Polyketide Derivatives from the Mangrove-Derived Fungus Penicillium sp. HDN15-312
Abstract
1. Introduction
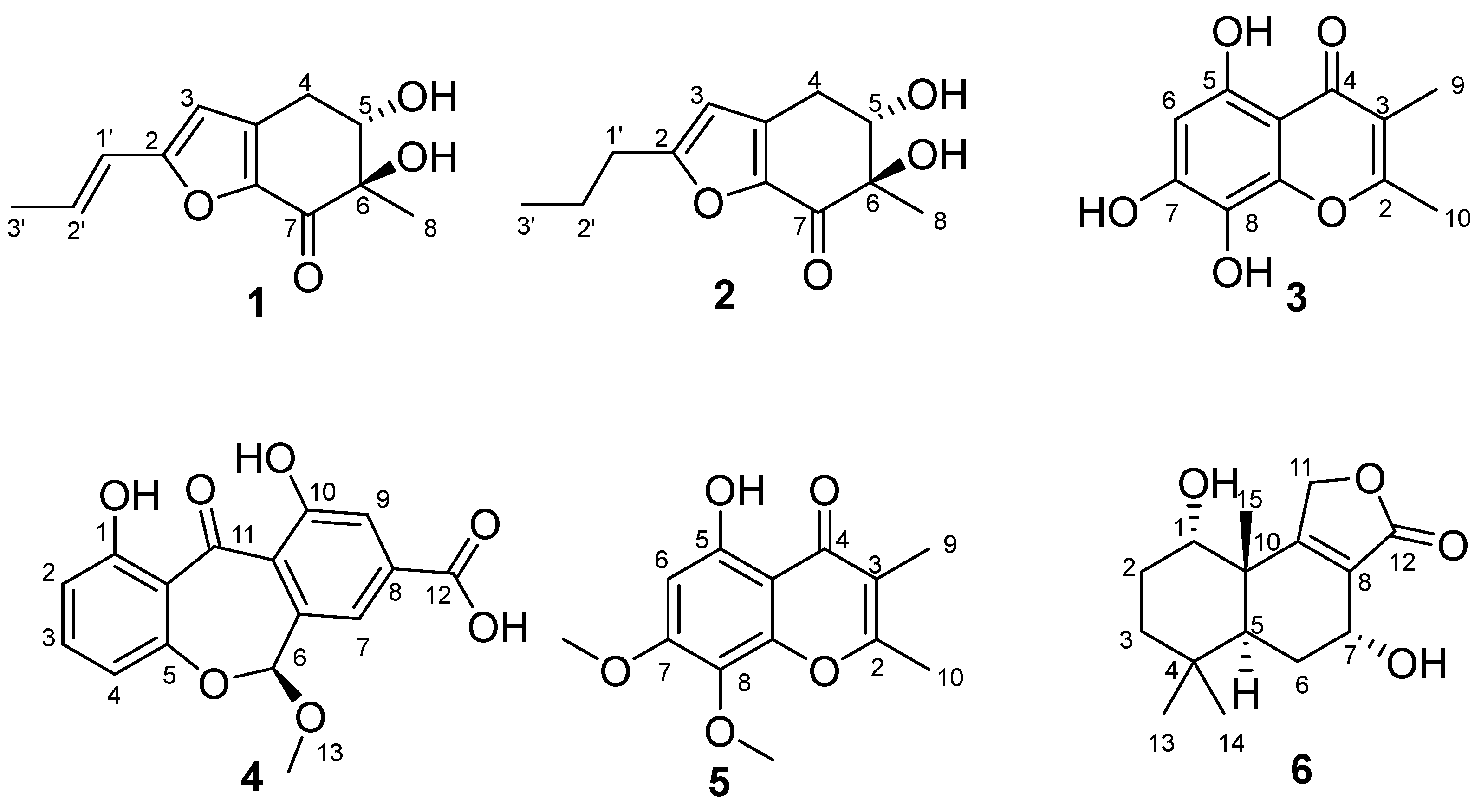
2. Results
3. Materials and Methods
3.1. General Experimental Procedures
3.2. Fungi Material and Fermentation
3.3. OSMAC Study, Fermentation, and Extraction
3.4. Isolation and Purification of Compounds
3.5. Computation Section
3.6. Assay of DPPH Activity
4. Conclusions
Supplementary Materials
Author Contributions
Funding
Institutional Review Board Statement
Informed Consent Statement
Data Availability Statement
Conflicts of Interest
References
- Phaniendra, A.; Jestadi, D.B.; Periyasamy, L. Free Radicals: Properties, Sources, Targets, and Their Implication in Various Diseases. India J. Clin. Biochem. 2015, 30, 11–26. [Google Scholar] [CrossRef] [PubMed]
- Ponist, S.; Zloh, M.; Bauerova, K.; Ponist, S.; Zloh, M.; Bauerova, K. Impact of Oxidative Stress on Inflammation in Rheumatoid and Adjuvant Arthritis: Damage to Lipids, Proteins, and Enzymatic Antioxidant Defense in Plasma and Different Tissues. Anim. Models Exp. Med. 2019, 8, 261. [Google Scholar] [CrossRef]
- Lobo, V.; Patil, A.; Phatak, A.; Chandra, N. Free Radicals, Antioxidants and Functional Foods: Impact on Human Health. Pharmacogn. Rev. 2010, 4, 118–126. [Google Scholar] [CrossRef] [PubMed]
- Stephenson, E.; Nathoo, N.; Mahjoub, Y.; Dunn, J.F.; Yong, V.W. Iron in Multiple Sclerosis: Roles in Neurodegeneration and Repair. Nat. Rev. Neurol. 2014, 10, 459–468. [Google Scholar] [CrossRef] [PubMed]
- Conti, V.; Izzo, V.; Corbi, G.; Russomanno, G.; Manzo, V.; De Lise, F.; Di Donato, A.; Filippelli, A. Antioxidant Supplementation in the Treatment of Aging-Associated Diseases. Front. Pharmacol. 2016, 7, 24. [Google Scholar] [CrossRef] [PubMed]
- Chaudhary, P.; Janmeda, P.; Docea, A.O.; Yeskaliyeva, B.; Abdull Razis, A.F.; Modu, B.; Calina, D.; Sharifi-Rad, J. Oxidative Stress, Free Radicals and Antioxidants: Potential Crosstalk in the Pathophysiology of Human Diseases. Front. Chem. 2023, 11, 1158198. [Google Scholar] [CrossRef] [PubMed]
- Valavanidis, A.; Vlachogianni, T.; Fiotakis, K.; Loridas, S. Pulmonary Oxidative Stress, Inflammation and Cancer: Respirable Particulate Matter, Fibrous Dusts and Ozone as Major Causes of Lung Carcinogenesis through Reactive Oxygen Species Mechanisms. Int. J. Environ. Res. Public Health 2013, 10, 3886–3907. [Google Scholar] [CrossRef] [PubMed]
