Unlocking the Potential of Octocoral-Derived Secondary Metabolites against Neutrophilic Inflammatory Response
Abstract
1. Introduction
2. Soft Corals—The Source of Anti-Inflammatory Lead Compounds
2.1. Sesquiterpenes and Derivatives
2.2. Diterpenes and Derivatives
2.2.1. Briarane-Type Diterpenes
2.2.2. Cembrane-Type Diterpenes
2.2.3. Eunicellin-Type Diterpenes and Derivatives
2.2.4. Xenicane-Type Diterpene
2.2.5. Miscellaneous Diterpenes
2.3. Biscembranes
2.4. Steroids
2.4.1. Sterols
2.4.2. 9,11-Secosterols
2.4.3. Gorgostane-Type Steroids
2.4.4. Withanolide-Type Steroids
2.4.5. Steroid Glycosides
2.4.6. Miscellaneous Steroids
2.5. Miscellaneous
3. Preliminary Structure–Activity Relationship of the Octocoral-Derived Secondary Metabolites
| Compound Name | Novelty | Chemical Classification | Source | Inhibitory Effects | Ref. | |
|---|---|---|---|---|---|---|
| O•− Generation | Elastase Release | |||||
| Clovan-2,9-dione (1) | New | Sesquiterpene | Rumphella antipathies | IC50 = 2.72 ± 0.93 μg/mL | IC50 = 6.73 ± 0.85 μg/mL | [65] |
| Antipacid B (2) | Novel | Sesquiterpene | Rumphella antipathies | IC50 = 11.22 μM | IC50 = 23.53 μM | [66] |
| Rumphellolide L (3) | New | Sesquiterpene | Rumphella antipathies | Inh% = 19.57 ± 3.69 (10 μg/mL) | IC50 = 7.63 μM | [66] |
| Junceol A (4) | New | Briarane-type diterpene | Junceella juncea | Inh% = 45.64 % (10 μg/mL) | [68] | |
| Junceol B (5) | New | Briarane-type diterpene | Junceella juncea | Inh% = 159.60 % (10 μg/mL) | [68] | |
| Junceol C (6) | New | Briarane-type diterpene | Junceella juncea | Inh% = 124.14 % (10 μg/mL) [68] | [68] | |
| Briarenolide F (7) | New | Briarane-type diterpene | Briareum sp. | IC50 = 3.82 ± 0.45 μg/mL | Inh% = 27.48 ± 6.60 (10 μg/mL) | [69] |
| Briarenolide J (8) | Novel | Briarane-type diterpene | Briareum sp. | IC50 = 14.98 μM | IC50 = 9.96 μM | [70] |
| Briarenol D (9) | New | Briarane-type diterpene | Briareum excavatum | IC50 = 4.65 μM | [71] | |
| Juncin Z (10) | New | Briarane-type diterpene | Junceella fragilis | Inh% = 25.56% (10 μM) | [72] | |
| Lobocrassin B (11) | New | Cembrane-type diterpene | Lobophytum crassum | IC50 = 4.8 ± 0.7 μg/mL | IC50 = 4.9 ± 0.4 μg/mL | [73] |
| Arbolide C (12) | New | Cembrane-type diterpene | Sinularia arborea | IC50 = 5.13 μg/mL | [74] | |
| Emblide (13) | Known | Cembrane-type diterpene | Sarcophyton tortuosum | Inh% = 29.2 ± 6.1 (10 μM) | [75] | |
| Isosarcophytonolide D (14) | Known | Cembrane-type diterpene | Sarcophyton glaucum | Inh% = 12.40 ± 2.56 (10 μM) | Inh% = 27.12 ± 3.08 (10 μM) | [76] |
| Sinulerectol C (15) | New | Cembrane-type diterpene | Sinularia erecta | Inh% = 24 ± 7 (10 μM) | Inh% = 33 ± 3 (10 μM) | [77] |
| 14-Deoxycrassin (16) | Known | Cembrane-type diterpene | Sinularia flexibilis | IC50 = 10.8 ± 0.38 μM | IC50 = 11.0 ± 1.52 μM | [59] |
| Flaccidodioxide (17) | New | Cembrane-type diterpene | Klyxum flaccidum | Inh% = 8.88 ± 3.33 (10 μM) | Inh% = 27.18 ± 4.05 (10 μM) | [78] |
| 14-O-Acetylsarcophytol B (18) | Known | Cembrane-type diterpene | Klyxum flaccidum | Inh% = 11.95 ± 2.53 (10 μM) | IC50 = 7.22 ± 0.85 μM | [78] |
| Cladielloide B (19) | New | Eunicellin-type diterpene | Cladiella sp. | IC50 = 5.9 ± 0.7 μg/mL | IC50 = 6.5 ± 1.9 μg/mL | [80] |
| Klymollin M (20) | New | Eunicellin-type diterpene | Klyxum molle | IC50 = 3.13 ± 0.39 μM | IC50 = 2.92 ± 0.27 μM | [81] |
| Krempfielin K (21) | New | Eunicellin-type diterpene | Cladiella krempfi | Inh% = 45.51 ± 2.69 (10 μM) | [82] | |
| Krempfielin M (22) | New | Eunicellin-type diterpene | Cladiella krempfi | Inh% = 27.30 ± 5.42 (10 μM) | [82] | |
| Krempfielin N (23) | New | Eunicellin-type diterpene | Cladiella krempfi | IC50 = 4.94 ± 1.68 μM | [83] | |
| Krempfielin P (24) | New | Eunicellin-type diterpene | Cladiella krempfi | Inh% = 23.32% ± 5.88 (10 μM) | Inh% = 35.54 ± 3.17 (10 μM) | [83] |
| Sclerophytin B (25) | Known | Eunicellin-type diterpene | Cladiella sp. | Inh% = 28.12 ± 3.61 (10 μM) | Inh% = 16.37 ± 8.14 (10 μM) | [84] |
| Cladieunicellin X (26) | Novel | Eunicellin-type diterpene | Cladiella sp. | IC50 = 7.18 ± 1.20 μM | IC50 = 7.83 ± 0.83 μM | [85] |
| Tsitsixenicin A (27) | New | Xenicane-type diterpene | Capnella thyrsoidea | Inh% = 68% at 1.25 µg/mL | [87] | |
| Tsitsixenicin B (28) | New | Xenicane-type diterpene | Capnella thyrsoidea | Inh% = 21% at 1.25 µg/mL | [87] | |
| Asterolaurin D (29) | New | Xenicane-type diterpene | Asterospicularia laurae | IC50 = 23.6 μM | IC50 = 18.7 μM | [88] |
| Echinohalimane A (30) | New | Halimane-type diterpene | Echinomuricea sp. | Inh% = 20.55 ± 5.18 (10 μg/mL) | IC50 = 0.38 ± 0.14 μg/mL | [89] |
| Cespitulin G (31) | New | Verticillane-type diterpene | Cespitularia taeniata | IC50 = 6.2 μg/mL | IC50 =2.7 μg/mL | [90] |
| Tortuosene A (32) | New | Tortuosane-type diterpene | Sarcophyton tortuosum | IC50 = 7.3 ± 0.8 μM | [75] | |
