Abstract
Six new sesquiterpenes, including four eremophilane derivatives fureremophilanes A–D (1–4) and two acorane analogues furacoranes A and B (5 and 6), were characterized from the culture extract of the cold-seep derived fungus Furcasterigmium furcatum CS-280 co-cultured with autoclaved Pseudomonas aeruginosa QDIO-4. All the six compounds were highly oxygenated especially 2 and 3 with infrequent epoxyethane and tetrahydrofuran ring systems. The structures of 1–6 were established on the basis of detailed interpretation of 1D and 2D NMR and MS data. Their relative and absolute configurations were assigned by a combination of NOESY and single crystal X-ray crystallographic analysis, and by time-dependent density functional (TDDFT) ECD calculations as well. All compounds were tested the anti-inflammatory activity against human COX-2 protein, among which, compounds 2 and 3 displayed activities with IC50 values 123.00 µM and 93.45 µM, respectively. The interaction mechanism was interpreted by molecular docking.
1. Introduction
The harsh environment in the deep sea forces the benthic microbes to develop sophisticated molecular adaptations in their primary and secondary metabolic pathways [1]. Cold seep is one of the most unique and extraordinary ecosystems in the deep sea. The microorganisms inhabiting in the cold seep environment were able to produce unconventional secondary metabolites with diverse and abundant biosynthetic gene clusters [2,3]. Eremophilane and acorane are two classes of sesquiterpenes with diverse structures, and are widely produced by various microorganisms, especially by fungal species [4]. These metabolites were reported to exhibit multiple biological activities, such as antibacterial [5], anti-fungal [6,7], cytotoxic [8], and anti-inflammatory [9] activities.
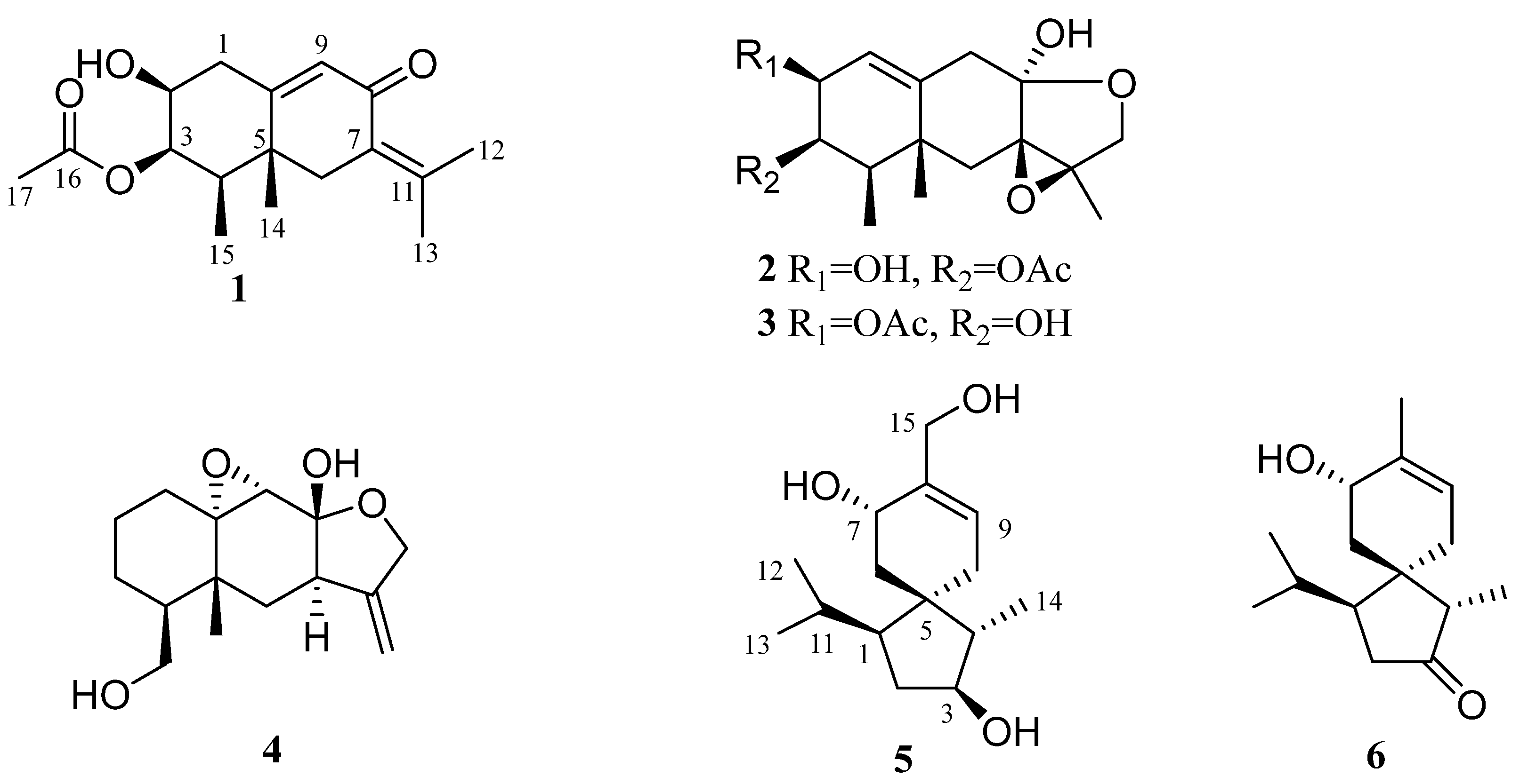
We previously investigated the deep-sea cold-seep-derived fungus Furcasterigmium furcatum CS-280 and characterized several polyketide and ascochlorin derivatives with antibacterial activities from the rice solid culture of the fungus [10]. Co-cultivation was proved as an effective method to activate microbial biosynthetic genes which were silent under standard laboratory culture conditions [11,12,13]. There are several reports on co-cultivation experiments of fungi and heat-killed bacteria, leading to the discovery of new secondary metabolites, such as a series of sugar alcohol-conjugated acyclic sesquiterpenes and 16-residue peptaibols from the sponge-derived fungus Acremonium sp. cultivated with heat-killed Pseudomonas aeruginosa [14,15]. In the present report, the fungus F. furcatum CS-280 was co-cocultured with autoclaved Pseudomonas aeruginosa QDIO-4 for chemical investigation. As a result, six new sesquiterpenes, including four eremophilane derivatives fureremophilanes A–D (1–4) and two acorane analogues furacoranes A and B (5 and 6), were characterized (Figure 1). This paper describes the isolation, structure determination, stereochemical assignment, and bioactivity evaluation of the isolated compounds.
