Abstract
This review provides information on the synthesis and revision of the structures of natural dimeric (poly)hydroxynaphthazarins, metabolites of echinoderms and lichens, and on the refinement of the direction and mechanism of reactions in the synthesis of some of these compounds.
1. Introduction
Compounds based on the structure of 1,4-naphthoquinone are widespread in natural objects [1,2,3,4,5,6,7,8,9]. Among thousands of its derivatives, including dimeric and trimeric products [1,2,3,10,11,12], derivatives of naphthazarin (5,8-dihydroxy-1,4-naphthoquinone) occupy a very prominent place [13,14,15,16,17]. Among them, dimeric (poly)hydroxynaphthazarin metabolites of echinoderms and lichens constitute a relatively small but structurally diverse group of biologically active natural compounds. The first representatives of this series of compounds were isolated in the early 1970s, yet little information on the isolation of new dimeric products of this group, their synthesis, and correction of the structures of previously isolated compounds appears in print to this day. Our research initially concerned the synthesis of compounds of this group, with the aim of obtaining them in quantities required for biotests. However, it soon became clear that the real structures of some of the compounds did not correspond to the declared ones. This is primarily due to the imperfection of the physicochemical equipment that existed at the time of the study and the lack of or incorrect interpretation of the information available. It should be noted that ignorance of the exact structures of substances makes it impossible to create structure-activity correlations and, therefore, a targeted search for substances with desired properties. In this situation, synthesis, in addition to a supplier of substances with a given structure, plays the role of a reliable tool for its analysis. This review provides information on the synthesis of natural dimeric (poly)hydroxynaphthazarins, metabolites of echinoderms and lichens, as well as some information on the revision of their structure and the mechanism of formation. In this way, this review differs from the recently published [18,19], in which significant attention was paid to the isolation and structures of spinochromes, as well as the assessment of their biological activity, the parent organisms, and the methods used for isolation and identification. In addition, attention was paid to the study of the biosynthesis of spinochromes and the ecological function, stability, and chemical synthesis of (poly)hydroxynaphthazarins.
When analyzing the structures of the above compounds, we can conclude that all, formally, are the end products of three types of reactions. The first subgroup consists of dimeric (poly)hydroxynaphthazarins, which are the end products of the aldol condensation reaction. The initial 2-hydroxynaphthazarins act as methylene components in this reaction. The second part of the review consists of dimeric (poly)hydroxynaphthazarins, products of oxidative C-C or C-O dimerization. Finally, the third subgroup includes the only one synthesized to date and, then, dimeric (poly)hydroxynaphthazarin, recently discovered in sea urchins, a product of heterodiene condensation, in which diene and dienophile are two forms of the same hydroxynaphthazarin derivative.
2. Types of Dimeric (Poly)Hydroxynaphthazarins
2.1. Aldol Condenation Compounds
The first report on the isolation of this type of product appeared in 1971, when ethylidene-bis(trihydroxynaphthazarin) 1 (Figure 1) was isolated from an extract of the sea urchin Spatangus purpureus (Figure 2) [20]. The structure of compound 1 was reliably established using UV, IR, and 1H NMR spectroscopy and mass spectrometry. In addition to product 1, another product was isolated from the extract, the structure of which, due to its small amount, could not be reliably determined. In the 1H NMR spectrum of this product, as in the spectrum of 1, proton signals of the ethylidene bridge connecting the hydroxynaphthazarin fragments were observed, and the mass spectrum showed a peak of the molecular ion with m/z 484, eighteen mass units less than the peak of the molecular ion of compound 1 (m/z 502). This suggested that the product is an anhydro derivative of ethylidene-bis(trihydroxynaphthazarin). In order to test this assumption, an attempt was made to synthesize this compound from substrate 1. Thus, heating 1 in concentrated sulfuric acid gave a product in low yield which, according to the UV, mass spectrum, and Rf value, is an anhydro derivative of ethylidene-bis(trihydroxynaphthazarin). This product can correspond to one of the three isomeric dibenzo[b,i]- (2), [b,h]- (3), and [c,h]- (4) xanthetetraones (Figure 1). At the same time, in the IR spectrum of the obtained product (KBr) there are two absorption bands of carbonyl at 1621 and 1600 cm−1, while in the spectrum of the natural product, there is only one broad multi-shouldered carbonyl band at 1600 cm−1. Despite this, the authors, having analyzed all the data at their disposal, made a choice in favor of structure 2 [20]. At the same time, they indicated that the final conclusion about the structure of the cyclization product can be made by the number of methoxy groups (tetra-2, penta-3, hexa-4) obtained by methylation of β-hydroxy groups of compound with diazomethane (1H NMR).
Figure 1.
Ethylidene-bis(trihydroxynaphthazarin) 1, dibenzo[b,i]xanthentetraone 2 and two isomeric dibenzo[b,h]- (3) and dibenzo[c,h]- (4) xanthentetraones. In contrast to [20], all quinonoid compounds are depicted as derivatives of 1,4-naphthoquinone.
Figure 2.
