Next Article in Journal
Methodologies for Detoxifying Bivalves from Marine Paralytic Shellfish Toxins
Previous Article in Journal
Functionalization Strategies of Chitosan-Based Scaffolds with Growth Factors for Bone Regeneration: A Systematic Review
 
 
Font Type:
Arial Georgia Verdana
Font Size:
Aa Aa Aa
Line Spacing:
Column Width:
Background:
Review

Insights into the Bioactivities and Mechanism of Action of the Microbial Diketopiperazine Cyclic Dipeptide Cyclo(L-leucyl-L-prolyl)

by
Christian Bailly
1,2,3
1
UMR9020-U1277-CANTHER-Cancer Heterogeneity Plasticity and Resistance to Therapies, CHU Lille, CNRS, Inserm, OncoLille Institute, University of Lille, 59000 Lille, France
2
Institute of Pharmaceutical Chemistry Albert Lespagnol (ICPAL), Faculty of Pharmacy, University of Lille, 59006 Lille, France
3
OncoWitan, 59290 Lille, France
Mar. Drugs 2025, 23(10), 397; https://doi.org/10.3390/md23100397
Submission received: 18 September 2025 / Revised: 7 October 2025 / Accepted: 8 October 2025 / Published: 9 October 2025
(This article belongs to the Section Marine Pharmacology)

Abstract

Diketopiperazines (DKPs) are biologically important cyclic dipeptides widespread in nature, associated primarily with microorganisms. This is the case for the 2,5-DKP derivative cyclo(L-Leu-L-Pro) (cLP), also known as gancidin W or PPDHMP, identified from a variety of bacteria and fungi, and occasionally found in food products. The present review retraces the discovery of cLP, its identification in living species, its chemical syntheses, and its biochemical properties. In bacteria, cLP is often associated with other DKPs to serve as a defense element against other microorganisms and/or as a regulator of bacterial growth. cLP plays a role in quorum-sensing and functions as an anticariogenic and antifungal agent. The antimicrobial mechanism of action and molecular targets of cLP are evoked. The interest in cLP for combatting certain parasitic diseases, such as malaria, and cancers is discussed. The capacity of cLP to interact with CD151 and to down-regulate the expression of this tetraspanin can be exploited to reduce tumor dissemination and metastases. The review sheds light on the pharmacology and specific properties of cyclo(L-Leu-L-Pro), which can be useful for the development of a novel therapeutic approach for different human pathologies. It is also of interest to help define the bioactivity and mechanisms of action of closely related DKP-based natural products.

Graphical Abstract

1. Introduction

The diketopiperazine (DKP) motif is frequently encountered in drugs and natural products. There are three DKP isomers: 2,3-, 2,5-, and 2,6-DKPs (Figure 1). The 2,5-DKP motif is the one most commonly found in natural products, but the two other configurations are also exploited for drug design. For example, a recent work explored 2,3-DKP as a potential scaffold for developing antiparasitic compounds to combat Chagas disease [1]. The motif can be encountered occasionally in natural products, such as the alkaloids heterpyrazines A-B [2] and orychophragvioline A [3]. The 2,6-DKP unit is not very common, but it has been explored for designing anticonvulsant, anticancer, and antiparasitic compounds, for example [4,5,6,7,8,9]. In contrast, 2,5-DKPs are largely represented in nature, as observed in various alkaloids such as brevianamides E1-E2, amauromine, naseseazines, and many other natural products [10,11]. The drug candidate plinabulin is a 2,5-DKP derivative acting as an anti-tubulin agent, currently undergoing phase 3 clinical trials for the treatment of non-small-cell lung cancer [12,13], and its derivative 5-3 has revealed a promising antileukemic activity [14] (Figure 1). The DKP motif is considered important to the design of anticancer agents [15].
DKP is a basic unit both in drug design and protein chemistry. The 2,5-DKP motif is in fact a cyclodipeptide unit obtained by the condensation of two α-amino acids. 2,5-DKP itself corresponds to cyclo(Gly-Gly), and its cis-amide functionality can form intermolecular hydrogen bonds (N−H...O) between adjacent molecules, so as to generate higher-ordered supermolecular structures in the solid state. This motif has been amply characterized, with multiple synthetic accesses to 2,5-DKPs proposed [16]. It is the simplest cyclic form of peptides, widespread in nature, resulting from the assembling of two amino acids by nonribosomal peptide synthetases or by cyclodipeptide synthases [17]. DKP dipeptides are endowed with diverse pharmacological properties, such as antimicrobial, insecticidal, antiviral, nematicidal activities, and others [18]. For example, cyclo(His-Pro) DKP isomers have shown activity against acetylcholinesterase and revealed neuroprotective properties of potential interest to combat Alzheimer’s disease [19]. In contrast, Trp-containing DKPs showed marked activities against human pathogenic bacteria [20], whereas the DKPs cyclo(His-Met) and cyclo(His-Pro) exhibited interesting anti-age properties [21]. Among the many existing DKP dipeptides, one natural product caught our attention: the leucine derivative cyclo(L-Leu-L-Pro), also known as gancidin W or PPDHMP, which displays interesting antimicrobial properties. An overview of the pharmacological properties of cyclo(L-Leu-L-Pro), hereafter designated cLP (Figure 2), is presented here, with the objective to promote knowledge on this atypical compound and to encourage the design of analogs.

