Exploring the Therapeutical Potential of Asparagopsis armata Biomass: A Novel Approach for Acne Vulgaris Treatment
Abstract
1. Introduction
2. Results
2.1. Extraction Yield
2.2. Antioxidant Activity
2.3. Antimicrobial Susceptibility Testing (AST)
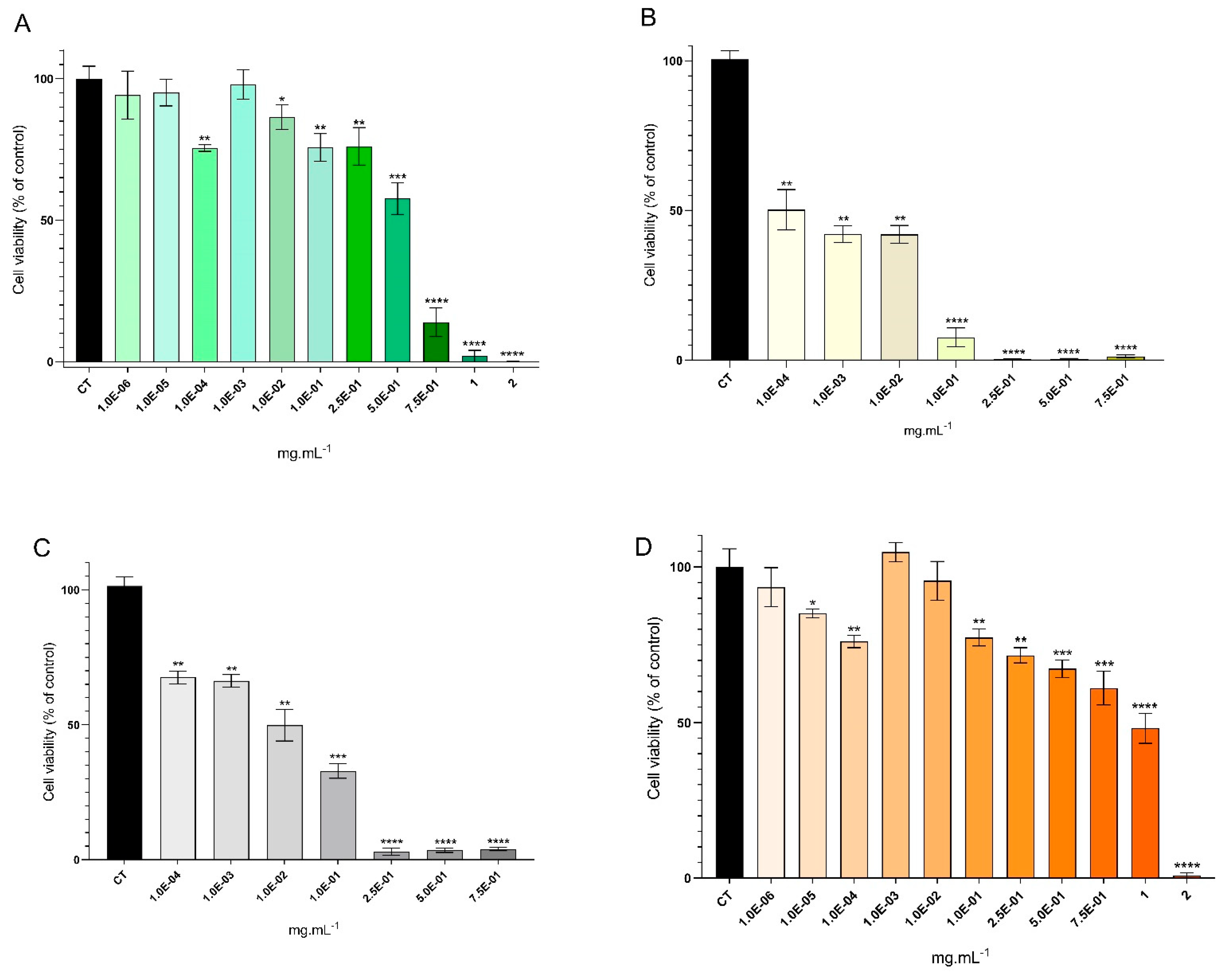
2.4. Cytotoxicity and Anti-Inflammatory Activity
2.4.1. Cytotoxicity Evaluation
2.4.2. Nitric Oxide (NO) Production
2.5. Chemical Characterization
2.5.1. Free Fatty Acids
2.5.2. Compound Screening
2.5.3. Element Profile
3. Discussion
4. Materials and Methods
4.1. Seaweed Collection and Extraction
4.2. Antioxidant Activity
4.3. Antimicrobial Susceptibility Testing
4.4. Cytotoxicity and Anti-Inflammatory Activity
4.4.1. Cell Culture of HaCaT and RAW 264.7 Cell Lines
4.4.2. Cytotoxicity Evaluation
4.4.3. Measurement of Nitric Oxide (NO) Production
4.5. Chemical Characterization of Asparagopsis armata Extracts and Fractions
4.5.1. Free Fatty Acids
4.5.2. Compound Screening
4.5.3. Element Profile
4.6. Statistical Analysis
5. Conclusions
Author Contributions
Funding
Institutional Review Board Statement
Data Availability Statement
Conflicts of Interest
References
- Abozeid, D.; Fawzy, G.; Issa, M.; Abdeltawab, N.; Soliman, F. Medicinal Plants and Their Constituents in the Treatment of Acne Vulgaris. Biointerface Res. Appl. Chem. 2023, 13, 189. [Google Scholar] [CrossRef]
- Vos, T.; Flaxman, A.D.; Naghavi, M.; Lozano, R.; Michaud, C.; Ezzati, M.; Shibuya, K.; Salomon, J.A.; Abdalla, S.; Aboyans, V.; et al. Years Lived with Disability (YLDs) for 1160 Sequelae of 289 Diseases and Injuries 1990–2010: A Systematic Analysis for the Global Burden of Disease Study 2010. Lancet 2012, 380, 2163–2196. [Google Scholar] [CrossRef] [PubMed]
- Januário, A.P.; Félix, R.; Félix, C.; Reboleira, J.; Valentão, P.; Lemos, M.F.L. Red Seaweed-Derived Compounds as a Potential New Approach for Acne Vulgaris Care. Pharmaceutics 2021, 13, 1930. [Google Scholar] [CrossRef] [PubMed]
- Tan, A.U.; Schlosser, B.J.; Paller, A.S. A Review of Diagnosis and Treatment of Acne in Adult Female Patients. Int. J. Womens Dermatol. 2018, 4, 56–71. [Google Scholar] [CrossRef]
- Koyanagi, S.; Koizumi, J.; Nakase, K.; Hayashi, N.; Horiuchi, Y.; Watanabe, K.; Asai, T.; Yamazaki, A.; Nakazaki, E.; Nakaminami, H. Increased Frequency of Clindamycin-Resistant Cutibacterium Acnes Strains Isolated from Japanese Patients with Acne Vulgaris Caused by the Prevalence of Exogenous Resistance Genes. J. Dermatol. 2023, 50, 793–799. [Google Scholar] [CrossRef]
- Mullan, K.; Ferris, K.; Thompson, A.; Loughran, C. Allergic Contact Dermatitis to a Common Topical Acne Treatment—An Unfamiliar Mimic of Angioedema. Ulst. Med. J. 2022, 91, 167. [Google Scholar]
- Zasada, M.; Budzisz, E. Retinoids: Active Molecules Influencing Skin Structure Formation in Cosmetic and Dermatological Treatments. Postep. Dermatol. Alergol. 2019, 36, 392–397. [Google Scholar] [CrossRef]
- Bagatin, E.; Thouvenin, M.D.; Bacquey, A.; Baradat, S.; Lauze, C.; Mengeaud, V.; Soares, J.L.M.; Andrade, L.d.S.M.; Miot, H.A.; Rocha, M.A. The Usefulness of a Dermocosmetic Containing Myrtus Communis Extract and Azelaic Acid for Maintenance Phase of Adult Female Acne: Results from a Randomized Exploratory Investigator-Blinded Comparative Study. J. Eur. Acad. Dermatol. Venereol. 2023, 37, 26–30. [Google Scholar] [CrossRef]