| Sinulerectol A (33) | New | Norcembrane-type diterpene | Sinularia erecta | IC50 = 2.3 ± 0.4 μM | IC50 = 0.9 ± 0.1 μM | [77] |
| Sinulerectol B (34) | New | Norcembrane-type diterpene | Sinularia erecta | IC50 = 8.5 ± 0.3 μM | IC50 = 3.8 ± 0.6 μM | [77] |
| 7-Epi-Pavidolide D (35) | New | Capnosane-type diterpene | Klyxum flaccidum | Inh% = 24.46 ± 6.99 (10 μM) | Inh% = 29.96 ± 6.14 (10 μM) | [78] |
| Lobovarol G (36) | New | Lobane-type diterpene | Lobophytum varium | Inh% = 18.1 ± 4.0 (10 μg/mL) | IC50 = 18.8 ± 1.8 μM | [91] |
| Loba-8,10,13(15)-trien-14,17,18-triol-14,17-diacetate (37) | Known | Lobane-type diterpene | Lobophytum varium | Inh% = 46.5 ± 5.8 (10 μg/mL) | IC50 = 6.9 ± 2.7 μM | [91] |
| Lobovarol I (38) | New | Prenyleudesmane-type diterpene | Lobophytum varium | Inh% = 40.2 ± 7.3 (10 μg/mL) | IC50 = 20.0 ± 3.0 μM | [91] |
| An eudesmane derivative (39) | Known | Prenyleudesmane-type diterpene | Lobophytum varium | IC50 = 13.7 ± 4.4 μM | IC50 = 4.4 ± 0.7 μM | [91] |
| Glaucumolide A (40) | Novel | Biscembrane | Sarcophyton glaucum | IC50 = 2.79 ± 0.66 μM | IC50 = 3.97 ± 0.10 μM | [76] |
| Glaucumolide B (41) | Novel | Biscembrane | Sarcophyton glaucum | IC50 = 2.79 ± 0.32 μM | IC50 = 3.97 ± 0.10 μM | [76] |
| Bistrochelide A (42) | Known | Biscembrane | Sarcophyton trocheliophorum | IC50 = 8.29 ± 0.48 μM | Inh% = 48.61 ± 0.96 (10 μM) | [79] |
| Bistrochelide B (43) | Known | Biscembrane | Sarcophyton trocheliophorum | Inh% = 45.39 ± 4.30 (10 μM) | Inh% = 38.67 ± 4.81 (10 μM) | [79] |
| Methyl tortuoate D (44) | Known | Biscembrane | Sarcophyton trocheliophorum | Inh% = 17.61 ± 1.99 (10 μM) | Inh% = 25.67 ± 5.27 (10 μM) | [79] |
| Ximaolide A (45) | Known | Biscembrane | Sarcophyton trocheliophorum | Inh% = 19.69 ± 5.00 | Inh% = 26.64 ± 5.02 (10 μM) | [79] |
| Klyflaccisteroid J (46) | New | Sterol | Klyxum flaccidum | IC50 = 5.64 ± 0.41 μM | IC50 = 4.40 ± 0.19 μM | [93] |
| Klyflaccisteroid M (47) | New | Sterol | Klyxum flaccidum | Inh% = 12.61 ± 1.70 (10 μM) | IC50 = 5.84 ± 0.33 10 μM | [94] |
| 5,6-Epoxylitosterol (48) | Known | Sterol | Litophyton columnaris | IC50 = 4.60 ± 0.85 μM | IC50 = 3.90 ± 0.88 μM | [95] |
| Michosterol A (49) | New | Sterol | Lobophytum michaelae | IC50 = 7.1 ± 0.3 μM | IC50 = 4.5 ± 0.9 μM | [96] |
| Michosterol B (50) | New | Sterol | Lobophytum michaelae | Inh% = 14.7 ± 5.7 (10 μM) | Inh% = 31.8 ± 5.0 (10 μM) | [96] |
| Michosterol C (51) | New | Sterol | Lobophytum michaelae | Inh% = 17.8 ± 2.8 (10 μM) | IC50 = 0.9 ± 0.1 μM | [96] |
| 5β,6β-Epoxy-3β,11-dihydroxy-24-methylene-9,11-secocholestan-9-one (52) | Known | Secosterol | Sinularia nanolobata | IC50 = 6.6 ± 0.6 μM | IC50 = 2.9 ± 0.5 μM | [98] |
| Pinnigorgiol A (53) | Novel | Secosterol | Pinnigorgia sp. | IC50 = 4.0 μM | IC50 = 5.3 μM | [99] |
| Pinnigorgiol B (54) | Novel | Secosterol | Pinnigorgia sp. | IC50 = 2.5 μM | IC50 = 3.1 μM | [99] |
| Pinnigorgiol C (55) | Novel | Secosterol | Pinnigorgia sp. | IC50 = 2.7 μM | IC50 = 2.7 μM | [99] |
| Pinnigorgiol D (56) | New | Secosterol | Pinnigorgia sp. | IC50 = 3.5 μM | IC50 = 2.1 μM | [100] |
| Pinnigorgiol E (57) | New | Secosterol | Pinnigorgia sp. | IC50 = 3.9 μM | IC50 = 1.6 μM | [100] |
| Pinnisterol A (58) | New | Secosterol | Pinnigorgia sp. | IC50 = 2.33 μM | IC50 = 3.32 μM | [101] |
| Pinnisterol C (59) | New | Secosterol | Pinnigorgia sp. | IC50 = 2.50 μM | IC50 = 2.81 μM | [101] |
| Pinnisterol E (60) | New | Secosterol | Pinnigorgia sp. | IC50 = 2.33 ± 0.27 μM | [102] | |
| Pinnisterol F (61) | New | Secosterol | Pinnigorgia sp. | IC50 = 5.52 ± 1.06 μM | [102] | |
| Pinnisterol H (62) | New | Secosterol | Pinnigorgia sp. | IC50 = 3.26 ± 0.33 μM | IC50 = 2.59 ± 0.29 μM | [102] |
| Pinnisterol J (63) | New | Secosterol | Pinnigorgia sp. | IC50 = 3.71 ± 0.51 μM | IC50 = 3.89 ± 1.16 μM | [102] |
| 5α,6α-Epoxy-(22E,24R)-3β,11-dihydroxy-9,11-secoergosta-7-en-9-one (64) | New | Secosterol | Pinnigorgia sp. | IC50 = 8.65 ± 0.19 μM | IC50 = 5.86 ± 0.95 μM | [103] |
| Sinleptosterol A (65) | Novel | Secosterol | Sinularia leptoclados | IC50 = 7.07 ± 0.52 µM | IC50 = 7.57 ± 0.40 µM | [104] |
| Sinleptosterol B (66) | Novel | Secosterol | Sinularia leptoclados | IC50 = 4.68 ± 0.57 µM | IC50 = 4.29 ± 0.25 µM | [104] |
| 8αH-3β,11-Dihydroxy-24-methylene-9,11-secocholest-5-en-9-one (67) | Known | Secosterol | Sinularia leptoclados | IC50 = 1.97 ± 0.12 µM | IC50 = 3.12 ± 0.07 µM | [104] |
| 8βH-3β,11-dihydroxy-24-methylene-9,11-secocholest-5-en-9-one (68) | Known | Secosterol | Sinularia leptoclados | IC50 = 2.96 ± 0.91 µM | IC50 = 1.63 ± 0.15 µM | [104] |
| Leptosterol A (69) | Known | Secosterol | Sinularia leptoclados | IC50 = 8.07 ± 0.53 µM | IC50 = 4.73 ± 0.57 µM | [104] |
| (24S)-3β,11-Dihydroxy-24-methyl-9,11-secocholest-5-en-9-one (70) | Known | Secosterol | Sinularia leptoclados | IC50 = 4.09 ± 0.50 µM | Inh% = 25.38 ± 6.68 at 10 µM | [104] |
