Chitosan-Based Oleogels: Emulsion Drying Kinetics and Physical, Rheological, and Textural Characteristics of Olive Oil Oleogels
Abstract
1. Introduction
2. Results and Discussion
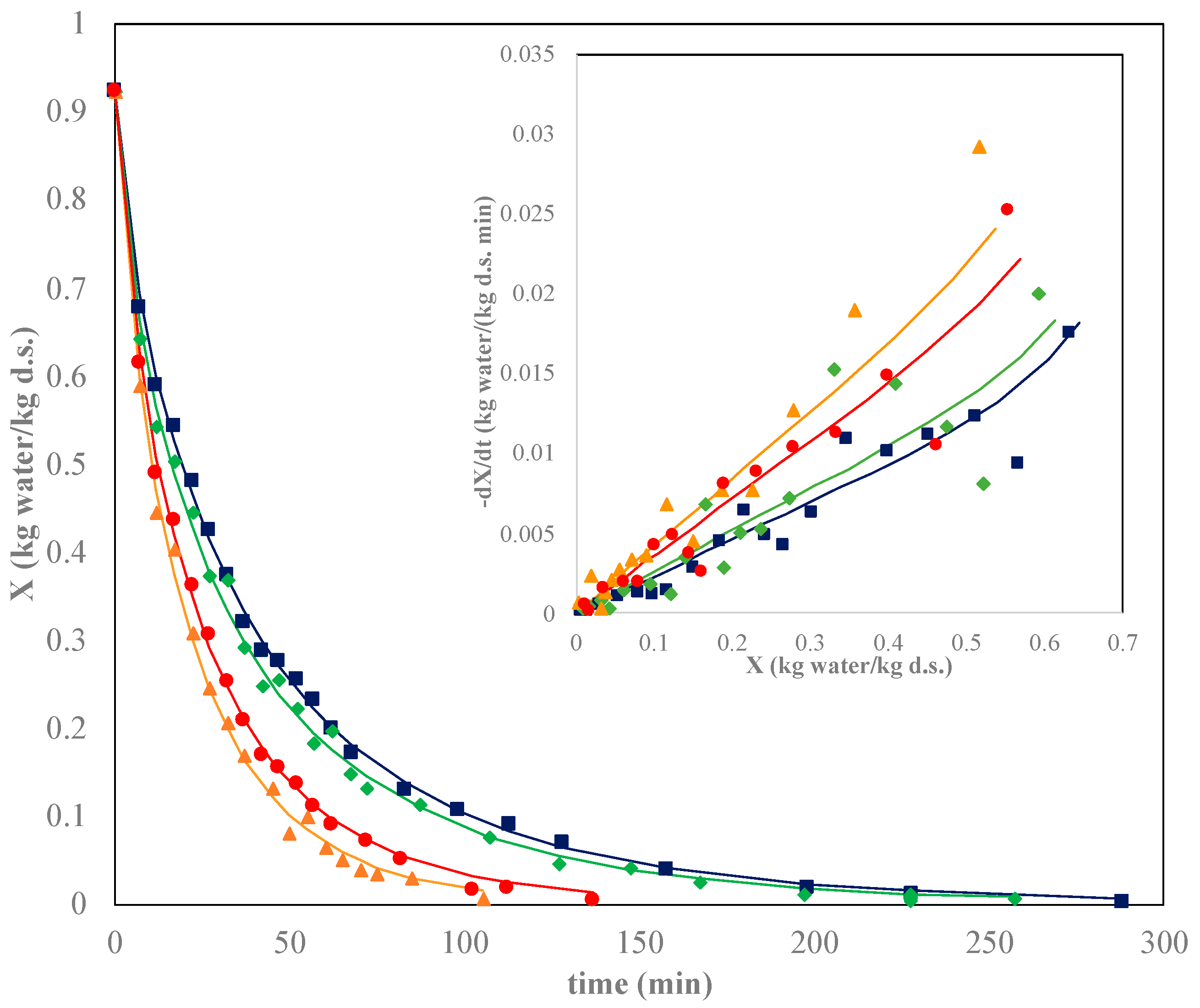
2.1. Drying Kinetics
2.2. Drying Modeling
2.3. Color Features
2.3.1. Color during Drying
2.3.2. Oleogel Color
2.4. Rheological Properties of Oleogels
2.5. Textural Properties of Oleogels
2.6. Oil Binding Capacity
2.7. Oxidative Stability
3. Materials and Methods
3.1. Materials
3.2. Preparation of Emulsions
3.3. Drying of Emulsion
3.3.1. Convective Drying
3.3.2. Freeze-Drying
3.3.3. Air-Drying Modeling
3.4. Rheological Characterization
3.5. Textural Properties
3.6. Oil Binding Capacity
3.7. Oxidation Degree
3.8. Color Features of Emulsion and Oleogel
3.9. Statistical Analysis
4. Conclusions
Supplementary Materials
Author Contributions
Funding
Institutional Review Board Statement
Data Availability Statement
Conflicts of Interest
References
- Vieira, S.A.; McClements, D.J.; Decker, E.A. Challenges of utilizing healthy fats in foods. Adv. Nutr. 2015, 6, 309S–317S. [Google Scholar] [CrossRef] [PubMed]
- Manzoor, S.; Masoodi, F.A.; Naquash, F.; Rashid, R. Oleogels: Promising alternatives to solid fats for food applications. Food Hydrocoll. Health 2022, 2, 100058. [Google Scholar] [CrossRef]
- Patel, A. Functional and engineered colloids from edible materiales for emerging applications in designing the food of the future. Adv. Funct. Mater. 2018, 30, 1806809. [Google Scholar] [CrossRef]
- Tan, T.H.; Chan, E.S.; Manja, M.; Tang, T.K.; Phuah, E.T.; Lee, Y.Y. Production, health implications and applications of oleogels as fat replacer in food system: A review. J. Am. Oil Chem. Soc. 2023, 100, 681–697. [Google Scholar] [CrossRef]
- Giacintucci, V.; Di Mattia, C.D.; Sacchetti, G.; Flamminii, F.; Gravelle, A.J.; Baylis, B.; Dutcher, J.R.; Marangoni, A.G.; Pittia, P. Ethylcellulose oleogels with extra virgin olive oil: The role of oil minor components on microstructure and mechanical strength. Food Hydrocoll. 2018, 84, 508–514. [Google Scholar] [CrossRef]
- Ding, J.; Xu, Z.; Qi, B.; Cui, S.; Wang, T.; Jiang, L.; Zhang, Y.; Sui, X. Fabrication and characterization of soybean oil bodies encapsulated in maltodextrin and chitosan- EGCG conjugates: An in vitro digestibility study. Food Hydrocoll. 2019, 94, 519–527. [Google Scholar] [CrossRef]
- Bascuas, S.; Hernando, I.; Moraga, G.; Quiles, A. Structure and stability of edible oleogels prepared with different unsaturated oils and hydrocolloids. Int. J. Food Sci. Technol. 2020, 55, 1458–1467. [Google Scholar] [CrossRef]
