Spongia Sponges: Unabated Sources of Novel Secondary Metabolites
Abstract
1. Introduction
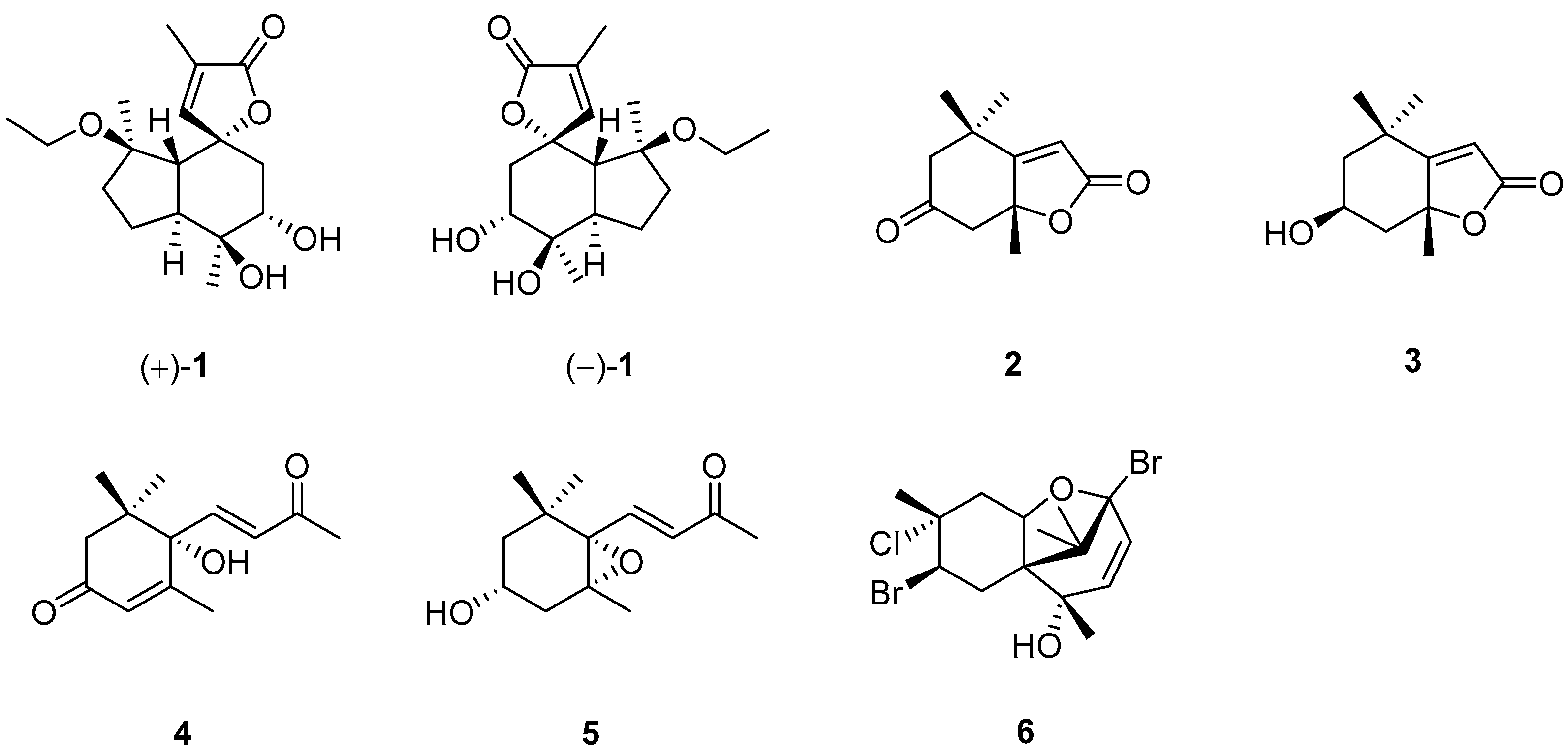
2. Sesquiterpenes
3. Diterpenes
4. Sesterterpenes
5. Meroterpenes
6. Linear Furanoterpenoids
7. Steroids
8. Alkaloids
9. Other Miscellaneous Substances
10. Discussion
11. Conclusions
Supplementary Materials
Author Contributions
Funding
Data Availability Statement
Conflicts of Interest
References
- Carroll, A.R.; Copp, B.R.; Grkovic, T.; Keyzers, R.A.; Prinsep, M.R. Marine natural products. Nat. Prod. Rep. 2024, 41, 162–207. [Google Scholar] [CrossRef]
- Banerjee, P.; Mandhare, A.; Bagalkote, V. Marine natural products as source of new drugs: An updated patent review (July 2018–2021). Expert. Opin. Ther. Pat. 2022, 32, 317–363. [Google Scholar] [CrossRef]
- Haque, N.; Parveen, S.; Tang, T.; Wei, J.; Huang, Z. Marine natural products in clinical use. Mar. Drugs 2022, 20, 528. [Google Scholar] [CrossRef]
- Ren, X.; Xie, X.; Chen, B.; Liu, L.; Jiang, C.; Qian, Q. Marine natural products: A potential source of anti-hepatocellular carcinoma drugs. J. Med. Chem. 2021, 64, 7879–7899. [Google Scholar] [CrossRef]
- Khalifa, S.A.M.; Elias, N.; Farag, M.A.; Chen, L.; Saeed, A.; Hegazy, M.-E.F.; Moustafa, M.S.; Abd El-Wahed, A.; Al-Mousawi, S.M.; Musharraf, S.G.; et al. Marine natural products: A source of novel anticancer drugs. Mar. Drugs 2019, 17, 491. [Google Scholar] [CrossRef]
- Hai, Y.; Cai, Z.-M.; Li, P.-J.; Wei, M.-Y.; Wang, C.-Y.; Gu, Y.-C.; Shao, C.-L. Trends of antimalarial marine natural products: Progresses, challenges and opportunities. Nat. Prod. Rep. 2022, 39, 969–990. [Google Scholar] [CrossRef]
- Hu, C. Marine natural products and human immunity: Novel biomedical resources for anti-infection of SARS-CoV-2 and related cardiovascular disease. Nat. Prod. Bioprospect. 2024, 14, 12. [Google Scholar] [CrossRef]
- Fonseca, S.; Amaral, M.N.; Reis, C.P.; Custódio, L. Marine natural products as innovative cosmetic ingredients. Mar. Drugs 2023, 21, 170. [Google Scholar] [CrossRef]
- Song, C.; Yang, J.; Zhang, M.; Ding, G.; Jia, C.; Qin, J.; Guo, L. Marine natural products: The important resource of biological insecticide. Chem. Biodivers. 2021, 18, e2001020. [Google Scholar] [CrossRef]
- Liu, L.-L.; Wu, C.-H.; Qian, P.-Y. Marine natural products as antifouling molecules—A mini-review (2014–2020). Biofouling 2020, 36, 1210–1226. [Google Scholar] [CrossRef]