Figure 1.
Chemical Structures of Compounds 1–6.
2. Results and Discussion
2.1. Structure Elucidation
Compound 1 was acquired as colorless crystals. Its chemical formula was assigned as C17H24O4 on the basis of the positive HRESIMS data at m/z 293.1751 (calculated for C17H25O4, [M + H]+, 293.1747), requiring six degrees of unsaturation. The 1H and 13C NMR data revealed the presence of five methyl groups, two sp3 methylenes, one sp2 and three sp3 methines (with two oxygenated), and six nonprotonated (with one sp3 and five sp2) carbons, along with an exchangeable proton (δH 5.05) (Table 1 and Table 2). Detailed analysis of the NMR data revealed that the structure of 1 was similar to (3S)-3-acetoxyeremophil-1(2),7(11),9(10)-trien-8-one, a known eremophilane sesquiterpene isolated from Penicillium roqueforti DAOM 232127, a fungus obtained from contaminated silage in Québec [16]. However, signals for two olefinic methines CH-1 (δH 5.79 and δC 130.75) and CH-2 (δH 5.93 and δC 131.04) in the NMR spectra of the known compound were absent, while resonances for a sp3 methylene CH2-1 (δH 2.55/2.30 and δC 35.8) and an oxygenated methine CH-2 (δH 3.64 and δC 68.5) were observed in the NMR spectra of 1 (Table 1 and Table 2), which indicated that the Δ1(2)-double bond of the known compound was reduced in compound 1. Combined with the 1H-1H COSY correlations from H-2 to H2-1 and H-3 and to the proton of OH-2, and the key HMBC correlations from the proton of OH-2 to C-1 and from H2-1 to C-9 and C-10 (Figure 2), the planar structure of 1 was established. Due to absence of some diagnostic NOE correlations, its relative configuration could not be precisely assigned by NOESY experiment. The suitable crystals of 1 were obtained by slow evaporation of a mixed solvents (MeOH and H2O), allowing for the X-ray crystallographic analysis using Cu Kα radiation. The Flack parameter 0.09(5) permitted establishment of the absolute configurations as 2S, 3R, 4R, and 5R (Figure 3). Overall, the structure of 1 was determined and was given the trivial name fureremophilane A.
Table 1.
1H NMR Data of Compounds 1–4 in DMSO-d6 (δ in ppm, J in Hz).
Table 2.
13C NMR data of compounds 1–4 in DMSO-d6 (δ in ppm).
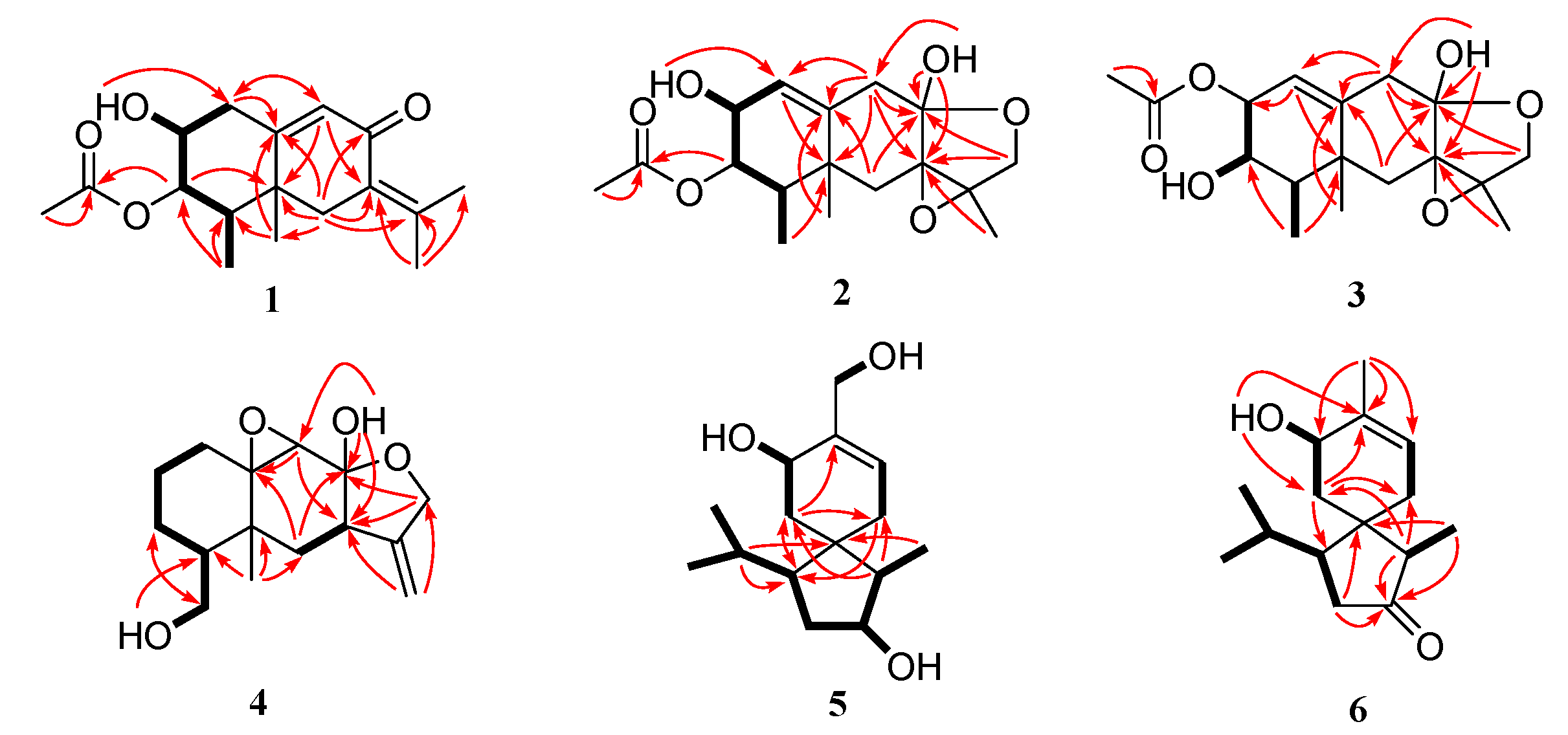
Figure 2.
