Bioactive Molecules from the Invasive Blue Crab Callinectes sapidus Exoskeleton: Evaluation of Reducing, Radical Scavenging, and Antitumor Activities
Abstract
1. Introduction
2. Results
2.1. Exoskeleton Yield and Humidity
2.2. Chitosan Characterization
2.3. Astaxanthin Identification and Quantification
2.4. Polyphenol Compounds’ Identification and Quantification
2.5. Reducing Capacity and Radical Scavenging Activity
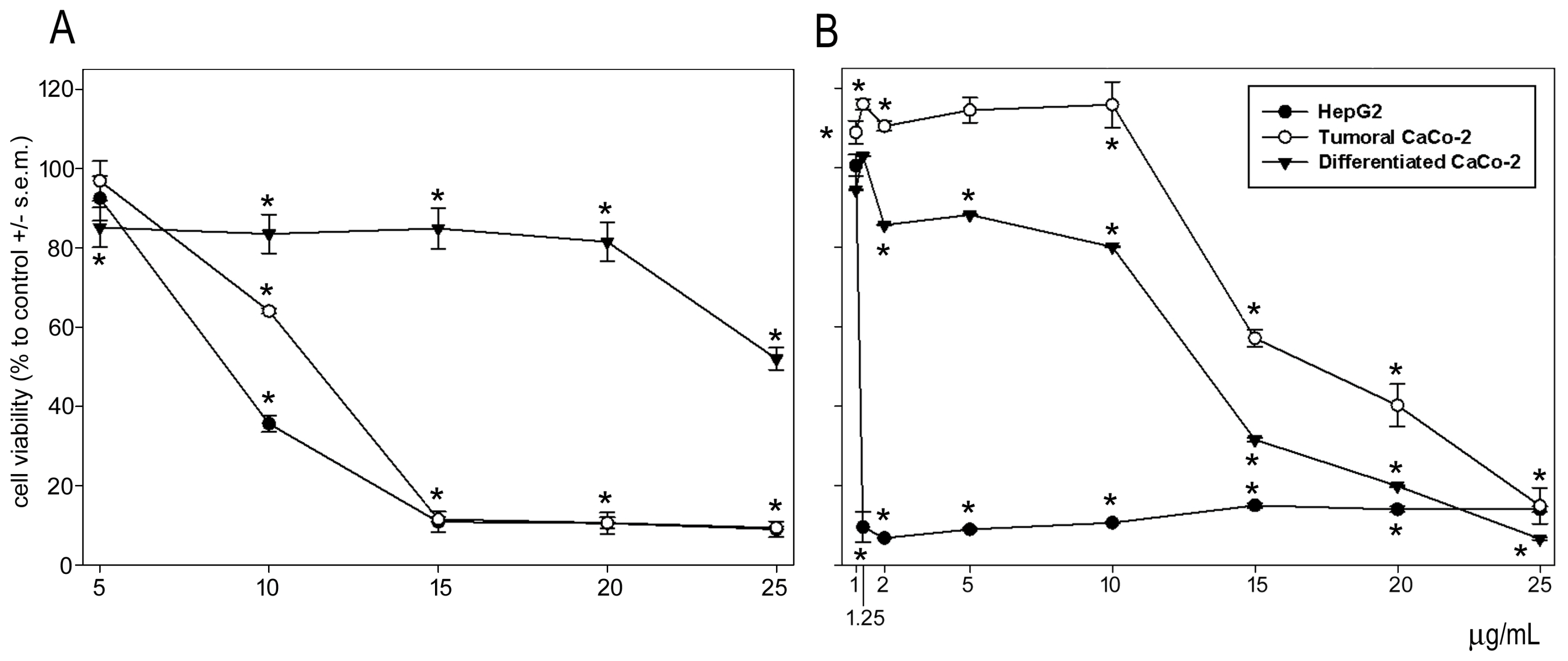
2.6. In Vitro Cytotoxic Activity on Human Cancer and Differentiated Cells
3. Discussion
4. Materials and Methods
4.1. Samples and Exoskeleton Powder Production
4.2. Chitosan Preparation and Characterization
4.3. Astaxanthin Extraction
Astaxanthin Determination by UPLC-HRMS (Ultra-Performance Liquid Chromatography–High Resolution Mass Spectrometry)
4.4. Phenolic Compounds’ Extraction
4.4.1. Total Phenol Content (TPC)
4.4.2. Phenolic Compounds’ Determination by UPLC-HESI-MS
4.5. Reducing Capacity and Radical Scavenging Test
4.5.1. Sample Preparation
4.5.2. Reducing Capacity Test
4.5.3. Radical Scavenging Activity Assay
4.6. Cell Toxicity Assay
4.7. Statistical Analysis
5. Conclusions
Author Contributions
Funding
Institutional Review Board Statement
Informed Consent Statement
Data Availability Statement
Conflicts of Interest
References
- Guerin, J.L.; Stickle, W.B. Effects of salinity gradients on the tolerance and bioenergetics of juvenile blue crabs (Callinectes sapidus) from waters of different environmental salinities. Mar. Biol. 1992, 114, 391–396. [Google Scholar] [CrossRef]
- Nehring, S. Invasion history and success of the American blue crab Callinectes sapidus in European and adjacent waters. In In the Wrong Place-Alien Marine Crustaceans: Distribution, Biology and Impacts, 1st ed.; Galil, B.S., Clark, P.F., Carlton, J.T., Eds.; Springer: Dordrecht, The Netherlands, 2011; Volume 6, pp. 607–624. [Google Scholar] [CrossRef]
- Laughlin, R.A. Feeding habits of the blue crab, Callinectes sapidus Rathbun, in the Apalachicola estuary, Florida. Bull. Mar. Sci. 1982, 32, 807–822. [Google Scholar]
- Ortega-Jiménez, E.; Cuesta, J.A.; Laiz, I.; González-Ortegón, E. Diet of the Invasive Atlantic Blue Crab Callinectes sapidus Rathbun, 1896 (Decapoda, Portunidae) in the Guadalquivir Estuary (Spain). Estuaries Coasts 2024, 47, 1075–1085. [Google Scholar] [CrossRef]
- Mancinelli, G.; Bardelli, R.; Zenetos, A. A global occurrence database of the Atlantic blue crab Callinectes sapidus. Sci. Data 2021, 8, 111. [Google Scholar] [CrossRef] [PubMed]
- Zenetos, A.; Galanidi, M. Mediterranean non indigenous species at the start of the 2020s: Recent changes. Mar. Biodivers. Rec. 2020, 13, 10. [Google Scholar] [CrossRef]
- Giordani-Soika, A. Il Neptunus pelagicus (L.) nell’alto Adriatico. Natura 1951, 42, 18–20. [Google Scholar]
- Mizzan, L. Presence of swimming crabs of the genus Callinectes (Stimpson) (Decapoda, Portunidae) in the Venice Lagoon (North Adriatic Sea-Italy). First record of Callinectes danae Smith in European waters. Boll. Mus. Civ. Stor. Nat. Venezia 1993, 42, 31–43. [Google Scholar]
- Mancinelli, G.; Chainho, P.; Cilenti, L.; Falco, S.; Kapiris, K.; Katselis, G.; Ribeiro, F. On the Atlantic blue crab (Callinectes sapidus Rathbun 1896) in southern European coastal waters: Time to turn a threat into a resource? Fish. Res. 2017, 194, 1–8. [Google Scholar] [CrossRef]
- Longmire, K.S.; Seitz, R.D.; Seebo, M.S.; Brill, R.W.; Lipcius, R.N. Biological responses of the predatory blue crab and its hard clam prey to ocean acidification and low salinity. Mar. Ecol. Prog. Ser. 2022, 701, 67–81. [Google Scholar] [CrossRef]