| Gorgost-5-ene-3β,9α,11α-triol (71) | Known | Gorgostane-type steroid | Klyxum flaccidum | Inh% = 10.52 ± 2.71 (10 μM) | Inh% = 27.70 ± 5.29 (10 μM) | [105] |
| Klyflaccisteroid C (72) | New | Gorgostane-type steroid | Klyxum flaccidum | IC50 = 4.78 ± 0.87 μM | IC50 = 3.97 ± 0.10 μM | [105] |
| Klyflaccisteroid D (73) | New | Gorgostane-type steroid | Klyxum flaccidum | Inh% = 30.9 ± 4.68 (10 μM) | IC50 = 5.37 ± 0.20 μM | [105] |
| Klyflaccisteroid F (74) | New | Gorgostane-type steroid | Klyxum flaccidum | IC50 = 0.34 ± 0.01 μM | IC50 = 0.35 ± 0.04 μM | [105] |
| Klyflaccisteroid K (75) | New | Gorgostane-type steroid | Klyxum flaccidum | IC50 = 5.83 ± 0.62 μM | IC50 = 1.55 ± 0.21 μM | [94] |
| 3β,11-Dihydroxy-9,11-secogorgost-5-en-9-one (76) | Known | Gorgostane-type steroid | Klyxum flaccidum | IC50 = 3.84 ± 0.41 μM | IC50 = 2.21 ± 0.59 μM | [105] |
| Sinubrasolide A (77) | Known | Withanolide-type steroid | Sinularia brassica | IC50 = 3.5 ± 0.9 μM | IC50 = 1.4 ± 0.1 μM | [106] |
| Sinubrasolide H (78) | New | Withanolide-type steroid | Sinularia brassica | Inh% = 14.4 ± 3.1 (10 μM) | Inh% = 32.4 ± 5.6 (10 μM) | [106] |
| Sinubrasolide J (79) | New | Withanolide-type steroid | Sinularia brassica | Inh% = 32.1 ± 5.3 (10 μM) | Inh% = 9.5 ± 5.2 (10 μM) | [106] |
| Sinubrasolide K (80) | New | Withanolide-type steroid | Sinularia brassica | Inh% = 34.3 ± 6.6 (10 μM) | Inh% = 11.4 ± 3.2 (10 μM) | [106] |
| Sinubrasolide L (81) | New | Withanolide-type steroid | Sinularia brassica | Inh% = 26.3 ± 0.7 (10 μM) | Inh% = 25.0 ± 1.3 (10 μM) | [106] |
| Carijoside A (82) | New | Steroid glycoside | Carijoa sp. | IC50 = 1.8 μg/mL | IC50 = 6.8 μg/mL | [107] |
| Hirsutosteroside A (83) | New | Steroid glycoside | Cladiella hirsuta | IC50 = 4.1 ± 0.1 μM | [98] | |
| 24-Methylenecholest-5-ene-3β,16β-diol-3-O-α-L-fucoside (84) | Known | Steroid glycoside | Sinularia nanolobata | IC50 = 18.6 ± 1.5 μM | IC50 = 10.1 ± 0.8 μM | [98] |
| Sinubrasone A (85) | New | Steroid glycoside | Sinularia brassica | Inh% = 24.8 ± 6.5 (10 μM) | Inh% = 35.6 ± 1.3 (10 μM) | [108] |
| 6-Epi-yonarasterol B (86) | New | Miscellaneous steroid | Echinomuricea sp. | IC50 = 2.98 ± 0.29 μg/mL | IC50 = 1.13 ± 0.55 μg/mL | [109] |
| Petasitosterone B (87) | New | Miscellaneous steroid | Umbellulifera petasites | IC50 = 4.43 ± 0.23 μM | [110] | |
| Petasitosterone C (88) | New | Miscellaneous steroid | Umbellulifera petasites | IC50 = 2.76 ± 0.92 μM | [110] | |
| 5α-Pregna-20-en-3-one (89) | Known | Miscellaneous steroid | Umbellulifera petasites | IC50 = 6.80 ± 0.18 μM | [110] | |
| Klyflaccisteroid L (90) | New | Miscellaneous steroid | Klyxum flaccidum | Inh% = 25.17 ± 6.73 (10 μM) | [94] | |
| Sinubrasone B (91) | New | Miscellaneous steroid | Sinularia brassica | Inh% = 19.4 ± 5.0 (10 μM) | Inh% = 39.0 ± 2.3 (10 μM) | [108] |
| Sinubrasone C (92) | New | Miscellaneous steroid | Sinularia brassica | Inh% = 27.7 ± 1.3 (10 μM) | IC50 = 6.6 ± 1.7 μM | [108] |
| Sinubrasone D (93) | New | Miscellaneous steroid | Sinularia brassica | IC50 = 8.4 ± 1.1 μM | IC50 = 6.5 ± 1.1 μM | [108] |
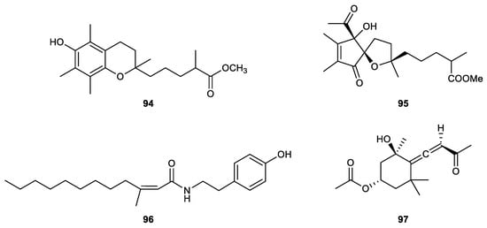
| 5-(6-Hydroxy-2,5,7,8-tetramethyl-chroman-2-yl)-2-methyl-pentanoic acid methyl ester (94) | New | α-tocopherol derivative | Sinularia arborea | IC50 = 7.42 μM | [111] | |
| Hirsutocospiro A (95) | New | α-tocopherol derivative | Cladiella hirsuta | IC50 = 4.1 ± 1.1 μM | IC50 = 3.7 ± 0.3 μM | [112] |
| (Z)-N-[2-(4-Hydroxyphenyl)ethyl]-3-methyldodec-2-enamide (96) | Known | Nitrogen-containing compound | Sinularia erecta | Inh% = 48 ± 2 (10 μM) | IC50 = 1.0 ± 0.2 μM | [77] |
| Apo-9’-fucoxanthinone (97) | Known | Allenic norterpenoid ketone | Pinnigorgia sp. | IC50 = 5.75 μM | [113] | |
4. Conclusions and Perspectives
Author Contributions
Funding
Institutional Review Board Statement
Informed Consent Statement
Conflicts of Interest
References
- Chen, L.; Deng, H.; Cui, H.; Fang, J.; Zuo, Z.; Deng, J.; Li, Y.; Wang, X.; Zhao, L. Inflammatory responses and inflammation-associated diseases in organs. Oncotarget 2018, 9, 7204–7218. [Google Scholar] [CrossRef] [PubMed]
- Arulselvan, P.; Fard, M.T.; Tan, W.S.; Gothai, S.; Fakurazi, S.; Norhaizan, M.E.; Kumar, S.S. Role of antioxidants and natural products in inflammation. Oxid. Med. Cell. Longev. 2016, 2016, 5276130. [Google Scholar] [CrossRef] [PubMed]
- Serhan, C.N.; Ward, P.A.; Gilroy, D.W. Fundamentals of Inflammation; Cambridge University Press: Cambridge, UK, 2010. [Google Scholar]
- Germolec, D.R.; Shipkowski, K.A.; Frawley, R.P.; Evans, E. Markers of inflammation. Methods Mol. Biol. 2018, 1803, 57–79. [Google Scholar] [PubMed]
- Medzhitov, R. Origin and physiological roles of inflammation. Nature 2008, 454, 428–435. [Google Scholar] [CrossRef] [PubMed]
- Soehnlein, O.; Steffens, S.; Hidalgo, A.; Weber, C. Neutrophils as protagonists and targets in chronic inflammation. Nat. Rev. Immunol. 2017, 17, 248–261. [Google Scholar] [CrossRef]