2. cLP as a Natural Product

Gancidin A is an antibacterial natural product first isolated from a Streptomyces gancidicus strain AAK-84 in the mid-1950s at Chiba University, Japan [22]. It is a complex molecule, initially described with the formula C43H58N6O14, structurally related but larger than the quinoid antibiotic xanthomycin A (C29H40Cl2N8O8). The product has revealed an inhibitory activity against a wide range of pathogenic bacteria, in particular Gram-positive cocci [23]. The antibacterial effects have been reported but, from a structural standpoint, the antibiotic gancidin A has never been very well characterized [24,25]. In fact, the initial studies referred to three entities: gancidin complex, gancidin A, and gancidin W (C11H18N2O2), the former being 20 times more potent than the latter at inhibiting the growth of Ehrlich ascites carcinoma (MIC = 10 and 200 mcg/mL, gancidin A and W, respectively) [26]. If the structure of gancidin A remains unclear at present, that of gancidin W is well established; it corresponds to cis-cyclo(L-Leu-L-Pro), which is a compound originally known as L-Leucyl-L-Proline anhydride, produced by Streptomyces species [27,28,29]. Apparently, the compound was first discovered at the beginning of the XXth century from a tryptic digest of the gluten protein gliadin [30]. A product with the same formula (C11H18N2O2), designated helmintin, has been isolated from the deuteromycete Helminthosporium siccans, but it is also L-Leucyl-L-Proline anhydride or cLP [31] (Figure 2).
In 1977, Jain and coworkers isolated and purified gancidin W from Streptomyces gancidicus strain BC-494 and structurally characterized the molecule using mass spectrometry and nuclear magnetic resonance (NMR) spectroscopy [32]. Over the past forty-eight years, gancidin W has been isolated from different microorganisms (Table 1). The compound has been found in the marine ascomycete Corollospora pulchella [33,34], the marine species Streptomyces paradoxus VITALK03 [35,36], Streptomyces species KH-614, SUK10, and VITLGK012 [37,38,39,40,41], and the endophytic fungal strain Acremonium sp. Ld-03 [42]. Gancidin W corresponds to the cis-cyclo(L-Leu-L-Pro) isomer (Figure 2). The other isomers also exist in nature. The two isomers cyclo(D-Leu-D-Pro) and cyclo(D-Leu-L-Pro) have been isolated from Pseudonocardia endophytica VUK-10 and characterized as antifungal agents [43]. Isomer cyclo(L-Leu-D-Pro) has been found in Bacillus amyloliquefaciens Y1 [44], but another study referred to the identification of cyclo(L-Leu-L-Pro) in this bacterium [45]. Isomers cyclo(L-Leu-D-Pro) and cLP have been isolated, together with many other DKPs, from a culture of the fungus Phellinus igniarius [46]. The present analysis is focused on the LL isomer only, found in many microorganisms (Figure 3).
cLP has been identified in bacterial fractions from the species Staphylococcus xylosus VITURAJ10 isolated from goat milk and shown to inhibit bacterial pathogens such as S. aureus and E. coli. In this case, the product was designated PPDHMP (for pyrrolo[1,2α]pyrazine-1,4-dione,hexahydro-3-(2-methylpropyl)) [47,48,49]. The same product PPDHMP has been isolated from a few other bacterial species, notably Bacillus sp. VITLTMJ4 [50], Burkholderia seminalis JRBHU6 [51], Staphylococcus sp. MB30 [52], and Nocardiopsis sp. GRG1 [53]. Actually, the denomination cyclo(L-Leu-L-Pro) is more frequently used than gancidin W or PPDHMP, but it is the same compound. Cyclo(L-Leu-L-Pro) has been found in the Gram-positive bacterium Lactobacillus plantarum LBP-K10 [54,55,56], Gram-negative bacterium Pseudomonas sesami BC42 [57], in extracts of Streptomyces misionensis V16R3Y1 [58], in Lactobacillus coryniformis BCH-4 [59], and in other microorganisms, including lactic acid bacteria present in Bulgarian yogurt, for example [60] (Table 1). Cyclo(Leu-Pro) displays marked antibacterial properties, with activities reported against both Gram-positive (B. subtilis, S. aureus) and -negative (E. coli, S. typhimurium) bacteria. Interestingly, the compound is also active against multidrug-resistant strains, such as S. aureus 11471 and S. typhimurium 12219c, with a level of activity significantly superior to that of the DKP cyclo(Phe-Pro) (MIC = 17.28 and 46.22 mg/mL, respectively, against S. aureus 11471) [61].
Table 1. Microorganisms producing cyclo(L-Leu-L-Pro) or gancidin W and associated bioactivities.
Table 1. Microorganisms producing cyclo(L-Leu-L-Pro) or gancidin W and associated bioactivities.
Microorganisms 1Org. 2BioactivitiesRefs
Achromobacter xylosoxidans NFRI-A1B (g)Inhibition of fungal growth by cLP isolated from this endophytic bacterium. cLP repressed transcription of the aflatoxin-related genes.[62]
Aspergillus aculeatus F027FIsolation of cyclo(L-Pro-L-Leu) and cyclo(L-Pro-L-Phe) and their antibacterial activities.[63]
Bacillus amyloliquefaciens MMS-50B (g+)Characterization of cLP and its activity against Streptococcus mutans, responsible for dental caries.[64]
Antibiofilm activity of cLP against Listeria monocytogenes (MIC = 512 μg/mL).[45]
Bacillus baekryungensis AMHSUB (g+)Isolation of PPDHMP (cLP) and characterization of its anti-inflammatory activity.[65]
Bacillus pumilus GL0057B (g+)Two DKPs, cyclo-(L-Leu-L-Pro) and cyclo-(L-Phe-L-Pro), identified from this marine bacterium isolated from the black coral Antipathes sp.[66]
Bacillus sp. strain NB (g+)Marked activity of cyclo(l-Pro-l-Leu) against the fungus pathogen Penicillium expansum.[67]
Bacillus sp. VITLTMJ4.B (g+)Identification of PPDHMP (cLP) isolated from this bacterial species endophyte of Citrus limon (Kaji nemu) and its antibacterial properties.[50]
Bacillus vallismortis BS07B (g+)Characterization of cyclic dipeptides, including cyclo(L-Leu-L-Pro), and their role in disease resistance in Arabidopsis against Pseudomonas syringae infection.[68]
Bacillus velezensis Ea73B (g+)Cyclo(L-Leu-L-Pro) and cyclo(L-Pro-L-Val) extracted from this endophytic bacterium in the poisonous weed Ageratina adenophora.[69]
Brevibacillus laterosporusB (g+)Identification of cyclo(Leu-Pro) and its activity against several pathogenic microorganisms.[70]
Corollospora pulchellaFProduction of gancidin W by the marine fungus C. pulchella.[33,34]
Cronobacter sakazakiiB (g)The role of cyclo(l-Pro-l-Leu) as a quorum-sensing signal between C. sakazakii and Bacillus cereus.[71]
Exiguobacterium acetylicum S01B (g+)Four DKPs identified, including cLP, capable of inducing cell growth arrest and apoptosis of HT-29 cancer cells. The four DKPs inhibited tumor progression in a zebrafish xenograft model.[72]
Exiguobacterium R2567B (g+)In this bacterium, cyclo(Leu-Pro) activates the rice strigolactone signaling pathway by binding to the SL receptor OsD14, so as to regulate tillering.[73]
Galactomyces geotrichumFIdentification of cyclo(Leu-Pro) as a metabolite in this species from Laminaria japonica.[74]
Haemophilus influenzae Rd KW20B (g)Identification of cyclo(Leu-Pro) as a metabolite in this species via a genome-scale metabolic model.[75]
Lactiplantibacillus plantarum CCFM8724B (g+)Identification of cyclo(leu-pro) and cyclo(phe-pro) and their roles as biofilm inhibitors.[76]
Lactobacillus casei AST18B (g+)Identification of cyclo(Leu-Pro) and its synergistic antifungal effect with lactic acid against Penicillium sp.[77]
Lactobacillus coryniformis BCH-4 (Loigolactobacillus coryniformis BCH-4)B (g+)Identification of cLP and characterization of its antifungal action against Aspergillus flavus and potential target proteins. Bioprotective activity.[59]
Lactobacillus plantarum LBP-K10B (g+)Identification of five DKPs, including cyclo(l-Leu-l-Pro), and their inhibitory effects against Ganoderma boninense.[54,55]
Antiviral activity of fractions containing cis-cyclo(L-Leu-L-Pro) against Influenza virus.[56]
Antimicrobial activity of cyclo(L-Leu-L-Pro) against multidrug-resistant bacteria, alone and in combination with a microbial fraction (Q9).[78]
Lactobacillus rhamnosusB (g+)Identification of cyclo(L-Leu-L-Pro) and its antibiofilm activity.[79]
Lactococcus lactis subsp. cremorisB (g+)Identification of cLP in this species.[80]
Lasiodiplodia iranensis F0619FIdentification of cLP in a fractionated extract of L. iranensis isolated from the Panamean mangrove Avicennia germinans.[81]
Leuconostoc mesenteroides LBP-K06B (g+)Bacteria found in fermented food kimchi and characterization of cyclo(Leu-Pro) and its activity against different Gram-positive/negative bacteria.[61]
Optimization of culture conditions to produce DKPs in this system, notably with co-culture of Lb. plantarum LBP-K10 and Leu. mesenteroides LBP-K06.[82]
Limosilactobacillus reuteri LR-9 (Lactobacillus reuteri)B (g+)Identification of cyclo(L-Pro-L-Leu), cyclo(L-Pro-L-Phe), and the antifungal activity of bacterial fractions.[83]
Lysobacter capsici AZ78B (g)Isolation of cyclo(l-Pro-l-Leu) and other DKPs, and their activity against Gram-positive bacterium Rhodococcus fascians LMG 3605.[84]
Marchantia polymorphaLIdentification of cLP and cyclo(l-Phe-l-Pro) produced by endophytes from M. polymorpha.[85]
Nocardia ignorataB (g+)Identification of cyclo(l-Pro-l-Leu) and other DKPs from this actinobacterium isolated from the terrestrial lichen Collema auriform.[86]
Nocardiopsis sp. GRG 1B (g+)Activity of a bacterial extract against biofilm forming uropathogens and identification of PPDHMP (cLP) from this species.[53]
Nocardiopsis sp. HT88B (g+)Identification of 8 DKPs, including cyclo(L-Pro-L-Leu), from the endophytic bacterium of Mallotus nudiflorus L.[87]
Penicillium purpurogenum G59FDifferent Pro-containing DKPs, including cLP, were isolated from a neomycin-resistant mutant of this marine-derived fungus, together with penicimutide.[88]
Pestalotiopsis sydowiana PPRFcLP from the marine fungal P. sydowiana inhibits biofilm formation by Pseudomonas aeruginosa PAO1 at sub-toxic concentrations. Anti-QS activity at sub-MIC concentrations of cLP.[89]
Pithomyces sacchariFcLP isolated with two other DKPs from the endophytic fungus Pithomyces sacchari of the Laurencia sp. collected in the South China sea.[90]
Pseudofusicoccum sp.FIsolation and characterization of cyclo(L-Pro-L-Val) and cyclo(L-Leu-L-Pro) in this fungus, which produces the burgundy pigment upon fermentation.[91]
Pseudomonas fluorescensB (g)Isolation of cyclo(L-Leu-L-Pro) and bactericidal activity against S. aureus and P. aeruginosa.[92]
Pseudomonas putida MCCC 1A00316B (g)Identification of cyclo(l-Pro-l-Leu) and characterization of its activity against the nematode Meloidogyne incognita. The product increased the mortality rates of second-stage juveniles (J2) of M. incognita.[93]
Pseudomonas putida WCS358B (g)Identification of four DKPs, including cyclo(l-Leu-l-Pro), and characterization of their capacity to activate the quorum-sensing biosensors of the plant pathogen Agrobacterium tumefaciens.[94]
Pseudomonas sesami BC42B (g)Identification of three isomers of cyclo(Leu-Pro), including cyclo(l-Leu-l-Pro), which potently reduced conidia germination and leaf lesion size caused by the fungal pathogen Colletotrichum orbiculare.[95]
Pseudomonas simiae MB751B (g)Isolation of cyclo(L-Pro-L-Leu) from this nematicidal bacterium and its capacity to kill the root-knot nematode Meloidogyne incognita.[96]
Pseudomonas sp. PTR-08B (g)Antioxidant and anti-glycation activities of the bacterial extract that contains PPDHMP (cLP).[97]
Rheinheimera japonica KMM 9513TB (g)cLP and other DKPs identified from this marine bacterium. No antibacterial activity observed with cLP.[98]
Rosellinia necatrixFIdentification of three DKPs, including cyclo(Leu-Pro), and their capacity to inhibit the growth of plant seedlings and plant roots.[99]
Ruegeria sp.B (g)Identification and structural characterization of cyclo(Leu-Pro) in an extract of Ruegeria sp. from Indonesia.[100]
Sceloporus virgatus (lizard)AIdentification of cyclo(L-Leu-L-Pro) and cyclo(L-Pro-L-Pro) in the femoral gland secretions of the lizard.[101]
Shewanella baltica SA02B (g)Production of cyclic dipeptides, including cyclo(L-Pro-L-Leu), and their role in the production of biofilm matrixes.[102]
Staphylococcus xylosus VITURAJ10B (g+)Isolation of PPDHMP (cLP) from the strain VITURAJ10 isolated from goat milk and antimicrobial activity of the bacterial extract.[46]
Staphylococcus sp. MB30B (g+)Isolation of PPDHMP from this marine bacterium and characterization of its antiproliferative and pro-apoptotic properties using lung (A549) and cervical (HeLa) cancer cells.[52]
Streptomyces antimicrobicus BN122.B (g+)Cyclo-(L-Pro-L-Xxx) DKPs, including cLP, identified from the Streptomyces strain, which is an endophyte in Oryza sativa.[103]
Streptomyces blastmyceticus
12-6
B (g+)Identification of cyclo-(Leu-Pro) and characterization of its activity against several pathogenic fungi, notably the spores of Colletotrichum acutatum responsible for anthracnose in plants.[104]
Streptomyces cavourensis TN638B (g+)cLP identified as one of the DKPs present in the studied extracts, and its antibacterial activities.[105]
Streptomyces fungicidicusB (g+)Isolation of cyclo(l-Leu-l-Pro) and four other DKPs from a culture of this deep-sea actinomycete bacterium, and their activities against the larvae of the barnacle Balanus amphitrite.[106]
Streptomyces gancidicus BC-494B (g+)The first strain from which gancidin W (cLP) was identified and structurally characterized.[32]
Streptomyces griseorubens K5B (g+)Metabolite profiling of the bacterial extract and identification of PPDHMP (cLP).[107]
Streptomyces lavendulae No. 314.B (g+)Isolation of Pro-containing DKP, including cLP, from a culture filtrate of this species.[108]
Streptomyces misionensis V16R3Y1B (g+)Identification of cyclo(l-Leu-l-Pro) in fractions active against human pathogenic bacteria.[58]
Streptomyces paradoxus VITALK03B (g+)Production of gancidin W by this marine strain. Evaluation of its cytotoxic properties (IC50 = 1.56 μg/mL against MCF7 breast cancer cells) and potential binding to protein targets using molecular modeling (binding to Kras).[35,36]
Streptomyces sp. KH-614B (g+)Marked activity against vancomycin-resistant enterococci, notably E. faecalis (strains K-99-34, K-00-184, and K-00-221); MIC = 12.5 m g/mL.[37]
Potent activity of cyclo(l-Leu-l-Pro) against the phytopathogenic fungus Pyricularia oryzae IFO5994 (MIC = 2.5 mg/mL).[109]
Cyclo(l-Leu-l-Pro) inhibits the growth of different pathogenic microorganisms and displays anti-mutagenic effects in Salmonella strains.[110]
Streptomyces sp. S2AB (g+)Antibacterial activities of extracts from this species and characterization of PPDHMP (cLP) as a main bioactive product.[111]
Streptomyces sp. S-580B (g+)Isolation of l-Leucyl-l-Proline anhydride and the formation mechanism of l-prolyl diketopiperazines.[29,112,113]
Streptomyces sp. SB1 and SB3B (g+)Identification of cLP and other DKPs produced by Streptomyces species SB1 and SB3.[114]
Streptomyces sp. SUK 10B (g+)Gancidin W was produced by bacteria Streptomyces, sp. SUK10, identified from the bark of the Shorea ovalis tree. The dipeptide was shown to inhibit the growth of Plasmodium berghei PZZ1/100 in mice.[38,39]
Streptomyces sp. SUK 25B (g+)Identification of five DKPs, including cLP, and their activities against methicillin-resistant S. aureus and Enterococcus raffinosus.[115]
Streptomyces sp. USC-16018B (g+)Antiplasmodial activity of cyclo(l-Pro-l-Leu), but not cyclo(l-Pro-l-Phe), cyclo(l-Pro-l-Val), and cyclo(l-Pro-l-Ty), against Plasmodium falciparum strains 3D7 and Dd2, without cytotoxicity.[116]
Streptomyces sp. VITMK1B (g+)Isolation of PPDHMP (cLP) and characterization of its free radical scavenging activity.[117]
Streptomyces spectabilis HDa1B (g+)Isolation of three DKPs, including cyclo-(L-Leu-l-Pro). No acetylcholinesterase inhibitory activity observed with this DKP.[118]
Veillonella tobetsuensisB (g)Characterization of cLP and its capacity to inhibit Streptococcus gordonii biofilm development.[119]
1 Main examples. Cyclo(Leu-Pro) has been found in other species, but the stereochemistry of the product is not always indicated. cLP = cyclo(Leu-Pro). 2 Organisms: A, animal; B, bacteria (g−/+, Gramnegative/positive); F, fungus; L, liverwort.
Altogether, cLP has been found in a large variety of microorganisms, including Streptomyces, Lactobacillus, and Pseudomonas species (Table 1). But, remarkably, the product is not exclusive to microorganisms. It has been found also in a few plants and in terrestrial vertebrates, notably in the striped plateau lizard (Sceloporus virgatus). Two DKPs, cyclo(L-Leu-L-Pro) and cyclo(L-Pro-L-Pro), were found in the femoral gland secretions of the lizard and were suspected to play a role in intra-specific (male–male) communication of lizards [101]. DKPs have been found in beef, including cis-cyclo(L-Leu-L-Pro), contributing to the organoleptic properties [120].
In plants, cLP was identified in a bioactive fraction prepared from an aqueous extract from the medicinal plant Fagonia cretica. This fraction showed activity against multidrug-resistant gastrointestinal pathogenic bacteria [121]. The presence of cLP in the orchid Gymnadenia conopsea (L.) R. Br.—an endangered medicinal plant—has been reported as well [122]. The cyclic dipeptide has been found in food products, such as Bulgarian yogurts as mentioned above [60], but also in beer, soy sauce, and roasted coffee [123,124,125]. cLP was identified in the millet-based fermented beverage tongba, consumed by Nepalese–Tibetan communities in Himalaya [126,127]. It can even be found in bread crumbs and crusts, together with cis-cyclo(L-Phe-L-Pro), formed during the baking process [128]. cLP or gancidin W is a natural product largely present in nature, essentially produced by microorganisms, but occasionally also by plants and vertebrates.
The biosynthetic pathway leading to cLP is not well defined. Like other DKPs, the initial dipeptide can be formed through protein degradation or enzymatic pathways [129]. DKP biosynthesis pathways are complex. A recent study pointed out the existence of 359 cyclodipeptide synthases (CDPSs) and 9482 nonribosomal peptide synthetases (NRPSs) responsible for DKP biosynthesis in fungi [130]. In Pseudomonas aeruginosa, non-ribosomal peptide synthase (NRPS) proteins are implicated in the biosynthesis of these cyclodipeptides, notably cLP [131].

3. Chemical Synthesis of cLP

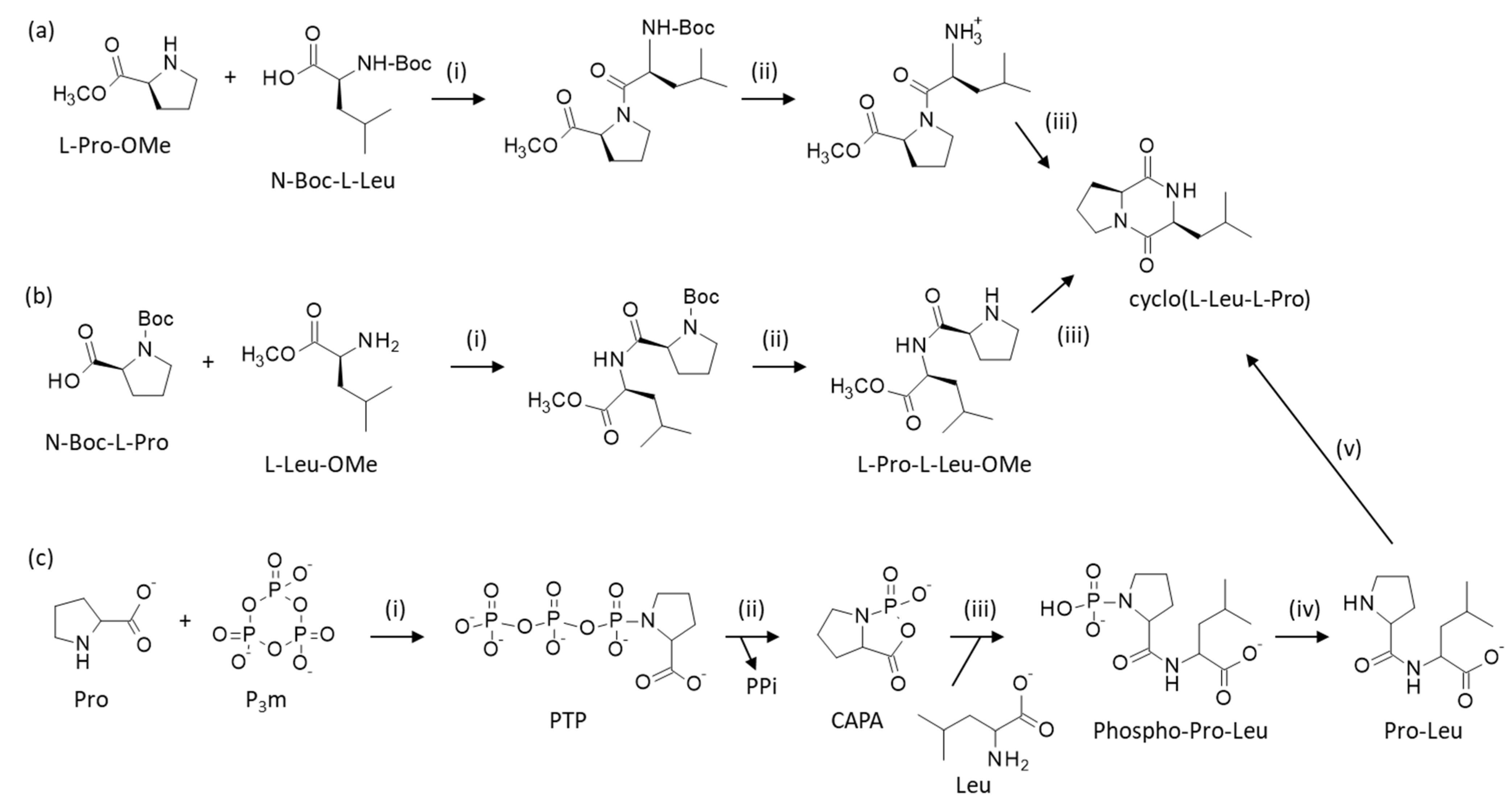
Most biologically active DKPs are isolated from natural sources, but these products can be obtained via synthetic methods, starting from α-amino acids, followed by the formation of a dipeptide and a cyclization [132]. The four stereoisomers of cyclo(Leu-Pro) can be easily prepared through chemical synthesis via the coupling of N-Boc protected leucine (N-Boc-Leu) with proline methyl ester (Pro-OMe), or via the reverse situation using N-Boc protected proline (N-Boc-Pro) and leucine methyl ester (Leu-OMe) (Scheme 1).
The linear N-amide alkylated dipeptide methyl ester is then cyclized either in a mixture of DMF/piperidine [133], or under a microwave at 180 °C [134]. A similar procedure has been used to prepare a library of DKPs comprising cLP. In this case, the authors started with L- or D-Pro-OMe coupled to N-Boc-protected amino acids using carbodiimide-mediated conditions. The N-Boc group of the dipeptide was then cleaved under acidic conditions, prior to inducing the intramolecular cyclization upon treatment with piperidine at room temperature (Scheme 1a). The DKPs thus obtained were purified by column chromatography [133]. Ouzari and coworkers adapted this procedure to synthesize cyclo(L-Leu-L-Pro) using a methylated leucine and a Fmoc strategy. The standard coupling reagents EDC and HOBt provided the Fmoc-protected dipeptide. The ester was then saponified with aqueous LiOH, prior to performing the final cyclization in the presence of EDC/HOBt. After chromatography, the final product cLP was obtained with an overall yield of 50% (Scheme 1b). This procedure, using N-Fmoc-protected amino acids under standard EDC/HOBt-mediated conditions, was considered more efficient than the Boc strategy [58]. A slightly lower yield (42.6%) was reported in a recent study for the synthesis of cyclo(L-Pro-L-Leu) using the EDC/HOBt coupling procedure outlined in Scheme 1 [135].
It is worth underlining that the four cyclo(Leu-Pro) stereoisomers can epimerize, as represented in Figure 2 [71,136]. The trans isomer is generally favored, being more stable than the cis isomer [136]. The absolute configuration of the four isomers of cLP can be precisely determined by chiral gas chromatography [71] or using electronic circular dichroism (ECD) [134]. The isomer cyclo(L-Leu-L-Pro) seems to play a particularly important role in bacterial communications [71]. This L-L isomer of cLP is also more efficient at inhibiting conidia germination and at reducing leaf lesion size caused by the cucumber plant pathogen C. orbiculare [57].
Scheme 1. Three complementary strategies for the synthesis of cLP. (a) Synthetic pathway used to prepare a DKP library including cLP. Conditions: (i) EDC-HCl, Et3N, CH2Cl2, 4 °C, 16 h. (ii) AcCl, MeOH, 0 °C, 3 h. (iii) Piperidine, DMF, 25 °C, 1 h [133]. (b) Synthesis based on the coupling of N-Boc-Pro with Leu-OMe to obtain the dipeptide, then cyclized after Boc-deprotection with TFA. (i) EDC, HOBt, Et3N, CH2Cl2, r.t. 24 h. (ii) CF3COOH, r.t., 1h. (iii) Et3N, CH3OH, reflux, 2 h [135]. (c) Synthesis of cyclo(Leu-Pro) according to [137]. (i) Pro activation with Na trimetaphosphate (P3m) (NaOH,H2O). (ii) formation of the cyclic acylphosphoramidate (CAPA) intermediate, which is then (iii) coupled with Leu to obtain phopho-Leu-Pro. After deprotection (iv), the final product was obtained upon cyclization in the alkaline aqueous solution (v).
Scheme 1. Three complementary strategies for the synthesis of cLP. (a) Synthetic pathway used to prepare a DKP library including cLP. Conditions: (i) EDC-HCl, Et3N, CH2Cl2, 4 °C, 16 h. (ii) AcCl, MeOH, 0 °C, 3 h. (iii) Piperidine, DMF, 25 °C, 1 h [133]. (b) Synthesis based on the coupling of N-Boc-Pro with Leu-OMe to obtain the dipeptide, then cyclized after Boc-deprotection with TFA. (i) EDC, HOBt, Et3N, CH2Cl2, r.t. 24 h. (ii) CF3COOH, r.t., 1h. (iii) Et3N, CH3OH, reflux, 2 h [135]. (c) Synthesis of cyclo(Leu-Pro) according to [137]. (i) Pro activation with Na trimetaphosphate (P3m) (NaOH,H2O). (ii) formation of the cyclic acylphosphoramidate (CAPA) intermediate, which is then (iii) coupled with Leu to obtain phopho-Leu-Pro. After deprotection (iv), the final product was obtained upon cyclization in the alkaline aqueous solution (v).
Marinedrugs 23 00397 sch001
An alternative process has been reported using L- or D-Pro and L- or D-Leu in the presence of Na trimetaphosphate (P3m) under alkaline aqueous condition (pH 11.7, 35 °C for 6 days). In this case, a clear preference for the formation of the cyclized product was observed when using D-Leu/Pro over L-Leu/Pro [138]. P3m is a convenient activator to produce dipeptides and Pro-containing DKPs from various amino acids (Scheme 1c) [137,139,140]. There are other options for synthesizing cLP and related DKPs [141,142]. Overall, the chemical synthesis of cLP poses no major difficulty, and the product can be produced in large quantities, if needed.
Chemo-enzymatic methods have also been considered for the synthesis of DKPs. A process based on the adenylation reaction of amino acids in the presence of the adenylation domain of tyrocidine synthetase A (TycA-A), followed by a cyclization, has been proposed. The method proved efficient for the synthesis of cyclo(L-Trp-L-Pro). It can be applied to other Pro-containing DKPs, like cLP [143]. The linkage of an adenylation domain is a convenient option to activate both L- and D-amino acids [144]. The DKP motif thus obtained can be used directly in pharmacological studies or exploited to synthesize longer peptides, notably via the use of Boc-DKP building blocks [145,146]. There are suitable procedures for integrating the DKP motif into peptides and in combinatorial chemistry [147,148,149].