Photography of sea urchins: (a) Spatangus purpureus; (b) S. droebachiensis; (c) Scaphechinus mirabilis.
Thus, the structure of the dehydrated ethylidene-bis(trihydroxy-naphthazarin) derivative 1 remained not fully elucidated, and therefore it is not mentioned in the fundamental monography by Thomson, R. H. [2]. At the same time, some authors referred to it as proven [21], and only in 2017 was complete spectral information on the structure of dibenzo[b,i]xanthetetraone 2 [22].
Recently, mirabiquinone (1H-dibenzo[b,h]xanthenetetraone, 3) was isolated from the sea urchin Scaphechinus mirabilis (Figure 2) [23], which was previously considered as an alternative to 5H-dibenzo[b,i]xanthenetetraone 2 isolated from the sea urchin S. purpureus [20]. In the IR spectrum of mirabiquinone (CHCl3), there is one absorption band of carbonyl at 1626 cm−1. Comparison of the IR spectra of the anhydro derivative 2, mirabiquinone (3), and the cyclization product of ethylidene bis(trihydroxynaphthazarin) 1, under the action of concentrated sulfuric acid [20], made it possible to establish that the latter Is a mixture of dibenzo[b,i]xanthetetraones 2 and 3.
Mirabiquinone (3) and two related binaphthazarins 1 and 2 demonstrated excellent scavenging of the 2,2-diphenyl-1-picrylhydrazyl radical [23]. However, these compounds are not easily accessible on a preparative scale for extended bioassays due to their very low natural abundance and separation difficulties. Therefore, the question of the synthesis of these compounds for biotesting has become pertinent.
The key stage in the synthesis of biquinone 1 was the aldol condensation of spinochrome D dimethyl ether 5 and acetaldehyde (Scheme 1) [24]. Demethylation of tetramethyl ether 6a by the action of AlCl3 in nitrobenzene gave ethylidene-bis(thrihydroxynaphthazarin) 1 in good yield [25]. An attempt of demethylation of tetramethyl ester 6a by the action of conc. HBr yielded 5H-dibenzo[b,i]xanthetetraone 2, previously isolated from the sea urchins S. purpureus [20] and S. droebachiensis [21], and mirabiquinone A (3), a metabolite of the sea urchin Scaphechinus mirabilis [23], in a ratio of 1.2:1.
Scheme 1.
Synthesis of biquinone 1 via aldol condensation of spinochrome D dimethyl ether 5 and acetaldehyde.
It is obvious that the cyclization of ethylidene-bis(thrihydroxynaphthazarin) 1 and its derivatives is a key step for the preparation of 5H-dibenzo[b,i]- (2) and 1H-dibenzo[b,h]- (3) xanthenetetraone. It has been found that the boiling of tetra- (6a), penta- (6b) or hexamethyl (6c) ethers in toluene in the presence of p-TsOH gave the corresponding anhydro derivatives 7a and 7b in good yields (Scheme 2) [26]. The generation of mirabiquinone (3) from its tetra- (7a) and penta- (7b) methoxy derivatives was affected by exposure to AlCl3-EtSH in CH2Cl2.
Scheme 2.
Cyclization of ethylidene-bis(trihydroxynaphthazarin) methyl ethers 6a–c to derivatives 7a–b, a key step in the synthesis of mirabiquinone (3).
As suggested by the authors of [20,21], the cyclization of ethylidene-bis(trihydroxynaphthazarin) 1 in concentrated sulfuric acid produces anhydrous derivative 2. To obtain some amount of this substance for biological testing, a replica of this experiment was conducted. Surprisingly, it was found that, under the described conditions, ethylidene-bis(trihydroxynaphthazarin) 1 undergoes cyclization with the formation of mirabiquinone (3) instead of 5H-dibenzo[b,i] xanthenetraone 2 in good yield [26]. This suggests that UV-, IR-spectroscopy, and TLC are not reliable enough at establishing structures of polyhydroxynaphthazarins, even by the comparison method. For example, these methods cannot distinguish between bisnaphthazarin 1 and related naphthazarins 2 and 3, which were considered in the cited work [20].
2.2. Oxidative Coupling Compounds
Other representatives of this group of compounds are dimeric (poly)hydroxynaphthazarins 8–10 [27,28,29], which are products of the oxidative C-C or C-O coupling of ethylmompain (11a) and boryquinone (11b) (Scheme 3).
Scheme 3.
Dimeric (poly)hydroxynaphthazarins 8–10, products of oxidative C-C or C-O coupling of ethylmompain (11a) and boryquinone (11b).