- Cruz, N.G.; Sousa, L.P.; Sousa, M.O.; Pietrani, N.T.; Fernandes, A.P.; Gomes, K.B. The linkage between inflammation and type 2 diabetes mellitus. Diabetes Res. Clin. Pract. 2013, 99, 85–92. [Google Scholar] [CrossRef]
- Esteve, E.; Ricart, W.; Fernandez-Real, J.M. Dyslipidemia and inflammation: An evolutionary conserved mechanism. Clin. Nutr. 2005, 24, 16–31. [Google Scholar] [CrossRef]
- Silverstein, D.M. Inflammation in chronic kidney disease: Role in the progression of renal and cardiovascular disease. Pediatr. Nephrol. 2009, 24, 1445–1452. [Google Scholar] [CrossRef]
- Sciarra, A.; Di Silverio, F.; Salciccia, S.; Autran Gomez, A.M.; Gentilucci, A.; Gentile, V. Inflammation and chronic prostatic diseases: Evidence for a link? Eur. Urol. 2007, 52, 964–972. [Google Scholar] [CrossRef]
- Savoia, C.; Schiffrin, E.L. Inflammation in hypertension. Curr. Opin. Nephrol. Hypertens. 2006, 15, 152–158. [Google Scholar] [CrossRef]
- Michels, N.; van Aart, C.; Morisse, J.; Mullee, A.; Huybrechts, I. Chronic inflammation towards cancer incidence: A systematic review and meta-analysis of epidemiological studies. Crit. Rev. Oncol. Hematol. 2021, 157, 103177. [Google Scholar] [CrossRef] [PubMed]
- Chiang, C.C.; Cheng, W.J.; Korinek, M.; Lin, C.Y.; Hwang, T.L. Neutrophils in psoriasis. Front. Immunol. 2019, 10, 2376. [Google Scholar] [CrossRef] [PubMed]
- Bartneck, M.; Wang, J. Therapeutic targeting of neutrophil granulocytes in inflammatory liver disease. Front. Immunol. 2019, 10, 2257. [Google Scholar] [CrossRef]
- Rawat, K.; Shrivastava, A. Neutrophils as emerging protagonists and targets in chronic inflammatory diseases. Inflamm. Res. 2022, 71, 1477–1488. [Google Scholar] [CrossRef]
- Delemarre, T.; Bachert, C. Neutrophilic inflammation in chronic rhinosinusitis. Curr. Opin. Allergy Clin. Immunol. 2023, 23, 14–21. [Google Scholar] [CrossRef] [PubMed]
- Elaine Cruz, R.; Luana Barbosa, C.; Maria das Graças, H. Neutrophils in Rheumatoid Arthritis: A Target for Discovering New Therapies Based on Natural Products; IntechOpen: Rijeka, Croatia, 2017; Chapter 5. [Google Scholar]
- Margraf, A.; Lowell, C.A.; Zarbock, A. Neutrophils in acute inflammation: Current concepts and translational implications. Blood 2022, 139, 2130–2144. [Google Scholar] [CrossRef] [PubMed]
- Gierlikowska, B.; Stachura, A.; Gierlikowski, W.; Demkow, U. Phagocytosis, degranulation and extracellular traps release by neutrophils-the current knowledge, pharmacological modulation and future prospects. Front. Pharmacol. 2021, 12, 666732. [Google Scholar] [CrossRef]
- Lehman, H.K.; Segal, B.H. The role of neutrophils in host defense and disease. J. Allergy Clin. Immunol. 2020, 145, 1535–1544. [Google Scholar] [CrossRef]
- Naish, E.; Wood, A.J.; Stewart, A.P.; Routledge, M.; Morris, A.C.; Chilvers, E.R.; Lodge, K.M. The formation and function of the neutrophil phagosome. Immunol. Rev. 2023, 314, 158–180. [Google Scholar] [CrossRef]
- Mittal, M.; Siddiqui, M.R.; Tran, K.; Reddy, S.P.; Malik, A.B. Reactive oxygen species in inflammation and tissue injury. Antioxid. Redox Signal. 2014, 20, 1126–1167. [Google Scholar] [CrossRef]
- Zeng, M.Y.; Miralda, I.; Armstrong, C.L.; Uriarte, S.M.; Bagaitkar, J. The roles of NADPH oxidase in modulating neutrophil effector responses. Mol. Oral Microbiol. 2019, 34, 27–38. [Google Scholar] [CrossRef] [PubMed]
- Hwang, T.L.; Su, Y.C.; Chang, H.L.; Leu, Y.L.; Chung, P.J.; Kuo, L.M.; Chang, Y.J. Suppression of superoxide anion and elastase release by C18 unsaturated fatty acids in human neutrophils. J. Lipid Res. 2009, 50, 1395–1408. [Google Scholar] [CrossRef]
- Lucas, S.D.; Costa, E.; Guedes, R.C.; Moreira, R. Targeting COPD: Advances on low-molecular-weight inhibitors of human neutrophil elastase. Med. Res. Rev. 2013, 33, E73–E101. [Google Scholar] [CrossRef] [PubMed]
- Gramegna, A.; Amati, F.; Terranova, L.; Sotgiu, G.; Tarsia, P.; Miglietta, D.; Calderazzo, M.A.; Aliberti, S.; Blasi, F. Neutrophil elastase in bronchiectasis. Respir. Res. 2017, 18, 1–13. [Google Scholar] [CrossRef] [PubMed]
- Ho, A.S.; Chen, C.H.; Cheng, C.C.; Wang, C.C.; Lin, H.C.; Luo, T.Y.; Lien, G.S.; Chang, J. Neutrophil elastase as a diagnostic marker and therapeutic target in colorectal cancers. Oncotarget 2014, 5, 473–480. [Google Scholar] [CrossRef]
- Jiang, K.L.; Ma, P.P.; Yang, X.Q.; Zhong, L.; Wang, H.; Zhu, X.Y.; Liu, B.Z. Neutrophil elastase and its therapeutic effect on leukemia cells. Mol. Med. Rep. 2015, 12, 4165–4172. [Google Scholar] [CrossRef]
- Kelly, E.; Greene, C.M.; McElvaney, N.G. Targeting neutrophil elastase in cystic fibrosis. Expert Opin. Ther. Targets 2008, 12, 145–157. [Google Scholar] [CrossRef]
- Taylor, S.; Dirir, O.; Zamanian, R.T.; Rabinovitch, M.; Thompson, A.A.R. The role of neutrophils and neutrophil elastase in pulmonary arterial hypertension. Front. Med. 2018, 5, 217. [Google Scholar] [CrossRef]