4. Bioactivities of cLP

Multiple pharmacological activities have been reported for cLP, notably against a diversity of human pathogens. The different activities are discussed in turn below.

4.1. Antioxidant and Bioprotective Activities

Like other cyclic dipeptides, cyclo(L-Leu-L-Pro) can act as a scavenger of oxygen free radicals such as O2−• and OH. The product has been shown to inhibit OH. But its efficiency was a little inferior to that of other DKPs, notably cyclo(L-Phe-L-Pro) [150]. The quenching of oxygen free radicals contributes to the bioprotective action of cLP, notably against food-borne pathogenic fungi [59]. This antioxidant effect is not specific to cLP. It has been evidenced with a range of cyclic peptides containing L-leucine and possessing polar amino acid residues, like Pro, but also Asp, Cys, Glu, Lys, Ser, and Trp [151]. However, cLP is an efficient scavenger of reactive oxygen species (ROS), much more effective than the corresponding linear dipeptide LP [152].

4.2. Antibacterial Activities

Many cyclic dipeptides exhibit broad spectrum antimicrobial effects. This is the case for cLP, which can inhibit the growth of pathogenic microorganisms, alone or in combination with other cyclic dipeptides. In particular, the combination of cyclo(L-Leu-L-Pro) and cyclo(L-Phe-L-Pro) showed a synergistic activity against the pathogen Salmonella typhimurium, responsible for enterocolitis [110]. cLP revealed also a prominent activity against the uropathogen Serratia marcescens and the Gram-positive pathogen Staphylococcus epidermidis, which is often associated with bone infections [153,154]. In the latter case, cLP showed a prominent antibiofilm efficacy, without bactericidal effects. The product markedly inhibited biofilm formation (64% and 82% inhibition at 128 and 256 μg/mL) without blatantly altering the basic cellular action of the bacteria. cLP affected the chemical integrity of the extracellular polymeric substance (EPS) matrix, with a notable reduction in the polysaccharide and protein components, and a reduction in the charge of secreted EPS [153]. An antibiofilm activity was also reported when using the Gram-positive food-borne pathogen Listeria monocytogenes. In this case, cLP was a bactericide (MIC = 512 µg/mL), but a marked antibiofilm activity was observed at non-bactericidal doses. It reduced the biofilm assemblage and the bacterial virulence [45]. Other examples of antibacterial activities observed with cLP are listed in Table 1. cLP itself or bacterial fractions containing cLP have shown activity against diverse microorganisms, including multidrug-resistant bacteria [78].
cLP plays a role in quorum-sensing (QS) signaling, which is a mechanism of bacterial regulation relying on the production, release, and detection of signaling molecules (autoinducers) (Figure 4). The QS system helps bacteria to communicate with each other in a density-dependent manner and plays a role in the regulation of pathogenicity. This mechanism has been well studied with proline-containing cyclodipeptides, notably with cyclo(L-Pro-L-Tyr) (also known as maculosin), which targets the LasR receptor [155]. A molecular modeling analysis suggested that cLP can form stable complexes with the QS protein LasR and suppress the synthesis of QS-associated virulence factors in Pseudomonas aeruginosa PAO1 [89]. It can also form stable complexes with other proteins with a role in QS, such as cAMP-dependent protein kinase regulators RAS1 and adenylate cyclase CYR1 in Candida albicans [156]. In the bacteria Shewanella baltica, which is a specific spoilage organism of fishes, cLP was shown to act as a QS signal acting through the central regulator of stress resistance RpoS, implicated in biofilm formation and quorum-sensing [157]. cLP was shown to activate QS biosensors of the plant pathogen Agrobacterium tumefaciens, as observed with cyclo(L-Pro-L-Tyr) [94]. The two dipeptides cyclo(L-Leu-L-Pro) (cLP) and cyclo(L-Phe-L-Pro) have been identified in an extract of Vibrio alginolyticus BC25, which showed a significant anti-QS activity [158]. cLP has been identified also in an extract from Bacillus cereus RC1, with a role as a QS regulator for the pathogen Lelliottia amnigena, which causes soft rot diseases in onions and potatoes [159]. With no doubt, cLP can be considered as a quorum-sensing regulator and thus as a molecular actor of the bacteria social network (Figure 4).

4.3. Anticariogenic Activity

The capacity of cLP to attenuate the biofilm formation and virulence of the bacterium Streptococcus mutans suggested the use of this product to combat dental caries. S. mutans is a major oral pathogen, and cyclic dipeptides are considered as effective inhibitors of the adherence of microorganisms to the dental surface [160]. cLP displays activities against different bacteria implicated in dental caries and periodontal diseases, primarily S. mutans [64], but also other bacteria such as Streptococcus gordonii implicated also in oral biofilm formation. In the oral bacterium Veillonella tobetsuensis, cLP was found to inhibit the development of S. gordonii biofilm, without the inhibition of planktonic cell growth [119,161]. At this level, a potential mechanism of action refers to the capacity of cLP to down-regulate critical virulence proteins related to the D-alanylation of lipoteichoic acid, which is a process contributing to biofilm formation and acidogenesis [162]. cLP has been shown to target the D-alanylation of lipoteichoic acid, inhibiting D-alanine biosynthesis and thereby the adherence of bacteria to the dental surface [163]. cLP emerges as a promising therapeutic agent in the management of oral infections.

4.4. Antifungal Activity

Cyclo(L-Leu-L-Pro) stands as a potent inhibitor of growth and aflatoxin production in fungi, but the mechanism at the origin of this effect is not precisely known. For example, cLP isolated from the Gram-negative opportunistic bacterium Achromobacter xylosoxidans was shown to inhibit the production of aflatoxins by the fungus Aspergillus parsiticus [62,164]. Cyclo(L-Leu-L-Pro) and isomer cyclo(D-Leu-D-Pro) showed comparable antifungal potency (IC50: 0.20 and 0.13 mg/mL, respectively) [62]. However, in another study comparing the antifungal activity of cLP isomers against the fungus Colletotrichum orbiculare responsible for anthracnose in cucumber plants, isomer cyclo(L-Leu-L-Pro) was more efficient than cyclo(D-Leu-D-Pro), and isomer cyclo(D-Leu-L-Pro) did not exhibit antifungal activity. In this specific case, cLP isomers showed a distinct biocontrol capacity, and the LL stereoisomer of cLP was preferred for disease control [57]. The different antifungal potencies of cyclo(L-Leu-L-Pro) and cyclo(L-Leu-D-Pro) have been underlined in another study: the isomer LL was found to be more potent against Aspergillus flavus and Fusarium oxysporum, whereas the isomer LD was more efficient than the LL isomer against Candida albicans [67]. The difference might be related to the different spatial configurations of the two products. The LL isomer has been shown to adopt a symmetric boat shape conformation, whereas the ring of the DL isomer is more planar [165].
The fungal protein FAD-GDH has been proposed as a potential target for cLP. Flavin adenine dinucleotide (FAD)-dependent glucose dehydrogenase (GDH) is an oxygen-independent enzyme commonly found in fungi and considered as a potential target for antifungal agents [166,167]. A molecular modeling (docking) analysis revealed that cLP could form a stable complex with the FAD-GDH of A. flavus via an interaction with key residues (Asn93 and His505) in the enzyme active site (Figure 5) [168]. This hypothetical protein target for cLP remains to be validated experimentally. In fact, FAD-GDH is perhaps not the sole target implicated in the antifungal action of cLP. The related product cyclo(L-Ala-L-Pro) also inhibits aflatoxin production in aflatoxigenic fungi, and here the activity has been associated with the inhibition of A. flavus glutathione S-transferase (AfGST) [169]. It would be interesting to compare these two DKPs for their ability to inhibit AfGST.
cLP was found to be efficient at reducing the growth of Fusarium culmorum DMF 0109, which is a soil-borne fungal pathogen causing major damage in small-grain cereals like wheat. After 72 h, the mycelium growth on bread slices containing cLP at 10 mmol/kg was reduced by 83%, whereas the effect was limited to about 37% and 18% with cyclo(L-Phe-L-Pro) and cyclo(L-Tyr-L-Pro), respectively. This fungal strain turned out to be much more sensitive to cLP compared to other fungi, like Penicillium chrysogenum DBM 4062, which is also a contaminant possibly found on bread slices [135].
A significant activity of cyclo(L-Leu-L-Pro) against the fungus Colletotrichum orbiculare responsible for cucumber anthracnose has been reported. The cyclic dipeptide was found to reduce conidia germination, appressorium formation, and the occurrence of lesion in this species [95]. cLP isolated from the lactic acid-producing bacteria Loigolactobacillus coryniformis BCH-4 (isolated from rice) has been shown to produce antifungal metabolites, notably propanedioic/butanedioic acid derivatives active against Aspergillus flavus [168,170]. cLP and other proline-based cyclic dipeptides have been isolated also from this fungus.

4.5. Antiparasitic Activity

Gancidin W, isolated from the bacterial species Streptomyces sp. SUK 10, has been shown to reduce parasitemia in mice infected with Plasmodium berghei PZZ1/100, which is a quinine-sensitive and chloroquine-resistant strain responsible for malaria in rodent species. At the daily dose of 3.125 μg/kg, gancidin W inhibited the parasite growth by 78.5% and increased significantly the survival period of infected mice, without causing major toxic effects [39,171]. Gancidin W is responsible, at least in part, for the marked antiplasmodial effects observed upon the administration of an ethyl acetate extract of this bacterium SUK10 [38]. But this type of crude extract may contain different DKPs, notably Pro-based DKPs, which are known to display antiparasitic effects [172]. Interestingly, cyclo(L-Pro-L-Leu) has been shown to inhibit also the growth of P. falciparum strains 3D7 (drug-sensitive) and Dd2 (drug-resistant), whereas the three related DKPs cyclo(L-Pro-L-Phe), cyclo(L-Pro-L-Val), and cyclo(L-Pro-L-Tyr) showed no effects [116]. The unique antiplasmodial properties of cLP warrant further investigation.
An activity against the plant-parasitic nematode Meloidogyne incognita has been reported with cLP. The product increased the mortality rates of M. incognita second-stage juveniles (J2) in this species. It killed half of the population at the dose (LC50) of 65.3 μg/mL [93,96]. A similar nematocidal effect against the root-knot nematode (M. incognita) had been reported previously with the isomer cyclo(L-Leu-D-Pro) [44].