- Kim, S.-J.; Cheresh, P.; Jablonski, R.P.; Williams, D.B.; Kamp, D.W. The Role of Mitochondrial DNA in Mediating Alveolar Epithelial Cell Apoptosis and Pulmonary Fibrosis. Int. J. Mol. Sci. 2015, 16, 21486–21519. [Google Scholar] [CrossRef] [PubMed]
- Coughlin, S.S. Oxidative Stress, Antioxidants, Physical Activity, and the Prevention of Breast Cancer Initiation and Progression. J. Environ. Health Sci. 2018, 4, 55–57. [Google Scholar] [CrossRef] [PubMed]
- Rahaman, M.M.; Hossain, R.; Herrera-Bravo, J.; Islam, M.T.; Atolani, O.; Adeyemi, O.S.; Owolodun, O.A.; Kambizi, L.; Daştan, S.D.; Calina, D.; et al. Natural Antioxidants from Some Fruits, Seeds, Foods, Natural Products, and Associated Health Benefits: An Update. Food Sci. Nutr. 2023, 11, 1657–1670. [Google Scholar] [CrossRef] [PubMed]
- Reiter, R.J.; Tan, D.X.; Rosales-Corral, S.; Galano, A.; Zhou, X.J.; Xu, B. Mitochondria: Central Organelles for Melatonin’s Antioxidant and Anti-Aging Actions. Molecules 2018, 23, 509. [Google Scholar] [CrossRef] [PubMed]
- Sun, C.; Jiang, Y.; Li, C.; Sun, S.; Lin, J.; Wang, W.; Zhou, L.; Li, L.; Shah, M.; Che, Q.; et al. Discovery, Total Synthesis, and Anti-inflammatory Evaluation of Naturally Occurring Naphthopyrone-Macrolide Hybrids as Potent NLRP3 Inflammasome Inhibitors. Angew. Chem. Int. Ed. 2024, 4, e202405860. [Google Scholar] [CrossRef]
- Zhang, K.; Liu, J.; Jiang, Y.; Sun, S.; Wang, R.; Sun, J.; Ma, C.; Chen, Y.; Wang, W.; Hou, X.; et al. Sorbremnoids A and B: NLRP3 Inflammasome Inhibitors Discovered from Spatially Restricted Crosstalk of Biosynthetic Pathways. J. Am. Chem. Soc. 2024, 146, 18172–18183. [Google Scholar] [CrossRef] [PubMed]
- Wu, J.; Wang, W.; Yang, Y.; Shah, M.; Peng, J.; Zhou, L.; Zhang, G.; Che, Q.; Li, J.; Zhu, T.; et al. Phenylhydrazone Alkaloids from the Deep-Sea Cold Seep Derived Fungus Talaromyces Amestolkiae HDN21-0307. J. Nat. Prod. 2024, 87, 1407–1415. [Google Scholar] [CrossRef] [PubMed]
- Liu, Y.; Chen, S.; Liu, Z.; Lu, Y.; Xia, G.; Liu, H.; He, L.; She, Z. Bioactive Metabolites from Mangrove Endophytic Fungus Aspergillus sp. 16-5B. Mar. Drugs 2015, 13, 3091–3102. [Google Scholar] [CrossRef]
- Song, Q.; Yang, S.-Q.; Li, X.-M.; Hu, X.-Y.; Li, X.; Wang, B.-G. Aromatic Polyketides from the Deep-Sea Cold-Seep Mussel Associated Endozoic Fungus Talaromyces Minioluteus CS-138. Mar. Drugs 2022, 20, 529. [Google Scholar] [CrossRef] [PubMed]