- Galil, B.S. A Sea Under Siege—Alien Species in the Mediterranean. Biol. Invasions 2000, 2, 177–186. [Google Scholar] [CrossRef]
- Azzurro, E.; Bonanomi, S.; Chiappi, M.; De Marco, R.; Luna, G.M.; Cella, M.; Guicciardi, S.; Tiralongo, F.; Bonifazi, A.; Strafella, P. Uncovering unmet demand and key insights for the invasive blue crab (Callinectes sapidus) market before and after the Italian outbreak: Implications for policymakers and industry stakeholders. Mar. Policy 2024, 167, 106295. [Google Scholar] [CrossRef]
- Cavaliere, A.; Berdar, A. Presenza di Callinectes sapidus Rathbun (Decapoda, Brachyura) nello Stretto di Messina. Boll. Pesca Piscic. Idrobiol. 1975, 30, 315–322. [Google Scholar]
- Castriota, L.; Falautano, M. Reviewing the invasion history of the blue crab Callinectes sapidus (Portunidae) in Sicily (Central Mediterranean): An underestimated alien species. Ann. Ser. Hist. Nat. 2021, 31, 1–8. [Google Scholar] [CrossRef]
- Bardelli, R.; Mancinelli, G.; Mazzola, A.; Vizzini, S. The Atlantic blue crab Callinectes sapidus spreading in the Tyrrhenian sea: Evidence of an established population in the Stagnone di Marsala (Sicily, southern Italy). Nase More 2023, 70, 177–183. [Google Scholar] [CrossRef]
- Di Martino, V.; Stancanelli, B. Mass mortality event of Callinectes sapidus Rathbun 1896 in a coastal pond of the protect area of Vendicari in summer 2020 (SE Sicily). J. Sea Res. 2021, 172, 102051. [Google Scholar] [CrossRef]
- Vecchioni, L.; Russotto, S.; Arculeo, M.; Marrone, F. On the occurrence of the invasive Atlantic blue crab Callinectes sapidus Rathbun 1896 (Decapoda: Brachyura: Portunidae) in Sicilian inland waters. Nat. Hist. Sci. 2022, 9, 43–46. [Google Scholar] [CrossRef]
- Vecchioni, L.; Faraone, F.P.; Stoch, F.; Arculeo, M.; Marrone, F. Diversity and Distribution of the Inland Water Decapods of Sicily (Crustacea, Malacostraca). Diversity 2022, 14, 246. [Google Scholar] [CrossRef]
- Vella, A.; Giarrusso, E.; Monaco, C.; Mifsud, C.M.; Darmanin, S.A.; Raffa, A.; Tumino, C.; Peri, I.; Vella, N. New Records of Callinectes sapidus (Crustacea, Portunidae) from Malta and the San Leonardo River Estuary in Sicily (Central Mediterranean). Diversity 2023, 15, 679. [Google Scholar] [CrossRef]
- Khamassi, F.; Bahri, W.R.; Bhouri, A.M.; Chaffai, A.; Ghanem, R.; Souissi, J.B. Biochemical composition, nutritional value and socio-economic impacts of the invasive crab Callinectes sapidus Rathbun, 1896 in the central Mediterranean Sea. Mediterr. Mar. Sci. 2022, 23, 650–663. [Google Scholar] [CrossRef]
- Küçükgülmez, A.; Celik, M.; Yanar, Y.; Ersoy, B.; Çikrikçi, M. Proximate composition and mineral contents of the blue crab (Callinectes sapidus) breast meat, claw meat and hepatopancreas. Int. J. Food Sci. Technol. 2006, 41, 1023–1026. [Google Scholar] [CrossRef]
- Tufan, B. Biochemical composition of different sex and body parts of blue crabs (Callinectes sapidus) caught from the middle Black Sea coast. Mar. Sci. Technol. Bull. 2023, 12, 104–110. [Google Scholar] [CrossRef]
- Öndes, F.; Gökçe, G. Distribution and fishing of the invasive blue crab (Callinectes sapidus) in Turkey based on local ecological knowledge of fishermen. J. Anatol. Environ. Anim. Sci. 2021, 6, 325–332. [Google Scholar] [CrossRef]
- Official Journal of the Italian Republic, General Series. 2024, 165. Available online: https://www.gazzettaufficiale.it/eli/gu/2024/01/26/21/sg/pdf (accessed on 28 December 2024).