- Abdelaleem, E.R.; Samy, M.N.; Desoukey, S.Y.; Liu, M.; Quinn, R.J.; Abdelmohsen, U.R. Marine natural products from sponges (Porifera) of the order Dictyoceratida (2013 to 2019); a promising source for drug discovery. RSC Adv. 2020, 10, 34959–34976. [Google Scholar] [CrossRef]
- McCauley, E.P.; Piña, I.C.; Thompson, A.D.; Bashir, K.; Weinberg, M.; Kurz, S.L.; Crews, P. Highlights of marine natural products having parallel scaffolds found from marine-derived bacteria, sponges, and tunicates. J. Antibiot. 2020, 73, 504–525. [Google Scholar] [CrossRef]
- Máximo, P.; Ferreira, L.; Branco, P.; Lima, P.; Lourenço, A. The role of Spongia sp. in the discovery of marine lead compounds. Mar. Drugs 2016, 14, 139. [Google Scholar] [CrossRef]
- Liang, Y.-Q.; Liao, X.-J.; Zhao, B.-X.; Xu, S.-H. (+)- and (−)-Spongiterpene, a pair of new valerenane sesquiterpene enantiomers from the marine sponge Spongia sp. Nat. Prod. Res. 2021, 35, 2178–2183. [Google Scholar] [CrossRef]
- Tai, C.-J.; Ahmed, A.F.; Chao, C.-H.; Yen, C.-H.; Hwang, T.-L.; Chang, F.-R.; Huang, Y.M.; Sheu, J.-H. The chemically highly diversified metabolites from the Red Sea marine sponge Spongia sp. Mar. Drugs 2022, 20, 241. [Google Scholar] [CrossRef]
- Keyzers, R.A.; Northcote, P.T.; Davies-Coleman, M.T. Spongian diterpenoids from marine sponges. Nat. Prod. Rep. 2006, 23, 321–334. [Google Scholar] [CrossRef]
- El-Desoky, A.H.; Kato, H.; Angkouw, E.D.; Mangindaan, R.E.P.; de Voogd, N.J.; Tsukamoto, S. Ceylonamides A–F, nitrogenous spongian diterpenes that inhibit RANKL-induced osteoclastogenesis, from the marine sponge Spongia ceylonensis. J. Nat. Prod. 2016, 79, 1922–1928. [Google Scholar] [CrossRef]
- El-Desoky, A.H.; Kato, H.; Kagiyama, I.; Hitora, Y.; Losung, F.; Mangindaan, R.E.P.; de Voogd, N.J.; Tsukamoto, S. Ceylonins A–F, spongian diterpene derivatives that inhibit RANKL-induced formation of multinuclear osteoclasts, from the marine sponge Spongia ceylonensis. J. Nat. Prod. 2017, 80, 90–95. [Google Scholar] [CrossRef]
- El-Desoky, A.H.; Kato, H.; Tsukamoto, S. Ceylonins G–I: Spongian diterpenes from the marine sponge Spongia ceylonensis. J. Nat. Med. 2017, 71, 765–769. [Google Scholar] [CrossRef]
- Han, G.-Y.; Sun, D.-Y.; Liang, L.-F.; Yao, L.-G.; Chen, K.-X.; Guo, Y.-W. Spongian diterpenes from Chinese marine sponge Spongia officinalis. Fitoterapia 2018, 127, 159–165. [Google Scholar] [CrossRef]