- Farooq, S.; Ahmad, M.I.; Zhang, Y.; Chen, M.; Zhang, H. Preparation, characterization and digestive mechanism of plant-derived oil bodies-based oleogels structured by chitosan and vanillin. Food Hydrocoll. 2023, 136, 108247. [Google Scholar] [CrossRef]
- Miao, W.; McClements, D.J.; Zhang, Z.; Lin, Q.; Ji, H.; Wang, J.; Jin, Z.; Li, G.; Jiang, L.; Wen, J.; et al. Fabrication and characterization of emulsion-template oleogels assembled from octenyl succinic anhydride starch/chitosan electrostatic complexes. Food Hydrocoll. 2024, 151, 109882. [Google Scholar] [CrossRef]
- Espert, M.; Salvador, A.; Sanz, T. Cellulose ether oleogels obtained by emulsion-templated approach without additional thickeners. Food Hydrocoll. 2020, 109, 106085. [Google Scholar] [CrossRef]
- Santos, P.D.F.; Keshanidokht, S.; Kumar, S.; Clausen, M.P.; Via, M.A.; Favaro-Trindade, C.S.; Andersen, M.L.; Risbo, J. A novel low-temperature procedure for oleogelation of heat-sensitive oils: Oleogels based on tucuma oil and ethyl cellulose. LWT-Food Sci. Technol. 2024, 193, 115776. [Google Scholar] [CrossRef]
- Zhu, J.; Liu, L.; Li, X.; Zhang, Q.; Wang, Z.; Chen, N.; Wang, H.; Xie, F.; Qi, B.; Jiang, L. Construction of soybean oil bodies–xanthan gum composite oleogels by emulsion-templated method: Preparation, characterization, and stability analysis. Food Hydrocoll. 2024, 149, 109526. [Google Scholar] [CrossRef]
- Qiu, C.; Huang, Y.; Li, A.; Ma, D.; Wang, Y. Fabrication and characterization of oleogel stabilized by gelatin-polyphenol-polysaccharides nanocomplexes. J. Agric. Food Chem. 2018, 66, 13243–13252. [Google Scholar] [CrossRef] [PubMed]
- Chen, X.-W.; Yang, X.-Q. Characterization of orange oil powders and oleogels fabricated from emulsion templates stabilized solely by a natural triterpene saponin. J. Agric. Food Chem. 2019, 67, 2637–2646. [Google Scholar] [CrossRef] [PubMed]
- Moradabbasi, M.; Goli, S.A.H.; Fayaz, G. Effect of biopolymers concentration and drying methods on physicochemical properties of emulsion-templated oleogel. J. Food Sci. Technol. 2022, 59, 1994–2003. [Google Scholar] [CrossRef] [PubMed]
- Saavedra, M.Y.; Montes, L.; Franco, D.; Franco-Uría, A.; Moreira, R. Drying kinetics modeling of hot air drying of emulsion templated oleogels employing hydroxypropyl methylcellulose as structuring agent. Food Biosci. 2024, 59, 103912. [Google Scholar] [CrossRef]
- Wang, L.; Wen, Y.; Su, C.; Gao, Y.; Li, Q.; Duab, S.; Yu, X. Effect of water content on the physical properties and structure of walnut oleogels. RSC Adv. 2022, 12, 8987. [Google Scholar] [CrossRef] [PubMed]
- Wang, T.; Wang, N.; Dai, Y.; Yu, D.; Cheng, J. Interfacial adsorption properties, rheological properties and oxidation kinetics of oleogel-in-water emulsion stabilized by hemp seed protein. Food Hydrocoll. 2023, 137, 108402. [Google Scholar] [CrossRef]