- Baron, R.D.; Pérez, L.L.; Salcedo, J.M.; Córdoba, L.P.; Do Amaral Sobral, P.J. Production and characterization of films based on blends of chitosan from blue crab (Callinectes sapidus) waste and pectin from Orange (Citrus sinensis Osbeck) peel. Int. J. Biol. Macromol. 2017, 98, 676–683. [Google Scholar] [CrossRef] [PubMed]
- Chung, H.Y.; Cadwallader, K.R. Volatile components in blue crab (Callinectes sapidus) meat and processing by-product. J. Food Sci. 1993, 58, 1203–1207. [Google Scholar] [CrossRef]
- Arena, R.; Renda, G.; Ottaviani, A.G.; Debeaufort, F.; Messina, C.M.; Santulli, A. Valorization of the Invasive Blue Crabs (Callinectes sapidus) in the Mediterranean: Nutritional Value, Bioactive Compounds and Sustainable By-Products Utilization. Mar. Drugs 2024, 22, 430. [Google Scholar] [CrossRef]
- Tamburini, E. The blue treasure: Comprehensive biorefinery of blue crab (Callinectes sapidus). Foods 2024, 13, 2018. [Google Scholar] [CrossRef]
- Mathew, G.M.; Mathew, D.C.; Sukumaran, R.K.; Sindhu, R.; Huang, C.C.; Binod, P.; Sirohi, R.; Kim, S.H.; Pandey, A. Sustainable and eco-friendly strategies for shrimp shell valorization. Environ. Pollut. 2020, 267, 115656. [Google Scholar] [CrossRef]
- Zhang, Z.; Ma, Z.; Song, L.; Farag, M.A. Maximizing crustaceans (shrimp, crab, and lobster) by-products value for optimum valorization practices: A comparative review of their active ingredients, extraction, bioprocesses and applications. J. Adv. Res. 2023, 57, 59–76. [Google Scholar] [CrossRef]
- Hülsey, M.J. Shell biorefinery: A comprehensive introduction. Green Energy Environ. 2018, 3, 318–327. [Google Scholar] [CrossRef]
- Zhang, S.Y.; Zhao, Y.Q.; Wang, Y.M.; Yang, X.R.; Chi, C.F.; Wang, B. Gelatins and antioxidant peptides from Skipjack tuna (Katsuwonus pelamis) skins: Purification, characterization, and cytoprotection on ultraviolet-A injured human skin fibroblasts. Food Biosci. 2022, 50, 102138. [Google Scholar] [CrossRef]
- Zhang, Z.; Wang, Y.M.; Qiu, Y.T.; Chi, C.F.; Luo, H.Y.; Wang, B. Gelatin from cartilage of siberian sturgeon (Acipenser baerii): Preparation, characterization, and protective function on ultraviolet-A-Injured human skin fibroblasts. Front. Mar. Sci. 2022, 9, 925407. [Google Scholar] [CrossRef]
- Hu, Y.-D.; Xi, Q.-H.; Kong, J.; Zhao, Y.-Q.; Chi, C.-F.; Wang, B. Angiotensin-I-Converting Enzyme (ACE)-Inhibitory Peptides from the Collagens of Monkfish (Lophius litulon) Swim Bladders: Isolation, Characterization, Molecular Docking Analysis and Activity Evaluation. Mar. Drugs 2023, 21, 516. [Google Scholar] [CrossRef] [PubMed]
- Pan, X.; Zhao, Y.Q.; Hu, F.Y.; Wang, B. Preparation and identification of antioxidant peptides from protein hydrolysate of skate (Raja porosa) cartilage. J. Funct. Foods 2016, 25, 220–230. [Google Scholar] [CrossRef]
- Chi, C.F.; Wang, B.; Wang, Y.M.; Zhang, B.; Deng, S.G. Isolation and characterization of three antioxidant peptides from protein hydrolysate of bluefin leatherjacket (Navodon septentrionalis) heads. J. Funct. Foods 2015, 12, 1–10. [Google Scholar] [CrossRef]
- Elieh-Ali-Komi, D.; Hamblin, M.R. Chitin and chitosan: Production and application of versatile biomedical nanomaterials. Int. J. Adv. Res. 2016, 4, 411–427. [Google Scholar]
- Younes, I.; Rinaudo, M. Chitin and chitosan preparation from marine sources. Structure, properties and applications. Mar. Drugs 2015, 13, 1133–1174. [Google Scholar] [CrossRef]
- Wang, W.; Xue, C.; Mao, X. Chitosan: Structural modification, biological activity and application. Int. J. Biol. Macromol. 2020, 164, 4532–4546. [Google Scholar] [CrossRef]
- Pita-López, M.L.; Fletes-Vargas, G.; Espinosa-Andrews, H.; Rodriguez-Rodriguez, R. Physically cross-linked chitosan-based hydrogels for tissue engineering applications: A state-of-the-art review. Eur. Polym. J. 2021, 145, 110176. [Google Scholar] [CrossRef]
- Al-Manhel, A.J.; Al-Hilphy, A.R.S.; Niamah, A.K. Extraction of chitosan, characterisation and its use for water purification. J. Saudi Soc. Agric. Sci. 2018, 17, 186–190. [Google Scholar] [CrossRef]
- Kashyap, P.L.; Xiang, X.; Heiden, P. Chitosan nanoparticle-based delivery systems for sustainable agriculture. Int. J. Biol. Macromol. 2015, 77, 36–51. [Google Scholar] [CrossRef] [PubMed]