Key HMBC (arrows) and COSY (bold lines) correlations for compounds 1–6.
Figure 3.
X-ray crystallographic structures of compounds 1, 3, and 4.
It should be mentioned that searching the structure of compound 1 in CAS SciFinder database gave a result showing “a compound” (CAS number 1027589-47-4) has 100% similarity to compound 1. However, the structure of “as drawn” compound in the database has a double bond at Δ11(12), which was different from that of compound 1 (with a double bond at Δ7(11)), and no reference describing the structure and property for the “compound” (with CAS number 1027589-47-4) could be found.
Compound 2 was isolated as yellow oil, of which the chemical formula was established as C17H24O6 by HRESIMS data. The 1H and 13C NMR data revealed the presence of four methyls, three methylenes, four methines, and six non-protonated carbons (Table 1 and Table 2). Discreet analyses of its NMR data revealed compound 2 had close relationship to 5-chloro-6-hydroxy-3a-methoxy-1a,8,8a-trimethyl-1a,2,3a,5,7,8,8a,9-octahydro-6H-naphtho [2,3-b]oxireno [2,3-c]furan-7-yl acetate, a chlorinated eremophilane sesquiterpene isolated from the fungal strain Penicillium sp. PR19N-1, which was obtained from antarctic deep-sea [17]. However, there is no chlorine substitution in compound 2, as indicated by the HRESIMS data. The HMBC correlations from the exchangeable proton (δH 5.82, 8-OH) to C-7, C-8, and C-9 could illustrate that the methoxy group at C-8 in the reported compound also dismissed in 2. On the other hand, the double bond in compound 2 located at Δ1(10), as evidenced by the COSY correlations from the olefinic proton H-1 to the oxymehine proton H-2 as well as by the HMBC correlations from H-9 to C-1 and C-10 and from the proton of 2-OH to C-1 (Figure 2). The planar structure of compound 2 was thus determined (Figure 1).
Compound 3 was isolated as colorless crystals and has same molecular formula as that of compound 2. The 1D and 2D NMR data revealed that compound 3 was reminiscent to compound 2 (Table 1 and Table 2). Supported by the COSY correlations from H-3 to the proton of 3-OH and H-2, by the HMBC correlation from H3-14 to C-3, and by the changes of chemical shifts of C-1, C-2, and C-3, the acetoxyl unit in 3 was supposed to be linked at C-2 instead of C-3 as that in 2 (Figure 2).
The relative configurations at C-2, C-4, and C-5 of compounds 2 and 3 were established by NOESY cross-peaks from H3-14 to H3-15, from H-2 to H-4 (Figure 4). The small coupling constant between H-3 and H-4 (3JH-3, H-4 = 2.2 Hz) in 3 assigned cofacial relationship of these two protons [17], while the relative configuration of hydroxy unit at C-8 and the epoxide group at C-7/C-11 were deduced as α and β-orientations, respectively, from the prospect of biosynthesis [17]. Single-crystal X-ray diffraction experiment of compound 3 was carried out to further confirm the relative configurations, and the Flack parameter 0.08(4) unambiguously assigned its absolute configurations as 2S, 3R, 4R, 5R, 7R, 8R, and 11R (Figure 3). The configurations of compounds 2 and 3 were considered consistent from the biosynthetic point of view. Compounds 2 and 3 were named as fureremophilanes B and C, respectively.
Figure 4.
Key NOE correlations observed for compounds 2, 3, and 5 (red and blue arrows represent α- and β-orientations, respectively).
Compound 4 was obtained as colorless crystals and its HRESIMS data gave the molecular formula C15H22O4. The 1H and 13C NMR data resembled those of cryptosphaerolide, an ester-substituted (at C-1) eremophilane sesquiterpenoid characterized from the marine-sourced ascomycete fungal strain Cryptosphaeria sp. CNL-523 [18]. Detailed analysis of the NMR data of 4 showed that the ester moiety at C-1 in cryptosphaerolide is not present in compound 4. Instead, C-1 is a non-oxygenated methylene and a hydroxy group was linked directly to C-15 in compound 4, as verified by key 1H-1H COSY correlations from H2-2 to H2-1 and H2-3, from H-4 to H2-3 and H2-15, and from H2-15 to the proton of 15-OH (Figure 2). Single-crystal X-ray diffraction experiment not only confirmed the structure of compound 4 but also established its absolute configuration as 4S, 5R, 7R, 8R, 9S, and 10S (Figure 3). Thus, compound 4 was assigned as a new eremophilane derivative and named as fureremophilane D.
Furacorane A (5), obtained as yellowish oil, assigned the molecular formula C15H26O3 on the basis of HRESIMS data, indicating three degrees of unsaturation. Its 13C NMR data (Table 3) disclosed an acorane skeleton, which was similar to daphneaine C [19]. The presence of cyclopentane moiety of 5 was assigned by COSY correlations (measured in DMSO-d6) from H-1 through H2-2, H-3, and H-4 to H3-15, while the correlations from H-11 to H-1, H-12, and H-13 verified the presence of an isopropyl unit at C-1 (Figure 2). The COSY correlations from H-3 to 3-OH indicated the hydroxyl attached to C-3 in 5 instead of C-2 in daphneaine C. In addition, the methyl group at C-8 (CH3-15) in daphneaine C was replaced by a hydroxymethyl unit in compound 5, as supported by the chemical shift of C-15 moving downfield significantly to δC 61.5 (C-15), along with the observed COSY from the proton of 15-OH to H2-15 (Figure 2) and the long distance COSY from H2-15 to H-9 (allylic coupling, 4J) and from H-7 and H2-15 to H-10a and H-10b (high allylic coupling, 5J) (Figure S39). For the severe overlapping of some signals, the 1H NMR, HSQC and NOESY spectra of compound 5 were re-measured in CDCl3 (Figures S41–S43). The NOE correlations from H-1 to H-3 and H3-14 and from H-3 to H3-14 implied their cofacial orientation (Figure 4). H-10a (δH 2.06), H-6b (δH 1.20), and H-7 were assigned cofacial, as determined by NOE correlations from H-10a to H-6b and from H-6b to H-7. Thus, the relative configurations at cyclopentane unit were established. NOE correlations from H-10a to H-4 and H3-14, from H-10b to H-1, and from H-6b to H3-14 revealed the H-10a, H-4, H3-14, H-6b and H-7 located on the same side of the cyclopentane unit, while H-10b and H-1 were on the other side. The relative configuration of 5 was thus established as shown (Figure 4).