- López-García, A.; Moraga, G.; Hernando, I.; Quiles, A. Providing stability to high internal phase emulsion gels using brewery industry by-products as stabilizers. Gels 2021, 7, 245. [Google Scholar] [CrossRef]
- Ali, G.; Sharma, M.; Salama, E.S.; Ling, Z.; Li, X. Applications of chitin and chitosan as natural biopolymer: Potential sources, pretreatments, and degradation pathways. Biomass Convers. Biorefinery 2024, 14, 4567–4581. [Google Scholar] [CrossRef]
- Vázquez, J.A.; Rodríguez-Amado, I.; Montemayor, M.I.; Fraguas, J.; González, M.P.; Murado, M.A. Chondroitin Sulfate, Hyaluronic Acid and Chitin/Chitosan Production Using Marine Waste Sources: Characteristics, Applications and Eco-Friendly Processes: A Review. Mar. Drugs 2013, 11, 747–774. [Google Scholar] [CrossRef]
- Vázquez, J.A.; Ramos, P.; Valcarcel, J.; Antelo, L.T.; Novoa-Carballal, R.; Reis, R.L.; Pérez-Martín, R.I. An integral and sustainable valorisation strategy of squid pen byproducts. J. Clean. Prod. 2018, 201, 207–218. [Google Scholar] [CrossRef]
- Vieira, H.; Lestre, G.M.; Solstad, R.G.; Cabral, A.E.; Botelho, A.; Helbig, C.; Coppola, D.; de Pascale, D.; Robbens, J.; Raes, K.; et al. Current and expected trends for the marine chitin/chitosan and collagen value chains. Mar. Drugs 2023, 21, 605. [Google Scholar] [CrossRef]
- Brito, G.; Di Sarli Peixoto, V.; Martins, M.; Rosário, D.; Ract, J.; Conte-Júnior, C.; Torres, A. Development of chitosan-based oleogels via crosslinking with vanillin using an emulsion templated approach: Structural characterization and their application as fat-replacer. Food Struct. 2022, 32, 100264. [Google Scholar] [CrossRef]
- Tomadoni, B.; Ponce, A.; Pereda, M.; Ansorena, M.R. Vanillin as a natural cross-linking agent in chitosan-based films: Optimizing formulation by response surface methodology. Polym. Test. 2019, 78, 105935. [Google Scholar] [CrossRef]
- Xu, C.; Zhan, W.; Tang, X.; Mo, F.; Fu, L.; Lin, B. Self-healing chitosan/vanillin hydrogels based on Schiff-base bond/hydrogen bond hybrid linkages. Polym. Test. 2018, 66, 155–163. [Google Scholar] [CrossRef]
- Cui, H.; Tang, C.; Wu, S.; McClements, D.J.; Liu, S.; Li, B.; Li, Y. Fabrication of chitosan-cinnamaldehyde-glycerol monolaurate bigels with dual gelling effects and application as cream analogs. Food Chem. 2022, 384, 132589. [Google Scholar] [CrossRef]
- European Commission. Olive Oil. An Overview of the Production and Marketing of Olive Oil in the EU. Agriculture and Rural Development. 2024. Available online: https://agriculture.ec.europa.eu/farming/crop-productions-and-plant-based-products/olive-oil_en (accessed on 17 March 2024).