- Shafie, M.H.; Kamal, M.L.; Zulkiflee, F.F.; Hasan, S.; Uyup, N.H.; Abdullah, S.; Mohamed Hussin, N.A.; Tan, Y.C.; Zafarina, Z. Application of Carrageenan Extract from Red Seaweed (Rhodophyta) in Cosmetic Products: A Review. J. Indian Chem. Soc. 2022, 99, 100613. [Google Scholar] [CrossRef]
- Ashkenazi, D.Y.; Figueroa, F.L.; Korbee, N.; García-Sánchez, M.; Vega, J.; Ben-Valid, S.; Paz, G.; Salomon, E.; Israel, Á.; Abelson, A. Enhancing Bioproducts in Seaweeds via Sustainable Aquaculture: Antioxidant and Sun-Protection Compounds. Mar. Drugs 2022, 20, 767. [Google Scholar] [CrossRef]
- Vega, J.; Schneider, G.; Moreira, B.R.; Herrera, C.; Bonomi-Barufi, J.; Figueroa, F.L. Mycosporine-like Amino Acids from Red Macroalgae: Uv-Photoprotectors with Potential Cosmeceutical Applications. Appl. Sci. 2021, 11, 5112. [Google Scholar] [CrossRef]
- Freitas, M.V.; Inácio, L.G.; Martins, M.; Afonso, C.; Pereira, L.; Mouga, T. Primary Composition and Pigments of 11 Red Seaweed Species from the Center of Portugal. J. Mar. Sci. Eng. 2022, 10, 1168. [Google Scholar] [CrossRef]
- Jiang, Z.; Hama, Y.; Yamaguchi, K.; Oda, T. Inhibitory Effect of Sulphated Polysaccharide Porphyran on Nitric Oxide Production in Lipopolysaccharide-Stimulated RAW264.7 Macrophages. J. Biochem. 2012, 151, 65–74. [Google Scholar] [CrossRef]
- Pérez, M.J.; Falqué, E.; Domínguez, H. Antimicrobial Action of Compounds from Marine Seaweed. Mar. Drugs 2016, 14, 52. [Google Scholar] [CrossRef] [PubMed]
- Guiry, M.D.; Dawes, C.J. Daylength, Temperature and Nutrient Control of Tetrasporogenesis in Asparagopsis Armata (Rhodophyta). J. Exp. Mar. Biol. Ecol. 1992, 158, 197–217. [Google Scholar] [CrossRef]
- Lopes, G.; Sousa, C.; Bernardo, J.; Andrade, P.B.; Valentão, P.; Ferreres, F.; Mouga, T. Sterol Profiles in 18 Macroalgae of the Portuguese Coast. J. Phycol. 2011, 47, 1210–1218. [Google Scholar] [CrossRef]
- Ponte, J.M.S.; Seca, A.M.L.; Barreto, M.C. Asparagopsis Genus: What We Really Know About Its Biological Activities and Chemical Composition. Molecules 2022, 27, 1787. [Google Scholar] [CrossRef]
- Silva, C.O.; Simões, T.; Félix, R.; Soares, A.M.V.M.; Barata, C.; Novais, S.C.; Lemos, M.F.L. Asparagopsis Armata Exudate Cocktail: The Quest for the Mechanisms of Toxic Action of an Invasive Seaweed on Marine Invertebrates. Biology 2021, 10, 223. [Google Scholar] [CrossRef]
- Kraan, S.; Barrington, K.A. Commercial Farming of Asparagopsis Armata (Bonnemaisoniceae, Rhodophyta) in Ireland, Maintenance of an Introduced Species? J. Appl. Phycol. 2005, 17, 103–110. [Google Scholar] [CrossRef]
- Lee, S.H.; Chow, P.S.; Yagnik, C.K. Developing Eco-Friendly Skin Care Formulations with Microemulsions of Essential Oil. Cosmetics 2022, 9, 30. [Google Scholar] [CrossRef]
- Dini, I. The Potential of Algae in the Nutricosmetic Sector. Molecules 2023, 28, 4032. [Google Scholar] [CrossRef] [PubMed]
- Félix, R.; Dias, P.; Félix, C.; Cerqueira, T.; Andrade, P.B.; Valentão, P.; Lemos, M.F.L. The Biotechnological Potential of Asparagopsis Armata: What Is Known of Its Chemical Composition, Bioactivities and Current Market? Algal Res. 2021, 60, 102534. [Google Scholar] [CrossRef]
- Mahmood, N.F.; Shipman, A.R. The Age-Old Problem of Acne. Int. J. Womens Dermatol. 2017, 3, 71–76. [Google Scholar] [CrossRef] [PubMed]
- Lee, K.W.; Hyeon Heo, S.; Lee, J.; Park, S.I.; Kim, M.; Shin, M.S. Antimicrobial, Antioxidative, Elastase and Tyrosinase Inhibitory Effect of Supercritical and Hydrothermal Asparagopsis Armata Extract. Int. J. Adv. Cult. Technol. 2020, 8, 231–240. [Google Scholar]