- Chiang, C.C.; Korinek, M.; Cheng, W.J.; Hwang, T.L. Targeting neutrophils to treat acute respiratory distress syndrome in coronavirus disease. Front. Pharmacol. 2020, 11, 572009. [Google Scholar] [CrossRef]
- Mushtaq, S.; Abbasi, B.H.; Uzair, B.; Abbasi, R. Natural products as reservoirs of novel therapeutic agents. EXCLI J. 2018, 17, 420–451. [Google Scholar]
- Newman, D.J.; Cragg, G.M. Natural products as sources of new drugs from 1981 to 2014. J. Nat. Prod. 2016, 79, 629–661. [Google Scholar] [CrossRef] [PubMed]
- Cragg, G.M.; Newman, D.J. Natural products: A continuing source of novel drug leads. Biochim. Biophys. Acta 2013, 1830, 3670–3695. [Google Scholar] [CrossRef]
- Wu, Q.; Sun, J.; Chen, J.; Zhang, H.; Guo, Y.W.; Wang, H. Terpenoids from marine soft coral of the genus Lemnalia: Chemistry and biological activities. Mar. Drugs 2018, 16, 320. [Google Scholar] [CrossRef]
- Yan, X.; Liu, J.; Leng, X.; Ouyang, H. Chemical diversity and biological activity of secondary metabolites from soft coral genus Sinularia since 2013. Mar. Drugs 2021, 19, 335. [Google Scholar] [CrossRef] [PubMed]
- Elkhawas, Y.A.; Elissawy, A.M.; Elnaggar, M.S.; Mostafa, N.M.; Kamal, E.M.; Bishr, M.M.; Singab, A.N.B.; Salama, O.M. Chemical diversity in species belonging to soft coral genus Sacrophyton and its impact on biological activity: A review. Mar. Drugs 2020, 18, 41. [Google Scholar] [CrossRef]
- Nguyen, N.B.A.; Chen, L.Y.; El-Shazly, M.; Peng, B.R.; Su, J.H.; Wu, H.C.; Lee, I.T.; Lai, K.H. Towards sustainable medicinal resources through marine soft coral aquaculture: Insights into the chemical diversity and the biological potential. Mar. Drugs 2022, 20, 640. [Google Scholar] [CrossRef] [PubMed]
- Ermolenko, E.V.; Imbs, A.B.; Gloriozova, T.A.; Poroikov, V.V.; Sikorskaya, T.V.; Dembitsky, V.M. Chemical diversity of soft coral steroids and their pharmacological activities. Mar. Drugs 2020, 18, 613. [Google Scholar] [CrossRef]
- Savic, M.P.; Sakac, M.N.; Kuzminac, I.Z.; Ajdukovic, J.J. Structural diversity of bioactive steroid compounds isolated from soft corals in the period 2015-2020. J. Steroid Biochem. Mol. Biol. 2022, 218, 106061. [Google Scholar] [CrossRef]
- Zhang, Y.; Liu, J.; Shi, D.; Li, Z. Halogenated compounds from corals: Chemical diversity and biological activities. Mini Rev. Med. Chem. 2019, 19, 1204–1218. [Google Scholar] [CrossRef]
- Liang, L.F.; Wang, X.J.; Zhang, H.Y.; Liu, H.L.; Li, J.; Lan, L.F.; Zhang, W.; Guo, Y.W. Bioactive polyhydroxylated steroids from the Hainan soft coral Sinularia depressa Tixier-Durivault. Bioorg. Med. Chem. Lett. 2013, 23, 1334–1337. [Google Scholar] [CrossRef]
- Nagappan, T.; Palaniveloo, K. Biological properties and chemical diversity of Sinularia flexibilis, an Alcyonacean soft coral. J. Sustain. Sci. Manag. 2018, 13, 15–34. [Google Scholar]
- Liang, L.-F.; Kurtán, T.; Mándi, A.; Yao, L.-G.; Li, J.; Lan, L.-F.; Guo, Y.-W. Structural, stereochemical, and bioactive studies of cembranoids from Chinese soft coral Sarcophyton trocheliophorum. Tetrahedron 2018, 74, 1933–1941. [Google Scholar] [CrossRef]
- Ng, S.Y.; Phan, C.S.; Ishii, T.; Kamada, T.; Hamada, T.; Vairappan, C.S. Terpenoids from marine soft coral of the genus Xenia in 1977 to 2019. Molecules 2020, 25, 5386. [Google Scholar] [CrossRef]
- Liang, L.F.; Guo, Y.W. Terpenes from the soft corals of the genus Sarcophyton: Chemistry and biological activities. Chem. Biodivers. 2013, 10, 2161–2196. [Google Scholar] [CrossRef] [PubMed]
- Nurrachma, M.Y.; Sakaraga, D.; Nugraha, A.Y.; Rahmawati, S.I.; Bayu, A.; Sukmarini, L.; Atikana, A.; Prasetyoputri, A.; Izzati, F.; Warsito, M.F.; et al. Cembranoids of soft corals: Recent updates and their biological activities. Nat. Prod. Bioprospect. 2021, 11, 243–306. [Google Scholar] [CrossRef]
- Putra, M.Y.; Murniasih, T. Marine soft corals as source of lead compounds for anti-inflammatories. J. Coast. Life Med. 2016, 4, 73–77. [Google Scholar] [CrossRef]
- Abdel-Lateff, A.; Alarif, W.M.; Alburae, N.A.; Algandaby, M.M. Alcyonium octocorals: Potential source of diverse bioactive terpenoids. Molecules 2019, 24, 1370. [Google Scholar] [CrossRef]
- Abdelhafez, O.H.; Fahim, J.R.; Desoukey, S.Y.; Kamel, M.S.; Abdelmohsen, U.R. Recent updates on corals from Nephtheidae. Chem. Biodivers. 2019, 16, e1800692. [Google Scholar] [CrossRef]
- Allam, K.M.; Khedr, A.I.; Allam, A.E.; Abdelkader, M.S.A.; Elkhayat, E.S.; Fouad, M.A. Chemical and biological diversity in Nephthea soft corals in the current decade: A review. J. Adv. Biomed. Pharm. Sci. 2021, 4, 124–133. [Google Scholar] [CrossRef]
- Kasimala, M.; Babu, B.H.; Awet, B.; Henok, G.; Haile, A.; Hisham, O. A review on bioactive secondary metabolites of soft corals (Octocorallia) and their distribution in Eritrean coast of Red Sea. Indian J. Geo-Mar. Sci. 2020, 49, 1793–1800. [Google Scholar]
- Available online: https://www.ncbi.nlm.nih.gov/Taxonomy/Browser/wwwtax.cgi?id=6132&lvl=0 (accessed on 29 March 2023).