- Rurush, E.; Alvarado, M.; Palacios, P.; Flores, Y.; Rojas, M.L.; Miano, A.C. Drying kinetics of blueberry pulp and mass transfer parameters: Effect of hot air and refractance window drying at different temperatures. J. Food Eng. 2022, 320, 110929. [Google Scholar] [CrossRef]
- Razola-Díaz, M.C.; Guerra-Hernández, E.J.; Gómez-Caravaca, A.M.; García-Villanova, B.; Verardo, V. Mathematical modelling of drying kinetics of avocado peels and its influence on flavan-3-ols content and antioxidant activity. LWT-Food Sci. Technol. 2023, 176, 114552. [Google Scholar] [CrossRef]
- Doymaz, I. The kinetics of forced convective air-drying of pumpkin slices. J. Food Eng. 2007, 79, 243–248. [Google Scholar] [CrossRef]
- Simpson, R.; Ramírez, C.; Nuñez, H.; Jaques, A.; Almonacid, S. Understanding the success of Page’s model and related empirical equations in fitting experimental data of diffusion phenomena in food matrices. Trends Food Sci. Technol. 2017, 62, 194–201. [Google Scholar] [CrossRef]
- Bas-Bellver, C.; Barrera, C.; Betoret, N.; Seguí, L. Impact of fermentation pretreatment on drying behaviour and antioxidant attributes of broccoli waste powdered ingredients. Foods 2023, 12, 3526. [Google Scholar] [CrossRef] [PubMed]
- Nudar, J.; Roy, M.; Ahmed, S. Combined osmotic pretreatment and hot air drying: Evaluation of drying kinetics and quality parameters of adajamir (Citrus assamensis). Heliyon 2023, 9, e19545. [Google Scholar] [CrossRef] [PubMed]
- Korese, J.K.; Achaglinkame, M. Convective drying of Gardenia erubescens fruits: Effect of pretreatment, slice thickness and drying air temperature on drying kinetics and product quality. Heliyon 2024, 10, e25968. [Google Scholar] [CrossRef] [PubMed]
- Crank, J. The Mathematics of Difussion, 2nd ed; Oxford University Press: Oxford, UK, 1975. [Google Scholar]
- Lee, C.W.; Oh, H.J.; Han, S.H.; Lim, S.B. Effects of hot air and freeze drying methods on physicochemical properties of citrus ‘hallabong’ powders. Food Sci. Biotechnol. 2012, 21, 1633–1639. [Google Scholar] [CrossRef]
- Izli, N.; Izli, G.; Taskin, O. Influence of different drying techniques on drying parameters of mango. Food Sci. Technol. 2017, 37, 604–612. [Google Scholar] [CrossRef]
- Torres, M.D.; Chenlo, F.; Moreira, R. Viscoelastic and textural characteristics of gels obtained from potato starch roasted under several temperatures-time conditions. Int. J. Polym. Sci. 2018, 2018, 7606359. [Google Scholar] [CrossRef]
- Jia, Y.; Khalifa, I.; Hu, L.; Zhu, W.; Li, J.; Li, K.; Li, C. Influence of three different drying techniques on persimmon chips’ characteristics: A comparison study among hot-air, combined hot-air microwave and vacuum-freeze drying techniques. Food Bioprod. Process. 2019, 118, 67–76. [Google Scholar] [CrossRef]