Table 3.
1H and 13C NMR data of compounds 5 and 6 in DMSO-d6 (δ in ppm, J in Hz).
To determine the absolute configuration, the specific rotation (SR) at the CAM-B3LYP/TZVP level was calculated (Tables S1–S3 in the Supplementary Data). The calculated SR value [α]D –22.6 for (1S,3S,4S,5R,7S)-5 was in agreement with the experimental value of 5 –18.2 (c 0.11, MeOH), which allowed the assignment of the absolute configuration of 5 as 1S, 3S, 4S, 5R, and 7S.
Furacorane B (6) was also obtained as yellowish oil. Its molecular formula was determined as C15H24O2 on the basis of (+)-HRESIMS data, with one O-atom less and one more degree of unsaturation than that of 5. In the 13C NMR of 6, a resonance corresponding to a ketonic carbonyl at δC 220.5 (C-3) was observed, and the location of this carbonyl carbon was determined at C-3 by the detected HMBC correlations from H-2, H-4, and H3-14 to C-3 (Figure 2). The chemical shift of C-15 shifted from δC 61.5 in 5 to the upfield at δC 19.7 in 6, revealing the absence of -OH at C-15 (Table 3). Unfortunately, it is infeasible to determine the relative configuration by NOESY spectrum due to the special spiral ring system and the severe signal overlapping. The relative configuration of 6 was established the same as 5 owing to the same biosynthetic pathway. To further verify the absolute configuration of 6, ECD calculation was performed at the CAM-B3LYP/TZVP level in Gaussian 09. The experimental curve matched well with that of the calculated ECD spectrum for 1S, 4S, 5R, 7S-6 (Figure 5), both with positive Cotton effects around 295 nm. Thus, the absolute configuration of 6 was finally assigned as 1S, 4S, 5R, 7S.
Figure 5.
Experimental (black) and calculated (red) ECD spectra of compound 6.
The biosynthetic relationship of all isolated compounds (1–6) biosynthesis of compounds 1–6 was proposed as shown in Figure S54. Briefly, the eremophilane sesquiterpene core (I) and acorenyl cation (XI), both derived from farnesyl pyrophosphate (FPP), were considered as substrates to produce compounds 1–6 through a series of biochemical transformations, such as hydroxylation, isomerization, epoxidation, and acetylation [17,20].
2.2. COX-2 Inhibitory Activity
Cyclooxygenases 2 (COX-2) is involved in the key step of the converting arachidonic acid into prostaglandins, which are considered as therapeutic targets for many inflammatory related diseases [21,22]. Compounds with similar structures as described in the present work showed anti-inflammatory activities [9,19], so all of the isolated compounds (1–6) were screened for their anti-inflammatory activity at 100 µM towards COX-2 in vitro, among which, the eremophilane derivatives 2 and 3 were further assayed with concentration gradients and showed slight inhibitory effects with IC50 values 123.00 and 93.45 µM, respectively (Figure 6), whereas compounds 1 and 4–6 did not show any activities during the assays. Moreover, none of the isolated compounds showed any antimicrobial activities against agricultural pathogenic fungal strains Ceratobasidium cornigerum QDAU-6, Botrytis cinerea QDAU-23, Fusarium oxysporum QDAU-5, and aquatic pathogenic bacterial strains Escherichia coli EMBLC-1, Vibrio anguillarum QDIO-6, Vibrio harveyi QDIO-7. As well, the inhibitory activities against neuraminidase and angiotensin I converting enzyme 2 (ACE 2) were also tested and no obvious activities were observed.
Figure 6.
The inhibitory effects (IC50) of celecoxib and compounds 2 and 3 toward COX-2. (A) Celecoxib (positive control): 42.18 nM. (B) Compound 2: 123.00 μM. (C) Compound 3: 93.45 μM.
A molecular docking study was performed to identify the intermolecular interaction and potential binding sites of the eremophilane derivatives 1–4 and the positive control celecoxib with COX-2 (PDB ID:5IKR) (Figure 7A). The results demonstrated that compound 3 interacted with COX-2 in the same active pocket with that of celecoxib (Figure 7D), which formed four key hydrogen bonds with residues Asn-43, Arg-44, and Cys-47, while celecoxib formed hydrogen bonds with residues His-39 and Gln-461 (Figure 7C,D). Hence, the huge variation of the inhibition activities might be implicated by their different nature of interactions with different residues of COX-2. In contrast, compound 2 was observed to form three hydrogen bonds with residues Arg-120 and Ala-527 (Figure 7B). The different locations of acetoxyl group in 2 and 3 exhibited great influence on the binding sites.
Figure 7.
Molecular docking simulation results: (A) Compounds 1–4 and celecoxib interacted with 5IKR (1 in red, 2 in blue, 3 in pink, 4 in green, celecoxib in yellow); (B) Compound 2 interacted with 5IKR; (C) Compound 3 interacted with 5IKR; (D) Compound 3 and celecoxib interacted with 5IKR.
3. Material and Methods
3.1. General Experimental Procedures
Detailed information for the apparatus, reagents, solvents, and materials used in the present work is the same as that described in our previous publication [23,24,25]. Optical rotations were measured in MeOH using an Optical Activity AA-55 polarimeter (Optical Activity Ltd., Cambridgeshire, UK). UV spectra were measured on a PuXi TU-1810 UV-visible spectrophotometer (Shanghai Lengguang Technology Co., Ltd., Shanghai, China). ECD spectra were acquired on a Chirascan spectropolarimeter (Applied Photophysics Ltd., Surrey, UK). 1D and 2D NMR spectra were recorded at 500 and 125 MHz for 1H and 13C, respectively, on a Bruker Avance 500 spectrometer with TMS as internal standard (Bruker Biospin Group, Karlsruhe, Germany). Mass spectra were determined on an API QSTAR Pulsar 1 mass spectrometer (Applied Biosystems, Foster City, CA, USA). Analytical and semi-preparative HPLC were performed using a Dionex HPLC system (Dionex, Sunnyvale, CA, USA) equipped with P680 pump, an ASI-100 automated sample injector, and a UVD340U multiple wavelength detector controlled by Chromeleon software (version 6.80). Commercially available Si gel (200–300 mesh, Qingdao Haiyang Chemical Co., Qingdao, China), Lobar LiChroprep RP–18 (40–63 μm, Merck, Darmstadt, Germany), and Sephadex LH–20 (Merck, Darmstadt, Germany) were used for open column chromatography. All solvents used were distilled prior to use.