- Liang, Y.-Q.; Liao, X.-J.; Lin, J.-L.; Xu, W.; Chen, G.-D.; Zhao, B.-X.; Xu, S.-H. Spongiains A-C: Three new spongian diterpenes with ring A rearrangement from the marine sponge Spongia sp. Tetrahedron 2019, 75, 3802–3808. [Google Scholar] [CrossRef]
- Chen, Q.; Mao, Q.; Bao, M.; Mou, Y.; Fang, C.; Zhao, M.; Jiang, W.; Yu, X.; Wang, C.; Dai, L.; et al. Spongian diterpenes including one with a rearranged skeleton from the marine sponge Spongia officinalis. J. Nat. Prod. 2019, 82, 1714–1718. [Google Scholar] [CrossRef]
- Jomori, T.; Setiawan, A.; Sasaoka, M.; Arai, M. Cytotoxicity of new diterpene alkaloids, ceylonamides G-I, isolated from Indonesian marine sponge of Spongia sp. Nat. Prod. Commun. 2019, 14, 1934578X19857294. [Google Scholar] [CrossRef]
- Pech-Puch, D.; Rodríguez, J.; Cautain, B.; Sandoval-Castro, C.A.; Jiménez, C. Cytotoxic furanoditerpenes from the sponge Spongia tubulifera collected in the Mexican Caribbean. Mar. Drugs 2019, 17, 416. [Google Scholar] [CrossRef]
- Alvariño, R.; Alfonso, A.; Pech-Puch, D.; Gegunde, S.; Rodríguez, J.; Vieytes, M.R.; Jiménez, C.; Botana, L.M. Furanoditerpenes from Spongia (Spongia) tubulifera display mitochondrial-mediated neuroprotective effects by targeting cyclophilin D. ACS Chem. Neurosci. 2022, 13, 2449–2463. [Google Scholar] [CrossRef]
- Liang, Y.-Q.; Liao, X.-J.; Zhao, B.-X.; Xu, S.-H. Novel 3,4-seco-3,19-dinorspongian and 5,17-epoxy-19-norspongian diterpenes from the marine sponge Spongia sp. Org. Chem. Front. 2020, 7, 3253–3261. [Google Scholar] [CrossRef]
- Tai, C.-J.; Huang, C.-Y.; Ahmed, A.F.; Orfali, R.S.; Alarif, W.M.; Huang, Y.M.; Wang, Y.-H.; Hwang, T.-L.; Sheu, J.-H. An anti-inflammatory 2,4-cyclized-3,4-secospongian diterpenoid and furanoterpene-related metabolites of a marine sponge Spongia sp. from the red sea. Mar. Drugs 2021, 19, 38. [Google Scholar] [CrossRef]
- Jin, T.; Li, P.; Wang, C.; Tang, X.; Yv, X.; Li, K.; Luo, L.; Ou, H.; Li, G. Two new spongian diterpene derivatives from the aquaculture sponge Spongia officinalis Linnaeus, 1759. Nat. Prod. Res. 2023, 37, 216–226. [Google Scholar] [CrossRef]
- Jin, T.; Li, P.; Wang, C.; Tang, X.; Yu, X.; Sun, F.; Luo, L.; Ou, H.; Li, G. Jellynolide A, pokepola esters, and sponalisolides from the aquaculture sponge Spongia officinalis L. Phytochemistry 2022, 194, 113006. [Google Scholar] [CrossRef]
- Liang, Y.; Liao, X.; Ling, L.; Yang, Y.; Zhao, B.; Xu, S. A new dinorspongian diterpene with pyridyl D-ring from the marine sponge Spongia sp. Chin. J. Org. Chem. 2022, 42, 901–904. [Google Scholar] [CrossRef]