- Feki, A.; Cherif, B.; Sellem, I.; Naifar, M.; Ben Amar, I.; Ben Azaza, Y.; Kallel, R.; Hariz, L.; Zeghal, S.; Makni Ayadi, F.; et al. Biomedical Applications of Polysaccharide Derived from Tetrasporophyte Tufts of Asparagopsis Armata (Falkenbergia Rufolanosa): Focus on Antioxidant, Anti-Inflammatory, Anti-Coagulant and Hepato-Protective Activities. Algal Res. 2023, 69, 102958. [Google Scholar] [CrossRef]
- Félix, R.; Carmona, A.M.; Félix, C.; Novais, S.C.; Lemos, M.F.L. Industry-Friendly Hydroethanolic Extraction Protocols for Grateloupia Turuturu UV-Shielding and Antioxidant Compounds. Appl. Sci. 2020, 10, 5304. [Google Scholar] [CrossRef]
- Soleimani, S.; Yousefzadi, M.; Babaei Mahani Nezhad, S.; Pozharitskaya, O.N.; Shikov, A.N. Potential of the Ethyl Acetate Fraction of Padina Boergesenii as a Natural UV Filter in Sunscreen Cream Formulation. Life 2023, 13, 239. [Google Scholar] [CrossRef]
- Pinto, D.C.G.A.; Lesenfants, M.L.; Rosa, G.P.; Barreto, M.C.; Silva, A.M.S.; Seca, A.M.L. GC-and UHPLC-MS Profiles as a Tool to Valorize the Red Alga Asparagopsis Armata. Appl. Sci. 2022, 12, 892. [Google Scholar] [CrossRef]
- Yang, J.H.; Yoon, J.Y.; Moon, J.; Min, S.; Kwon, H.H.; Suh, D.H. Expression of Inflammatory and Fibrogenetic Markers in Acne Hypertrophic Scar Formation: Focusing on Role of TGF-β and IGF-1R. Arch. Dermatol. Res. 2018, 310, 665–673. [Google Scholar] [CrossRef]
- Brglez Mojzer, E.; Knez Hrnčič, M.; Škerget, M.; Knez, Ž.; Bren, U. Polyphenols: Extraction Methods, Antioxidative Action, Bioavailability and Anticarcinogenic Effects. Molecules 2016, 21, 901. [Google Scholar] [CrossRef]
- Gil-Martín, E.; Forbes-Hernández, T.; Romero, A.; Cianciosi, D.; Giampieri, F.; Battino, M. Influence of the Extraction Method on the Recovery of Bioactive Phenolic Compounds from Food Industry By-Products. Food Chem. 2022, 378, 131918. [Google Scholar] [CrossRef] [PubMed]
- Chakraborty, K.; Joseph, D.; Praveen, N.K. Antioxidant Activities and Phenolic Contents of Three Red Seaweeds (Division: Rhodophyta) Harvested from the Gulf of Mannar of Peninsular India. J. Food Sci. Technol. 2015, 52, 1924–1935. [Google Scholar] [CrossRef] [PubMed]
- Lin, Y.; Shi, R.; Wang, X.; Shen, H.-M. Luteolin, a Flavonoid with Potential for Cancer Prevention and Therapy. Curr. Cancer Drug Targets 2008, 8, 634–646. [Google Scholar] [CrossRef] [PubMed]
- Wang, G.; Wang, J.; Liu, W.; Nisar, M.F.; El-Esawi, M.A.; Wan, C. Biological Activities and Chemistry of Triterpene Saponins from Medicago Species: An Update Review. Evid.-Based Complement. Altern. Med. 2021, 2021, 6617916. [Google Scholar] [CrossRef]
- Marques, F.; Lopes, D.; Conde, T.; Melo, T.; Silva, J.; Abreu, M.H.; Domingues, P.; Domingues, M.R. Lipidomic Characterization and Antioxidant Activity of Macro- and Microalgae Blend. Life 2023, 13, 231. [Google Scholar] [CrossRef]
- Mortensen, M.S.; Ruiz, J.; Watts, J.L. Polyunsaturated Fatty Acids Drive Lipid Peroxidation during Ferroptosis. Cells 2023, 12, 804. [Google Scholar] [CrossRef]
- Rhimou, B. Antioxidant Activity of Rhodophyceae Extracts from Atlantic and Mediterranean Coasts of Morocco. Afr. J. Plant Sci. 2013, 7, 110–117. [Google Scholar] [CrossRef]
- Vega, J.; Catalá, T.S.; García-Márquez, J.; Speidel, L.G.; Arijo, S.; Cornelius Kunz, N.; Geisler, C.; Figueroa, F.L. Molecular Diversity and Biochemical Content in Two Invasive Alien Species: Looking for Chemical Similarities and Bioactivities. Mar. Drugs 2023, 21, 5. [Google Scholar] [CrossRef]