- El-Aidie, S. A Review on Chitosan: Ecofriendly Multiple Potential Applications in the Food Industry. Int. J. Life Sci. Res. 2018, 1, 1–14. [Google Scholar]
- Edo, G.I.; Yousif, E.; Al-Mashhadani, M.H. Chitosan: An overview of biological activities, derivatives, properties, and current advancements in biomedical applications. Carbohydr. Res. 2024, 542, 109199. [Google Scholar] [CrossRef]
- Azuma, K.; Osaki, T.; Minami, S.; Okamoto, Y. Anticancer and anti-inflammatory properties of chitin and chitosan oligosaccharides. J. Funct. Biomater. 2015, 6, 33–49. [Google Scholar] [CrossRef]
- Ambati, R.R.; Phang, S.M.; Ravi, S.; Aswathanarayana, R.G. Astaxanthin: Sources, extraction, stability, biological activities and its commercial applications—A review. Mar. Drugs 2014, 12, 128–152. [Google Scholar] [CrossRef] [PubMed]
- Maoka, T. Carotenoids as natural functional pigments. J. Nat. Med. 2020, 74, 1–16. [Google Scholar] [CrossRef] [PubMed]
- Sztretye, M.; Dienes, B.; Gönczi, M.; Czirják, T.; Csernoch, L.; Dux, L.; Szentesi, P.; Keller-Pintér, A. Astaxanthin: A potential mitochondrial-targeted antioxidant treatment in diseases and with aging. Oxidative Med. Cell. Longev. 2019, 2019, 3849692. [Google Scholar] [CrossRef] [PubMed]
- Miki, W. Biological functions and activities of animal carotenoids. Pure Appl. Chem. 1991, 63, 141–146. [Google Scholar] [CrossRef]
- Zhang, L.; Wang, H. Multiple mechanisms of anti-cancer effects exerted by astaxanthin. Mar. Drugs 2015, 13, 4310–4330. [Google Scholar] [CrossRef]
- Stachowiak, B.; Szulc, P. Astaxanthin for the food industry. Molecules 2021, 26, 2666. [Google Scholar] [CrossRef]
- Pashkow, F.J.; Watumull, D.G.; Campbell, C.L. Astaxanthin: A novel potential treatment for oxidative stress and inflammation in cardiovascular disease. Am. J. Cardiol. 2008, 101, 58D–68D. [Google Scholar] [CrossRef]
- Official Journal of the European Union. Available online: http://data.europa.eu/eli/reg_impl/2015/1415/oj (accessed on 28 December 2024).
- Di Lorenzo, C.; Colombo, F.; Biella, S.; Stockley, C.; Restani, P. Polyphenols and human health: The role of bioavailability. Nutrients 2021, 13, 273. [Google Scholar] [CrossRef]
- Lacikova, L.; Jancova, M.; Muselik, J.; Masterova, I.; Grancai, D.; Fickova, M. Antiproliferative, Cytotoxic, Antioxidant Activity and Polyphenols Contents in Leaves of Four Staphylea L. Species. Molecules 2009, 14, 3259–3267. [Google Scholar] [CrossRef] [PubMed]
- Shahidi, F.; Hossain, A. Preservation of aquatic food using edible films and coatings containing essential oils: A review. Crit. Rev. Food Sci. Nutr. 2022, 62, 66–105. [Google Scholar] [CrossRef]
- Onodenalore, A.C.; Hossain, A.; Banoub, J.; Shahidi, F. Unique Heterocyclic Phenolic Compounds from Shrimp (Pandalus borealis) and Beyond. Food Prod. Process. Nutr. 2024, 6, 29. [Google Scholar] [CrossRef]
- Pereira, U.C.; Chagas Barros, R.G.; Santana Andrade, J.K.; De Oliveira, C.S.; Gualberto, N.C.; Narain, N. Effect of In Vitro Gastrointestinal Digestion on Bioaccessibility of Phenolic Compounds and Antioxidant Capacity of Crustaceans Residues with Potential Antidiabetic Impact. LWT 2020, 133, 110004. [Google Scholar] [CrossRef]
- Abd El-Ghany, M.N.; Hamdi, S.A.; Elbaz, R.M.; Aloufi, A.S.; El Sayed, R.R.; Ghonaim, G.M.; Farahat, M.G. Development of a microbial-assisted process for enhanced astaxanthin recovery from crab exoskeleton waste. Fermentation 2023, 9, 505. [Google Scholar] [CrossRef]
- Vidal, J.L.; Jin, T.; Lam, E.; Kerton, F.; Moores, A. Blue is the new green: Valorization of crustacean waste. Curr. Res. Green Sustain. 2022, 5, 100330. [Google Scholar] [CrossRef]
- Kiehbadroudinezhad, M.; Hosseinzadeh-Bandbafha, H.; Varjani, S.; Wang, Y.; Peng, W.; Pan, J.; Aghbashlo, M.; Tabatabaei, M. Marine shell-based biorefinery: A sustainable solution for aquaculture waste valorization. Renew. Energy 2023, 206, 623–634. [Google Scholar] [CrossRef]
- Rossi, N.; Grosso, C.; Delerue-Matos, C. Shrimp Waste Upcycling: Unveiling the Potential of Polysaccharides, Proteins, Carotenoids, and Fatty Acids with Emphasis on Extraction Techniques and Bioactive Properties. Mar. Drugs 2024, 22, 153. [Google Scholar] [CrossRef]