3.2. Fungal Material
The fungal strain Furcasterigmium furcatum CS-280 was isolated from sediment samples collected from the cold-seep environment of the South China Sea (depth 1183 m), in June 2020. The fungal strain was identified as Furcasterigmium furcatum (syn. Acremonium furcatum) according to its ITS region sequence, which is highly similar (98.93%) to that of Acremonium furcatum (LR026839.1). The sequence information of the fungus was deposited in GenBank with the accession no. OQ120564.1. The strain is preserved at the Key Laboratory of Experimental Marine Biology, Institute of Oceanology, Chinese Academy of Sciences (IOCAS). Detailed information for the isolation and identification of fungal strain F. furcatum CS-280 was described in the previous publication [10].
3.3. Fermentation, Extraction, and Isolation
For chemical investigations, the bacterial strain P. aeruginosa QDIO-4 was incubated in LB liquid medium (10 g tryptone, 5 g yeast extract, and 10 g NaCl in 1 L distilled H2O, pH 7.0) at 37 °C, 200 rpm for 12 h, and then 10 mL of bacterial broth was inoculated into 200 × 1 L conical flasks with solid rice medium (100 g rice, 0.15 g corn syrup, 0.45 g peptone, 0.15 g methionine, and 150 mL naturally sourced and filtered seawater that was obtained from the Huiquan Gulf of the Yellow Sea near the campus of IOCAS) at room temperature. After 3 days, these flasks were autoclaved at 121 °C for 20 min, and then a piece of the spore inoculum (~2 × 2 cm2) of the fungal strain F. furcatum CS-280, which was grown on PDA medium at 28 °C for 8 days, was introduced into the above mentioned autoclaved rice-substrate-containing flasks and further incubated for 44 days. The fermented rice substrate was extracted four times with EtOAc.
The EtOAc extract was filtered and evaporated under reduced pressure to yield an organic extract (80.2 g), which was subjected to vacuum liquid chromatography (VLC) over Si gel eluting with different solvents of increasing polarity from petroleum ether (PE) to MeOH to yield nine fractions (Frs. 1–9).
Based on TLC and HPLC analysis, Fr. 4 (9.8 g) and Fr. 5 (6.2 g) were combined together for further isolation, yielding 9 subfractions (Frs. 4.1–4.9) by column chromatography (CC) over Lobar LiChroprep RP-18 with a MeOH–H2O gradient (from 10:90 to 90:10). Fr 4.3 was applied to CC on Si gel eluting with a PE–acetone gradient (from 15:1 to 5:1) and then purified by CC on Sephadex LH-20 (MeOH) to yield compound 6 (2.0 mg). Fr. 6 (2.0 g) and Fr. 7 (16.0 g) were mixed together and then yielded nine subfractions (Frs. 6.1–6.9) by CC over Lobar LiChroprep RP-18 with a MeOH–H2O gradient (from 10:90 to 90:10). Fr. 6.2 was applied to CC on Si gel eluting with a PE–acetone gradient (from 5:1 to 1:1) and then purified by CC on Sephadex LH-20 (MeOH) to yield compound 4 (5.0 mg). Fr. 6.3 was purified by semipreparative HPLC (Elite ODS-BP column, 10 μm; 20 × 250 mm; 41% MeOH–H2O, 12 mL/min) to obtain compounds 2 (2.3 mg) and 5 (2.1 mg), while the eluents of un-purified peaks were collected and dried in vacuum to get the remaining components, and were further purified by CC on Si gel eluting with a gradient CH2Cl2–MeOH, 100:1 to obtain compound 3 (3.0 mg). Fr 6.6 and 6.7 was applied to semipreparative HPLC (Elite ODS-BP column, 10 μm; 20 × 250 mm; 66% MeOH–H2O, 12 mL/min) and then was further purified by CC on Sephadex LH-20 (MeOH) to yield compound 1 (2.0 mg).
Fureremophilane A (1): colorless crystals (MeOH–H2O); + 35.3 (c 0.17, MeOH); UV (MeOH) λmax (log ε) 200 (3.21), 220 (2.69) 245 (2.98) 280 (2.76) nm; ECD (0.68 mM, MeOH) λmax (Δε) 205 (+4.75), 242 (+12.43), 260 (+3.94), 281 (4.49) nm; 1H and 13C NMR data, see Table 1 and Table 2; HRESIMS m/z 293.1751 [M + H]+ (C17H25O4, calcd 293.1747).
Fureremophilane B (2): yellow oil; + 31.3 (c 0.16, MeOH); UV (MeOH) λmax (log ε) 200 (3.12), 220 (2.49) 242 (2.43) 320 (2.11) nm; ECD (0.62 mM, MeOH) λmax (Δε) 200 (+8.38), 215 (0.99), 240 (+0.74) nm; 1H and 13C NMR data, see Table 1 and Table 2; HRESIMS m/z 347.1469 [M + Na]+ (C17H24O6Na, calcd 347.1465); 325.1648 [M + H]+ (C17H25O6, calcd 325.1646).
Fureremophilane C (3): colorless crystals (MeOH–EtOAc); + 43.8 (c 0.16, MeOH); UV (MeOH) λmax (log ε) 200 (3.11), 220 (2.45) 283 (2.19) nm; ECD (0.62 mM, MeOH) λmax (Δε) 200 (+7.96) nm; 1H and 13C NMR data, see Table 1 and Table 2; HRESIMS m/z 347.1462 [M + Na]+ (C17H24O6Na, calcd 347.1465).
Fureremophilane D (4): colorless crystals (MeOH–H2O); + 36.0 (c 0.25, MeOH); UV (MeOH) λmax (log ε) 203 (+3.94) nm; 1H and 13C NMR data, see Table 1 and Table 2; HRESIMS m/z 289.1404 [M + Na]+ (C15H22O4Na, calcd 289.1410).