- Espert, M.; Wang, Q.; Sanz, T.; Salvador, A. Sunflower oil-based oleogel as fat replacer in croissants: Textural and sensory characterisation. Food Bioprocess Technol. 2023, 16, 1943–1952. [Google Scholar] [CrossRef]
- Xu, Y.; Sun, H.; Lv, J.; Wang, Y.; Zhang, Y.; Wang, F. Effects of polysaccharide thickening agent on the preparation of walnut oil oleogels based on methylcellulose: Characterization and delivery of curcumin. Int. J. Biol. Macromol. 2023, 232, 123291. [Google Scholar] [CrossRef]
- Abdolmaleki, K.; Alizadeh, L.; Nayebzadeh, K.; Hosseini, S.M.; Shahin, R. Oleogel production based on binary and ternary mixtures of sodium caseinate, xanthan gum, and guar gum: Optimization of hydrocolloids concentration and drying method. J. Texture Stud. 2020, 51, 290–299. [Google Scholar] [CrossRef] [PubMed]
- Grosso, A.L.; Morozova, K.; Ferrentino, G.; Biasioli, F.; Scampicchio, M. Early detection of acrolein precursors in vegetable oils by using proton transfer reaction—Mass spectrometry. Talanta 2024, 270, 125513. [Google Scholar] [CrossRef] [PubMed]
- Anwar, S.H.; Kunz, B. The influence of drying methods on the stabilization of fish oil microcapsules: Comparison of spray granulation, spray drying, and freeze drying. J. Food Eng. 2011, 105, 367–378. [Google Scholar] [CrossRef]
- Butler, C.H.; Whitmore, P.M. Measurement of peroxides in the volatile degradation products of polypropylene photooxidation. Polym. Degrad. Stab. 2013, 98, 471–473. [Google Scholar] [CrossRef]
- Zhu, J.; Tian, D.; Chen, X.; Huang, T.; Chen, X. Preparation of Chitosan-phenolic Aldehyde Fragrance Oleogels and Comparative Study of their Structure and Properties. Food Bioprocess Technol. 2024, 1–21. [Google Scholar] [CrossRef]
- Sahoo, M.; Titikshya, S.; Aradwad, P.; Kumar, V.; Naik, S.N. Study of the drying behaviour and color kinetics of convective drying of yam (Dioscorea hispida) slices. Ind. Crops Prod. 2022, 176, 114258. [Google Scholar] [CrossRef]
- Callau, M.; Sow-Kébé, K.; Nicolas-Morgantini, L.; Fameau, A.L. Effect of the ratio between behenyl alcohol and behenic acid on the oleogel properties. J. Colloid Interface Sci. 2020, 560, 874–884. [Google Scholar] [CrossRef]
- AOCS, Cd 8b-90; Peroxide Value, Acetic Acid, Isooctane Method. American Oil Chemist’s Society: Urbana, IL, USA, 2017.
- ISO, 3656:2011; Animal and Vegetable Fats and Oils. Determination of Ultraviolet Absorbance Expressed as Specific UV Extinction. ISO: Geneva, Switzerland, 2011.