4.6. Anticancer Activity

The tetraspanin CD151 plays important roles in cell–cell communication and contributes to signal transduction, epithelial–mesenchymal transition (EMT), and other cellular processes [173,174]. It is considered as a potential drug target to combat several pathologies, including cancers and viral diseases [175,176]. Antibodies and small molecules targeting CD151 are researched in the treatment of these pathologies. Encouraging results have been obtained with anti-CD151 mAbs [177,178]. The selective targeting of this tetraspanin with a small molecule is more challenging, but a few compounds have been shown to interact with the large extracellular loop (LEL) of CD151, such as diallyl sulfide derivatives, 2-thio-6-azauridine, and pyrocatechol [179,180,181,182]. Remarkably, cLP has been shown also to interact with this integrin-binding protein so as to inhibit the growth and migration of solid tumor cells. Indeed, Malla and co-workers demonstrated that cLP inhibited the proliferation, cell cycle progression, and migration of triple-negative breast cancer (TNBC) cells, via a process implicating the down-regulation of CD151 from the cell surface. A molecular modeling analysis suggested that cLP could interact directly with the LEL of CD151 so as to perturb the CD151-EGFR signaling pathway [183]. A subsequent study by the same authors also concluded with the selective targeting of CD151 with cLP and the cLP-induced down-regulation of the tetraspanin associated with an anti-oxidative function in breast epithelial cells. Remarkably, the cyclic molecule cLP was shown to reduce cytochrome p450 expression levels, intracellular ROS, lactate dehydrogenase (LDH) release, and DNA damage in treated cells, whereas the linear dipeptide LP showed little effects [152] (Figure 6). CD151 is known to play a role in cancer progression through EGFR/ErbB2 signaling. An overexpression of CD151 promotes tumor proliferation, whereas a knockdown of CD151 inhibits tumor proliferation, migration, and invasion [184,185]. cLP displays caspase-dependent proapoptotic properties and inhibits the migration and invasion of cancer cells [52].
A few other studies have evidenced the antiproliferative action of cLP against cancer cells, notably when using TNCB cells such as the cell line MDA-MB-231 [103]. cLP was also shown to inhibit cell growth and to trigger the apoptosis of HT-29 colorectal cancer cells in vitro, and to inhibit tumor progression in a zebrafish model, but its effects were equivalent to those observed with three other DKPs such as cyclo (L-Val-L-Pro), cyclo(L-Phe-L-Pro), and cyclo(L-Tyr-L-Pro) [72].

5. Conclusions

Since the discovery of gancidins in the late 1950s and the formal identification of gancidin W from a strain of Gram-positive filamentous bacterium Streptomyces gancidicus twenty years later [32], this diketopiperazine derivative has been observed in a large diversity of microorganisms, notably in bacteria belonging to Bacillus, Pseudomonas, and Streptomyces genera. Gancidin W, better known as cyclo(L-Leu-L-Pro) (cLP), has been identified in about 60 bacterial species, generally in combination with other cyclic dipeptides and DKP derivatives (Table 1). cLP is a common natural product, easily accessible through extraction from natural sources or via chemical synthesis. Different chemical approaches to cLP have been proposed, with yields in the range of 45–50% [58,135]. This homodetic cyclic peptide composed from leucyl and prolyl residues presents different isomers (D/L), cis-cyclo(L-Leu-L-Pro) being the most important one. cLP is commercially available (at a cost of 400–800$/g).
At the pharmacological level, cLP emerges as an effective antimicrobial agent, notably efficient for limiting biofilm formation. These properties are not unique to cLP. Similar effects have been underlined with other proline-containing DKPs [132,186,187,188]. However, in some cases, effects have been demonstrated with cLP and not with related DKPs, such as the antiplasmodial activity observed with cyclo(L-Pro-L-Leu) but not with cyclo(L-Pro-L-Phe), cyclo(L-Pro-L-Val), and cyclo(L-Pro-L-Tyr) [116]. In the same vein, cyclo(L-Pro-L-Leu) turned out to be much more potent than cyclo(L-Pro-L-Phe), cyclo(L-Pro-L-Val), and cyclo(L-Pro-L-Tyr) at inhibiting mycelium growth of the phytopathogenic Fusarium culmorum strain [135]. cLP is a conventional DKP, but there is something special about it which makes the product particularly interesting. It is a potent antifungal and antiplasmodial agent, but additional studies are needed to better characterize its molecular targets and to better differentiate cLP vs. other DKPs.
Studies shall continue to further investigate its properties. It will help to better exploit the product and to comprehend the mechanisms of action of related natural substances. There are close analogs of cLP, such as penicimutide and gallaecimonamide B [88,189] (Figure 7). A better understanding of the mechanisms of action of cLP can help in defining and exploiting the properties of related products.

Funding

This research received no external funding.

Institutional Review Board Statement

Not applicable.

Informed Consent Statement

Not applicable.

Data Availability Statement

No new data were created.

Conflicts of Interest

The author declares no conflicts of interest.