Furacorane A (5): yellowish oil; − 18.2 (c 0.11, MeOH); UV (MeOH) λmax (log ε) 200 (3.05) nm; 1H and 13C NMR data, see Table 3; HRESIMS m/z 255.1958 [M + H]+ (C15H27O3, calcd 255.1955).
Furacorane B (6): yellowish oil; +76.5 (c 0.17, MeOH); UV (MeOH) λmax (log ε) 200 (2.55) nm; ECD (4.24 mM, MeOH) λmax (Δε) 295 (+1.51) nm; H and 13C NMR data, see Table 3; HRESIMS m/z 254.2121 [M + NH4]+ (C15H28O2N, calcd 254.2115).
3.4. X-Ray Crystallographic Analysis of Compounds 1, 3 and 4 [26]
Crystallographic data were collected on a Srigaku Mercury CCD/AFCR diffractometer equipped with graphite-monochromatic Cu Kα radiation (λ = 1.541 78 Å) at 293(2) K. The data were corrected for absorption by using the program SADABS [27]. The structure was solved by direct methods and subsequent difference Fourier synthesis and refined by full-matrix least-squares techniques with the SHELXTL software package (2018) [28,29]. All non-hydrogen atoms were refined anisotropically. The absolute structures were determined by refinement of the Flack parameter [30].
Crystal data of 1: m.p. 167–169 ℃; C17H24O4; F.W. = 292.36, Orthorhombic, P212121, unit cell dimensions a = 7.3305(2) Å, b = 9.8107(3) Å, c = 21.7397(6) Å, V = 1563.46(8) Å3, α = β = γ = 90°, Z = 4, dcalcd =1.242 mg/m3, crystal dimensions 0.160 × 0.140 × 0.120 mm, μ = 0.706 mm−1, F(000) = 632.0. The 15680 measurements yielded 2848 independent reflections after equivalent data were averaged, and Lorentz and polarization corrections were applied. The final refinement gave R1 = 0.0307 and wR2 = 0.0853 [I > 2σ(I)]. The Flack parameter was 0.09(5).
Crystal data of 3: m.p. 170–172 ℃; C17H24O6; F.W. = 324.36, Trigonal, R3, unit cell dimensions a = 27.6010(6) Å, b = 27.6010(6) Å, c = 6.1835(2) Å, V = 4079.6(2) Å3, α = β = 90°, γ =120°, Z = 9, dcalcd =1.188 mg/m3, crystal dimensions 0.140 × 0.120 × 0.100 mm, μ = 0.743 mm−1, F(000) = 1566.0. The 23292 measurements yielded 3332 independent reflections after equivalent data were averaged, and Lorentz and polarization corrections were applied. The final refinement gave R1 = 0.0307 and wR2 = 0.0848 [I > 2σ(I)]. The Flack parameter was 0.08(4).
Crystal data of 4: m.p. 208–210 °C; C15H22O4; F.W. = 266.32, Orthorhombic, P212121, unit cell dimensions a = 9.6756(2) Å, b = 10.8136(2) Å, c = 12.8771(3) Å, V = 1347.31(5) Å3, α = β = γ = 90°, Z = 4, dcalcd = 1.313 mg/m3, crystal dimensions 0.180 × 0.160 × 0.120 mm, μ = 0.766 mm−1, F(000) = 576.0. The 6498 measurements yielded 2404 independent reflections after equivalent data were averaged, and Lorentz and polarization corrections were applied. The final refinement gave R1 = 0.0309 and wR2 = 0.0843 [I > 2σ(I)]. The Flack parameter was 0.13(8).
3.5. Specific Rotation and ECD Calculations
Conformational searches were carried out via molecular mechanics with the MM+ method in HyperChem 8.0 software. Afterward, the geometries were optimized at the gas-phase B3LYP/6-31G(d) level in Gaussian09 software to afford the energy-minimized conformers [31]. Then, the optimized conformers were subjected to the calculations of ECD spectra and specific rotation value (λ = 589.4 nm) using the CAM-B3LYP/TZVP level. Solvent effects of the methanol solution were evaluated at the same DFT levels using the SCRF/PCM method. The calculated results were later obtained according to the Boltzmann weighting of each conformer.
3.6. COX-2 Inhibitory Assays
COX-2 inhibitory activity assay in vitro was performed by cyclooxygenase-2 Inhibitor Screening Kit (Beyotime, Cat No. S0168, Shanghai, China). Briefly, the COX-2 enzyme was mixed with compound solution and then incluated at 37 °C for 10 min. After that, the COX-2 probe and substrate were added. Then, the fluorescence intensity values were measured with the excitation wavelength at 530 nm and the emission wavelength at 590 nm. The data was analyzed by GraphPad Prism5 (GraphPad Software Inc., Boston, MA, USA).
3.7. Molecular Docking Simulations
The crystal structure of human COX-2 (PDB ID: 5IKR) was downloaded from the Protein Data Bank for molecular docking. The preparation, optimization, and interaction of compounds 1–4 and celecoxib bonding with COX-2 and legitimacy of their activities were elaborated by AutoDock software package (http://autodock.scripps.edu/, accessed on 15 October 2024, Molecular Graphics Laboratory at the Department of Molecular Biology, The Scripps Research Institute). AutoDock tools were employed to prepare both COX-2 and compounds for docking. Through AutoDock vina, binding free energy was calculated and compounds displaying the lowest binding affinity to protein were chosen as the best conformation [32]. The visualizations of the protein-ligand structure were optimized by PyMol molecular graphics system.
4. Conclusions
Six new sesquiterpenes, including four eremophilane derivatives, fureremophilanes A–D (1–4), and two acoranes, furacoranes A and B (5 and 6), were characterized from the culture extract of the cold-seep derived fungus Furcasterigmium furcatum CS-280 cultured on autoclaved P. aeruginosa QDIO-4. The compounds with more variable structures were isolated from the extract of co-culture medium, while at the same time, the identified compounds were highly oxidized and compounds 2 and 3 had rare epoxyethane and tetrahydrofuran ring systems among the known sesquiterpenes. Compounds 2 and 3 displayed inhibitory activities against human COX-2 activity with IC50 values 123.00 and 93.45 µM, respectively. The molecular docking experiment was carried out to explain their distinct activities. Compound 3 was considered to be engaged in the same active pocket with celecoxib, while the different binding residues lead to the difference in the inhibitory activities of COX-2 in vitro, and the different locations of acetyl group in 2 and 3 exhibited great influence on the binding sites.