- Muzzarelli, R.A. Chemical and technological advances in chitins and chitosans useful for the formulation of biopharmaceuticals. In Chitosan-Based Systems for Biopharmaceuticals: Delivery, Targeting and Polymer Therapeutics; Sarmento, B., das Neves, J., Eds.; Wiley: Chichester, UK, 2012; pp. 1–21. [Google Scholar]
- Isa, M.T.; Abdulkarim, A.Y.; Bello, A.; Bello, T.K.; Adamu, Y. Synthesis and characterization of chitosan for medical applications: A review. J. Biomater. Appl. 2024, 38, 1036–1057. [Google Scholar] [CrossRef] [PubMed]
- Metin, C.; Alparslan, Y.; Baygar, T.; Baygar, T. Physicochemical, Microstructural and Thermal Characterization of Chitosan from Blue Crab Shell Waste and Its Bioactivity Characteristics. J. Polym. Environ. 2019, 27, 2552–2561. [Google Scholar] [CrossRef]
- Kaya, M.; Dudakli, F.; Asan-Ozusaglam, M.; Cakmak, Y.S.; Baran, T.; Mentes, A.; Erdogan, S. Porous and nanofiber α-chitosan obtained from blue crab (Callinectes sapidus) tested for antimicrobial and antioxidant activities. LWT-Food Sci. Technol. 2016, 65, 1109–1117. [Google Scholar] [CrossRef]
- Wenling, C.; Duohui, J.; Jiamou, L.; Yandao, G.; Nanming, Z.; Xiufang, Z. Effects of the Degree of Deacetylation on the Physicochemical Properties and Schwann Cell Affinity of Chitosan Films. J. Biomater. Appl. 2005, 20, 157–177. [Google Scholar] [CrossRef]
- Muzzarelli, R.A.A. Chitosan composites with inorganics, morphogenetic proteins and stem cells, for bone regeneration. Carbohydr. Polym. 2011, 83, 1433–1445. [Google Scholar] [CrossRef]
- Pal, J.; Hari, O.V.; Vijay, K.M.; Satyendra, K.M.; Deepayan, R.; Jitendra, K. Biological method of chitin extraction from shrimp waste an eco-friendly low-cost technology and its advanced application. Int. J. Fish. Aquat. Stud. 2014, 1, 104–107. [Google Scholar]
- Šimat, V.; Rathod, N.B.; Čagalj, M.; Hamed, I.; Generalić Mekinić, I. Astaxanthin from Crustaceans and Their Byproducts: A Bioactive Metabolite Candidate for Therapeutic Application. Mar. Drugs 2022, 20, 206. [Google Scholar] [CrossRef] [PubMed]
- Felix-Valenzuela, L.E.; Higuera-ciapara, I.N.; Goycoolea-valencia, F.R.; Argüelles-Monal, W.A. Supercritical CO2/ethanol extraction of astaxanthin from blue crab (Callinectes sapidus) shell waste. J. Food Process Eng. 2001, 24, 101–112. [Google Scholar] [CrossRef]
- Antunes-Valcareggi, S.A.; Ferreira, S.R.; Hense, H. Enzymatic hydrolysis of blue crab (Callinectes sapidus) waste processing to obtain chitin, protein, and astaxanthin-enriched extract. Int. J. Environ. Agric. Res. 2017, 3, 81–92. [Google Scholar]
- Montoya, J.M.; Mata, S.; Acosta, J.; Cabrera, B.; López-Valdez, L.; Reyes, C.; Barrales-Cureño, H. Obtaining of astaxanthin from crab exosqueletons and shrimp head shells. Biointerface Res. Appl. Chem. 2021, 11, 13516–13523. [Google Scholar] [CrossRef]
- Babin, A.; Motreuil, S.; Teixeira, M.; Bauer, A.; Rigaud, T.; Moreau, J.; Moret, Y. Origin of the Natural Variation in the Storage of Dietary Carotenoids in Freshwater Amphipod Crustaceans. PLoS ONE 2020, 15, e0231247. [Google Scholar] [CrossRef] [PubMed]
- Yanar, Y.; Çelik, M.; Yanar, M. Seasonal Changes in Total Carotenoid Contents of Wild Marine Shrimps (Penaeus semisulcatus and Metapenaeus monoceros) Inhabiting the Eastern Mediterranean. Food Chem. 2004, 88, 267–269. [Google Scholar] [CrossRef]
- Yusoff, I.M.; Taher, Z.M.; Rahmat, Z.; Chua, L.S. A review of ultrasound-assisted extraction for plant bioactive compounds: Phenolics, flavonoids, thymols, saponins and proteins. Int. Food Res. 2022, 157, 111268. [Google Scholar] [CrossRef] [PubMed]
- Ojha, K.S.; Aznar, R.; O’Donnell, C.; Tiwari, B.K. Ultrasound technology for the extraction of biologically active molecules from plant, animal and marine sources. TrAC Trends Anal. Chem. 2020, 122, 115663. [Google Scholar] [CrossRef]
- Panagiotakopoulos, I.; Karantonis, H.C.; Kartelias, I.G.; Nasopoulou, C. Ultrasonic-Assisted Extraction of Astaxanthin from Shrimp By-Products Using Vegetable Oils. Mar. Drugs 2023, 21, 467. [Google Scholar] [CrossRef] [PubMed]
- Denga, M.; Qu, Y.; Wu, T.; Na, Y.; Liang, N.; Zhao, L. Amino acid-based natural deep eutectic solvent combined with ultrasonic extraction: Green extraction of astaxanthin from shrimp shells. Biomass Convers. Biorefin. 2024, 14, 24631–24640. [Google Scholar] [CrossRef]