- Pérez, C.D.; de Moura Neves, B.; Cordeiro, R.T.; Williams, G.C.; Cairns, S.D. Diversity and distribution of Octocorallia. In The Cnidaria, Past, Present and Future: The World of Medusa and Her Sisters; Springer: Berlin/Heidelberg, Germany, 2016; pp. 109–123. [Google Scholar]
- Sarma, N.S.; Krishna, M.S.; Pasha, S.G.; Rao, T.S.; Venkateswarlu, Y.; Parameswaran, P.S. Marine metabolites: The sterols of soft coral. Chem. Rev. 2009, 109, 2803–2828. [Google Scholar] [CrossRef] [PubMed]
- Coll, J.C. The chemistry and chemical ecology of octocorals (Coelenterata, Anthozoa, Octocorallia). Chem. Rev. 1992, 92, 613–631. [Google Scholar] [CrossRef]
- Han, M.; Wang, Z.; Li, Y.; Song, Y.; Wang, Z. The Application of Coral in Traditional Medicine and Its Chemical Composition, Pharmacology, Toxicology, and Clinical Research. Authorea 2023. [Google Scholar] [CrossRef]
- Rodrigues, I.G.; Miguel, M.G.; Mnif, W. A brief review on new naturally occurring cembranoid diterpene derivatives from the soft corals of the genera Sarcophyton, Sinularia, and Lobophytum since 2016. Molecules 2019, 24, 781. [Google Scholar] [CrossRef]
- Wu, C.H.; Chao, C.H.; Huang, T.Z.; Huang, C.Y.; Hwang, T.L.; Dai, C.F.; Sheu, J.H. Cembranoid-related metabolites and biological activities from the soft coral Sinularia flexibilis. Mar. Drugs 2018, 16, 278. [Google Scholar] [CrossRef]
- Su, Y.D.; Su, J.H.; Hwang, T.L.; Wen, Z.H.; Sheu, J.H.; Wu, Y.C.; Sung, P.J. Briarane Diterpenoids Isolated from Octocorals between 2014 and 2016. Mar Drugs 2017, 15, 44. [Google Scholar] [CrossRef]
- Abdelkarem, F.M.; Abouelela, M.E.; Kamel, M.R.; Nafady, A.M.; Allam, A.E.; Abdel-Rahman, I.A.M.; Almatroudi, A.; Alrumaihi, F.; Allemailem, K.S.; Assaf, H.K. Chemical review of gorgostane-type steroids isolated from marine organisms and their 13C-NMR spectroscopic data characteristics. Mar. Drugs 2022, 20, 139. [Google Scholar] [CrossRef]
- Chen, L.W.; Chung, H.L.; Wang, C.C.; Su, J.H.; Chen, Y.J.; Lee, C.J. Anti-Acne Effects of Cembrene Diterpenoids from the Cultured Soft Coral Sinularia flexibilis. Mar Drugs 2020, 18, 487. [Google Scholar] [CrossRef]
- Leal, M.C.; Sheridan, C.; Osinga, R.; Dionisio, G.; Rocha, R.J.; Silva, B.; Rosa, R.; Calado, R. Marine microorganism-invertebrate assemblages: Perspectives to solve the “supply problem” in the initial steps of drug discovery. Mar Drugs 2014, 12, 3929–3952. [Google Scholar] [CrossRef]
- Sharma, A.; Bajpai, V.K.; Shukla, S. Sesquiterpenes and Cytotoxicity; Springer: Berlin/Heidelberg, Germany, 2013; pp. 3515–3550. [Google Scholar]
- Chung, H.-M.; Su, J.-H.; Hwang, T.-L.; Li, J.-J.; Chen, J.-J.; Chen, Y.-H.; Chang, Y.-C.; Su, Y.-D.; Chen, Y.-H.; Fang, L.-S. Rumphellclovanes C–E, new clovane-type sesquiterpenoids from the gorgonian coral Rumphella antipathies. Tetrahedron 2013, 69, 2740–2744. [Google Scholar] [CrossRef]
- Chang, Y.C.; Chiang, C.C.; Chang, Y.S.; Chen, J.J.; Wang, W.H.; Fang, L.S.; Chung, H.M.; Hwang, T.L.; Sung, P.J. Novel Caryophyllane-Related Sesquiterpenoids with Anti-Inflammatory Activity from Rumphella antipathes (Linnaeus, 1758). Mar. Drugs 2020, 18, 554. [Google Scholar] [CrossRef] [PubMed]
- Lanzotti, V. Diterpenes for Therapeutic Use; Springer: Berlin/Heidelberg, Germany, 2013; pp. 3173–3191. [Google Scholar]
- Sung, P.-J.; Pai, C.-H.; Su, Y.-D.; Hwang, T.-L.; Kuo, F.-W.; Fan, T.-Y.; Li, J.-J. New 8-hydroxybriarane diterpenoids from the gorgonians Junceella juncea and Junceella fragilis (Ellisellidae). Tetrahedron 2008, 64, 4224–4232. [Google Scholar] [CrossRef]
- Hong, P.H.; Su, Y.D.; Su, J.H.; Chen, Y.H.; Hwang, T.L.; Weng, C.F.; Lee, C.H.; Wen, Z.H.; Sheu, J.H.; Lin, N.C.; et al. Briarenolides F and G, new briarane diterpenoids from a Briareum sp. octocoral. Mar. Drugs 2012, 10, 1156–1168. [Google Scholar] [CrossRef] [PubMed]
- Su, Y.-D.; Cheng, C.-H.; Chen, W.-F.; Chang, Y.-C.; Chen, Y.-H.; Hwang, T.-L.; Wen, Z.-H.; Wang, W.-H.; Fang, L.-S.; Chen, J.-J. Briarenolide J, the first 12-chlorobriarane diterpenoid from an octocoral Briareum sp.(Briareidae). Tetrahedron Lett. 2014, 55, 6065–6067. [Google Scholar] [CrossRef]
- Chen, N.F.; Su, Y.D.; Hwang, T.L.; Liao, Z.J.; Tsui, K.H.; Wen, Z.H.; Wu, Y.C.; Sung, P.J. Briarenols C-E, new polyoxygenated briaranes from the octocoral Briareum excavatum. Molecules 2017, 22, 475. [Google Scholar] [CrossRef] [PubMed]
- Lin, C.C.; Su, J.H.; Chen, W.F.; Wen, Z.H.; Peng, B.R.; Huang, L.C.; Hwang, T.L.; Sung, P.J. New 11,20-epoxybriaranes from the Gorgonian coral Junceella fragilis (Ellisellidae). Molecules 2019, 24, 2487. [Google Scholar] [CrossRef] [PubMed]
- Kao, C.Y.; Su, J.H.; Lu, M.C.; Hwang, T.L.; Wang, W.H.; Chen, J.J.; Sheu, J.H.; Kuo, Y.H.; Weng, C.F.; Fang, L.S.; et al. Lobocrassins A-E: New cembrane-type diterpenoids from the soft coral Lobophytum crassum. Mar. Drugs 2011, 9, 1319–1331. [Google Scholar] [CrossRef]
- Wang, L.H.; Chen, K.H.; Dai, C.F.; Hwang, T.L.; Wang, W.H.; Wen, Z.H.; Wu, Y.C.; Sung, P.J. New cembranoids from the soft coral Sinularia arborea. Nat. Prod. Commun. 2014, 9, 361–362. [Google Scholar] [CrossRef]
- Lin, K.H.; Tseng, Y.J.; Chen, B.W.; Hwang, T.L.; Chen, H.Y.; Dai, C.F.; Sheu, J.H. Tortuosenes A and B, new diterpenoid metabolites from the Formosan soft coral Sarcophyton tortuosum. Org. Lett. 2014, 16, 1314–1317. [Google Scholar] [CrossRef]
- Huang, C.Y.; Sung, P.J.; Uvarani, C.; Su, J.H.; Lu, M.C.; Hwang, T.L.; Dai, C.F.; Wu, S.L.; Sheu, J.H. Glaucumolides A and B, biscembranoids with new structural type from a cultured soft coral Sarcophyton glaucum. Sci. Rep. 2015, 5, 15624. [Google Scholar] [CrossRef]