- Sun, T.; Kuang, R.; Chen, G.; Qin, S.; Wang, C.; Hu, D.; Wu, B.; Liu, X.; Yao, X.; Gao, H. Three Pairs of New Isopentenyl Dibenzo [b,e] Oxepinone Enantiomers from Talaromyces Flavus, a Wetland Soil-Derived Fungus. Molecules 2016, 21, 1184. [Google Scholar] [CrossRef] [PubMed]
- Hida, T.; Ishii, T.; Kanamaru, T.; Muroi, M. TAN-931, A Novel Nonsteroidal Aromatase Inhibitor produced by Penicillium Funiculosum No. 8974. J. Antibiot. 1991, 44, 601–612. [Google Scholar] [CrossRef][Green Version]
- Chang, D.; Zuo, W.; Mei, W.; Dai, H. Metabolites from endophytic fungus A12 of Dracaena cambodiana. J. Asian Nat. Prod. Res. 2012, 14, 577–580. [Google Scholar] [CrossRef] [PubMed]
- Spartan’14; Wavefunction Inc.: Irvine, CA, USA, 2013.
- Bruhn, T.; Hemberger, Y.; Schaumlöffel, A.; Bringmann, G. SpecDis, Version 1.53; University of Wuerzburg: Wuerzburg, Germany, 2011. [Google Scholar]
- Frisch, M.J.; Trucks, G.W.; Schlegel, H.B.; Scuseria, G.E.; Robb, M.A.; Cheeseman, J.R.; Scalmani, G.; Barone, V.; Mennucci, B.; Petersson, G.A.; et al. Gaussian 09, Revision A.1; Gaussian, Inc.: Wallingford, CT, USA, 2009. [Google Scholar]
- Sharma, O.P.; Bhat, T.K. DPPH antioxidant assay revisited. Food Chem. 2009, 113, 1202–1205. [Google Scholar] [CrossRef]





| No. | 1 | 2 | ||
|---|---|---|---|---|
| δH, (J in Hz) | δC, Type | δH, (J in Hz) | δC, Type | |
| 2 | 161.4, C | 163.3, C | ||
| 3 | 6.35, s | 109.0, CH | 6.28, s | 108.4, CH |
| 3a | 140.4, C | 137.4, C | ||
| 4 | 4a: 3.07, dd (16.9, 5.2), 4b: 2.66, dd (16.9, 9.2) | 29.6, CH2 | 4a: 2.97, dd (16.9, 4.5) 4b: 2.52, m | 28.4, CH2 |
| 5 | 4.01, dd (9.2, 5.2) | 75.2, CH | 3.85, dt (7.3, 4.5) | 73.8, CH |
| 6 | 79.2, C | 76.9, C | ||
| 7 | 188.7, C | 186.2, C | ||
| 7a | 145.5, C | 144.4, C | ||
| 8 | 1.31, s | 18.4, CH3 | 1.18, s | 18.7, CH3 |
| 1′ | 6.36, dd (15.8, 1.7) | 120.3, CH | 2.64, t (7.5) | 29.6, CH2 |
| 2′ | 6.58, dd (15.8, 6.8) | 133.6, CH | 1.63, m | 20.5, CH2 |
| 3′ | 1.91, dd (6.9, 1.7) | 18.7, CH3 | 0.91, t (7.4) | 13.6, CH3 |
| DP4+ | 1 | 2 | ||
|---|---|---|---|---|
| 1a | 1b | 2a | 2b | |
| 1H | 100.00% | 0.00% | 100.00% | 0.00% |
| 13C | 100.00% | 0.00% | 100.00% | 0.00% |
| 1H + 13C | 100.00% | 0.00% | 100.00% | 0.00% |
| No. | 3 | 5 | ||
|---|---|---|---|---|
| δH, (J in Hz) | δC, Type | δH, (J in Hz) | δC, Type | |
| 2 | 164.6, C | 165.0, C | ||
| 3 | 115.2, C | 115.7, C | ||
| 4 | 183.5, C | 183.5, C | ||
| 4a | 104.2, C | 104.8, C | ||
| 5 | 154.9, C | 159.6, C | ||
| 6 | 6.23, s | 99.2, CH | 6.47, s | 96.3, CH |
| 7 | 153.7, C | 158.5, C | ||
| 8 | 125.7, C | 129.6, C | ||
