|---|---|
| DLD-1 | HL-60 | CCRF-CEM | P388D1 | |
| 1 | >40 | >40 | >40 | >40 |
| 2 | 10.2 | >40 | 4.7 | >40 |
| Doxorubicin a | 0.09 | 0.03 | 0.18 | 0.11 |
| Compound | Superoxide anion | Elastase release |
|---|---|---|
| IC50 (μg/mL) a or (Inh %) b | IC50 (μg/mL) or (Inh %) | |
| 1 | (20.5 ± 5.0) | (27.1 ± 4.8) |
| 2 | 5.9 ± 0.7 | 6.5 ± 1.9 |
| DPI c | 0.8 ± 0.2 | |
| Elastatinal c | 30.8 ± 5.7 | |
© 2010 by the authors; licensee Molecular Diversity Preservation International, Basel, Switzerland This article is an open-access article distributed under the terms and conditions of the Creative Commons Attribution license (http://creativecommons.org/licenses/by/3.0/).
Share and Cite
Chen, Y.-H.; Tai, C.-Y.; Hwang, T.-L.; Weng, C.-F.; Li, J.-J.; Fang, L.-S.; Wang, W.-H.; Wu, Y.-C.; Sung, P.-J. Cladielloides A and B: New Eunicellin-Type Diterpenoids from an Indonesian Octocoral Cladiella sp. Mar. Drugs 2010, 8, 2936-2945. https://doi.org/10.3390/md8122936
Chen Y-H, Tai C-Y, Hwang T-L, Weng C-F, Li J-J, Fang L-S, Wang W-H, Wu Y-C, Sung P-J. Cladielloides A and B: New Eunicellin-Type Diterpenoids from an Indonesian Octocoral Cladiella sp. Marine Drugs. 2010; 8(12):2936-2945. https://doi.org/10.3390/md8122936
Chicago/Turabian StyleChen, Yung-Husan, Chia-Ying Tai, Tsong-Long Hwang, Ching-Feng Weng, Jan-Jung Li, Lee-Shing Fang, Wei-Hsien Wang, Yang-Chang Wu, and Ping-Jyun Sung. 2010. "Cladielloides A and B: New Eunicellin-Type Diterpenoids from an Indonesian Octocoral Cladiella sp." Marine Drugs 8, no. 12: 2936-2945. https://doi.org/10.3390/md8122936
APA StyleChen, Y.-H., Tai, C.-Y., Hwang, T.-L., Weng, C.-F., Li, J.-J., Fang, L.-S., Wang, W.-H., Wu, Y.-C., & Sung, P.-J. (2010). Cladielloides A and B: New Eunicellin-Type Diterpenoids from an Indonesian Octocoral Cladiella sp. Marine Drugs, 8(12), 2936-2945. https://doi.org/10.3390/md8122936