- Di, T.; Chen, G.; Sun, Y.; Ou, S.; Zeng, X.; Ye, H. Antioxidant and Immunostimulating Activities in Vitro of Sulfated Polysaccharides Isolated from Gracilaria Rubra. J. Funct. Foods 2017, 28, 64–75. [Google Scholar] [CrossRef]
- Wijesinghe, W.A.J.P.; Jeon, Y.J. Exploiting Biological Activities of Brown Seaweed Ecklonia Cava for Potential Industrial Applications: A Review. Int. J. Food Sci. Nutr. 2012, 63, 225–235. [Google Scholar] [CrossRef]
- Działo, M.; Mierziak, J.; Korzun, U.; Preisner, M.; Szopa, J.; Kulma, A. The Potential of Plant Phenolics in Prevention and Therapy of Skin Disorders. Int. J. Mol. Sci. 2016, 17, 160. [Google Scholar] [CrossRef] [PubMed]
- Gupta, R.K.; Patel, A.K.; Shah, N.; Chaudhary, A.K.; Jha, U.K.; Yadav, U.C.; Gupta, P.K.; Pakuwal, U. Oxidative Stress and Antioxidants in Disease and Cancer: A Review. Asian Pac. J. Cancer Prev. 2014, 15, 4405–4409. [Google Scholar] [CrossRef] [PubMed]
- Owen, S.C.; Doak, A.K.; Ganesh, A.N.; Nedyalkova, L.; McLaughlin, C.K.; Shoichet, B.K.; Shoichet, M.S. Colloidal Drug Formulations Can Explain “Bell-Shaped” Concentration-Response Curves. ACS Chem. Biol. 2014, 9, 777–784. [Google Scholar] [CrossRef] [PubMed]
- Rodriguez, C.A.; Agudelo, M.; Zuluaga, A.F.; Vesga, O. In Vitro and in Vivo Comparison of the Anti-Staphylococcal Efficacy of Generic Products and the Innovator of Oxacillin. BMC Infect. Dis. 2010, 10, 153. [Google Scholar] [CrossRef] [PubMed]
- Bisson, J.; McAlpine, J.B.; Friesen, J.B.; Chen, S.N.; Graham, J.; Pauli, G.F. Can Invalid Bioactives Undermine Natural Product-Based Drug Discovery? J. Med. Chem. 2016, 59, 1671–1690. [Google Scholar] [CrossRef]
- Bagwell, C.L.; Moloney, M.G.; Thompson, A.L. On the Antibiotic Activity of Oxazolomycin. Bioorg. Med. Chem. Lett. 2008, 18, 4081–4086. [Google Scholar] [CrossRef]
- Calabrese, E.J.; Hoffmann, G.R.; Stanek, E.J.; Nascarella, M.A. Hormesis in High-Throughput Screening of Antibacterial Compounds in e Coli. Hum. Exp. Toxicol. 2010, 29, 667–677. [Google Scholar] [CrossRef]
- O’Reilly, M.C.; Blackwell, H.E. Structure-Based Design and Biological Evaluation of Triphenyl Scaffold-Based Hybrid Compounds as Hydrolytically Stable Modulators of a LuxR-Type Quorum Sensing Receptor. ACS Infect. Dis. 2016, 2, 32–38. [Google Scholar] [CrossRef]
- Zingue, S.; Nde, C.B.M.; Michel, T.; Ndinteh, D.T.; Tchatchou, J.; Adamou, M.; Fernandez, X.; Fohouo, F.N.T.; Clyne, C.; Njamen, D. Ethanol-Extracted Cameroonian Propolis Exerts Estrogenic Effects and Alleviates Hot Flushes in Ovariectomized Wistar Rats. BMC Complement. Altern. Med. 2017, 17, 65. [Google Scholar] [CrossRef]
- Mallikarjuna, K.; Al-Mohaimeed, A.M.; Al-Farrzj, D.A.; Reddy, L.V.; Reddy, M.R.V.; Mohammed, A. Facile Synthesis, Characterization, Anti-Microbial and Anti-Oxidant Properties of Alkylamine Functionalized Dumb-Bell Shaped Copper-Silver Nanostructures. Crystals 2020, 10, 966. [Google Scholar] [CrossRef]
- Liu, X.; Liu, R.; Zhao, R.; Wang, J.; Cheng, Y.; Liu, Q.; Wang, Y.; Yang, S. Synergistic Interaction Between Paired Combinations of Natural Antimicrobials Against Poultry-Borne Pathogens. Front. Microbiol. 2022, 13, 811784. [Google Scholar] [CrossRef] [PubMed]
- Masterson, K.; Major, I.; Lynch, M.; Rowan, N. Synergy Assessment of Four Antimicrobial Bioactive Compounds for the Combinational Treatment of Bacterial Pathogens. Biomedicines 2023, 11, 2216. [Google Scholar] [CrossRef] [PubMed]