| 8a | 146.7, C | 150.7, C | ||
| 9 | 1.98, d (0.8) | 9.2, CH3 | 1.99, s | 9.1, CH3 |
| 10 | 2.44, d (0.8) | 18.4, CH3 | 2.45, s | 18.5, CH3 |
| 11 | 3.91, s | 61.8, CH3 | ||
| 12 | 3.81, s | 56.9, CH3 | ||
| No. | 4 | |
|---|---|---|
| δH, (J in Hz) | δC, Type | |
| 1 | 161.2, C | |
| 2 | 6.67, dd (8.2, 1.1) | 110.5, CH |
| 3 | 7.50, t (8.2) | 137.9, CH |
| 4 | 6.62, dd (8.2, 1.1) | 109.9, CH |
| 5 | 154.9, C | |
| 6 | 6.19, s | 102.3, CH |
| 7a | 136.9, C | |
| 7 | 7.60, d (1.5) | 115.3, CH |
| 8 | 134.8, C | |
| 9 | 7.56, d (1.6) | 118.7, CH |
| 10 | 156.9, C | |
| 10a | 126.1, C | |
| 11 | 194.7, C | |
| 11a | 113.5, C | |
| 12 | 166.2, C | |
| 13 | 3.45, s | 56.6, CH3 |
| Compd. | 1 | 2 | 3 | 4 | 5 | 6 | Vitamin C |
|---|---|---|---|---|---|---|---|
| IC50 (µM) | >200 | >200 | 6.79 | 56.92 | >200 | 32.11 | 12.15 |
Disclaimer/Publisher’s Note: The statements, opinions and data contained in all publications are solely those of the individual author(s) and contributor(s) and not of MDPI and/or the editor(s). MDPI and/or the editor(s) disclaim responsibility for any injury to people or property resulting from any ideas, methods, instructions or products referred to in the content. |
© 2024 by the authors. Licensee MDPI, Basel, Switzerland. This article is an open access article distributed under the terms and conditions of the Creative Commons Attribution (CC BY) license (https://creativecommons.org/licenses/by/4.0/).
Share and Cite
Liu, F.; Wang, W.; Wang, F.; Zhou, L.; Luo, G.; Zhang, G.; Zhu, T.; Che, Q.; Li, D. Polyketide Derivatives from the Mangrove-Derived Fungus Penicillium sp. HDN15-312. Mar. Drugs 2024, 22, 360. https://doi.org/10.3390/md22080360
Liu F, Wang W, Wang F, Zhou L, Luo G, Zhang G, Zhu T, Che Q, Li D. Polyketide Derivatives from the Mangrove-Derived Fungus Penicillium sp. HDN15-312. Marine Drugs. 2024; 22(8):360. https://doi.org/10.3390/md22080360
Chicago/Turabian StyleLiu, Fuhao, Wenxue Wang, Feifei Wang, Luning Zhou, Guangyuan Luo, Guojian Zhang, Tianjiao Zhu, Qian Che, and Dehai Li. 2024. "Polyketide Derivatives from the Mangrove-Derived Fungus Penicillium sp. HDN15-312" Marine Drugs 22, no. 8: 360. https://doi.org/10.3390/md22080360
APA StyleLiu, F., Wang, W., Wang, F., Zhou, L., Luo, G., Zhang, G., Zhu, T., Che, Q., & Li, D. (2024). Polyketide Derivatives from the Mangrove-Derived Fungus Penicillium sp. HDN15-312. Marine Drugs, 22(8), 360. https://doi.org/10.3390/md22080360