- Abdelaleem, E.R.; Samy, M.N.; Ali, T.F.S.; Mustafa, M.; Ibrahim, M.A.A.; Bringmann, G.; Ahmed, S.A.; Abdelmohsen, U.R.; Desoukey, S.Y. NS3 helicase inhibitory potential of the marine sponge Spongia irregularis. RSC Adv. 2022, 12, 2992–3002. [Google Scholar] [CrossRef]
- Tai, C.-J.; Ahmed, A.F.; Chao, C.-H.; Yen, C.-H.; Hwang, T.-L.; Chang, F.-R.; Huang, Y.M.; Sheu, J.-H. Spongenolactones A–C, bioactive 5,5,6,6,5-pentacyclic spongian diterpenes from the Red Sea sponge Spongia sp. Mar. Drugs 2022, 20, 498. [Google Scholar] [CrossRef]
- Tai, C.-J.; Chao, C.-H.; Ahmed, A.F.; Yen, C.-H.; Hwang, T.-L.; Chang, F.-R.; Huang, Y.M.; Sheu, J.-H. New 3,4-seco-3,19-dinor- and spongian-based diterpenoid lactones from the marine sponge Spongia sp. Int. J. Mol. Sci. 2023, 24, 1252. [Google Scholar] [CrossRef]
- Yang, I.; Nam, S.-J.; Kang, H. Two new scalaranes from a Korean marine sponge Spongia sp. Nat. Prod. Sci. 2015, 21, 289–292. [Google Scholar] [CrossRef]
- Phan, C.S.; Kamada, T.; Hamada, T.; Vairappan, C.S. Cytotoxic sesterterpenoids from Bornean sponge Spongia sp. Rec. Nat. Prod. 2018, 12, 643–647. [Google Scholar] [CrossRef]
- Yang, I.; Lee, J.; Lee, J.; Hahn, D.; Chin, J.; Won, D.H.; Ko, J.; Choi, H.; Hong, A.; Nam, S.-J.; et al. Scalalactams A–D, scalarane sesterterpenes with a γ-lactam moiety from a Korean Spongia sp. marine sponge. Molecules 2018, 23, 3187. [Google Scholar] [CrossRef]
- Shin, A.-Y.; Lee, H.-S.; Lee, J. Isolation of scalimides A–L: β-alanine-bearing scalarane analogs from the marine sponge Spongia sp. Mar. Drugs 2022, 20, 726. [Google Scholar] [CrossRef]
- Hertzer, C.; Kehraus, S.; Böhringer, N.; Kaligis, F.; Bara, R.; Erpenbeck, D.; Wörheide, G.; Schäberle, T.F.; Wägele, H.; König, G.M. Antibacterial scalarane from Doriprismatica stellata nudibranchs (Gastropoda, Nudibranchia), egg ribbons, and their dietary sponge Spongia cf. agaricina (Demospongiae, Dictyoceratida). Beilstein J. Org. Chem. 2020, 16, 1596–1605. [Google Scholar] [CrossRef]
- Chaikina, E.L.; Utkina, N.K.; Anisimov, M.M. Influence of merosesquiterpenoids from marine sponges on seedling root growth of agricultural plants. Nat. Prod. Commun. 2016, 11, 11–12. [Google Scholar] [CrossRef] [PubMed]
- Li, J.; Gu, B.-B.; Sun, F.; Xu, J.-R.; Jiao, W.-H.; Yu, H.-B.; Han, B.-N.; Yang, F.; Zhang, X.-C.; Lin, H.-W. Sesquiterpene quinones/hydroquinones from the marine sponge Spongia pertusa Esper. J. Nat. Prod. 2017, 80, 1436–1445. [Google Scholar] [CrossRef] [PubMed]