- Sayem, A.S.M.; Ahmed, T.; Mithun, M.U.K.; Rashid, M.; Rana, M.R. Optimising ultrasound-assisted extraction conditions for maximising phenolic, flavonoid content and antioxidant activity in hog plum peel and seed: A response surface methodology approach. J. Agric. Food Res. 2024, 18, 101312. [Google Scholar] [CrossRef]
- Maia, M.L.; Grosso, C.; Barroso, M.F.; Silva, A.; Delerue-Matos, C.; Domingues, V.F. Bioactive Compounds of Shrimp Shell Waste from Palaemon serratus and Palaemon varians from Portuguese Coast. Antioxidants 2023, 12, 435. [Google Scholar] [CrossRef]
- Longo, F.; Di Gaudio, F.; Attanzio, A.; Marretta, L.; Luparello, C.; Indelicato, S.; Bongiorno, D.; Barone, G.; Tesoriere, L.; Giardina, I.C.; et al. Bioactive Molecules from the Exoskeleton of Procambarus clarkii: Reducing Capacity, Radical Scavenger, and Antitumor and Anti-Inflammatory Activities. Biomolecules 2024, 14, 1635. [Google Scholar] [CrossRef]
- Măgerușan, Ș.E.; Hancu, G.; Rusu, A. A Comprehensive Bibliographic Review Concerning the Efficacy of Organic Acids for Chemical Peels Treating Acne Vulgaris. Molecules 2023, 28, 7219. [Google Scholar] [CrossRef]
- Sun, T.; Qin, Y.; Xie, J.; Xue, B.; Zhu, Y.; Wu, J.; Bian, X.; Li, X. Antioxidant Activity of Oligochitosan Maillard Reaction Products Using Oligochitosan as the Amino or Carbonyl Groups Donors. Int. J. Food Prop. 2018, 21, 1964–1971. [Google Scholar] [CrossRef]
- Pu, S.; Li, J.; Sun, L.; Zhong, L.; Ma, Q. An in vitro comparison of the antioxidant activities of chitosan and green synthesized gold nanoparticles. Carbohydr. Polym. 2019, 211, 161–172. [Google Scholar] [CrossRef]
- Müller, L.; Fröhlich, K.; Böhm, V. Comparative antioxidant activities of carotenoids measured by ferric reducing antioxidant power (FRAP), ABTS bleaching assay (αTEAC), DPPH assay and peroxyl radical scavenging assay. Food Chem. 2011, 129, 139–148. [Google Scholar] [CrossRef]
- Kumar, S.; Kumar, R.; Diksha; Kumari, A.; Panwar, A. Astaxanthin: A super antioxidant from microalgae and its therapeutic potential. J. Basic Microbiol. 2022, 62, 1064–1082. [Google Scholar] [CrossRef] [PubMed]
- Liu, X.; Luo, Q.; Rakariyatham, K.; Cao, Y.; Goulette, T.; Liu, X.; Xiao, H. Antioxidation and anti-ageing activities of different stereoisomeric astaxanthin in vitro and in vivo. J. Funct. Foods 2016, 25, 50–61. [Google Scholar] [CrossRef]
- Guerin, M.; Huntley, M.E.; Olaizola, M. Haematococcus Astaxanthin: Applications for Human Health and Nutrition. Trends Biotechnol. 2003, 21, 210–216. [Google Scholar] [CrossRef] [PubMed]
- Olszowy, M. What Is Responsible for Antioxidant Properties of Polyphenolic Compounds from Plants? Plant Physiol. Biochem. 2019, 144, 135–143. [Google Scholar] [CrossRef] [PubMed]
- Messina, C.M.; Manuguerra, S.; Renda, G.; Santulli, A. Biotechnological Applications for the Sustainable Use of Marine By-products: In Vitro Antioxidant and Pro-apoptotic Effects of Astaxanthin Extracted with Supercritical CO2 from Parapeneus longirostris. Mar. Biotechnol. 2019, 21, 565–576. [Google Scholar] [CrossRef]
- Tan, Y.; Ye, Z.; Wang, M.; Manzoor, M.F.; Aadil, R.M.; Tan, X.; Liu, Z. Comparison of Different Methods for Extracting the Astaxanthin from Haematococcus pluvialis: Chemical Composition and Biological Activity. Molecules 2021, 26, 3569. [Google Scholar] [CrossRef] [PubMed]
- Wayakanon, K.; Rueangyotchanthana, K.; Wayakanon, P.; Suwannachart, C. The inhibition of Caco-2 proliferation by astaxanthin from Xanthophyllomyces dendrorhous. J. Med. Microbiol. 2018, 67, 507–513. [Google Scholar] [CrossRef] [PubMed]
- Sadi, G.; Kaya, A.; Yalcin, H.A.; Emsen, B.; Kocabas, A.; Kartal, D.I.; Altay, A. Wild Edible Mushrooms from Turkey as Possible Anticancer Agents on HepG2 Cells Together with Their Antioxidant and Antimicrobial Properties. Int. J. Med. Mushrooms 2016, 18, 83–95. [Google Scholar] [CrossRef]
- Janicke, B.; Hegardt, C.; Krogh, M.; Önning, G.; Åkesson, B.; Cirenajwis, H.M.; Oredsson, S.M. The Antiproliferative Effect of Dietary Fiber Phenolic Compounds Ferulic Acid and p -Coumaric Acid on the Cell Cycle of Caco-2 Cells. Nutr. Cancer 2011, 63, 611–622. [Google Scholar] [CrossRef]
- Karakurt, S.; Abuşoğlu, G.; Arituluk, Z.C. Comparison of Anticarcinogenic Properties of Viburnum Opulus and Its Active Compound P-Coumaric Acid on Human Colorectal Carcinoma. Turk. J. Biol. 2020, 44, 252–263. [Google Scholar] [CrossRef]