References

  1. Osorio-Nieto, U.; Salas, C.O.; Mendez-Alvarez, D.; Rivera, G.; Moreno-Rodriguez, A.; Perez-Cervera, Y.; Castillo-Real, L.M. Espinosa-Bustos C.2,3-Diketopiperazine as potential scaffold to develop new anti-Chagasic agents. Med. Chem. Res. 2023, 32, 176–188. [Google Scholar] [CrossRef]
  2. Du, R.R.; Wang, R.Y.; Zhou, J.C.; Gao, H.H.; Qin, W.J.; Duan, X.M.; Yang, Y.N.; Zhang, X.W.; Zhang, P.C. Heteryunine A, an amidated tryptophan-catechin-spiroketal hybrid with antifibrotic activity from Heterosmilax yunnanensis. Bioorganic Chem. 2024, 151, 107618. [Google Scholar] [CrossRef] [PubMed]
  3. Li, Y.; Liu, T.; Pan, G.; Li, Y.; Ma, G.; Hou, Y.; Zhu, N.; Xu, X. Orychophragvioline A, a Novel Alkaloid Isolated from Orychophragmus violaceus with Anti-Cervical Cancer Activity. Molecules 2025, 30, 1759. [Google Scholar] [CrossRef] [PubMed]
  4. Dawidowski, M.; Herold, F.; Chodkowski, A.; Kleps, J.; Szulczyk, P.; Wilczek, M. Synthesis and anticonvulsant activity of novel 2,6-diketopiperazine derivatives. Part 1: Perhydropyrrole[1,2-a]pyrazines. Eur. J. Med. Chem. 2011, 46, 4859–4869. [Google Scholar] [CrossRef]
  5. Dawidowski, M.; Herold, F.; Chodkowski, A.; Kleps, J. Synthesis and anticonvulsant activity of novel 2,6-diketopiperazine derivatives. Part 2: Perhydropyrido[1,2-a]pyrazines. Eur. J. Med. Chem. 2012, 48, 347–353. [Google Scholar] [CrossRef]
  6. Dawidowski, M.; Turło, J. Multicomponent synthesis and anticonvulsant activity of monocyclic 2,6-diketopiperazine derivatives. Med. Chem. Res. 2014, 23, 2007–2018. [Google Scholar] [CrossRef]
  7. Fytas, G.; Zoidis, G.; Taylor, M.C.; Kelly, J.M.; Tsatsaroni, A.; Tsotinis, A. Novel 2,6-diketopiperazine-derived acetohydroxamic acids as promising anti-Trypanosoma brucei agents. Future Med. Chem. 2019, 11, 1259–1266. [Google Scholar] [CrossRef]
  8. Fytas, G.; Zoidis, G.; Drakopoulos, A.; Taylor, M.C.; Kelly, J.M.; Tsatsaroni, A.; Tsotinis, A. New Lipophilic Hydroxamates as Promising Trypanocidal Agents: Design, Synthesis, SAR, and Conformational Behavior Studies. ACS Med. Chem. Lett. 2024, 15, 1041–1048. [Google Scholar] [CrossRef]
  9. Garrido González, F.P.; Macías Pérez, M.E.; Rodríguez Cortés, O.; Mera Jiménez, E.; Mancilla Percino, T. Selective Antiproliferative and Apoptotic Effects of 2,6-Diketopiperazines on MDA-MB-231 Triple-Negative Breast Cancer. Chem. Biol. Drug Des. 2025, 105, e70098. [Google Scholar] [CrossRef]
  10. Khong, Q.T.; Smith, E.A.; Wendt, K.L.; Dalilian, M.; Goncharova, E.I.; Brownell, I.; Cichewicz, R.H.; Henrich, C.J.; Beutler, J.A.; O’Keefe, B.R.; et al. Chemoreactive 2,5-Diketopiperazines from a Penicillium sp., Structure Revision of Reported Analogues and Proposed Facile Transformation Pathways. J. Nat. Prod. 2024, 87, 1826–1837. [Google Scholar] [CrossRef]
  11. Walker, K.L.; Loach, R.P.; Movassaghi, M. Total synthesis of complex 2,5-diketopiperazine alkaloids. Alkaloids Chem. Biol. 2023, 90, 159–206. [Google Scholar]
  12. Wang, S.; Zhong, C.; Li, F.; Ding, Z.; Tang, Y.; Li, W. Design, synthesis, and structure-activity relationship study of novel plinabulin derivatives as anti-tumor agents based on the co-crystal structure. Mol. Divers. 2025, 29, 3877–3898. [Google Scholar] [CrossRef]
  13. Han, B.; Feinstein, T.; Shi, Y.; Chen, G.; Yao, Y.; Hu, C.; Shi, J.; Feng, J.; Wu, H.; Cheng, Y.; et al. Plinabulin plus docetaxel versus docetaxel in patients with non-small-cell lung cancer after disease progression on platinum-based regimen (DUBLIN-3): A phase 3, international, multicentre, single-blind, parallel group, randomised controlled trial. Lancet Respir. Med. 2024, 12, 775–786. [Google Scholar] [CrossRef]
  14. Bi, S.; Cao, Y.; Fang, S.; Chu, Y.; Zhang, Z.; Li, M.; Yu, R.; Yang, J.; Tang, Y.; Qiu, P. The Novel Diketopiperazine Derivative, Compound 5-3, Selectively Inhibited the Proliferation of FLT3-ITD Mutant Acute Myeloid Leukemia (AML) Cells. Mar. Drugs 2025, 23, 289. [Google Scholar] [CrossRef]
  15. Goher, S.S.; Abdrabo, W.S.; Veerakanellore, G.B.; Elgendy, B. 2,5-Diketopiperazines (DKPs): Promising Scaffolds for Anticancer Agents. Curr. Pharm. Des. 2024, 30, 597–623. [Google Scholar] [CrossRef] [PubMed]
  16. Borthwick, A.D. 2,5-Diketopiperazines: Synthesis, reactions, medicinal chemistry, and bioactive natural products. Chem. Rev. 2012, 112, 3641–3716. [Google Scholar] [CrossRef] [PubMed]
  17. Harken, L.; Li, S.M. Modifications of diketopiperazines assembled by cyclodipeptide synthases with cytochrome P(450) enzymes. Appl. Microbiol. Biotechnol. 2021, 105, 2277–2285. [Google Scholar] [CrossRef] [PubMed]
  18. Wang, X.; Li, Y.; Zhang, X.; Lai, D.; Zhou, L. Structural Diversity and Biological Activities of the Cyclodipeptides from Fungi. Molecules 2017, 22, 2026. [Google Scholar] [CrossRef]
  19. Turkez, H.; Cacciatore, I.; Arslan, M.E.; Fornasari, E.; Marinelli, L.; Di Stefano, A.; Mardinoglu, A. Histidyl-Proline Diketopiperazine Isomers as Multipotent Anti-Alzheimer Drug Candidates. Biomolecules 2020, 10, 737. [Google Scholar] [CrossRef]
  20. Kumar, S.N.; Mohandas, C.; Nambisan, B. Purification, structural elucidation and bioactivity of tryptophan containing diketopiperazines, from Comamonas testosteroni associated with a rhabditid entomopathogenic nematode against major human-pathogenic bacteria. Peptides 2014, 53, 48–58. [Google Scholar] [CrossRef]
  21. Mosetti, V.; Rosetti, B.; Pierri, G.; Bellotto, O.; Adorinni, S.; Bandiera, A.; Adami, G.; Tedesco, C.; Crosera, M.; Magnano, G.C.; et al. Cyclodipeptides: From Their Green Synthesis to Anti-Age Activity. Biomedicines 2022, 10, 2342. [Google Scholar] [CrossRef] [PubMed]
  22. Aiso, K.; Arai, T.; Suzuki, M.; Takamizawa, Y. Gancidin, An Antitumor Substance Derived from Streptomyces sp. I. J. Antibiot. Ser. A 1956, 9, 97–101. [Google Scholar]
  23. Wakaki, S.; Marumo, H.; Tomioka, K.; Shimizu, M.; Kato, E.; Kamada, H.; Kudo, S.; Fujimoto, Y. Purification and Isolation Study on Gancidins. J. Antibiot. Ser. A 1958, 11, 150–155. [Google Scholar]
  24. Suzuki, M. Studies on an antitumor substance, gancidin. Mycological study on the strain AAK-84 and production, purification of active fractions. J. Chiba Med. Soc. 1957, 33, 535–542. [Google Scholar]
  25. Suzuki, M. Studies on Antibacterial Activity of Gancidin (Rept. 2.). J. Chiba Med. Soc. 1957, 33, 528–535. [Google Scholar]
  26. Arai, T.A.; Suzuki, M. A rapid agar dilution technique for the estimation of antitumor-cell activity. J. Antibiot. Ser. A 1956, 9, 169–171. [Google Scholar]
  27. Johnson, J.L.; Jackson, W.G.; Eble, T.E. Isolation of L-leucyl-Lproline anhydride from microbiological fermentations. J. Am. Chem. Soc. 1951, 3, 2947–2948. [Google Scholar] [CrossRef]
  28. Kosuge, T.; Kamiya, H. L-Leucyl-L-Proline from peptone. Chem. Pharm. Bull. 1962, 10, 154–155. [Google Scholar] [CrossRef]
  29. Koaze, Y. Isolation of l-Leucyl-l-Proline Anhydride from the Culture Filtrate of Streptomyces sp. S-580. J. Agric. Chem. Soc. Japan 1960, 24, 530–531. [Google Scholar]
  30. Vickery, H.B.; Osborne, T.B. A review of hypotheses of the structure of proteins. Phys. Rev. 1928, 8, 393–446. [Google Scholar]
  31. Inagaki, N. Isolation and Properties of Helmintin (C11H18N2O2), an Antifungal Substance produced by Helminthosporium siccans. Chem. Pharm. Bull. 1962, 10, 152–154. [Google Scholar] [CrossRef]
  32. Jain, T.C.; Dingerdissen, J.; Weisbach, J.A. Isolation and Structure Elucidation of Gancidin W. Heterocycles 1977, 7, 341–346. [Google Scholar] [CrossRef]
  33. Furuya, K.; Okudaira, M.; Shindo, T.; Sato, A. Corollospora pulchella, a marine fungus producing antibiotics, melinacidins III, IV and gancidin W. Annu. Rep. Sankyo Res. Lab. 1985, 37, 140–142. [Google Scholar]
  34. Biabani, M.A.F.; Laatsch, H. Advances in chemical studies on low-molecular weight metabolites of marine fungi. J. Prakt. Chem./Chem.-Ztg. 1998, 340, 589–607. [Google Scholar] [CrossRef]
  35. Ravi, L.; Ragunathan, A.; Krishnan, K. Marine Streptomyces paradoxus VITALK03 derived gancidin W mediated cytotoxicity through Ras-Raf-MEK-ERK signalling pathway. Indian J. Biotechnol. 2017, 16, 164–175. [Google Scholar]
  36. Ravi, L.; Ragunathan, A.; Krishnan, K. Antidiabetic and Antioxidant Potential of GancidinW from VITALK03. Open Bioact. Compd. J. 2017, 5, 31–42. [Google Scholar] [CrossRef]
  37. Rhee, K.H. Isolation and characterization of Streptomyces sp. KH-614 producing anti-VRE (vancomycin-resistant enterococci) antibiotics. J. Gen. Appl. Microbiol. 2002, 48, 321–327. [Google Scholar] [CrossRef]
  38. Baba, M.S.; Zin, N.M.; Hassan, Z.A.; Latip, J.; Pethick, F.; Hunter, I.S.; Edrada-Ebel, R.; Herron, P.R. In vivo antimalarial activity of the endophytic actinobacteria, Streptomyces SUK 10. J. Microbiol. 2015, 53, 847–855. [Google Scholar] [CrossRef]
  39. Zin, N.M.; Baba, M.S.; Zainal-Abidin, A.H.; Latip, J.; Mazlan, N.W.; Edrada-Ebel, R. Gancidin W, a potential low-toxicity antimalarial agent isolated from an endophytic Streptomyces SUK10. Drug Des. Dev. Ther. 2017, 11, 351–363. [Google Scholar] [CrossRef]
  40. Ravi, L.; Kannabiran, K. Bioactivity-Guided Extraction and Identification of Antibacterial Compound from Marine Actinomycetes Strains Isolated from Costal Soil Samples of Rameswaram and Dhanushkodi, Tamil Nadu, India. Asian J. Pharm. 2016, 10, 504–509. [Google Scholar]
  41. Ravi, L.; Kannabiran, K. Extraction and Identification of Gancidin W from Marine Streptomyces sp. VITLGK012. Indian J. Pharm. Sci. 2018, 80, 1093–1099. [Google Scholar] [CrossRef]
  42. Khan, M.S.; Gao, J.; Munir, I.; Zhang, M.; Liu, Y.; Moe, T.S.; Xue, J.; Zhang, X. Characterization of Endophytic Fungi, Acremonium sp., from Lilium davidii and Analysis of Its Antifungal and Plant Growth-Promoting Effects. Biomed. Res. Int. 2021, 2021, 9930210. [Google Scholar] [CrossRef]
  43. Mangamuri, U.K.; Muvva, V.; Poda, S.; Manavathi, B.; Bhujangarao, C.; Yenamandra, V. Chemical characterization & bioactivity of diketopiperazine derivatives from the mangrove derived Pseudonocardia endophytica. Egypt. J. Aquat. Res. 2016, 42, 169–175. [Google Scholar] [CrossRef]
  44. Jamal, Q.; Cho, J.Y.; Moon, J.H.; Munir, S.; Anees, M.; Kim, K.Y. Identification for the First Time of Cyclo(d-Pro-l-Leu) Produced by Bacillus amyloliquefaciens Y1 as a Nematocide for Control of Meloidogyne incognita. Molecules 2017, 22, 1839. [Google Scholar] [CrossRef] [PubMed]
  45. Gowrishankar, S.; Sivaranjani, M.; Kamaladevi, A.; Ravi, A.V.; Balamurugan, K.; Karutha Pandian, S. Cyclic dipeptide cyclo(l-leucyl-l-prolyl) from marine Bacillus amyloliquefaciens mitigates biofilm formation and virulence in Listeria monocytogenes. Pathog. Dis. 2016, 74, ftw017. [Google Scholar] [CrossRef] [PubMed]
  46. Wu, X.; Lin, S.; Zhu, C.; Zhao, F.; Yu, Y.; Yue, Z.; Liu, B.; Yang, Y.; Dai, J.; Shi, J. Studies on constituents of cultures of fungus Phellinus igniarius. Zhongguo Zhong Yao Za Zhi 2011, 36, 874–880. [Google Scholar] [PubMed]
  47. Mangrolia, U.; Osborne, W.J. Staphylococcus xylosus VITURAJ10: Pyrrolo [1,2alpha] pyrazine-1,4-dione, hexahydro-3-(2-methylpropyl) (PPDHMP) producing, potential probiotic strain with antibacterial and anticancer activity. Microb. Pathog. 2020, 147, 104259. [Google Scholar] [CrossRef]
  48. Al-Askar, A.; Al-Otibi, F.O.; Abo-Zaid, G.A.; Abdelkhalek, A. Pyrrolo[1,2-a]pyrazine-1,4-dione, hexahydro-3-(2-methylpropyl), as the primary secondary metabolite of Bacillus spp., could be an effective antifungal agent against the soil-borne fungus, Sclerotium bataticola. Egypt. J. Chem. 2024, 67, 1009–1022. [Google Scholar] [CrossRef]
  49. Manam, M.; Srivatsa, S.; Osborne, W.J. Endophytic bacteria of Gracilaria edulis in combating human bacterial pathogens by PPDHMP—A crude to single molecule product development approach. Microb. Pathog. 2025, 202, 107431. [Google Scholar] [CrossRef]
  50. Buragohain, T.; Dey, P.; Osborne, W.J. In vitro studies on the inhibition of microbial pathogens by PPDHMP synthesized by Bacillus sp.; an endophyte of Citrus limon (Kaji nemu). Food Biosci. 2023, 55, 103003. [Google Scholar] [CrossRef]
  51. Prasad, J.K.; Pandey, P.; Anand, R.; Raghuwanshi, R. Drought Exposed Burkholderia seminalis JRBHU6 Exhibits Antimicrobial Potential Through Pyrazine-1,4-Dione Derivatives Targeting Multiple Bacterial and Fungal Proteins. Front. Microbiol. 2021, 12, 633036. [Google Scholar] [CrossRef] [PubMed]
  52. Lalitha, P.; Veena, V.; Vidhyapriya, P.; Lakshmi, P.; Krishna, R.; Sakthivel, N. Anticancer potential of pyrrole (1, 2, a) pyrazine 1, 4, dione, hexahydro 3-(2-methyl propyl) (PPDHMP) extracted from a new marine bacterium, Staphylococcus sp. strain MB30. Apoptosis 2016, 21, 566–577. [Google Scholar] [CrossRef] [PubMed]
  53. Rajivgandhi, G.; Vijayan, R.; Maruthupandy, M.; Vaseeharan, B.; Manoharan, N. Antibiofilm effect of Nocardiopsis sp. GRG 1 (KT235640) compound against biofilm forming Gram negative bacteria on UTIs. Microb. Pathog. 2018, 118, 190–198. [Google Scholar] [CrossRef]
  54. Kwak, M.K.; Liu, R.; Kwon, J.O.; Kim, M.K.; Kim, A.H.; Kang, S.O. Cyclic dipeptides from lactic acid bacteria inhibit proliferation of the influenza A virus. J. Microbiol. 2013, 51, 836–843. [Google Scholar] [CrossRef] [PubMed]
  55. Kwak, M.K.; Liu, R.; Kim, M.K.; Moon, D.; Kim, A.H.; Song, S.H.; Kang, S.O. Cyclic dipeptides from lactic acid bacteria inhibit the proliferation of pathogenic fungi. J. Microbiol. 2014, 52, 64–70. [Google Scholar] [CrossRef]
  56. Son, J.; Hong, Y.; Seong, H.; Oh, Y.S.; Kwak, M.K. The high-throughput solid-phase extraction of cis-cyclo(L-Leu-L-Pro) and cis-cyclo(L-Phe-L-Pro) from Lactobacillus plantarum demonstrates efficacy against multidrug-resistant bacteria and influenza A (H3N2) virus. Front. Mol. Biosci. 2024, 11, 1346598, Erratum in Front. Mol. Biosci. 2025, 12, 1605848. [Google Scholar] [CrossRef]
  57. Kim, J.; Kim, J.C.; Sang, M.K. Identification of isomeric cyclo(leu-pro) produced by Pseudomonas sesami BC42 and its differential antifungal activities against Colletotrichum orbiculare. Front. Microbiol. 2023, 14, 1230345. [Google Scholar] [CrossRef]
  58. Saadouli, I.; Zendah El Euch, I.; Trabelsi, E.; Mosbah, A.; Redissi, A.; Ferjani, R.; Fhoula, I.; Cherif, A.; Sabatier, J.M.; Sewald, N.; et al. Isolation, Characterization and Chemical Synthesis of Large Spectrum Antimicrobial Cyclic Dipeptide (l-leu-l-pro) from Streptomyces misionensis V16R3Y1 Bacteria Extracts. A Novel 1H NMR Metabolomic Approach. Antibiotics 2020, 9, 270. [Google Scholar] [CrossRef]
  59. Salman, M.; Tariq, A.; Mustafa, G.; Javed, M.R.; Naheed, S.; Qamar, S.A. Cyclo(L-Leucyl-L-Prolyl) from Lactobacillus coryniformis BCH-4 inhibits the proliferation of Aspergillus flavus: An in vitro to in silico approach. Arch. Microbiol. 2022, 204, 267. [Google Scholar] [CrossRef]
  60. Ivanov, I.; Petrov, K.; Lozanov, V.; Hristov, I.; Wu, Z.J.; Liu, Z.M.; Petrova, P. Bioactive Compounds Produced by the Accompanying Microflora in Bulgarian Yoghurt. Processes 2021, 9, 114. [Google Scholar] [CrossRef]
  61. Liu, R.; Kim, A.H.; Kwak, M.K.; Kang, S.O. Proline-Based Cyclic Dipeptides from Korean Fermented Vegetable Kimchi and from Leuconostoc mesenteroides LBP-K06 Have Activities against Multidrug-Resistant Bacteria. Front. Microbiol. 2017, 8, 761. [Google Scholar] [CrossRef] [PubMed]
  62. Yan, P.S.; Song, Y.; Sakuno, E.; Nakajima, H.; Nakagawa, H.; Yabe, K. Cyclo(L-leucyl-L-prolyl) produced by Achromobacter xylosoxidans inhibits aflatoxin production by Aspergillus parasiticus. Appl. Environ. Microbiol. 2004, 70, 7466–7473. [Google Scholar] [CrossRef] [PubMed]
  63. Ma, H.; Wang, F.; Jin, X.; Jiang, J.; Hu, S.; Cheng, L.; Zhang, G. A new diketopiperazine from an endophytic fungus Aspergillus aculeatus F027. Nat. Prod. Res. 2021, 35, 2370–2375. [Google Scholar] [CrossRef] [PubMed]
  64. Gowrishankar, S.; Poornima, B.; Pandian, S.K. Inhibitory efficacy of cyclo(L-leucyl-L-prolyl) from mangrove rhizosphere bacterium-Bacillus amyloliquefaciens (MMS-50) toward cariogenic properties of Streptococcus mutans. Res. Microbiol. 2014, 165, 278–289. [Google Scholar] [CrossRef]
  65. El-Naggar, M.M.; Abd-Elnaby, H.M.; Abou-Shousha, S.A.; Abdul-Raouf, U.M.; Abouelwafa, A.E. Production of Anti-Inflammatory Pyrrol Compound from Marine Bacillus baekryungensis AMHSU. World J. Fish. Marine Sci. 2016, 8, 74–84. [Google Scholar]
  66. Martínez-Luis, S.; Gómez, J.F.; Spadafora, C.; Guzmán, H.M.; Gutiérrez, M. Antitrypanosomal alkaloids from the marine bacterium Bacillus pumilus. Molecules 2012, 17, 11146–11155. [Google Scholar] [CrossRef]
  67. Nishanth Kumar, S.; Mohandas, C.; Siji, J.V.; Rajasekharan, K.N.; Nambisan, B. Identification of antimicrobial compound, diketopiperazines, from a Bacillus sp. N strain associated with a rhabditid entomopathogenic nematode against major plant pathogenic fungi. J. Appl. Microbiol. 2012, 113, 914–924. [Google Scholar] [CrossRef]
  68. Noh, S.W.; Seo, R.; Park, J.K.; Manir, M.M.; Park, K.; Sang, M.K.; Moon, S.S.; Jung, H.W. Cyclic Dipeptides from Bacillus vallismortis BS07 Require Key Components of Plant Immunity to Induce Disease Resistance in Arabidopsis against Pseudomonas Infection. Plant Pathol. J. 2017, 33, 402–409. [Google Scholar] [CrossRef]
  69. Ren, Z.; Xie, L.; Okyere, S.K.; Wen, J.; Ran, Y.; Nong, X.; Hu, Y. Antibacterial Activity of Two Metabolites Isolated From Endophytic Bacteria Bacillus velezensis Ea73 in Ageratina adenophora. Front. Microbiol. 2022, 13, 860009. [Google Scholar] [CrossRef]