- Tang, J.; Wu, W.; Yang, F.; Liu, L.; Yang, Z.; Liu, L.; Tang, W.; Sun, F.; Lin, H. Marine sponge-derived smenospongine preferentially eliminates breast cancer stem-like cells via p38/AMPKα pathways. Cancer Med. 2018, 7, 3965–3976. [Google Scholar] [CrossRef]
- Nguyen, H.M.; Ito, T.; Win, N.N.; Kodama, T.; Hung, V.Q.; Nguyen, H.T.; Morita, H. New antibacterial sesquiterpene aminoquinones from a Vietnamese marine sponge of Spongia sp. Phytochem. Lett. 2016, 17, 288–292. [Google Scholar] [CrossRef]
- Nguyen, H.M.; Ito, T.; Kurimoto, S.-i.; Ogawa, M.; Win, N.N.; Hung, V.Q.; Nguyen, H.T.; Kubota, T.; Kobayashi, J.i.; Morita, H. New merosesquiterpenes from a Vietnamese marine sponge of Spongia sp. and their biological activities. Bioorg. Med. Chem. Lett. 2017, 27, 3043–3047. [Google Scholar] [CrossRef]
- Tian, Y.; Xu, B.; Wang, J.; Lin, H.; Yang, L.; Yang, F. Chemical constituents from Spongia sp., a marine sponge in Xisha Islands. J. Pharm. Pract. 2017, 35, 315–320+382. [Google Scholar] [CrossRef]
- Ito, T.; Nguyen, H.M.; Win, N.N.; Vo, H.Q.; Nguyen, H.T.; Morita, H. Three new sesquiterpene aminoquinones from a Vietnamese Spongia sp. and their biological activities. J. Nat. Med. 2018, 72, 298–303. [Google Scholar] [CrossRef]
- Orfanoudaki, M.; Hartmann, A.; Alilou, M.; Mehic, N.; Kwiatkowski, M.; Jöhrer, K.; Nguyen Ngoc, H.; Hensel, A.; Greil, R.; Ganzera, M. Cytotoxic compounds of two demosponges (Aplysina aerophoba and Spongia sp.) from the Aegean Sea. Biomolecules 2021, 11, 723. [Google Scholar] [CrossRef]
- Tang, W.-Z.; Zhao, H.-M.; Tian, Y.; Dai, S.-W.; Zhang, A.; Lin, H.-W.; Zhang, C.-X.; Yang, F. Merosesquiterpenes from the marine sponge Spongia pertusa Esper and their antifungal activities. Tetrahedron Lett. 2022, 93, 153690. [Google Scholar] [CrossRef]
- Hitora, Y.; Takada, K.; Ise, Y.; Woo, S.P.; Inoue, S.; Mori, N.; Takikawa, H.; Nakamukai, S.; Okada, S.; Matsunaga, S. Metachromins X and Y from a marine sponge Spongia sp. and their effects on cell cycle progression. Bioorg. Med. Chem. 2020, 28, 115233. [Google Scholar] [CrossRef]
- Bauvais, C.; Bonneau, N.; Blond, A.; Pérez, T.; Bourguet-Kondracki, M.-L.; Zirah, S. Furanoterpene diversity and variability in the marine sponge Spongia officinalis, from untargeted LC–MS/MS metabolomic profiling to furanolactam derivatives. Metabolites 2017, 7, 27. [Google Scholar] [CrossRef]