- Wang, J.; Lai, X.; Yuan, D.; Liu, Y.; Wang, J.; Liang, Y. Effects of Ferulic Acid, a Major Component of Rice Bran, on Proliferation, Apoptosis, and Autophagy of HepG2 Cells. Food Res. Int. 2022, 161, 111816. [Google Scholar] [CrossRef] [PubMed]
- Janda, E.; Martino, C.; Riillo, C.; Parafati, M.; Lascala, A.; Mollace, V.; Boutin, J.A. Apigenin and Luteolin Regulate Autophagy by Targeting NRH-Quinone Oxidoreductase 2 in Liver Cells. Antioxidants 2021, 10, 776. [Google Scholar] [CrossRef]
- Ben Sghaier, M.; Pagano, A.; Mousslim, M.; Ammari, Y.; Kovacic, H.; Luis, J. Rutin Inhibits Proliferation, Attenuates Superoxide Production and Decreases Adhesion and Migration of Human Cancerous Cells. Biomed. Pharmacother. 2016, 84, 1972–1978. [Google Scholar] [CrossRef] [PubMed]
- Yu, M.-H.; Tsai, M.-C.; Wang, C.-C.; Wu, S.-W.; Chang, Y.-J.; Wu, C.-H.; Wang, C.-J. Mulberry Leaf Polyphenol Extract and Rutin Induces Autophagy Regulated by P53 in Human Hepatoma HepG2 Cells. Pharmaceuticals 2021, 14, 1310. [Google Scholar] [CrossRef] [PubMed]
- Yuan, W.; Zheng, B.; Li, T.; Liu, R.H. Quantification of Phytochemicals, Cellular Antioxidant Activities and Antiproliferative Activities of Raw and Roasted American Pistachios (Pistacia vera L.). Nutrients 2022, 14, 3002. [Google Scholar] [CrossRef] [PubMed]
- Mauro, M.; Pinto, P.; Settanni, L.; Puccio, V.; Vazzana, M.; Hornsby, B.L.; Fabbrizio, A.; Di Stefano, V.; Barone, G.; Arizza, V. Chitosan Film Functionalized with Grape Seed Oil—Preliminary Evaluation of Antimicrobial Activity. Sustainability 2022, 14, 5410. [Google Scholar] [CrossRef]
- Brugnerotto, J.; Lizardi, J.; Goycoolea, F.M.; Argüelles-Monal, W.; Desbrières, J.; Rinaudo, M. An Infrared Investigation in Relation with Chitin and Chitosan Characterization. Polymer 2001, 42, 3569–3580. [Google Scholar] [CrossRef]
- Hu, J.; Lu, W.; Lv, M.; Wang, Y.; Ding, R.; Wang, L. Extraction and Purification of Astaxanthin from Shrimp Shells and the Effects of Different Treatments on Its Content. Rev. Bras. Farmacogn. 2019, 29, 24–29. [Google Scholar] [CrossRef]
- Sharayei, P.; Azarpazhooh, E.; Zomorodi, S.; Einafshar, S.; Ramaswamy, H.S. Optimization of ultrasonic-assisted extraction of astaxanthin from green tiger (Penaeus semisulcatus) shrimp shell. Ultrason. Sonochem. 2021, 76, 105666. [Google Scholar] [CrossRef] [PubMed]
- Singleton, V.L.; Orthofer, R.; Lamuela-Raventos, R.M. Analysis of Total Phenols and Other Oxidation Substrates and Antioxidants by Means of Folin-Ciocalteu Reagent. In Methods in Enzymology, 1st ed.; Packer, L., Ed.; Academic Press: San Diego, CA, USA, 1999; Volume 299, pp. 152–178. [Google Scholar]
- Attanzio, A.; D’Anneo, A.; Pappalardo, F.; Bonina, F.P.; Livrea, M.A.; Allegra, M.; Tesoriere, L. Phenolic Composition of Hydrophilic Extract of Manna from Sicilian Fraxinus angustifolia Vahl and Its Reducing, Antioxidant and Anti-Inflammatory Activity In Vitro. Antioxidants 2019, 8, 494. [Google Scholar] [CrossRef] [PubMed]
- Indelicato, S.; Houmanat, K.; Bongiorno, D.; Ejjilani, A.; Hssaini, L.; Razouk, R.; Charafi, J.; Ennahli, S.; Hanine, H. Freeze Dried Pomegranate Juices of Moroccan Fruits: Main Representative Phenolic Compounds. J. Sci. Food Agric. 2023, 103, 1355–1365. [Google Scholar] [CrossRef]
- Saxena, S.; Gautam, S.; Sharma, A. Physical, Biochemical and Antioxidant Properties of Some Indian Honeys. Food Chem. 2010, 118, 391–397. [Google Scholar] [CrossRef]
- Re, R.; Pellegrini, N.; Proteggente, A.; Pannala, A.; Yang, M.; Rice-Evans, C. Antioxidant activity applying an improved ABTS radical cation decolorization assay. Free Radic. Biol. Med. 1999, 26, 1231–1237. [Google Scholar] [CrossRef]
- Brand-Williams, W.; Cuvelier, M.E.; Berset, C. Use of a Free Radical Method to Evaluate Antioxidant Activity. LWT—Food Sci. Technol. 1995, 28, 25–30. [Google Scholar] [CrossRef]
- Luparello, C.; Branni, R.; Abruscato, G.; Lazzara, V.; Drahos, L.; Arizza, V.; Mauro, M.; Di Stefano, V.; Vazzana, M. Cytotoxic Capability and the Associated Proteomic Profile of Cell-Free Coelomic Fluid Extracts from the Edible Sea Cucumber Holothuria tubulosa on HepG2 Liver Cancer Cells. EXCLI J. 2022, 21, 722–743. [Google Scholar] [CrossRef] [PubMed]