- Repash, E.M.; Pensabene, K.M.; Palenchar, P.M.; Eggler, A.L. Solving the Problem of Assessing Synergy and Antagonism for Non-Traditional Dosing Curve Compounds Using the DE/ZI Method: Application to Nrf2 Activators. Front. Pharmacol. 2021, 12, 686201. [Google Scholar] [CrossRef] [PubMed]
- Salvador, N.; Gómez Garreta, A.; Lavelli, L.; Ribera, M.A. Antimicrobial Activity of Iberian Macroalgae. Sci. Mar. 2007, 71, 101–114. [Google Scholar] [CrossRef]
- Pinteus, S.; Alves, C.; Monteiro, H.; Araújo, E.; Horta, A.; Pedrosa, R. Asparagopsis Armata and Sphaerococcus Coronopifolius as a Natural Source of Antimicrobial Compounds. World J. Microbiol. Biotechnol. 2015, 31, 445–451. [Google Scholar] [CrossRef]
- Pinteus, S.; Lemos, M.F.L.; Simões, M.; Alves, C.; Silva, J.; Gaspar, H.; Martins, A.; Rodrigues, A.; Pedrosa, R. Marine Invasive Species for High-Value Products’ Exploration—Unveiling the Antimicrobial Potential of Asparagopsis Armata against Human Pathogens. Algal Res. 2020, 52, 102091. [Google Scholar] [CrossRef]
- Parchemin, C.; Raviglione, D.; Mejait, A.; Sasal, P.; Faliex, E.; Clerissi, C.; Tapissier-Bontemps, N. Antibacterial Activities and Life Cycle Stages of Asparagopsis Armata: Implications of the Metabolome and Microbiome. Mar. Drugs 2023, 21, 363. [Google Scholar] [CrossRef]
- Ribeiro-Vidal, H.; Sánchez, M.C.; Alonso-Español, A.; Figuero, E.; Ciudad, M.J.; Collado, L.; Herrera, D.; Sanz, M. Antimicrobial Activity of Epa and Dha against Oral Pathogenic Bacteria Using an in Vitro Multi-Species Subgingival Biofilm Model. Nutrients 2020, 12, 2812. [Google Scholar] [CrossRef]
- Khoshnood, S.; Negahdari, B.; Kaviar, V.H.; Sadeghifard, N.; Abdullah, M.A.; El-Shazly, M.; Haddadi, M.H. Amoxicillin-Docosahexaenoic Acid Encapsulated Chitosan-Alginate Nanoparticles as a Delivery System with Enhanced Biocidal Activities against Helicobacter Pylori and Improved Ulcer Healing. Front. Microbiol. 2023, 14, 1083330. [Google Scholar] [CrossRef]
- Rao, M.J.; Tahir ul Qamar, M.; Wang, D.; Ali, Q.; Ma, L.; Han, S.; Duan, M.; Hu, L.; Wang, L. A High-Throughput Lipidomics and Transcriptomic Approach Reveals Novel Compounds from Sugarcane Linked with Promising Therapeutic Potential against COVID-19. Front. Nutr. 2022, 9, 988249. [Google Scholar] [CrossRef]
- Morizane, S.; Mukai, T.; Sunagawa, K.; Tachibana, K.; Kawakami, Y.; Ouchida, M. “Input/Output Cytokines” in Epidermal Keratinocytes and the Involvement in Inflammatory Skin Diseases. Front. Immunol. 2023, 14, 1239598. [Google Scholar] [CrossRef] [PubMed]
- Ha, Y.; Lee, W.H.; Woo Jeong, J.; Park, M.; Ko, J.Y.; Wook Kwon, O.; Lee, J.; Kim, Y.J. Pyropia Yezoensis Extract Suppresses Ifn-Gammaand Tnf-Alpha-Induced Proinflammatory Chemokine Production in HaCaT Cells via the down-Regulation of NF-ΚB. Nutrients 2020, 12, 1238. [Google Scholar] [CrossRef] [PubMed]
- Piao, M.J.; Hyun, Y.J.; Oh, T.H.; Kang, H.K.; Yoo, E.S.; Koh, Y.S.; Lee, N.H.; Suh, I.S.; Hyun, J.W. Chondracanthus tenellus (Harvey) Hommersand Extract Protects the Human Keratinocyte Cell Line by Blocking Free Radicals and UVB Radiation-Induced Cell Damage. Vitr. Cell Dev. Biol. Anim. 2012, 48, 666–674. [Google Scholar] [CrossRef] [PubMed]
- Kim, I.; Kim, S.; Manggau, M.; Anwar, H.; Kwon, N.; Baek, K.; Yun, H.-Y.; Kim, D.-S. Red Seaweed (Eucheuma Cottonii) Extract Promotes Human Keratinocyte Migration via P38 Mitogen-Activated Protein Kinase Phosphorylation. Pharmacogn. Mag. 2020, 16, 192–196. [Google Scholar] [CrossRef]
- Álvarez-Gómez, F.; Korbee, N.; Casas-Arrojo, V.; Abdala-Díaz, R.T.; Figueroa, F.L. UV Photoprotection, Cytotoxicity and Immunology Capacity of Red Algae Extracts. Molecules 2019, 24, 341. [Google Scholar] [CrossRef]