- Abdjul, D.B.; Yamazaki, H.; Kanno, S.-i.; Wewengkang, D.S.; Rotinsulu, H.; Sumilat, D.A.; Ukai, K.; Kapojos, M.M.; Namikoshi, M. Furanoterpenes, new types of protein tyrosine phosphatase 1B inhibitors, from two Indonesian marine sponges, Ircinia and Spongia spp. Bioorg. Med. Chem. Lett. 2017, 27, 1159–1161. [Google Scholar] [CrossRef]
- Sun, D.-Y.; Yao, L.-G.; Han, G.-Y.; Guo, Y.-W. Investigation on chemical constituents of Spongia officinalis off Weizhou Island. Chin. J. Mar. Drugs 2017, 36, 1–5. [Google Scholar] [CrossRef]
- Sun, D.-Y.; Han, G.-Y.; Yang, N.-N.; Lan, L.-F.; Li, X.-W.; Guo, Y.-W. Racemic trinorsesquiterpenoids from the Beihai sponge Spongia officinalis: Structure and biomimetic total synthesis. Org. Chem. Front. 2018, 5, 1022–1027. [Google Scholar] [CrossRef]
- Yang, I.; Choi, H.; Nam, S.-J.; Kang, H. Two indole-alkaloids from a Korean marine sponge Spongia sp. Bull. Korean Chem. Soc. 2015, 36, 2120–2123. [Google Scholar] [CrossRef]
- Zhang, Y.-F.; Li, D.C.; Liao, X.-J.; Xu, S.-H.; Zhao, B.-X. Spongimides A and B, two new alkaloids from the marine sponge Spongia sp. J. Asian Nat. Prod. Res. 2023, 25, 1044–1050. [Google Scholar] [CrossRef] [PubMed]
















Disclaimer/Publisher’s Note: The statements, opinions and data contained in all publications are solely those of the individual author(s) and contributor(s) and not of MDPI and/or the editor(s). MDPI and/or the editor(s) disclaim responsibility for any injury to people or property resulting from any ideas, methods, instructions or products referred to in the content. |
© 2024 by the authors. Licensee MDPI, Basel, Switzerland. This article is an open access article distributed under the terms and conditions of the Creative Commons Attribution (CC BY) license (https://creativecommons.org/licenses/by/4.0/).
Share and Cite
Yang, Q.-B.; Liang, L.-F. Spongia Sponges: Unabated Sources of Novel Secondary Metabolites. Mar. Drugs 2024, 22, 213. https://doi.org/10.3390/md22050213
Yang Q-B, Liang L-F. Spongia Sponges: Unabated Sources of Novel Secondary Metabolites. Marine Drugs. 2024; 22(5):213. https://doi.org/10.3390/md22050213
Chicago/Turabian StyleYang, Qi-Bin, and Lin-Fu Liang. 2024. "Spongia Sponges: Unabated Sources of Novel Secondary Metabolites" Marine Drugs 22, no. 5: 213. https://doi.org/10.3390/md22050213
APA StyleYang, Q.-B., & Liang, L.-F. (2024). Spongia Sponges: Unabated Sources of Novel Secondary Metabolites. Marine Drugs, 22(5), 213. https://doi.org/10.3390/md22050213