- Cicio, A.; Sut, S.; Dall’Acqua, S.; Bruno, M.; Luparello, C.; Serio, R.; Zizzo, M.G. Chemical Characterization and Cytotoxic and Antioxidant Activity Evaluation of the Ethanol Extract from the Bulbs of Pancratium maritimun Collected in Sicily. Molecules 2023, 28, 3986. [Google Scholar] [CrossRef] [PubMed]




| Bio-Phenol | Calibration Equation | Concentration (mg/100 mL) |
|---|---|---|
| Coumaric acid | Y = −10,089 + 6127X | 0.20 |
| Ferulic acid | Y = 1614 + 1181X | 0.12 |
| Gentisic acid | Y = −58,051.4 + 3441.27X | <LOD |
| Luteolin | Y = −1577 + 10,979X | 0.02 |
| Mandelic acid | Y = −25,181.1 + 488.34X | 1.08 |
| Rutin | Y = −61,324.9 + 2962.87X | 0.09 |
| Trans-OH-Cynnamic acid | Y = −121.915 + 6685.59X | 0.08 |
| Precursor Ion (m/z) [M-H]− | Product Ion (m/z) | Collision Energy (V) | RF Lens (V) | |
|---|---|---|---|---|
| Gallic Acid | 169 | 79 | 24 | 101 |
| 169 | 125 | 14 | 101 | |
| Vanillic Acid | 177 | 123 | 20 | 105 |
| 177 | 152 | 20 | 105 | |
| Ferulic Acid | 193 | 134 | 15 | 99 |
| 193 | 178 | 13 | 99 | |
| Chlorogenic Acid | 353 | 179 | 45 | 180 |
| 353 | 191 | 45 | 180 | |
| Catechin | 289 | 203 | 20 | 147 |
| 289 | 245 | 15 | 147 | |
| Mandelic Acid | 151 | 77 | 18 | 65 |
| 151 | 107 | 10 | 65 | |
| Gentisic Acid | 153 | 108 | 22 | 90 |
| 153 | 109 | 14 | 90 | |
| Syringic Acid | 197 | 153 | 12 | 100 |
| 197 | 182 | 14 | 100 | |
| Caffeic Acid | 179 | 107 | 25 | 101 |
| 179 | 135 | 16 | 103 | |
| Trans-OH-Cynnamic | 163 | 93 | 31 | 90 |
| 163 | 119 | 14 | 90 | |
| Rutin | 609 | 271 | 60 | 299 |
| 609 | 300 | 38 | 299 | |
| Resveratrol | 227 | 143 | 27 | 156 |
| 227 | 185 | 20 | 156 | |
| Apigenin-7Glu | 433 | 269 | 20 | 123 |
| 433 | 271 | 20 | 123 | |
| Quercetin | 301 | 151 | 18 | 166 |
| 301 | 179 | 21 | 166 | |
| Kaempferol | 285 | 202 | 20 | 195 |
| 285 | 239 | 29 | 195 | |
| Hydroxytyrosol | 153 | 95 | 21 | 97 |
| 153 | 123 | 14 | 97 | |
| Cumaric Acid | 163 | 93 | 31 | 91 |
| 163 | 119 | 13 | 91 | |
| Luteolin | 285 | 133 | 35 | 187 |
| 285 | 175 | 26 | 187 | |
| Apigenin | 269 | 117 | 35 | 178 |
| 269 | 151 | 25 | 178 |
Disclaimer/Publisher’s Note: The statements, opinions and data contained in all publications are solely those of the individual author(s) and contributor(s) and not of MDPI and/or the editor(s). MDPI and/or the editor(s) disclaim responsibility for any injury to people or property resulting from any ideas, methods, instructions or products referred to in the content. |
© 2025 by the authors. Licensee MDPI, Basel, Switzerland. This article is an open access article distributed under the terms and conditions of the Creative Commons Attribution (CC BY) license (https://creativecommons.org/licenses/by/4.0/).
Share and Cite
Longo, F.; Attanzio, A.; Marretta, L.; Luparello, C.; Indelicato, S.; Bongiorno, D.; Barone, G.; Tesoriere, L.; Giardina, I.C.; Abruscato, G.; et al. Bioactive Molecules from the Invasive Blue Crab Callinectes sapidus Exoskeleton: Evaluation of Reducing, Radical Scavenging, and Antitumor Activities. Mar. Drugs 2025, 23, 45. https://doi.org/10.3390/md23010045
Longo F, Attanzio A, Marretta L, Luparello C, Indelicato S, Bongiorno D, Barone G, Tesoriere L, Giardina IC, Abruscato G, et al. Bioactive Molecules from the Invasive Blue Crab Callinectes sapidus Exoskeleton: Evaluation of Reducing, Radical Scavenging, and Antitumor Activities. Marine Drugs. 2025; 23(1):45. https://doi.org/10.3390/md23010045
Chicago/Turabian StyleLongo, Francesco, Alessandro Attanzio, Laura Marretta, Claudio Luparello, Serena Indelicato, David Bongiorno, Giampaolo Barone, Luisa Tesoriere, Ilenia Concetta Giardina, Giulia Abruscato, and et al. 2025. "Bioactive Molecules from the Invasive Blue Crab Callinectes sapidus Exoskeleton: Evaluation of Reducing, Radical Scavenging, and Antitumor Activities" Marine Drugs 23, no. 1: 45. https://doi.org/10.3390/md23010045
APA StyleLongo, F., Attanzio, A., Marretta, L., Luparello, C., Indelicato, S., Bongiorno, D., Barone, G., Tesoriere, L., Giardina, I. C., Abruscato, G., Perlotti, M., Hornsby, L. B., Arizza, V., Vazzana, M., Vizzini, A., Martino, C., Listro, A., Queiroz, V., Fabbrizio, A., ... Mauro, M. (2025). Bioactive Molecules from the Invasive Blue Crab Callinectes sapidus Exoskeleton: Evaluation of Reducing, Radical Scavenging, and Antitumor Activities. Marine Drugs, 23(1), 45. https://doi.org/10.3390/md23010045