- Huang, C.Y.; Tseng, Y.J.; Chokkalingam, U.; Hwang, T.L.; Hsu, C.H.; Dai, C.F.; Sung, P.J.; Sheu, J.H. Bioactive isoprenoid-derived natural products from a Dongsha atoll soft coral Sinularia erecta. J. Nat. Prod. 2016, 79, 1339–1346. [Google Scholar] [CrossRef] [PubMed]
- Tseng, W.R.; Ahmed, A.F.; Huang, C.Y.; Tsai, Y.Y.; Tai, C.J.; Orfali, R.S.; Hwang, T.L.; Wang, Y.H.; Dai, C.F.; Sheu, J.H. Bioactive capnosanes and cembranes from the soft coral Klyxum flaccidum. Mar. Drugs 2019, 17, 461. [Google Scholar] [CrossRef] [PubMed]
- Nguyen, N.B.A.; Chen, L.Y.; Chen, P.J.; El-Shazly, M.; Hwang, T.L.; Su, J.H.; Su, C.H.; Yen, P.T.; Peng, B.R.; Lai, K.H. MS/MS molecular networking unveils the chemical diversity of biscembranoid derivatives, neutrophilic inflammatory mediators from the cultured soft coral Sarcophyton trocheliophorum. Int. J. Mol. Sci. 2022, 23, 15464. [Google Scholar] [CrossRef] [PubMed]
- Chen, Y.H.; Tai, C.Y.; Hwang, T.L.; Weng, C.F.; Li, J.J.; Fang, L.S.; Wang, W.H.; Wu, Y.C.; Sung, P.J. Cladielloides A and B: New eunicellin-type diterpenoids from an Indonesian octocoral Cladiella sp. Mar. Drugs 2010, 8, 2936–2945. [Google Scholar] [CrossRef] [PubMed]
- Lin, M.C.; Chen, B.W.; Huang, C.Y.; Dai, C.F.; Hwang, T.L.; Sheu, J.H. Eunicellin-based diterpenoids from the Formosan soft coral Klyxum molle with inhibitory activity on superoxide generation and elastase release by neutrophils. J. Nat. Prod. 2013, 76, 1661–1667. [Google Scholar] [CrossRef]
- Lee, Y.N.; Tai, C.J.; Hwang, T.L.; Sheu, J.H. Krempfielins J-M, new eunicellin-based diterpenoids from the soft coral Cladiella krempfi. Mar. Drugs 2013, 11, 2741–2750. [Google Scholar] [CrossRef]
- Lee, Y.N.; Tai, C.J.; Hwang, T.L.; Sheu, J.H. Krempfielins N-P, new anti-inflammatory eunicellins from a Taiwanese soft coral Cladiella krempfi. Mar. Drugs 2014, 12, 1148–1156. [Google Scholar] [CrossRef]
- Chen, Y.-F.; Chen, W.-F.; Wen, Z.-H.; Hwang, T.-L.; Zhang, Z.-J.; Sung, P.-J. New bioactive Δ11 (17)-furanoeunicellins from an octocoral Cladiella sp. Phytochem. Lett. 2019, 33, 31–35. [Google Scholar] [CrossRef]
- Zhang, Z.-J.; Wang, Y.-H.; Chen, S.-R.; Peng, B.-R.; Yang, S.-N.; Hu, C.-C.; Fang, L.-S.; Hwang, T.-L.; Sung, P.-J. Novel secoeunicellins produced by an octocoral Cladiella sp. Tetrahedron Lett. 2019, 60, 151300. [Google Scholar] [CrossRef]
- Betschart, L.; Altmann, K.H. Xenicane natural products: Biological activity and total synthesis. Curr. Pharm. Des. 2015, 21, 5467–5488. [Google Scholar] [CrossRef]
- Hooper, G.J.; Davies-Coleman, M.T. New metabolites from the South African soft coral Capnella thyrsoidea. Tetrahedron 1995, 51, 9973–9984. [Google Scholar] [CrossRef]
- Lin, Y.C.; Abd El-Razek, M.H.; Hwang, T.L.; Chiang, M.Y.; Kuo, Y.H.; Dai, C.F.; Shen, Y.C. Asterolaurins A-F, xenicane diterpenoids from the Taiwanese soft coral Asterospicularia laurae. J. Nat. Prod. 2009, 72, 1911–1916. [Google Scholar] [CrossRef] [PubMed]
- Chung, H.M.; Hu, L.C.; Yen, W.H.; Su, J.H.; Lu, M.C.; Hwang, T.L.; Wang, W.H.; Sung, P.J. Echinohalimane A, a bioactive halimane-type diterpenoid from a Formosan gorgonian Echinomuricea sp. (Plexauridae). Mar. Drugs 2012, 10, 2246–2253. [Google Scholar] [CrossRef] [PubMed]
- Chang, J.Y.; Fazary, A.E.; Lin, Y.C.; Hwang, T.L.; Shen, Y.C. New verticillane diterpenoids from Cespitularia taeniata. Chem. Biodivers. 2012, 9, 654–661. [Google Scholar] [CrossRef] [PubMed]
- Chang, C.H.; Ahmed, A.F.; Yang, T.S.; Lin, Y.C.; Huang, C.Y.; Hwang, T.L.; Sheu, J.H. Isolation of lobane and prenyleudesmane diterpenoids from the soft coral Lobophytum varium. Mar. Drugs 2020, 18, 223. [Google Scholar] [CrossRef] [PubMed]
- Sultan, A.; Raza, A.R. Steroids: A diverse class of secondary metabolites. Med. Chem. 2015, 5, 310–317. [Google Scholar] [CrossRef]
- Tseng, W.R.; Huang, C.Y.; Tsai, Y.Y.; Lin, Y.S.; Hwang, T.L.; Su, J.H.; Sung, P.J.; Dai, C.F.; Sheu, J.H. New cytotoxic and anti-inflammatory steroids from the soft coral Klyxum flaccidum. Bioorg. Med. Chem. Lett. 2016, 26, 3253–3257. [Google Scholar] [CrossRef]
- Tsai, Y.Y.; Huang, C.Y.; Tseng, W.R.; Chiang, P.L.; Hwang, T.L.; Su, J.H.; Sung, P.J.; Dai, C.F.; Sheu, J.H. Klyflaccisteroids K–M, bioactive steroidal derivatives from a soft coral Klyxum flaccidum. Bioorg. Med. Chem. Lett. 2017, 27, 1220–1224. [Google Scholar] [CrossRef]
- Whuang, T.Y.; Tsai, H.C.; Su, Y.D.; Hwang, T.L.; Sung, P.J. Sterols from the octocoral Nephthea columnaris. Mar. Drugs 2017, 15, 212. [Google Scholar] [CrossRef]
- Huang, C.Y.; Tseng, W.R.; Ahmed, A.F.; Chiang, P.L.; Tai, C.J.; Hwang, T.L.; Dai, C.F.; Sheu, J.H. Anti-inflammatory polyoxygenated steroids from the soft coral Lobophytum michaelae. Mar. Drugs 2018, 16, 93. [Google Scholar] [CrossRef]
- Sica, D.; Musumeci, D. Secosteroids of marine origin. Steroids 2004, 69, 743–756. [Google Scholar] [CrossRef]
- Chao, C.-H.; Huang, T.-Z.; Wu, C.-Y.; Chen, B.-W.; Huang, C.-Y.; Hwang, T.-L.; Dai, C.-F.; Sheu, J.-H. Steroidal and α-tocopherylhydroquinone glycosides from two soft corals Cladiella hirsuta and Sinularia nanolobata. RSC Adv. 2015, 5, 74256–74262. [Google Scholar] [CrossRef]
- Chang, Y.-C.; Kuo, L.-M.; Su, J.-H.; Hwang, T.-L.; Kuo, Y.-H.; Lin, C.-S.; Wu, Y.-C.; Sheu, J.-H.; Sung, P.-J. Pinnigorgiols A–C, 9, 11-secosterols with a rare ring arrangement from a gorgonian coral Pinnigorgia sp. Tetrahedron 2016, 72, 999–1004. [Google Scholar] [CrossRef]