- Phaniendra, A.; Jestadi, D.B.; Periyasamy, L. Free Radicals: Properties, Sources, Targets, and Their Implication in Various Diseases. Indian J. Clin. Biochem. 2015, 30, 11–26. [Google Scholar] [CrossRef]
- Sharma, J.N.; Al-Omran, A.; Parvathy, S.S. Role of Nitric Oxide in Inflammatory Diseases. Inflammopharmacology 2007, 15, 252–259. [Google Scholar] [CrossRef]
- Mellouk, Z.; Benammar, I.; Krouf, D.; Goudjil, M.; Okbi, M.; Malaisse, W. Antioxidant Properties of the Red Alga Asparagopsis Taxiformis Collected on the North West Algerian Coast. Exp. Ther. Med. 2017, 13, 3281–3290. [Google Scholar] [CrossRef]
- Ferreira, J.; Hartmann, A.; Martins-Gomes, C.; Nunes, F.M.; Souto, E.B.; Santos, D.L.; Abreu, H.; Pereira, R.; Pacheco, M.; Gaivão, I.; et al. Red Seaweeds Strengthening the Nexus between Nutrition and Health: Phytochemical Characterization and Bioactive Properties of Grateloupia Turuturu and Porphyra Umbilicalis Extracts. J. Appl. Phycol. 2021, 33, 3365–3381. [Google Scholar] [CrossRef]
- Félix, C.; Félix, R.; Carmona, A.M.; Januário, A.P.; Dias, P.D.M.; Vicente, T.F.L.; Silva, J.; Alves, C.; Pedrosa, R.; Novais, S.C.; et al. Cosmeceutical Potential of Grateloupia Turuturu: Using Low-Cost Extraction Methodologies to Obtain Added-Value Extracts. Appl. Sci. 2021, 11, 1650. [Google Scholar] [CrossRef]
- Pereira, H.; Barreira, L.; Figueiredo, F.; Custódio, L.; Vizetto-Duarte, C.; Polo, C.; Rešek, E.; Aschwin, E.; Varela, J. Polyunsaturated Fatty Acids of Marine Macroalgae: Potential for Nutritional and Pharmaceutical Applications. Mar. Drugs 2012, 10, 1920–1935. [Google Scholar] [CrossRef] [PubMed]
- Rocha, C.P.; Pacheco, D.; Cotas, J.; Marques, J.C.; Pereira, L.; Gonçalves, A.M.M. Seaweeds as Valuable Sources of Essential Fatty Acids for Human Nutrition. Int. J. Environ. Res. Public Health 2021, 18, 4968. [Google Scholar] [CrossRef] [PubMed]
- Parchemin, C.; Raviglione, D.; Ghosson, H.; Salvia, M.V.; Goossens, C.; Sasal, P.; Faliex, E.; Tapissier-Bontemps, N. Development of a Multiblock Metabolomics Approach to Explore Metabolite Variations of Two Algae of the Genus Asparagopsis Linked to Interspecies and Temporal Factors. Algal Res. 2023, 72, 103138. [Google Scholar] [CrossRef]
- Plaza, M.; Herrero, M.; Alejandro Cifuentes, A.; Ibáñez, E. Innovative Natural Functional Ingredients from Microalgae. J. Agric. Food Chem. 2009, 57, 7159–7170. [Google Scholar] [CrossRef]
- Guedes, A.C.; Amaro, H.M.; Malcata, F.X. Microalgae as Sources of High Added-Value Compounds—A Brief Review of Recent Work. Biotechnol. Prog. 2011, 27, 597–613. [Google Scholar] [CrossRef]
- Manilal, A.; Selvin, J.; Thajuddin, N.; Sujith, S.; Panikkar, M.V.N.; Idhayadhulla, A.; Kumar, R.S. Biopotentials of Marine Alga, Lobophora Variegate Collected from the South Indian Littoral. Thalassas 2012, 28, 47–54. [Google Scholar]
- Santos, S.A.O.; Félix, R.; Pais, A.C.S.; Rocha, S.M.; Silvestre, A.J.D. The Quest for Phenolic Compounds from Macroalgae: A Review of Extraction and Identification Methodologies. Biomolecules 2019, 9, 847. [Google Scholar] [CrossRef]
- Ward, O.P.; Singh, A. Omega-3/6 Fatty Acids: Alternative Sources of Production. Process Biochem. 2005, 40, 3627–3652. [Google Scholar] [CrossRef]
- Dinicolantonio, J.J.; O’Keefe, J.H. Importance of Maintaining a Low Omega-6/Omega-3 Ratio for Reducing Inflammation. Open Heart 2018, 5, e000946. [Google Scholar] [CrossRef]