| Chitosan Concentration (% w/w) | Drying Temperature (°C) | Model: Newton | R2 | φ | SSE | |
|---|---|---|---|---|---|---|
| k (1/min) | ||||||
| 0.7 | 50 | 0.0293 d | 0.993 | 144.89 | 0.00095 | |
| 60 | 0.0342 c | 0.990 | 129.03 | 0.00123 | ||
| 70 | 0.0566 a | 0.996 | 218.95 | 0.00037 | ||
| 80 | 0.0549 b | 0.995 | 295.21 | 0.00037 | ||
| 0.8 | 50 | 0.0272 D | 0.990 | 90.408 | 0.00150 | |
| 60 | 0.0304 C | 0.986 | 58.122 | 0.00160 | ||
| 70 | 0.0494 A | 0.992 | 201.98 | 0.00081 | ||
| 80 | 0.0418 B | 0.992 | 171.62 | 0.00098 | ||
| Chitosan Concentration (% w/w) | Drying Temperature (°C) | Model: Henderson–Pabis | R2 | φ | SSE | |
| k (1/min) | a (-) | |||||
| 0.7 | 50 | 0.0271 d | 0.933 b | 0.992 | 186.52 | 0.00054 |
| 60 | 0.0315 c | 0.927 c | 0.989 | 238.92 | 0.00079 | |
| 70 | 0.0554 a | 0.979 a | 0.996 | 255.73 | 0.00029 | |
| 80 | 0.0537 b | 0.976 a | 0.996 | 307.76 | 0.00032 | |
| 0.8 | 50 | 0.0243 D | 0.913 B | 0.989 | 155.58 | 0.00084 |
| 60 | 0.0267 C | 0.898 C | 0.985 | 96.414 | 0.00094 | |
| 70 | 0.0468 A | 0.950 A | 0.991 | 304.93 | 0.00062 | |
| 80 | 0.0391 B | 0.938 A | 0.991 | 269.77 | 0.00074 | |
| Chitosan Concentration (% w/w) | Drying Temperature (°C) | Model: Page | R2 | φ | SSE | |
| k (1/minn) | n (-) | |||||
| 0.7 | 50 | 0.0557 c | 0.824 c | 0.998 | 200.14 | 0.00012 |
| 60 | 0.0717 b | 0.791 d | 0.998 | 348.08 | 0.00012 | |
| 70 | 0.0745 a | 0.910 a | 0.998 | 272.14 | 0.00018 | |
| 80 | 0.0746 a | 0.903 b | 0.998 | 279.01 | 0.00017 | |
| 0.8 | 50 | 0.0637 C | 0.768 C | 0.998 | 780.87 | 0.00009 |
| 60 | 0.0776 B | 0.741 D | 0.997 | 232.56 | 0.00019 | |
| 70 | 0.0857 A | 0.831 A | 0.997 | 433.27 | 0.00019 | |
| 80 | 0.0793 A | 0.811 B | 0.998 | 440.80 | 0.00011 | |
| Chitosan Concentration (% w/w) | Drying Temperature (°C) | 10−10 (m2/s) | R2 | φ | SSE |
|---|---|---|---|---|---|
| 0.7 | 50 | 0.81 c | 0.989 | 1438.48 | 0.00032 |
| 60 | 0.95 b | 0.995 | 1389.85 | 0.00058 | |
| 70 | 1.58 a | 0.995 | 5579.02 | 0.00015 | |
| 80 | 1.53 a | 0.995 | 2727.10 | 0.00032 | |
| 0.8 | 50 | 0.75 D | 0.987 | 1010.44 | 0.00059 |
| 60 | 0.84 C | 0.992 | 993.935 | 0.00079 | |
| 70 | 1.36 A | 0.993 | 1906.65 | 0.00049 | |
| 80 | 1.15 B | 0.997 | 2012.56 | 0.00041 |
| Sample | Oleogel | Dried Solid | |||||
|---|---|---|---|---|---|---|---|
| C (% w/w) | T (°C) | L* | a* | b* | L* | a* | b* |
| 0.7 | 50 | 19.60 ± 0.52 b | 2.25 ± 0.05 a | 12.35 ± 0.98 b | 51.56 ± 1.08 b | −2.38 ± 0.28 b | 21.19 ± 1.05 b |
| 60 | 19.04 ± 3.20 b | 1.24 ± 0.83 a | 13.26 ± 0.47 b | 50.85 ± 1.59 b | −1.81 ± 0.17 b | 20.33 ± 0.64 b | |
| 70 | 22.35 ± 0.81 b | 1.86 ± 0.01 a | 14.57 ± 0.42 b | 49.03 ± 0.43 b | −0.23 ± 0.42 a | 23.07 ± 0.54 b | |
| 80 | 24.18 ± 1.58 ab | 0.98 ± 0.02 a | 15.12 ± 1.41 b | 52.25 ± 1.91 b | −1.69 ± 0.13 b | 22.14 ± 0.77 b | |
| FD | 29.94 ± 0.39 a | −1.84 ± 0.25 b | 19.40 ± 0.90 a | 58.34 ± 0.29 a | −5.62 ± 0.12 c | 28.77 ± 0.66 a | |