  70. Khaled, J.M.; Al-Mekhlafi, F.A.; Mothana, R.A.; Alharbi, N.S.; Alzaharni, K.E.; Sharafaddin, A.H.; Kadaikunnan, S.; Alobaidi, A.S.; Bayaqoob, N.I.; Govindarajan, M.; et al. Brevibacillus laterosporus isolated from the digestive tract of honeybees has high antimicrobial activity and promotes growth and productivity of honeybee’s colonies. Environ. Sci. Pollut. Res. Int. 2018, 25, 10447–10455, Erratum in Environ. Sci. Pollut. Res. Int. 2018, 25, 24516. [Google Scholar] [CrossRef]
  71. Bofinger, M.R.; de Sousa, L.S.; Fontes, J.E.N.; Marsaioli, A.J. Diketopiperazines as Cross-Communication Quorum-Sensing Signals between Cronobacter sakazakii and Bacillus cereus. ACS Omega 2017, 2, 1003–1008. [Google Scholar] [CrossRef]
  72. Jinendiran, S.; Teng, W.; Dahms, H.U.; Liu, W.; Ponnusamy, V.K.; Chiu, C.C.; Kumar, B.S.D.; Sivakumar, N. Induction of mitochondria-mediated apoptosis and suppression of tumor growth in zebrafish xenograft model by cyclic dipeptides identified from Exiguobacterium acetylicum. Sci. Rep. 2020, 10, 13721. [Google Scholar] [CrossRef]
  73. Zhang, J.; Wang, B.; Xu, H.; Liu, W.; Yu, J.; Wang, Q.; Yu, H.; Wei, J.W.; Dai, R.; Zhou, J.; et al. Root microbiota regulates tiller number in rice. Cell 2025, 188, 3152–3166. [Google Scholar] [CrossRef] [PubMed]
  74. Wang, F.; Wang, F.; Chen, T. Secondary metabolites of Galactomyces geotrichum from Laminaria japonica ameliorate cognitive deficits and brain oxidative stress in D-galactose induced Alzheimer’s disease mouse model. Nat. Prod. Res. 2021, 35, 5323–5328. [Google Scholar] [CrossRef] [PubMed]
  75. Fernández-García, M.; Ares-Arroyo, M.; Wedel, E.; Montero, N.; Barbas, C.; Rey-Stolle, M.F.; González-Zorn, B.; García, A. Multiplatform Metabolomics Characterization Reveals Novel Metabolites and Phospholipid Compositional Rules of Haemophilus influenzae Rd KW20. Int. J. Mol. Sci. 2023, 24, 11150. [Google Scholar] [CrossRef] [PubMed]
  76. Li, J.; Zhang, Q.; Zhao, J.; Zhang, H.; Chen, W. Streptococcus mutans and Candida albicans Biofilm Inhibitors Produced by Lactiplantibacillus plantarum CCFM8724. Curr. Microbiol. 2022, 79, 143. [Google Scholar] [CrossRef]
  77. Li, H.; Liu, L.; Zhang, S.; Cui, W.; Lv, J. Identification of antifungal compounds produced by Lactobacillus casei AST18. Curr. Microbiol. 2012, 65, 156–161. [Google Scholar] [CrossRef]
  78. Kang, S.O.; Kwak, M.K. Antimicrobial Cyclic Dipeptides from Japanese Quail (Coturnix japonica) Eggs Supplemented with Probiotic Lactobacillus plantarum. J. Microbiol. Biotechnol. 2024, 34, 314–329. [Google Scholar] [CrossRef]
  79. Niranjan, R.; Patil, S.; Dubey, A.; Lochab, B.; Priyadarshini, R. Small cyclic dipeptide produced by Lactobacillus rhamnosus with anti-biofilm properties against Streptococcus mutans biofilm. Biofilm 2024, 8, 100237. [Google Scholar] [CrossRef]
  80. Gajbhiye, M.; Kapadnis, B. Lactococcus lactis subsp. cremoris of Plant Origin Produces Antifungal Cyclo-(Leu-Pro) and Tetradecanoic Acid. Indian J. Microbiol. 2021, 61, 74–80. [Google Scholar] [CrossRef]
  81. Delgado Gómez, L.M.; Torres-Mendoza, D.; Hernández-Torres, K.; Ortega, H.E.; Cubilla-Rios, L. Identification of Secondary Metabolites from the Mangrove-Endophyte Lasiodiplodia iranensis F0619 by UPLC-ESI-MS/MS. Metabolites 2023, 13, 912. [Google Scholar] [CrossRef]
  82. Liu, R.; Shin, G.; No, Y.; Shin, J.; Kang, S.; Park, P. Optimization of the Culture Conditions of Lactic Acid Bacteria for Antimicrobial Activity and Mass Production of Cyclic Dipeptides. J. Microbiol. Biotechnol. 2025, 35, e2408007. [Google Scholar] [CrossRef]
  83. Hirozawa, M.T.; Ono, M.A.; de Souza Suguiura, I.M.; Garcia, S.; Bordini, J.G.; Amador, I.R.; Hirooka, E.Y.; Ono, E.Y.S. Limosilactobacillus reuteri as sustainable biological control agent against toxigenic Fusarium verticillioides. Braz. J. Microbiol. 2023, 54, 2219–2226. [Google Scholar] [CrossRef] [PubMed]
  84. Cimmino, A.; Bejarano, A.; Masi, M.; Puopolo, G.; Evidente, A. Isolation of 2,5-diketopiperazines from Lysobacter capsici AZ78 with activity against Rhodococcus fascians. Nat. Prod. Res. 2021, 35, 4969–4977. [Google Scholar] [CrossRef] [PubMed]
  85. Stelmasiewicz, M.; Świątek, Ł.; Ludwiczuk, A. Chemical and Biological Studies of Endophytes Isolated from Marchantia polymorpha. Molecules 2023, 28, 2202. [Google Scholar] [CrossRef] [PubMed]
  86. Noël, A.; Ferron, S.; Rouaud, I.; Gouault, N.; Hurvois, J.P.; Tomasi, S. Isolation and Structure Identification of Novel Brominated Diketopiperazines from Nocardia ignorata—A Lichen-Associated Actinobacterium. Molecules 2017, 22, 371. [Google Scholar] [CrossRef]
  87. Xiang, W.X.; Liu, Q.; Li, X.M.; Lu, C.H.; Shen, Y.M. Four pairs of proline-containing cyclic dipeptides from Nocardiopsis sp. HT88, an endophytic bacterium of Mallotus nudiflorus L. Nat. Prod. Res. 2020, 34, 2219–2224. [Google Scholar]
  88. Wang, N.; Cui, C.B.; Li, C.W. A new cyclic dipeptide penicimutide: The activated production of cyclic dipeptides by introduction of neomycin-resistance in the marine-derived fungus Penicillium purpurogenum G59. Arch. Pharm. Res. 2016, 39, 762–770. [Google Scholar] [CrossRef]
  89. Parasuraman, P.; Devadatha, B.; Sarma, V.V.; Ranganathan, S.; Ampasala, D.R.; Reddy, D.; Kumavath, R.; Kim, I.W.; Patel, S.K.S.; Kalia, V.C.; et al. Inhibition of Microbial Quorum Sensing Mediated Virulence Factors by Pestalotiopsis sydowiana. J. Microbiol. Biotechnol. 2020, 30, 571–582. [Google Scholar] [CrossRef]
  90. Xiang, S.L.; Xu, K.Z.; Yin, L.J.; Jia, A.Q. An Investigation of Quorum Sensing Inhibitors against Bacillus cereus in The Endophytic Fungus Pithomyces sacchari of the Laurencia sp. Mar. Drugs. 2024, 22, 161. [Google Scholar]
  91. Alves, B.V.B.; Borges, L.J.; Hanna, S.A.; Soares, M.B.P.; Bezerra, D.P.; Moreira, L.L.P.F.; Borges, W.S.; Portela, R.W.D.; Fernandez, C.C.; Umsza-Guez, M.A. Pigment Production by Pseudofusicoccum sp.: Extract Production, Cytotoxicity Activity, and Diketopiperazines Identified. Microorganisms 2025, 13, 277. [Google Scholar] [CrossRef]
  92. Santos, O.C.S.; Soares, A.R.; Machado, F.L.S.; Romanos, M.T.V.; Muricy, G.; Giambiagi-deMarval, M.; Laport, M.S. Investigation of biotechnological potential of sponge-associated bacteria collected in Brazilian coast. Lett. Appl. Microbiol. 2015, 60, 140–147. [Google Scholar] [CrossRef]
  93. Zhai, Y.; Shao, Z.; Cai, M.; Zheng, L.; Li, G.; Yu, Z.; Zhang, J. Cyclo(l-Pro-l-Leu) of Pseudomonas putida MCCC 1A00316 Isolated from Antarctic Soil: Identification and Characterization of Activity against Meloidogyne incognita. Molecules 2019, 24, 768. [Google Scholar] [CrossRef]
  94. Degrassi, G.; Aguilar, C.; Bosco, M.; Zahariev, S.; Pongor, S.; Venturi, V. Plant growth-promoting Pseudomonas putida WCS358 produces and secretes four cyclic dipeptides: Cross-talk with quorum sensing bacterial sensors. Curr. Microbiol. 2002, 45, 250–254. [Google Scholar] [CrossRef] [PubMed]
  95. Kim, J.; Ju, H.J.; Sang, M.K. Bioactive extract of Pseudomonas sp. BC42 suppresses the infection stages of Colletotrichum orbiculare. J. Plant Pathol. 2022, 104, 1443–1455. [Google Scholar] [CrossRef]
  96. Sun, X.; Zhang, R.; Ding, M.; Liu, Y.; Li, L. Biocontrol of the root-knot nematode Meloidogyne incognita by a nematicidal bacterium Pseudomonas simiae MB751 with cyclic dipeptide. Pest. Manag. Sci. 2021, 77, 4365–4374. [Google Scholar] [CrossRef] [PubMed]
  97. Prastya, M.E.; Astuti, R.I.; Batubara, I.; Takagi, H.; Wahyudi, A.T. Chemical screening identifies an extract from marine Pseudomonas sp.-PTR-08 as an anti-aging agent that promotes fission yeast longevity by modulating the Pap1-ctt1+ pathway and the cell cycle. Mol. Biol. Rep. 2020, 47, 33–43. [Google Scholar] [CrossRef]
  98. Kalinovskaya, N.I.; Romanenko, L.A.; Kalinovsky, A.I. Antibacterial low-molecular-weight compounds produced by the marine bacterium Rheinheimera japonica KMM 9513T. Antonie Van Leeuwenhoek 2017, 110, 719–726. [Google Scholar] [CrossRef]
  99. Chen, Y.S. Studies on the Metabolic Products of Rosellinia necatrix Berlese: Part I. Isolation and Characterization of Several Physiologically Active Neutral Substances. Bull. Agric. Chem. Soc. Japan 1960, 24, 372–381. [Google Scholar]
  100. Kristiana, R.; Cahyani, N.K.D.; Jin, Y.; Mudianta, I.W.; Putri, F.R.; Halisah, K.A.Z.; Wang, M.X.; Guo, Y.W.; Li, X.W.; Radjasa, O.K. Antibacterial metabolites from a heterobranchia-associated bacteria and their prey from Bali, Indonesia. Curr. Res. Microb. Sci. 2025, 9, 100448. [Google Scholar] [CrossRef]
  101. Romero-Diaz, C.; Campos, S.M.; Herrmann, M.A.; Lewis, K.N.; Williams, D.R.; Soini, H.A.; Novotny, M.V.; Hews, D.K.; Martins, E.P. Structural Identification, Synthesis and Biological Activity of Two Volatile Cyclic Dipeptides in a Terrestrial Vertebrate. Sci. Rep. 2020, 10, 4303. [Google Scholar] [CrossRef] [PubMed]
  102. Zhu, S.; Wu, H.; Zeng, M.; Liu, Z.; Wang, Y. The involvement of bacterial quorum sensing in the spoilage of refrigerated Litopenaeus vannamei. Int. J. Food Microbiol. 2015, 192, 26–33. [Google Scholar] [CrossRef] [PubMed]
  103. Taechowisan, T.; Chuen-Im, T.; Phutdhawong, W.S. Antibacterial and Anticancer Properties of Diketopiperazines from Streptomyces antimicrobicus BN122, an Endophyte in Oryza sativa var. glutinosa. Pak. J. Biol. Sci. 2025, 28, 27–37. [Google Scholar] [CrossRef] [PubMed]
  104. Kim, Y.J.; Kim, J.H.; Rho, J.Y. Antifungal Activities of Streptomyces blastmyceticus Strain 12-6 Against Plant Pathogenic Fungi. Mycobiology 2019, 47, 329–334. [Google Scholar] [CrossRef]
  105. Kaaniche, F.; Hamed, A.; Elleuch, L.; Chakchouk-Mtibaa, A.; Smaoui, S.; Karray-Rebai, I.; Koubaa, I.; Arcile, G.; Allouche, N.; Mellouli, L. Purification and characterization of seven bioactive compounds from the newly isolated Streptomyces cavourensis TN638 strain via solid-state fermentation. Microb. Pathog. 2020, 142, 104106. [Google Scholar] [CrossRef]
  106. Li, X.; Dobretsov, S.; Xu, Y.; Xiao, X.; Hung, O.S.; Qian, P.Y. Antifouling diketopiperazines produced by a deep-sea bacterium, Streptomyces fungicidicus. Biofouling 2006, 22, 201–208. [Google Scholar] [CrossRef]
  107. Çetinkaya, S.; Yenidünya, A.F.; Arslan, K.; Arslan, D.; Doğan, Ö.; Daştan, T. Secondary Metabolites of an of Streptomyces griseorubens Isolate Are Predominantly Pyrrole- and Linoleic-acid like Compounds. J. Oleo Sci. 2020, 69, 1273–1280. [Google Scholar] [CrossRef]
  108. Kubo, A.; Takahashi, K.; Arai, T. Diketopiperazines containing L-proline from Streptomyces lavendulae and their stereochemistry in solution. Experientia 1977, 33, 12–13. [Google Scholar] [CrossRef]
  109. Rhee, K.H. Purification and identification of an antifungal agent from Streptomyces sp. KH-614 antagonistic to rice blast fungus, Pyricularia oryzae. J. Microbiol. Biotechnol. 2003, 13, 984–988. [Google Scholar]
  110. Rhee, K.H. Cyclic dipeptides exhibit synergistic, broad spectrum antimicrobial effects and have anti-mutagenic properties. Int. J. Antimicrob. Agents 2004, 24, 423–427. [Google Scholar] [CrossRef]
  111. Siddharth, S.; Vittal, R.R. Evaluation of antimicrobial, enzyme inhibitory, antioxidant and cytotoxic activities of partially purified volatile metabolites of marine Streptomyces sp. S2A. Microorganisms 2018, 6, 72. [Google Scholar] [CrossRef]
  112. Koaze, Y. On the Mechanism of L-Prolyl Diketopiperazine Formation by Streptomyces. Bull. Agric. Chem. Soc. Japan 1960, 24, 449–458. [Google Scholar]
  113. Tamura, S.; Suzuki, A.; Aoki, Y.; Otake, N. Isolation of Several Diketopiperazines from Peptone. Agric. Biol. Chem. 1964, 28, 650–652. [Google Scholar] [CrossRef]
  114. Bhandari, S.; Bhattarai, B.R.; Adhikari, A.; Aryal, B.; Shrestha, A.; Aryal, N.; Lamichhane, U.; Thapa, R.; Thapa, B.B.; Yadav, R.P.; et al. Characterization of Streptomyces Species and Validation of Antimicrobial Activity of Their Metabolites through Molecular Docking. Processes 2022, 10, 2149. [Google Scholar] [CrossRef]
  115. Alshaibani, M.; Zin, N.M.; Jalil, J.; Sidik, N.; Ahmad, S.J.; Kamal, N.; Edrada-Ebel, R. Isolation, Purification, and Characterization of Five Active Diketopiperazine Derivatives from Endophytic Streptomyces SUK 25 with Antimicrobial and Cytotoxic Activities. J. Microbiol. Biotechnol. 2017, 27, 1249–1256, Erratum in J. Microbiol. Biotechnol. 2017, 27, 2074. [Google Scholar] [CrossRef]
  116. Buedenbender, L.; Robertson, L.P.; Lucantoni, L.; Avery, V.M.; Kurtböke, D.İ.; Carroll, A.R. HSQC-TOCSY Fingerprinting-Directed Discovery of Antiplasmodial Polyketides from the Marine Ascidian-Derived Streptomyces sp. (USC-16018). Mar. Drugs 2018, 16, 189. [Google Scholar]
  117. Manimaran, M.; Kannabiran, K. Marine sp. VITMK1 Derived Pyrrolo [1, 2-A] Pyrazine-1, 4-Dione, Hexahydro-3-(2-Methylpropyl) and Its Free Radical Scavenging Activity. Open Bioact. Compd. J. 2017, 5, 23–30. [Google Scholar]
  118. Guo, Z.K.; Wang, R.; Chen, F.X.; Liu, T.M.; Yang, M.Q. Bioactive aromatic metabolites from the sea urchin-derived actinomycete Streptomyces spectabilis strain HDa1. Phytochem. Lett. 2018, 25, 132–135. [Google Scholar] [CrossRef]
  119. Mashima, I.; Miyakawa, H.; Scannapieco, F.A.; Nakazawa, F. Identification of an early stage biofilm inhibitor from Veillonella tobetsuensis. Anaerobe 2018, 52, 86–91. [Google Scholar] [CrossRef]
  120. Chen, M.Z.; Dewis, M.L.; Kraut, K.; Merritt, D.; Reiber, L.; Trinnaman, L.; Da Costa, N.C. 2,5-diketopiperazines (cyclic dipeptides) in beef: Identification, synthesis, and sensory evaluation. J. Food Sci. 2009, 74, 100–105. [Google Scholar] [CrossRef]
  121. Tabassum, T.; Rahman, H.; Tawab, A.; Murad, W.; Hameed, H.; Shah, S.A.R.; Alzahrani, K.J.; Banjer, H.J.; Alshiekheid, M.A. Fagonia cretica: Identification of compounds in bioactive gradient high performance liquid chromatography fractions against multidrug resistant human gut pathogens. Trop. Biomed. 2022, 39, 185–190. [Google Scholar] [CrossRef] [PubMed]
  122. Yue, Z.; Zi, J.; Zhu, C.; Lin, S.; Yang, Y.; Shi, J. Constituents of Gymnadenia conopsea. Zhongguo Zhong Yao Za Zhi 2010, 35, 2852–2861. [Google Scholar] [PubMed]
  123. Gautschi, M.; Schmid, J.P.; Peppard, T.L.; Ryan, T.P.; Tuorto, R.M.; Yang, X. Chemical Characterization of Diketopiperazines in Beer. J. Agric. Food Chem. 1997, 45, 3183–3189. [Google Scholar] [CrossRef]
  124. Ginz, M.; Engelhardt, U.H. Identification of Proline-Based Diketopiperazines in Roasted Coffee. J. Agric. Food Chem. 2000, 48, 3528–3532. [Google Scholar] [CrossRef] [PubMed]
  125. van der Laan, T.; Elfrink, H.; Azadi-Chegeni, F.; Dubbelman, A.C.; Harms, A.C.; Jacobs, D.M.; Braumann, U.; Velders, A.H.; van Duynhoven, J.; Hankemeier, T. Fractionation platform for target identification using off-line directed two-dimensional chromatography, mass spectrometry and nuclear magnetic resonance. Anal. Chim. Acta. 2021, 1142, 28–37. [Google Scholar] [CrossRef]
  126. Majumder, S.; Ghosh, A.; Chakraborty, S.; Bhattacharya, M. The Himalayan ethnic beverage tongba with therapeutic properties in high-altitude illnesses and metabolomic similarities to Japanese sake. Acta Univ. Sapientiae Aliment. 2022, 15, 67–83. [Google Scholar] [CrossRef]
  127. Majumder, S.; Chakraborty, S.; Ghoshi, A.; Bhattacharya, M. In silico insights into the efficacy of Djareeling Himalaya’s traditional fermented beverages to combat various high-altitude sicknesses. Acta Univ. Cibiniensis Ser. E 2023, 27, 261–292. [Google Scholar]
  128. Ryan, L.A.; Dal Bello, F.; Arendt, E.K.; Koehler, P. Detection and quantitation of 2,5-diketopiperazines in wheat sourdough and bread. J. Agric. Food Chem. 2009, 57, 9563–9568. [Google Scholar] [CrossRef]
  129. Agarwal, P.; Fischer, H.D.; Camalle, M.D.; Skirycz, A. Not to be overlooked: Dipeptides and their role in plant stress resilience. J. Exp. Bot. 2025, eraf311, online ahead of print. [Google Scholar] [CrossRef]
  130. Wei, B.; Ying, T.T.; Lv, H.W.; Zhou, Z.Y.; Cai, H.; Hu, G.A.; Liang, H.M.; Yu, W.C.; Yu, Y.L.; Fan, A.L.; et al. Global analysis of fungal biosynthetic gene clusters reveals the diversification of diketopiperazine biosynthesis. Bioresour. Technol. 2025, 422, 132218. [Google Scholar] [CrossRef]
  131. González, O.; Ortíz-Castro, R.; Díaz-Pérez, C.; Díaz-Pérez, A.L.; Magaña-Dueñas, V.; López-Bucio, J.; Campos-García, J. Non-ribosomal Peptide Synthases from Pseudomonas aeruginosa Play a Role in Cyclodipeptide Biosynthesis, Quorum-Sensing Regulation, and Root Development in a Plant Host. Microb. Ecol. 2017, 73, 616–629. [Google Scholar] [CrossRef] [PubMed]
  132. Martins, M.B.; Carvalho, I. Diketopiperazines: Biological activity and synthesis. Tetrahedron 2007, 63, 9923–9932. [Google Scholar] [CrossRef]
  133. Campbell, J.; Lin, Q.; Geske, G.D.; Blackwell, H.E. New and unexpected insights into the modulation of LuxR-type quorum sensing by cyclic dipeptides. ACS Chem. Biol. 2009, 4, 1051–1059. [Google Scholar] [CrossRef] [PubMed]
  134. Domzalski, A.; Margent, L.; Vigo, V.; Dewan, F.; Pilarsetty, N.V.K.; Xu, Y.; Kawamura, A. Unambiguous Stereochemical Assignment of Cyclo(Phe-Pro), Cyclo(Leu-Pro), and Cyclo(Val-Pro) by Electronic Circular Dichroic Spectroscopy. Molecules 2021, 26, 5981. [Google Scholar]
  135. Beneš, R.; Koval, D.; Švec, I.; Macůrková, A.; Vrchotová, B.; Honzíková, T.; Kalenchak, K.; Bárta, J.; Bártová, V.; Bedrníček, J.; et al. Antimicrobial and Antifungal Activities of Proline-Based 2,5-Diketopiperazines Occurring in Food and Beverages and Their Synergism with Lactic Acid. ACS Agric. Sci. Technol. 2025, 5, 1681–1692. [Google Scholar] [CrossRef]