- Paul, N.A.; De Nys, R.; Steinberg, P.D. Chemical Defence against Bacteria in the Red Alga Asparagopsis Armata: Linking Structure with Function. Mar. Ecol. Prog. Ser. 2006, 306, 87–101. [Google Scholar] [CrossRef]
- Mata, L.; Wright, E.; Owens, L.; Paul, N.; de Nys, R. Water-Soluble Natural Products from Seaweed Have Limited Potential in Controlling Bacterial Pathogens in Fish Aquaculture. J. Appl. Phycol. 2013, 25, 1963–1973. [Google Scholar] [CrossRef]
- Hutchings, J.L.; Grebneva, Y.; Dilmetz, S.J.; Pincher, D.W.M.; Hoffmann, P. Analytical Methods for the Analysis of Bromoform in Red Seaweed Asparagopsis Armata and Asparagopsis Taxiformis—A Review. Algal Res. 2024, 79, 103478. [Google Scholar] [CrossRef]
- Min, B.R.; Parker, D.; Brauer, D.; Waldrip, H.; Lockard, C.; Hales, K.; Akbay, A.; Augyte, S. The Role of Seaweed as a Potential Dietary Supplementation for Enteric Methane Mitigation in Ruminants: Challenges and Opportunities. Anim. Nutr. 2021, 7, 1371–1387. [Google Scholar] [CrossRef] [PubMed]
- Nunes, H.P.B.; Maduro Dias, C.S.A.M.; Álvaro, N.V.; Borba, A.E.S. Evaluation of Two Species of Macroalgae from Azores Sea as Potential Reducers of Ruminal Methane Production: In Vitro Ruminal Assay. Animals 2024, 14, 967. [Google Scholar] [CrossRef] [PubMed]
- Hecht, D.W. National Committee for Clinical Laboratory Standards. In Methods for Antimicrobial Susceptibility Testing of Anaerobic Bacteria: Approved Standard, 6th ed.; NCCLS: Wayne, PA, USA, 2004; ISBN 1562385178. [Google Scholar]
- Saha, S.K.; Hayes, J.; Moane, S.; Murray, P. Tagging of Biomolecules with Deuterated Water (D2O) in Commercially Important Microalgae. Biotechnol. Lett. 2013, 35, 1067–1072. [Google Scholar] [CrossRef]
- Duarte, B.; Mamede, R.; Duarte, I.A.; Caçador, I.; Reis-Santos, P.; Vasconcelos, R.P.; Gameiro, C.; Rosa, R.; Tanner, S.E.; Fonseca, V.F. Elemental and Spectral Chemometric Analyses of Octopus Vulgaris Beaks as Reliable Markers of Capture Location. J. Food Sci. 2023, 88, 1349–1364. [Google Scholar] [CrossRef]







| Water/Ethanol (50:50 v/v) | Yield % (m/m) 1 | Water/Solvent (50:50 v/v) | Yield % (m/m) 2 |
|---|---|---|---|
| HE R1 | 15.01% | HEH | 2.97% |
| HE R2 | 13.15% | HEEA | 4.09% |
| HE R3 | 13.92% | HEW | 92.94% |
| Compound | RT | m/z | Calc. m/z | |Diff| (ppm) | Mass | Formula | Mode |
|---|---|---|---|---|---|---|---|
| 2-Hydroxyethanesulfonate | 2.437 | 124.9913 | [M − H]− 124.9914 | 0.80 | 125.9986 | C2 H6 O4 S | - |
| Malyngamide L | 9.944 | 485.3123 | [M + NH4]+ 485.3152 | 5.89 | 467.2782 | C26 H42 Cl N O4 | + |
| PI (13:0/12:0) | 10.192 | 713.4203 | [M − H]− 713.4247 | 6.17 | 712.4131 | C34 H65 O13 P | + |
| 3,11-dihydroxymyristic acid | 14.924 | 259.1897 | [M − H]− 259.1915 | 6.94 | 260.1969 | C14 H28 O4 | - |
| Prostaglandin F2α | 29.667 | 473.2763 | [M + HCOO]− 473.2745 | 3.80 | 428.2789 | C23 H40 O7 | - |
| (3xi,6E)-1,7-Diphenyl-6-hepten-3-ol | 31.458 | 266.1657 | [M●]− 265.1598 | 7.14 | 266.1681 | C19 H22 O | - |
| Compound | RT | m/z | Calc. m/z | |Diff| (ppm) | Mass | Formula | Mode |
|---|---|---|---|---|---|---|---|
| Galactosylglycerol | 2.469 | 277.0907 | [M + Na]+ 277.0894 | 4.69 | 254.1012 | C9 H18 O8 | + |
| O-Succinyl-L-homoserine | 6.797 | 237.1072 | [M + NH4]+ 237.1092 | 8.44 | 219.0734 | C8 H13 N O6 | + |
| PA (22:1(11Z)/0:0)) | 21.487 | 491.3140 | [M − H]− 491.3132 | 1.63 | 492.3212 | C25 H49 O7 P | - |
| 1,2-di-(9Z,12Z,15Z-octadecatrienoyl)-3-(8-(2E,4Z-decadienoyloxy)-5,6-octadienoyl)-sn-glycerol | 25.19 | 918.6828 | [M + NH4]+ 918.6817 | 1.20 | 900.6489 | C57 H88 O8 | + |