| 0.8 | 50 | 29.43 ± 1.00 A | −0.33 ± 0.15 D | 16.97 ± 0.53 AB | 49.27 ± 0.21 B | −1.99 ± 0.47 A | 18.43 ± 0.17 B |
| 60 | 24.72 ± 0.59 B | 0.42 ± 0.14 C | 15.24 ± 0.49 B | 49.27 ± 0.28 B | −1.44 ± 0.59 A | 20.60 ± 0.89 AB | |
| 70 | 23.08 ± 1.48 B | 2.16 ± 0.04 A | 14.81 ± 1.06 B | 52.52 ± 2.91 AB | −0.92 ± 0.87 A | 22.79 ± 2.15 A | |
| 80 | 25.87 ± 0.07 B | 1.05 ± 0.09 B | 17.21 ± 0.46 AB | 51.01 ± 2.07 AB | −1.04 ± 0.11 A | 22.53 ± 0.06 A | |
| FD | 29.51 ± 0.25 A | −1.92 ± 0.06 E | 18.85 ± 0.43 A | 56.02 ± 0.72 A | −4.37 ± 0.06 B | 24.51 ± 0.25 A | |
| Chitosan Concentration (% w/w) | Drying Temperature (°C) | G′ at 1 Hz (Pa) |
|---|---|---|
| 0.7 | 50 | 36,750 ± 3100 b |
| 60 | 80,800 ± 4200 a | |
| 70 | 72,500 ± 500 a | |
| 80 | 43,100 ± 800 b | |
| FD | 27,360 ± 1500 c | |
| 0.8 | 50 | 52,500 ±1800 B |
| 60 | 59,900 ± 1300 A | |
| 70 | 54,700 ± 1400 B | |
| 80 | 44,000 ± 1700 C | |
| FD | 45,700 ± 3200 BC |
| Chitosan Concentration (% w/w) | Drying Temperature (°C) | OBC (%) |
|---|---|---|
| 0.7 | 50 | 94.35 ± 2.90 a |
| 60 | 97.39 ± 1.44 a | |
| 70 | 98.90 ± 0.56 a | |
| 80 | 93.59 ± 2.34 a | |
| FD | 91.79 ± 1.56 a | |
| 0.8 | 50 | 96.97 ± 1.91 AB |
| 60 | 98.13 ± 0.55 A | |
| 70 | 98.80 ± 0.06 A | |
| 80 | 94.50 ± 0.69 AB | |
| FD | 93.03 ± 1.78 B |
Disclaimer/Publisher’s Note: The statements, opinions and data contained in all publications are solely those of the individual author(s) and contributor(s) and not of MDPI and/or the editor(s). MDPI and/or the editor(s) disclaim responsibility for any injury to people or property resulting from any ideas, methods, instructions or products referred to in the content. |
© 2024 by the authors. Licensee MDPI, Basel, Switzerland. This article is an open access article distributed under the terms and conditions of the Creative Commons Attribution (CC BY) license (https://creativecommons.org/licenses/by/4.0/).
Share and Cite
Lama, M.; Montes, L.; Franco, D.; Franco-Uría, A.; Moreira, R. Chitosan-Based Oleogels: Emulsion Drying Kinetics and Physical, Rheological, and Textural Characteristics of Olive Oil Oleogels. Mar. Drugs 2024, 22, 318. https://doi.org/10.3390/md22070318
Lama M, Montes L, Franco D, Franco-Uría A, Moreira R. Chitosan-Based Oleogels: Emulsion Drying Kinetics and Physical, Rheological, and Textural Characteristics of Olive Oil Oleogels. Marine Drugs. 2024; 22(7):318. https://doi.org/10.3390/md22070318
Chicago/Turabian StyleLama, Mario, Leticia Montes, Daniel Franco, Amaya Franco-Uría, and Ramón Moreira. 2024. "Chitosan-Based Oleogels: Emulsion Drying Kinetics and Physical, Rheological, and Textural Characteristics of Olive Oil Oleogels" Marine Drugs 22, no. 7: 318. https://doi.org/10.3390/md22070318
APA StyleLama, M., Montes, L., Franco, D., Franco-Uría, A., & Moreira, R. (2024). Chitosan-Based Oleogels: Emulsion Drying Kinetics and Physical, Rheological, and Textural Characteristics of Olive Oil Oleogels. Marine Drugs, 22(7), 318. https://doi.org/10.3390/md22070318