  136. Eguchi, C.; Kakuta, A. Studies on cyclic dipeptides. I. Thermodynamics of the cis-trans isomerization of the side chains in cyclic dipeptides. J. Am. Chem. Soc. 1974, 96, 3985–3989. [Google Scholar] [CrossRef]
  137. Ying, J.; Lin, R.; Xu, P.; Wu, Y.; Liu, Y.; Zhao, Y. Prebiotic formation of cyclic dipeptides under potentially early Earth conditions. Sci. Rep. 2018, 8, 936. [Google Scholar] [CrossRef]
  138. Guo, Y.; Zhang, Y.; Ying, J.; Liu, Y.; Zhang, G.; Zhao, Y. Selection of Amino Acid Chirality Induced by Cyclic Dipeptide Synthesis in Plausible Prebiotic Conditions. Front. Astron. Space Sci. 2022, 9, 794932. [Google Scholar] [CrossRef]
  139. Chi, Y.; Li, X.; Chen, Y.; Zhang, Y.; Liu, Y.; Gao, X.; Zhao, Y. Prebiotic Formation of Catalytically Active Dipeptides via Trimetaphosphate Activation. Chem. Asian J. 2022, 17, e202200926. [Google Scholar] [CrossRef]
  140. Otsuka, Y.; Arita, H.; Sakaji, M.; Yamamoto, K.; Kashiwagi, T.; Shimamura, T.; Ukeda, H. Investigation of the formation mechanism of proline-containing cyclic dipeptide from the linear peptide. Biosci. Biotechnol. Biochem. 2019, 83, 2355–2363. [Google Scholar] [CrossRef]
  141. Bojarska, J.; Mieczkowski, A.; Ziora, Z.M.; Skwarczynski, M.; Toth, I.; Shalash, A.O.; Parang, K.; El-Mowafi, S.A.; Mohammed, E.H.M.; Elnagdy, S.; et al. Cyclic Dipeptides: The Biological and Structural Landscape with Special Focus on the Anti-Cancer Proline-Based Scaffold. Biomolecules. 2021, 11, 1515. [Google Scholar]
  142. Nsengiyumva, O.; Hamedzadeh, S.; McDaniel, J.; Macho, J.; Simpson, G.; Panda, S.S.; Ha, K.; Lebedyeva, I.; Faidallah, H.M.; Al-Mohammadi, M.M.; et al. A benzotriazole-mediated route to protected marine-derived hetero-2,5-diketopiperazines containing proline. Org. Biomol. Chem. 2015, 13, 4399–4403. [Google Scholar] [CrossRef]
  143. Karakama, S.; Suzuki, S.; Kino, K. One-pot synthesis of 2,5-diketopiperazine with high titer and versatility using adenylation enzyme. Appl. Microbiol. Biotechnol. 2022, 106, 4469–4479. [Google Scholar] [CrossRef]
  144. Kano, S.; Suzuki, S.; Hara, R.; Kino, K. Synthesis of d-Amino Acid-Containing Dipeptides Using the Adenylation Domains of Nonribosomal Peptide Synthetase. Appl. Environ. Microbiol. 2019, 85, e00120-19. [Google Scholar] [CrossRef] [PubMed]
  145. Ramakrishna, I.; Boateng, A.; Hattori, T.; Nakagai, K.; Kawase, M.; Ogata, S.; Yamamoto, H. Synthesis of Mono-Boc-2,5-Diketopiperazine: A Key Building Block for Amide and Peptide Synthesis. J. Org. Chem. 2025, 90, 4357–4364. [Google Scholar]
  146. Farran, D.; Echalier, D.; Martinez, J.; Dewynter, G. Regioselective and sequential reactivity of activated 2,5-diketopiperazines. J. Pept. Sci. 2009, 15, 474–478. [Google Scholar] [CrossRef] [PubMed]
  147. Tullberg, M.; Luthman, K.; Grøtli, M. Microwave-assisted solid-phase synthesis of 2,5-diketopiperazines: Solvent and resin dependence. J. Comb. Chem. 2006, 8, 915–922. [Google Scholar] [CrossRef] [PubMed]
  148. Tullberg, M.; Grøtli, M.; Luthman, K. Synthesis of functionalized, unsymmetrical 1,3,4,6-tetrasubstituted 2,5-diketopiperazines. J. Org. Chem. 2007, 72, 195–199. [Google Scholar] [CrossRef]
  149. Fischer, P.M. Diketopiperazines in peptide and combinatorial chemistry. J. Pept. Sci. 2003, 9, 9–35. [Google Scholar] [CrossRef]
  150. Takaya, Y.; Furukawa, T.; Miura, S.; Akutagawa, T.; Hotta, Y.; Ishikawa, N.; Niwa, M. Antioxidant constituents in distillation residue of Awamori spirits. J. Agric. Food Chem. 2007, 55, 75–79. [Google Scholar] [CrossRef]
  151. Furukawa, T.; Akutagawa, T.; Funatani, H.; Uchida, T.; Hotta, Y.; Niwa, M.; Takaya, Y. Cyclic dipeptides exhibit potency for scavenging radicals. Bioorg Med. Chem. 2012, 20, 2002–2009. [Google Scholar] [CrossRef]
  152. Deepak, K.G.K.; Kumari, S.; Malla, R.R. Marine Cyclic Dipeptide Cyclo (L-Leu-L-Pro) Protects Normal Breast Epithelial Cells from tBHP-induced Oxidative Damage by Targeting CD151. Arch. Breast Cancer 2021, 8, 162–173. [Google Scholar]
  153. Gowrishankar, S.; Pandian, S.K. Modulation of Staphylococcus epidermidis (RP62A) extracellular polymeric layer by marine cyclic dipeptide-cyclo(l-leucyl-l-prolyl) thwarts biofilm formation. Biochim. Biophys. Acta Biomembr. 2017, 1859, 1254–1262. [Google Scholar] [CrossRef]
  154. Gowrishankar, S.; Pandian, S.K.; Balasubramaniam, B.; Balamurugan, K. Quorum quelling efficacy of marine cyclic dipeptide -cyclo(L-leucyl-L-prolyl) against the uropathogen Serratia marcescens. Food Chem. Toxicol. 2019, 123, 326–336. [Google Scholar]
  155. Li, L.; Xu, Z.; Cao, R.; Li, J.; Wu, C.J.; Wang, Y.; Zhu, H. Effects of hydroxyl group in cyclo(Pro-Tyr)-like cyclic dipeptides on their anti-QS activity and self-assembly. iScience 2023, 26, 107048. [Google Scholar]
  156. Jothi, R.; Hari Prasath, N.; Gowrishankar, S.; Pandian, S.K. Bacterial Quorum-Sensing Molecules as Promising Natural Inhibitors of Candida albicans Virulence Dimorphism: An In Silico and In Vitro Study. Front. Cell Infect. Microbiol. 2021, 11, 781790. [Google Scholar]
  157. Zhang, C.; Wang, C.; Jatt, A.N.; Liu, H.; Liu, Y. Role of RpoS in stress resistance, biofilm formation and quorum sensing of Shewanella baltica. Lett. Appl. Microbiol. 2021, 72, 307–315. [Google Scholar] [PubMed]
  158. Paopradit, P.; Tansila, N.; Surachat, K.; Mittraparp-Arthorn, P. Vibrio alginolyticus influences quorum sensing-controlled phenotypes of acute hepatopancreatic necrosis disease-causing Vibrio parahaemolyticus. PeerJ 2021, 9, e11567. [Google Scholar]
  159. Kachhadia, R.; Kapadia, C.; Singh, S.; Gandhi, K.; Jajda, H.; Alfarraj, S.; Ansari, M.J.; Danish, S.; Datta, R. Quorum Sensing Inhibitory and Quenching Activity of Bacillus cereus RC1 Extracts on Soft Rot-Causing Bacteria Lelliottia amnigena. ACS Omega 2022, 7, 25291–25308. [Google Scholar] [CrossRef]
  160. Simon, G.; Bérubé, C.; Voyer, N.; Grenier, D. Anti-biofilm and anti-adherence properties of novel cyclic dipeptides against oral pathogens. Bioorganic Med. Chem. 2019, 27, 2323–2331. [Google Scholar]
  161. Marchesan, J.T.; Morelli, T.; Moss, K.; Barros, S.P.; Ward, M.; Jenkins, W.; Aspiras, M.B.; Offenbacher, S. Association of Synergistetes and Cyclodipeptides with Periodontitis. J. Dent. Res. 2015, 94, 1425–1431. [Google Scholar] [CrossRef]
  162. Wu, M.; Huang, S.; Du, J.; Li, Y.; Jiang, S.; Zhan, L.; Huang, X. D-alanylation of lipoteichoic acid contributes to biofilm formation and acidogenesis capacity of Streptococcus mutans. Microb. Pathog. 2022, 169, 105666. [Google Scholar] [CrossRef]
  163. Sangavi, R.; Malligarjunan, N.; Pandian, S.K.; Gowrishankar, S. Marine-Derived Cyclo(l-Leucyl-l-Prolyl) Targets d-Alanylation of Lipoteichoic Acid to Combat Streptococcus mutans UA159 Mediated Dental Cariogenesis. Mol. Oral. Microbiol. 2025, 40, 202–222. [Google Scholar] [CrossRef]
  164. Yabe, K.; Yan, P.S.; Song, Y.; Ichinomiya, M.; Nakagawa, H.; Shima, Y.; Ando, Y.; Sakuno, E.; Nakajima, H. Isolation of microorganisms and substances inhibitory to aflatoxin production. Food Addit. Contam. Part A 2008, 25, 1111–1117. [Google Scholar] [CrossRef]
  165. Deslauriers, R.; Grzonka, Z.; Walter, R. Influence of D and L amino-acid residues on the conformation of peptides in solution: A carbon-13 nuclear magnetic resonance study of cyclo(prolyl-leucyl). Biopolymers 1976, 15, 1677–1683. [Google Scholar] [CrossRef] [PubMed]
  166. Okuda-Shimazaki, J.; Yoshida, H.; Sode, K. AD dependent glucose dehydrogenases—Discovery and engineering of representative glucose sensing enzymes. Bioelectrochemistry 2020, 132, 107414. [Google Scholar] [CrossRef] [PubMed]
  167. Yoshida, H.; Sakai, G.; Mori, K.; Kojima, K.; Kamitori, S.; Sode, K. Structural analysis of fungus-derived FAD glucose dehydrogenase. Sci. Rep. 2015, 5, 13498. [Google Scholar] [CrossRef] [PubMed]
  168. Salman, M.; Tariq, A.; Ijaz, A.; Naheed, S.; Hashem, A.; Abd Allah, E.F.; Soliman, M.H.; Javed, M.R. In Vitro Antimicrobial and Antioxidant Activities of Lactobacillus coryniformis BCH-4 Bioactive Compounds and Determination of their Bioprotective Effects on Nutritional Components of Maize (Zea mays L.). Molecules 2020, 25, 4685. [Google Scholar] [CrossRef]
  169. Iimura, K.; Furukawa, T.; Yamamoto, T.; Negishi, L.; Suzuki, M.; Sakuda, S. The Mode of Action of Cyclo(l-Ala-l-Pro) in Inhibiting Aflatoxin Production of Aspergillus flavus. Toxins 2017, 9, 219. [Google Scholar] [CrossRef]
  170. Bukhari, S.A.; Salman, M.; Numan, M.; Javed, M.R.; Zubair, M.; Mustafa, G. Characterization of antifungal metabolites produced by Lactobacillus plantarum and Lactobacillus coryniformis isolated from rice rinsed water. Mol. Biol. Rep. 2020, 47, 1871–1881. [Google Scholar] [CrossRef]
  171. Ahmad, S.J.; Abdul Rahim, M.B.H.; Baharum, S.N.; Baba, M.S.; Zin, N.M. Discovery of Antimalarial Drugs from Streptomycetes Metabolites Using a Metabolomic Approach. J. Trop. Med. 2017, 2017, 2189814. [Google Scholar] [CrossRef]
  172. Ceravolo, I.P.; Leoni, L.F.; Krettli, A.U.; Murta, S.M.F.; Resende, D.M.; Cruz, M.G.F.M.L.; Varejão, J.O.S.; Mendes, L.L.; Varejão, E.V.V.; Kohlhoff, M. Novel 2,5-Diketopiperazines with In Vitro Activities against Protozoan Parasites of Tropical Diseases. Pharmaceuticals 2024, 17, 223. [Google Scholar] [CrossRef] [PubMed]
  173. Malla, R.; Marni, R.; Chakraborty, A. Exploring the role of CD151 in the tumor immune microenvironment: Therapeutic and clinical perspectives. Biochim. Biophys. Acta Rev. Cancer 2023, 1878, 188898. [Google Scholar]
  174. Erfani, S.; Hua, H.; Pan, Y.; Zhou, B.P.; Yang, X.H. The Context-Dependent Impact of Integrin-Associated CD151 and Other Tetraspanins on Cancer Development and Progression: A Class of Versatile Mediators of Cellular Function and Signaling, Tumorigenesis and Metastasis. Cancers 2021, 13, 2005. [Google Scholar]
  175. Gao, X.; Liu, S.; Cao, Y.; Shi, L.; Yin, Y. The controversial role of CD151 in different solid tumors: Promoter or suppressor? Cancer Cell Int. 2025, 25, 110. [Google Scholar] [CrossRef]
  176. Shanmukhappa, K.; Kim, J.K.; Kapil, S. Role of CD151, A tetraspanin, in porcine reproductive and respiratory syndrome virus infection. Virol. J. 2007, 4, 62. [Google Scholar] [CrossRef]
  177. Kawashima, K.; Saigo, C.; Kito, Y.; Hanamatsu, Y.; Egawa, Y.; Takeuchi, T. CD151 confers metastatic potential to clear cell sarcoma of the soft tissue in animal model. Oncol. Lett. 2019, 17, 4811–4818. [Google Scholar] [CrossRef]
  178. Haeuw, J.F.; Goetsch, L.; Bailly, C.; Corvaia, N. Tetraspanin CD151 as a target for antibody-based cancer immunotherapy. Biochem. Soc. Trans. 2011, 39, 553–558. [Google Scholar] [CrossRef]
  179. Marni, R.; Kundrapu, D.B.; Chakraborti, A.; Malla, R. Insight into drug sensitizing effect of diallyl disulfide and diallyl trisulfide from Allium sativum L. on paclitaxel-resistant triple-negative breast cancer cells. J. Ethnopharmacol. 2022, 296, 115452. [Google Scholar] [CrossRef]
  180. Akella, M.; Malla, R. Molecular modeling and in vitro study on pyrocatechol as potential pharmacophore of CD151 inhibitor. J. Mol. Graph. Model. 2020, 100, 107681. [Google Scholar] [CrossRef]
  181. Akella, M.; Amajala, K.C.; Malla, R.R. Bioinformatics analysis of regulatory elements of the CD151 gene and insilico docking of CD151 with diallyl sulfide. Gene Rep. 2019, 17, 100551. [Google Scholar] [CrossRef]
  182. Gavara, M.M.; Zaveri, K.; Badana, A.K.; Gugalavath, S.; Amajala, K.C.; Patnala, K.; Malla, R.R. A novel small molecule inhibitor of CD151 inhibits proliferation of metastatic triple negative breast cancer cell lines. Process Biochem. 2018, 66, 254–262. [Google Scholar] [CrossRef]
  183. Kgk, D.; Kumari, S.; G, S.; Malla, R.R. Marine natural compound cyclo(L-leucyl-L-prolyl) peptide inhibits migration of triple negative breast cancer cells by disrupting interaction of CD151 and EGFR signaling. Chem. Biol. Interact. 2020, 315, 108872. [Google Scholar] [CrossRef] [PubMed]
  184. Wong, A.H.; Nga, M.E.; Chin, C.Y.; Tai, Y.K.; Wong, H.C.; Soo, R.; An, O.; Yang, H.; Seet, J.E.; Lim, Y.C.; et al. Impact of CD151 overexpression on prognosis and therapy in non-small cell lung cancer patients lacking EGFR mutations. Cell Prolif. 2024, 57, e13708. [Google Scholar] [CrossRef]
  185. Zhu, J.; Cai, T.; Zhou, J.; Du, W.; Zeng, Y.; Liu, T.; Fu, Y.; Li, Y.; Qian, Q.; Yang, X.H.; et al. CD151 drives cancer progression depending on integrin α3β1 through EGFR signaling in non-small cell lung cancer. J. Exp. Clin. Cancer Res. 2021, 40, 192. [Google Scholar] [CrossRef]
  186. Jia, J.; Yao, J.; Kong, J.; Yu, A.; Wei, J.; Dong, Y.; Song, R.; Shan, D.; Zhong, X.; Lv, F.; et al. 2,5-Diketopiperazines: A Review of Source, Synthesis, Bioactivity, Structure, and MS Fragmentation. Curr. Med. Chem. 2023, 30, 1060–1085. [Google Scholar] [CrossRef]
  187. Song, Z.; Hou, Y.; Yang, Q.; Li, X.; Wu, S. Structures and Biological Activities of Diketopiperazines from Marine Organisms: A Review. Mar. Drugs 2021, 19, 403. [Google Scholar] [CrossRef]
  188. de Carvalho, M.P.; Abraham, W.R. Antimicrobial and biofilm inhibiting diketopiperazines. Curr. Med. Chem. 2012, 19, 3564–3577. [Google Scholar] [CrossRef]
  189. Ding, L.; Xu, P.; Zhang, W.; Yuan, Y.; He, X.; Su, D.; Shi, Y.; Naman, C.B.; Yan, X.; Wu, B.; et al. Three New Diketopiperazines from the Previously Uncultivable Marine Bacterium Gallaecimonas mangrovi HK-28 Cultivated by iChip. Chem. Biodivers. 2020, 17, e2000221. [Google Scholar] [CrossRef]
Figure 1. Diketopiperazine (DKP) motifs and structures of plinabulin and its derivative 5-3.
Figure 1. Diketopiperazine (DKP) motifs and structures of plinabulin and its derivative 5-3.
Marinedrugs 23 00397 g001
Figure 2. (a) Structure of gancidin W and (b) the different isomers of cyclo(Leu-Pro). Gancidin W corresponds to cis-cyclo(L-Leu-L-Pro) [cLP] or PPDHMP, (3S,8AR)-3-isobutylhexahydropyrrolo[1,2-a]pyrazine-1,4-dione.
Figure 2. (a) Structure of gancidin W and (b) the different isomers of cyclo(Leu-Pro). Gancidin W corresponds to cis-cyclo(L-Leu-L-Pro) [cLP] or PPDHMP, (3S,8AR)-3-isobutylhexahydropyrrolo[1,2-a]pyrazine-1,4-dione.
Marinedrugs 23 00397 g002
Figure 3. Microorganisms producing cLP (see Table 1 for more details).
Figure 3. Microorganisms producing cLP (see Table 1 for more details).
Marinedrugs 23 00397 g003
Figure 4. cLP participates in the regulation of bacterial communication through an inhibition of quorum-sensing (QS) and the control of autoinducers. cLP can form stable complexes with the QS regulator LasR. A model of P. aeruginosa LasR ligand-binding domain bound to its autoinducer (N-3-oxo-dodecanoyl-L-homoserine lactone) is shown (from PDB: 2UV0). cLP can repress expression of QS-related genes in P. aeruginosa and inhibit the production of QS-regulated virulence factors [89].
Figure 4. cLP participates in the regulation of bacterial communication through an inhibition of quorum-sensing (QS) and the control of autoinducers. cLP can form stable complexes with the QS regulator LasR. A model of P. aeruginosa LasR ligand-binding domain bound to its autoinducer (N-3-oxo-dodecanoyl-L-homoserine lactone) is shown (from PDB: 2UV0). cLP can repress expression of QS-related genes in P. aeruginosa and inhibit the production of QS-regulated virulence factors [89].
Marinedrugs 23 00397 g004
Figure 5. cLP from Lactobacillus coryniformis BCH-4 can bind to the active site of enzyme FAD-GDH and inhibits proliferation of A. flavus. On the left, a molecular model of FAD-GDH bound to dihydroflavine-adenine dinucleotide (FADH2 in pink) (PDB: 4TNT). The modeling analysis suggested that cLP can form stable complexes with FAD-GDH (flavin adenine dinucleotide-dependent glucose dehydrogenase), but also with dihydrofolate reductase and urate oxidase [168].
Figure 5. cLP from Lactobacillus coryniformis BCH-4 can bind to the active site of enzyme FAD-GDH and inhibits proliferation of A. flavus. On the left, a molecular model of FAD-GDH bound to dihydroflavine-adenine dinucleotide (FADH2 in pink) (PDB: 4TNT). The modeling analysis suggested that cLP can form stable complexes with FAD-GDH (flavin adenine dinucleotide-dependent glucose dehydrogenase), but also with dihydrofolate reductase and urate oxidase [168].
Marinedrugs 23 00397 g005
Figure 6. Through targeting the CD151-EGFR signaling pathway, cLP inhibits the increased expression of CD151 in MCF-12A epithelial breast cells exposed to the oxidative stress-inducer tert-butyl hydroperoxide (tBHP). The cLP-triggered down-regulation of CD151, reactive oxygen species (ROS), and cytochrome p450 contributes to reducing the oxidative stress [152,182].
Figure 6. Through targeting the CD151-EGFR signaling pathway, cLP inhibits the increased expression of CD151 in MCF-12A epithelial breast cells exposed to the oxidative stress-inducer tert-butyl hydroperoxide (tBHP). The cLP-triggered down-regulation of CD151, reactive oxygen species (ROS), and cytochrome p450 contributes to reducing the oxidative stress [152,182].
Marinedrugs 23 00397 g006
Figure 7. Structures of cLP and two related natural products.
Figure 7. Structures of cLP and two related natural products.
Marinedrugs 23 00397 g007
Disclaimer/Publisher’s Note: The statements, opinions and data contained in all publications are solely those of the individual author(s) and contributor(s) and not of MDPI and/or the editor(s). MDPI and/or the editor(s) disclaim responsibility for any injury to people or property resulting from any ideas, methods, instructions or products referred to in the content.