| PA (20:5(5Z,8Z,11Z,14Z,17Z)/22:6(4Z,7Z,10Z,13Z,16Z,19Z)) | 27.129 | 767.4639 | [M + H]+ 767.4646 | 0.91 | 766.4578 | C45 H67 O8 P | + |
| Prostaglandin F2α | 29.812 | 473.2754 | [M + HCOO]− 473.2745 | 1.90 | 428.2776 | C23 H40 O7 | - |
| PG (P-20:0/22:2(13Z,16Z)) | 34.244 | 860.6757 | [M + NH4]+ 860.6734 | 2.67 | 842.6406 | C48 H91 O9 P | + |
| PA (21:0/22:2(13Z,16Z)) | 34.809 | 816.6504 | [M + NH4]+ 816.6477 | 3.31 | 798.6156 | C46 H87 O8 P | + |
| MGDG (16:0/18:2(9Z,12Z)) | 35.455 | 772.5951 | [M + NH4]+ 772.5933 | 2.33 | 754.5601 | C43 H78 O10 | + |
| Compound | RT | m/z | Calc. m/z | |Diff| (ppm) | Mass | Formula | Mode |
|---|---|---|---|---|---|---|---|
| PI (O-16:0/16:0) | 19.033 | 814.5822 | [M + NH4]+ 814.5804 | 2.21 | 796.5479 | C41 H81 O12 P | + |
| DG (24:1(15Z)/22:6(4Z,7Z,10Z,13Z,16Z,19Z)/0:0) | 27.737 | 751.6254 | [M + H]+ 751.6235 | 2.53 | 750.6177 | C49 H82 O5 | + |
| Gingerglycolipid A | 29.63 | 677.3760 | [M + H]+ 677.3743 | 2.51 | 676.3689 | C33 H56 O14 | + |
| Element | HE (MPDE) | HEH (MPDE) | HEEA (MPDE) | HEW (MPDE) |
|---|---|---|---|---|
| Br | 4.01 ± 0.30 | 0.45 ± 0.05 | 1.47 ± 0.08 | 4.35 ± 0.31 |
| Cl | 2.25 ± 0.56 | 0.045 ± 0.02 | 0.11 ± 0.01 | 1.98 ± 0.15 |
| Na | 1.56 ± 0.29 | 1.80 ± 0.17 | 0.82 ± 0.14 | 1.72 ± 0.39 |
| K | 0.52 ± 0.05 | 0.034 ± 0.01 | 0.06 ± 0.01 | 0.56 ± 0.05 |
| Ca | 0.32 ± 0.03 | 0.01 ± 0.01 | 0.04 ± 0.01 | 0.33 ± 0.02 |
| S | 0.28 ± 0.06 | 0.17 ± 0.02 | 0.07 ± 0.01 | 0.24 ± 0.01 |
| I | 0.22 ± 0.06 | 0.27 ± 0.03 | 0.95 ± 0.04 | 0.20 ± 0.03 |
| Mg | 0.08 ± 0.03 | 0.05 ± 0.05 | 0.01 ± 0.00 | 0.11 ± 0.02 |
| P | 0.03 ± 0.04 | 0.01 ± 0.01 | 0.02 ± 0.00 | 0.01 ± 0.02 |
Disclaimer/Publisher’s Note: The statements, opinions and data contained in all publications are solely those of the individual author(s) and contributor(s) and not of MDPI and/or the editor(s). MDPI and/or the editor(s) disclaim responsibility for any injury to people or property resulting from any ideas, methods, instructions or products referred to in the content. |
© 2024 by the authors. Licensee MDPI, Basel, Switzerland. This article is an open access article distributed under the terms and conditions of the Creative Commons Attribution (CC BY) license (https://creativecommons.org/licenses/by/4.0/).
Share and Cite
Januário, A.P.; Félix, C.; Félix, R.; Shiels, K.; Murray, P.; Valentão, P.; Lemos, M.F.L. Exploring the Therapeutical Potential of Asparagopsis armata Biomass: A Novel Approach for Acne Vulgaris Treatment. Mar. Drugs 2024, 22, 489. https://doi.org/10.3390/md22110489
Januário AP, Félix C, Félix R, Shiels K, Murray P, Valentão P, Lemos MFL. Exploring the Therapeutical Potential of Asparagopsis armata Biomass: A Novel Approach for Acne Vulgaris Treatment. Marine Drugs. 2024; 22(11):489. https://doi.org/10.3390/md22110489
Chicago/Turabian StyleJanuário, Adriana P., Carina Félix, Rafael Félix, Katie Shiels, Patrick Murray, Patrícia Valentão, and Marco F. L. Lemos. 2024. "Exploring the Therapeutical Potential of Asparagopsis armata Biomass: A Novel Approach for Acne Vulgaris Treatment" Marine Drugs 22, no. 11: 489. https://doi.org/10.3390/md22110489
APA StyleJanuário, A. P., Félix, C., Félix, R., Shiels, K., Murray, P., Valentão, P., & Lemos, M. F. L. (2024). Exploring the Therapeutical Potential of Asparagopsis armata Biomass: A Novel Approach for Acne Vulgaris Treatment. Marine Drugs, 22(11), 489. https://doi.org/10.3390/md22110489