Supplementary Materials
The following supporting information can be downloaded at: https://www.mdpi.com/article/10.3390/md22120574/s1. Tables S1–S3: Calculated specific rotation values. Figures S1–S3: Chemical structures, optimized low-energy conformers for ECD and SR calculations. Figures S4–S52: The HRESIMS, 1D and 2D NMR spectra, ECDs of compounds 1–6. Figure S53: Chart flow of the isolation procedure. Figure S54: Proposed biogenetic network for compounds 1–6.
Author Contributions
X.-D.C. performed the experiments for the isolation, structure elucidation, bioactivity evaluation, and prepared the manuscript; X.-M.L. performed the 1D and 2D NMR experiments; X.L. and S.-Q.Y. contributed to the isolation and identification of the fungus F. furcatum CS-280; S.-Q.Y. designed the experiments and revised the manuscript; B.-G.W. supervised the research work and revised the manuscript. All authors have read and agreed to the published version of the manuscript.
Funding
This work was financially supported by the National Natural Science Foundation of China (W2411036 and 42476097), by the Shandong Provincial Natural Science Foundation (ZR2019ZD18 and ZR2021ZD28), and by the Senior User Project of RV KEXUE (KEXUE2020GZ02).
Institutional Review Board Statement
Not applicable.
Data Availability Statement
The data are included in the article and the Supplementary Material.
Acknowledgments
The authors acknowledge the crew and technicians of RV KEXUE (https://cstr.cn/31114.02.MORV, accessed on 15 October 2024) for providing support and assistance in sample collection and appreciate the Oceanographic Data Center at IOCAS for CPU time.
Conflicts of Interest
The authors declare no conflict of interest.
References
- Zhang, C.W.; Peng, Y.Y.; Liu, X.Y.; Wang, J.N.; Dong, X.Y. Deep-sea microbial genetic resources: New frontiers for bioprospecting. Trends Microbiol. 2024, 32, 321–324. [Google Scholar] [CrossRef] [PubMed]
- Skropeta, D.; Wei, L.Q. Recent advances in deep-sea natural products. Nat. Prod. Rep. 2014, 31, 999–1025. [Google Scholar] [CrossRef]
- Dong, X.; Zhang, T.; Wu, W.; Peng, Y.; Liu, X.; Han, Y.; Chen, X.; Gao, Z.; Xia, J.; Shao, Z.; et al. A vast repertoire of secondary metabolites potentially influences community dynamics and biogeochemical processes in cold seeps. Sci. Adv. 2024, 10, eadl2281. [Google Scholar] [CrossRef] [PubMed]
- Luo, P.; Huang, J.H.; Lv, J.M.; Wang, G.Q.; Hu, D.; Gao, H. Biosynthesis of fungal terpenoids. Nat. Prod. Rep. 2024, 41, 748–783. [Google Scholar] [CrossRef]
- Amand, S.; Vallet, M.; Guedon, L.; Genta-Jouve, G.; Wien, F.; Mann, S.; Dupont, J.; Prado, S.; Nay, B. A reactive eremophilane and its antibacterial 2(1H)-naphthalenone rearrangement product, witnesses of a microbial chemical warfare. Org. Lett. 2017, 19, 4038–4041. [Google Scholar] [CrossRef] [PubMed]
- Wang, M.; Zhang, Q.; Ren, Q.; Kong, X.; Wang, L.; Wang, H.; Xu, J.; Guo, Y. Isolation and characterization of sesquiterpenes from Celastrus orbiculatus and their antifungal activities against phytopathogenic fungi. J. Agric. Food Chem. 2014, 62, 10945–10953. [Google Scholar] [CrossRef] [PubMed]
- Zhao, Y.; Schenk, D.J.; Takahashi, S.; Chappell, J.; Coates, R.M. Eremophilane sesquiterpenes from Capsidiol. J. Org. Chem. 2004, 69, 7428–7435. [Google Scholar] [CrossRef]
- Mo, S.; Zhang, Y.; Jiang, R.; Zeng, H.; Huang, Z.; Yin, J.; Zhang, S.; Yao, J.; Wang, J.; Hu, Z.; et al. Dipeniroqueforins A–B and peniroqueforin D: Eremophilane-type sesquiterpenoid derivatives with cytotoxic activity from Penicillium roqueforti. J. Org. Chem. 2024, 89, 1209–1219. [Google Scholar] [CrossRef]
- Chen, W.H.; Yang, H.Y.; Wang, Y.X.; Wen, M.L.; Yang, Z.D.; Chen, J.J. Two new eremophilane-type sesquiterpenoids from Ligularia sagitta. Chem. Biodivers. 2022, 19, e202200762. [Google Scholar] [CrossRef] [PubMed]
- Chen, X.D.; Yang, S.Q.; Li, X.M.; Wang, B.G.; Li, X. Antibacterial polyketides and ascochlorins from deep-sea cold-seep-derived fungus Furcasterigmium furcatum (syn. Acremonium furcatum). Deep Sea Res. Part I 2023, 199, 104114. [Google Scholar] [CrossRef]
- Marmann, A.; Aly, A.H.; Lin, W.; Wang, B.; Proksch, P. Co-cultivation—A powerful emerging tool for enhancing the chemical diversity of microorganisms. Mar. Drugs 2014, 12, 1043–1065. [Google Scholar] [CrossRef] [PubMed]
- Okada, B.K.; Seyedsayamdost, M.R. Antibiotic dialogues: Induction of silent biosynthetic gene clusters by exogenous small molecules. FEMS Microbiol. Rev. 2017, 41, 19–33. [Google Scholar] [CrossRef] [PubMed]
- Pettit, R.K. Mixed fermentation for natural product drug discovery. Appl. Microbiol. Biotechnol. 2009, 83, 19–25. [Google Scholar] [CrossRef]
- Hao, X.; Li, S.; Ni, J.; Wang, G.; Li, F.; Li, Q.; Chen, S.; Shu, J.; Gan, M. Acremopeptaibols A–F, 16-residue peptaibols from the sponge-derived Acremonium sp. IMB18-086 cultivated with heat-killed Pseudomonas aeruginosa. J. Nat. Prod. 2021, 84, 2990–3000. [Google Scholar] [CrossRef] [PubMed]