Share and Cite

MDPI and ACS Style

Bailly, C. Insights into the Bioactivities and Mechanism of Action of the Microbial Diketopiperazine Cyclic Dipeptide Cyclo(L-leucyl-L-prolyl). Mar. Drugs 2025, 23, 397. https://doi.org/10.3390/md23100397

AMA Style

Bailly C. Insights into the Bioactivities and Mechanism of Action of the Microbial Diketopiperazine Cyclic Dipeptide Cyclo(L-leucyl-L-prolyl). Marine Drugs. 2025; 23(10):397. https://doi.org/10.3390/md23100397

Chicago/Turabian Style

Bailly, Christian. 2025. "Insights into the Bioactivities and Mechanism of Action of the Microbial Diketopiperazine Cyclic Dipeptide Cyclo(L-leucyl-L-prolyl)" Marine Drugs 23, no. 10: 397. https://doi.org/10.3390/md23100397

APA Style

Bailly, C. (2025). Insights into the Bioactivities and Mechanism of Action of the Microbial Diketopiperazine Cyclic Dipeptide Cyclo(L-leucyl-L-prolyl). Marine Drugs, 23(10), 397. https://doi.org/10.3390/md23100397

Note that from the first issue of 2016, this journal uses article numbers instead of page numbers. See further details here.

Article Metrics

Back to TopTop