Cytotoxicity and Inhibition of Lymphocyte Proliferation of Fasciculatin, a Linear Furanosesterterpene Isolated from Ircinia variabilis Collected from the Atlantic Coast of Morocco
Abstract
:Introduction

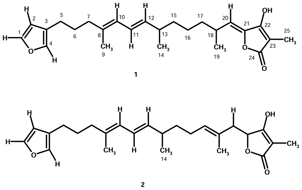
Results and Discussion
Conclusion
Experimental
General
Biological Material
Extraction and Isolation of the constituents
Biological activity
Material and Methods
Tumor cell growth assay
Lymphocyte proliferation assay
| GI 50 (μM) | IC 50 (μM) | |||
|---|---|---|---|---|
| MCF-7 (breast) | NCI-H460 (lung) | SF-268 (CNS) | Human lymphocytes | |
| Fasciculatin (1) | 47.11 ± 0.93 | 64.49 ± 0.84 | 72.45 ± 2.19 | >125 |
| Doxorubicina | 42.82 ± 8.21 | 94.01 ± 8.72 | 93.02 ± 7.02 | _ |
| Cyclosporine | _ | _ | _ | 0.34 ± 0.04 |
Acknowledgements
- Sample availability: Not available.
References
- Davis, R.; Capon, R. J. Two for One: Structure Revision of the Marine Sesterterpene Tetronic Acid Strobilinin to (8Z, 13E, 20Z)-Strobilinin and (8E,13Z,20Z)-Strobilinin. Aust. J. Chem. 1994, 47, 933–936. [Google Scholar]
- Cafieri, F; Fattorusso, E; Santacroce, C. Fasciculatin, a novel sesterterpene from the sponge Ircinia fasciculata. Tetrahedron 1972, 28, 1579–1583. [Google Scholar]
- Liu, Y.; Mansoor, T. A.; Hong, J.; Lee, C-O.; Sim, C. J.; Im, K. S.; Kim, N. D.; Jung, J. H. New Cytotoxic Sesterterpenoids and Norsesterterpenoids from Two Sponges of the Genus Sarcotragus. J. Nat. Prod. 2003, 66, 1451–1456. [Google Scholar]
- Choi, K.; Hong, J.; Lee, C-O.; Kim, D.; Sim, C. J.; Im, K. S.; Jung, J. H. Cytotoxic Furanosesterterpenes from a Marine Sponge Psammocinia sp. J. Nat. Prod. 2004, 67, 1186–1189. [Google Scholar]
- Erdogan-Orhan, I.; Sener, B.; Rosa, S.; Perez-Baz, J.; Lozach, O.; Leost, M.; Rakhilin, S.; Meijer, L. Polyprenyl-hydroquinones and furans from three marine sponges inhibit the cell cycles regulating phosphatase CDC25A. Nat. Prod. Res. 2004, 18, 1–9. [Google Scholar]
- Alfano, G.; Cimino, G.; De Stefano, S. Palinurin, a new linear sesterterpene from a marine sponge. Experientia 1979, 1136–1137. [Google Scholar]
- Barrow, C.J.; Blunt, J. W.; Munro, M. H. G.; Perry, N. B. Variabilin and related compounds from a sponge of the genus Sarcotragus. J. Nat. Prod 1988, 51, 275–281. [Google Scholar]
- Skehan, P.; Storeng, R.; Scudiero, D.; Monks, A.; McMahon, J.; Vistica, D.; Warren, J.T.; Bokesch, H.; Kenny, S.; Boyd, M.R. New colrimetric cytotoxicity assay for anticancer drug screening. J. Natl. Cancer Inst 1990, 82, 1107–1112. [Google Scholar]
- Monks, A.; Scudiero, D.; Skehan, P.; Shoemaker, R.; Paul, K.; Vistica, D.; Hose, C.; Langley, J.; Cronise, P.; Vaigro-Wolff, A.; Gray-Goodrich, M.; Campbell, H.; Mayo, J.; Boyd, M. Feasibility of a high-flux anticancer drug screening using a diverse panel of cultured human tumor cell lines. J. Natl. Cancer Inst. 1991, 83, 757–776. [Google Scholar]
- Mosmann, T. Rapid colorimetric assay for cellular growth and survival: Application to proliferation and cytotoxicity assays. J. Immununol. Meth 1983, 65, 55–63. [Google Scholar]
- Gonzalez, M. J.; Nascimento, M. S. J.; Cidade, H. M.; Pinto, M. M.; Kijjoa, A.; Anantachoke, C.; Silva, A. M. S.; Herz, W. Immunomodulatory activity of xanthones from Calophyllum teysmanii var inophylloide. Planta Med 1999, 65, 368–371. [Google Scholar]
© 2005 by MDPI Reproduction is permitted for noncommercial purposes.
Share and Cite
Rifai, S.; Fassouane, A.; Pinho, P.M.; Kijjoa, A.; Nazareth, N.; Nascimento, M.S.J.; Herz, W. Cytotoxicity and Inhibition of Lymphocyte Proliferation of Fasciculatin, a Linear Furanosesterterpene Isolated from Ircinia variabilis Collected from the Atlantic Coast of Morocco. Mar. Drugs 2005, 3, 15-21. https://doi.org/10.3390/md301015
Rifai S, Fassouane A, Pinho PM, Kijjoa A, Nazareth N, Nascimento MSJ, Herz W. Cytotoxicity and Inhibition of Lymphocyte Proliferation of Fasciculatin, a Linear Furanosesterterpene Isolated from Ircinia variabilis Collected from the Atlantic Coast of Morocco. Marine Drugs. 2005; 3(1):15-21. https://doi.org/10.3390/md301015
Chicago/Turabian StyleRifai, Saida, Aziz Fassouane, Paulo M. Pinho, Anake Kijjoa, Nair Nazareth, Maria São José Nascimento, and Werner Herz. 2005. "Cytotoxicity and Inhibition of Lymphocyte Proliferation of Fasciculatin, a Linear Furanosesterterpene Isolated from Ircinia variabilis Collected from the Atlantic Coast of Morocco" Marine Drugs 3, no. 1: 15-21. https://doi.org/10.3390/md301015
APA StyleRifai, S., Fassouane, A., Pinho, P. M., Kijjoa, A., Nazareth, N., Nascimento, M. S. J., & Herz, W. (2005). Cytotoxicity and Inhibition of Lymphocyte Proliferation of Fasciculatin, a Linear Furanosesterterpene Isolated from Ircinia variabilis Collected from the Atlantic Coast of Morocco. Marine Drugs, 3(1), 15-21. https://doi.org/10.3390/md301015