- Chang, Y.-C.; Hwang, T.-L.; Sheu, J.-H.; Wu, Y.-C.; Sung, P.-J. New anti-inflammatory 9, 11-secosterols with a rare tricyclo [5,2,1,1] decane ring from a Formosan gorgonian Pinnigorgia sp. Mar. Drugs 2016, 14, 218. [Google Scholar] [CrossRef] [PubMed]
- Chang, Y.C.; Kuo, L.M.; Hwang, T.L.; Yeh, J.; Wen, Z.H.; Fang, L.S.; Wu, Y.C.; Lin, C.S.; Sheu, J.H.; Sung, P.J. Pinnisterols A-C, new 9,11-secosterols from a gorgonian Pinnigorgia sp. Mar. Drugs 2016, 14, 12. [Google Scholar] [CrossRef]
- Chang, Y.C.; Hwang, T.L.; Kuo, L.M.; Sung, P.J. Pinnisterols D-J, new 11-acetoxy-9,11-secosterols with a 1,4-quinone moiety from Formosan gorgonian coral Pinnigorgia sp. (Gorgoniidae). Mar. Drugs 2017, 15, 11. [Google Scholar] [CrossRef] [PubMed]
- Chang, Y.C.; Hwang, T.L.; Chao, C.H.; Sung, P.J. New marine sterols from a gorgonian Pinnigorgia sp. Molecules 2017, 22, 393. [Google Scholar] [CrossRef]
- Chang, Y.C.; Lai, K.H.; Kumar, S.; Chen, P.J.; Wu, Y.H.; Lai, C.L.; Hsieh, H.L.; Sung, P.J.; Hwang, T.L. 1H NMR-based isolation of anti-inflammatory 9,11-secosteroids from the octocoral Sinularia leptoclados. Mar. Drugs 2020, 18, 271. [Google Scholar] [CrossRef] [PubMed]
- Tsai, C.-R.; Huang, C.-Y.; Chen, B.-W.; Tsai, Y.-Y.; Shih, S.-P.; Hwang, T.-L.; Dai, C.-F.; Wang, S.-Y.; Sheu, J.-H. New bioactive steroids from the soft coral Klyxum flaccidum. RSC Adv. 2015, 5, 12546–12554. [Google Scholar] [CrossRef]
- Huang, C.Y.; Ahmed, A.F.; Su, J.H.; Sung, P.J.; Hwang, T.L.; Chiang, P.L.; Dai, C.F.; Liaw, C.C.; Sheu, J.H. Bioactive new withanolides from the cultured soft coral Sinularia brassica. Bioorg. Med. Chem. Lett. 2017, 27, 3267–3271. [Google Scholar] [CrossRef]
- Liu, C.Y.; Hwang, T.L.; Lin, M.R.; Chen, Y.H.; Chang, Y.C.; Fang, L.S.; Wang, W.H.; Wu, Y.C.; Sung, P.J. Carijoside A, a bioactive sterol glycoside from an octocoral Carijoa sp. (Clavulariidae). Mar. Drugs 2010, 8, 2014–2020. [Google Scholar] [CrossRef]
- Huang, C.Y.; Su, J.H.; Liaw, C.C.; Sung, P.J.; Chiang, P.L.; Hwang, T.L.; Dai, C.F.; Sheu, J.H. Bioactive steroids with methyl ester group in the side chain from a reef soft coral Sinularia brassica cultured in a tank. Mar. Drugs 2017, 15, 280. [Google Scholar] [CrossRef]
- Chung, H.M.; Hong, P.H.; Su, J.H.; Hwang, T.L.; Lu, M.C.; Fang, L.S.; Wu, Y.C.; Li, J.J.; Chen, J.J.; Wang, W.H.; et al. Bioactive compounds from a gorgonian coral Echinomuricea sp. (Plexauridae). Mar. Drugs 2012, 10, 1169–1179. [Google Scholar] [CrossRef]
- Huang, C.Y.; Chang, C.W.; Tseng, Y.J.; Lee, J.; Sung, P.J.; Su, J.H.; Hwang, T.L.; Dai, C.F.; Wang, H.C.; Sheu, J.H. Bioactive steroids from the Formosan Soft coral Umbellulifera petasites. Mar. Drugs 2016, 14, 180. [Google Scholar] [CrossRef]
- Chen, K.-H.; Dai, C.-F.; Hwang, T.-L.; Sung, P.-J. 5-(6-Hydroxy-2, 5, 7, 8-tetramethylchroman-2-yl)-2-methyl-pentanoic acid methyl ester. Molbank 2014, 2014, M822. [Google Scholar] [CrossRef]
- Chen, B.W.; Uvarani, C.; Huang, C.Y.; Hwang, T.L.; Dai, C.F.; Sheu, J.H. New anti-inflammatory tocopherol-derived metabolites from the Taiwanese soft coral Cladiella hirsuta. Bioorg. Med. Chem. Lett. 2015, 25, 92–95. [Google Scholar] [CrossRef]
- Chang, H.H.; Chang, Y.C.; Chen, W.F.; Hwang, T.L.; Fang, L.S.; Wen, Z.H.; Chen, Y.H.; Wu, Y.C.; Sung, P.J. Pubinernoid A and apo-9′-fucoxanthinone, secondary metabolites from a gorgonian coral Pinnigorgia sp. Nat. Prod. Commun. 2016, 11, 707–708. [Google Scholar] [CrossRef]
- Zeng, W.; Song, Y.; Wang, R.; He, R.; Wang, T. Neutrophil elastase: From mechanisms to therapeutic potential. J. Pharm. Anal. 2023, 13, 355–366. [Google Scholar] [CrossRef]
- Voynow, J.A.; Shinbashi, M. Neutrophil Elastase and Chronic Lung Disease. Biomolecules 2021, 11, 1065. [Google Scholar] [CrossRef]
















Disclaimer/Publisher’s Note: The statements, opinions and data contained in all publications are solely those of the individual author(s) and contributor(s) and not of MDPI and/or the editor(s). MDPI and/or the editor(s) disclaim responsibility for any injury to people or property resulting from any ideas, methods, instructions or products referred to in the content. |
© 2023 by the authors. Licensee MDPI, Basel, Switzerland. This article is an open access article distributed under the terms and conditions of the Creative Commons Attribution (CC BY) license (https://creativecommons.org/licenses/by/4.0/).
Share and Cite
Nguyen, N.B.A.; El-Shazly, M.; Chen, P.-J.; Peng, B.-R.; Chen, L.-Y.; Hwang, T.-L.; Lai, K.-H. Unlocking the Potential of Octocoral-Derived Secondary Metabolites against Neutrophilic Inflammatory Response. Mar. Drugs 2023, 21, 456. https://doi.org/10.3390/md21080456
Nguyen NBA, El-Shazly M, Chen P-J, Peng B-R, Chen L-Y, Hwang T-L, Lai K-H. Unlocking the Potential of Octocoral-Derived Secondary Metabolites against Neutrophilic Inflammatory Response. Marine Drugs. 2023; 21(8):456. https://doi.org/10.3390/md21080456
Chicago/Turabian StyleNguyen, Ngoc Bao An, Mohamed El-Shazly, Po-Jen Chen, Bo-Rong Peng, Lo-Yun Chen, Tsong-Long Hwang, and Kuei-Hung Lai. 2023. "Unlocking the Potential of Octocoral-Derived Secondary Metabolites against Neutrophilic Inflammatory Response" Marine Drugs 21, no. 8: 456. https://doi.org/10.3390/md21080456
APA StyleNguyen, N. B. A., El-Shazly, M., Chen, P.-J., Peng, B.-R., Chen, L.-Y., Hwang, T.-L., & Lai, K.-H. (2023). Unlocking the Potential of Octocoral-Derived Secondary Metabolites against Neutrophilic Inflammatory Response. Marine Drugs, 21(8), 456. https://doi.org/10.3390/md21080456