- Hao, X.; Li, S.; Li, J.; Wang, G.; Li, J.; Peng, Z.; Gan, M. Acremosides A–G, sugar alcohol-conjugated acyclic sesquiterpenes from a sponge-derived Acremonium species. J. Nat. Prod. 2024, 87, 1059–1066. [Google Scholar] [CrossRef]
- Sørensen, D.; Raditsis, A.; Trimble, L.A.; Blackwell, B.A.; Sumarah, M.W.; Miller, J.D. Isolation and structure elucidation by LC-MS-SPE/NMR: PR toxin- and cuspidatol-related eremophilane sesquiterpenes from Penicillium roqueforti. J. Nat. Prod. 2007, 70, 121–123. [Google Scholar] [CrossRef] [PubMed]
- Wu, G.; Lin, A.; Gu, Q.; Zhu, T.; Li, D. Four new chloro-eremophilane sesquiterpenes from an Antarctic deep-sea derived fungus, Penicillium sp. PR19N-1. Mar. Drugs 2013, 11, 1399–1408. [Google Scholar] [CrossRef]
- Oh, H.; Jensen, P.R.; Murphy, B.T.; Fiorilla, C.; Sullivan, J.F.; Ramsey, T.; Fenical, W. Cryptosphaerolide, a cytotoxic Mcl-1 inhibitor from a marine-derived Ascomycete related to the genus Cryptosphaeria. J. Nat. Prod. 2010, 73, 998–1001. [Google Scholar] [CrossRef]
- Guo, R.; Ren, Q.; Tang, Y.X.; Zhao, F.; Lin, B.; Huang, X.X.; Song, S.J. Sesquiterpenoids from the roots of Daphne genkwa Siebold et Zucc. With potential anti-inflammatory activity. Phytochemistry 2020, 174, 112348. [Google Scholar] [CrossRef] [PubMed]
- Citron, C.A.; Riclea, R.; Brock, N.L.; Dickschat, J.S. Biosynthesis of acorane sesquiterpenes by Trichoderma. RSC Adv. 2011, 1, 290–297. [Google Scholar] [CrossRef]
- Li, M.; Bi, J.; Lv, B.; Zheng, W.; Wang, Z.; Xiao, W.; Sun, Y.; Li, E. An experimental study of the anti-dysmenorrhea effect of Chinese herbal medicines used in Jin Gui Yao Lue. J. Ethnopharmacol. 2019, 245, 112181. [Google Scholar] [CrossRef]
- Mitchell, J.A.; Kirkby, N.S.; Ahmetaj-Shala, B.; Armstrong, P.C.; Crescente, M.; Ferreira, P.; Pires, M.E.L.; Vaja, R.; Warner, T.D. Cyclooxygenases and the cardiovascular system. Pharmacol. Ther. 2021, 217, 107624. [Google Scholar] [CrossRef]
- Dong, Y.L.; Li, X.M.; Shi, X.S.; Wang, Y.R.; Wang, B.G.; Meng, L.H. Diketopiperazine alkaloids and bisabolene sesquiterpenoids from Aspergillus versicolor AS-212, an endozoic fungus associated with deep-sea coral of Magellan Seamounts. Mar. Drugs 2023, 21, 293. [Google Scholar] [CrossRef] [PubMed]
- Ying, Z.; Li, X.M.; Yang, S.Q.; Li, H.L.; Li, X.; Wang, B.G.; Meng, L.H. Antifungal pseuboyenes A–J, bergamotene-derived sesquiterpenoids from a cold-seep-derived Pseudallescheria boydii. J. Nat. Prod. 2024, 87, 1347–1357. [Google Scholar] [CrossRef]
- Yan, L.H.; Li, P.H.; Li, X.M.; Yang, S.Q.; Liu, K.C.; Wang, B.G.; Li, X. Chevalinulins A and B, proangiogenic alkaloids with a spiro[bicyclo[2.2.2]octane-diketopiperazine] skeleton from deep-sea cold-seep-derived fungus Aspergillus chevalieri CS-122. Org. Lett. 2022, 24, 2684–2688. [Google Scholar]
- Crystallographic Data of Compounds 1, 3, and 4 Have Been Deposited in the Cambridge Crystallographic Data Centre as CCDCs 2369061, 2369062, and 2369063, Respectively. Available online: http://www.ccdc.cam.ac.uk/data_request/cif (accessed on 10 October 2024).
- Sheldrick, G.M. SADABS; Software for Empirical Absorption Correction; University of Göttingen: Göttingen, Germany, 1996. [Google Scholar]
- Sheldrick, G.M. SHELXTL; Structure Determination Software Programs; Bruker Analytical X-ray System Inc.: Madison, WI, USA, 1997. [Google Scholar]
- Sheldrick, G.M. SHELXL-97 and SHELXS-97; Program for X-ray Crystal Structure Solution and Refinement; University of Göttingen: Göttingen, Germany, 1997. [Google Scholar]
- Parsons, S.; Flack, H.D.; Wagner, T. Use of intensity quotients and differences in absolute structure refinement. Acta Crystallogr. Sect. B Struct. Sci. Cryst. Eng. Mater. 2013, B69, 249–259. [Google Scholar]
- Frisch, M.; Trucks, G.; Schlegel, H.; Scuseria, G.; Robb, M.; Cheeseman, J.; Scalmani, G.; Barone, V.; Mennucci, B.; Petersson, G. Gaussian 09, Revision D. 01 and Gaussian 16, Revision A. 03; Gaussian, Inc.: Wallingford, CT, USA, 2013. [Google Scholar]
- Trott, O.; Olson, A.J. Software news and update AutoDock Vina: Improving the speed and accuracy of docking with a new scoring function, efficient optimization, and multithreading. J. Comput. Chem. 2010, 31, 455–461. [Google Scholar] [CrossRef]
Disclaimer/Publisher’s Note: The statements, opinions and data contained in all publications are solely those of the individual author(s) and contributor(s) and not of MDPI and/or the editor(s). MDPI and/or the editor(s) disclaim responsibility for any injury to people or property resulting from any ideas, methods, instructions or products referred to in the content. |
© 2024 by the authors. Licensee MDPI, Basel, Switzerland. This article is an open access article distributed under the terms and conditions of the Creative Commons Attribution (CC BY) license (https://creativecommons.org/licenses/by/4.0/).