As noted, natural dimeric (poly)hydroxynaphthazarins are often available only in small amounts, which hinders the use of chemical methods for the establishment of their structures, whereas the available physicochemical methods do not allow unambiguous conclusions about the arrangement of the substituents in the quinoid moiety at the C(2) and C(3) atoms with respect to the substituents at the C(6) and C(7) atoms. This fully applies to cuculoquinone, hydroxylated bisnaphthazarin isolated from the red thallus tips of the lichen Cetraria cucullata [27]. Cuculoquinone is one of the three identifiable quinonoid compounds produced by this lichen species, which grows in the Magadan region of Russia. For this compound, the following structure, 3,3′-bis(7-ethyl-1,4,5,8-tetrahydroxy-2,6-naphthoquinone) (12) (Figure 3), was proposed. The amphi-(2,6)-quinonoid structure of bisnaphthazarin 12 raised doubts in Thomson R. H., who proposed, for this product, the structure of 3,3′-bis(7-ethyl-2,5,6,8-tetrahydroxy-1,4-naphthoquinone) (13), i.e., 1,4-naphthoquinonoid structure, in which the β-hydroxy groups of each fragment are located in positions 2 and 6 [2].
Figure 3.
Evolution of ideas about the structure of cuculoquinone.
Later, a series of substituted 2,6- and 2,7-dihydroxynaphthazarins were synthesized. It is shown that the absorption bands in the ultraviolet and visible regions of the electronic spectrum of alkaline solutions, as well as the frequencies of stretching vibrations of β-O-H in the IR-spectrum of 2,6- and 2,7-dihydroxynaphthazarins have characteristic, non-overlapping ranges of values [30]. The regularities found made it possible to revise the structure of cuculoquinone, isolated from the lichen C. cucullata, into 3,3′-bis(6-ethyl-2,5,7,8-tetrahydroxy-1,4-naphthoquinone) (8).
In addition, compounds 13 and 8 were synthesized, and the latter was shown to be completely identical to bisnaphthazarin isolated from the lichen C. cucullata [31]. Thus, treatment of monomethyl ether 14 with (NH4)2S2O8 in MeCN-H2O gave the bisnaphthazarin dimethyl ether 15 (30%) (Figure 4). Compound 15 was easily converted into the corresponding bis(2,6-dihydroxynaphthazarin) 13 by the action of AlCl3 in nitrobenzene (44%). In the same way the ether 16 via dimethyl ether 17 was converted into bis(2,7-dihydroxynaphthazarin) 8 (total yield 21%).
Figure 4.
Starting substrates 14, 16 and key intermediates 15, 17 in the synthesis of isomeric bisnaphthazarins 13 and 8 [31].
Bisnaphthazarin 8 has been found in the deep-sea holothuroids Psychopotes longicauda, Benthodytes typica, B. lingua [2], and in the lichen C. islandica [28] (Figure 5). The well-studied mechanism of biosynthesis of compounds analogous to spinochromes [32,33] can be considered as circumstantial evidence in favor of structure 8. The structures of all natural naphthoquinone derivatives containing the 2,7 dihydroxynaphthazarin fragment as a subgroup [2,29,34,35,36,37] are consistent with the above mechanism.
Figure 5.
Photography of lichens and abyssal sea cucumbers in which cuculoquinone (8) was found: (a) Cetraria cucullata; (b) C. islandica; (c) Psychopotes longicauda; (d) a member of the genus Benthodytes.
Another formal product of oxidative dimerization is islandoquinone, a metabolite isolated from the lichen C. islandica [28]. Structure 18 was proposed for this compound as a result of the comparison of the compound obtained with the lapachol peroxide structure 19 (Figure 6) [38,39]. However, the IR-spectrum of islandoquinone did not contain ν(C=O) absorption bands at ≈1750 cm−1 that are found for 2,3-dihydro-2-oxo-1,4-naphthoquinones [40].
Figure 6.
The structure of islandoquinone (18) as a result of a comparison of the compound with the structure of lapachol peroxide (19), and its correction in favor of gem-diol 20, considering the data of IR-spectroscopy.
Accordingly, the 2,3-dihydro-2-oxo-1,4-naphthoquinonoid structure of the Q2H fragment of biquinone 18 was revised, and this natural product was identified as 20, i.e., the 2,3-dihydro-2,2-dihydroxy-1,4-naphthoquinonoid structure was assigned to the Q2H subgroup [41]. An argument in favor of structure 20 was based on the comparison of its spectral data with those of the 2,3-dihydro-2,2-dihydroxy-1,4-naphthoquinones described in the literature [42,43]. However, doubts have emerged regarding the proposed structure of islandoquinone, with the major discrepancy concerning the presence of proton signals of only three α-hydroxy groups in the 1H NMR spectrum of islandoquinone [28].
Based on the accumulated spectral data, it was concluded that islandoquinone is one of four dioxabenzo[a]tetracenetetraones from the two diastereoisomeric pairs of 9, 9′ and 21, 21′ (Figure 7). According to quantum chemical calculations [44], the diastereoisomers 7aS*,13aS*- (9) and 7aR*,13aR*- (21) are more favorable than the corresponding diastereoisomers 7aS*,13aR*- (9′) and 7aR*,13aS*- (21′). The difference in Gibbs energy between 9 and 21 is only 0.4 kcal/mol [45]. The conclusive choice in favor of either 9 or 21 may be based on the X-ray diffraction analysis of islandoquinone or structurally similar compounds.
Figure 7.
Four probable structures for islandoquinone.
Within this context, the oxidative coupling products of ethylhydroxynaphthazarins 22a and 22b (Figure 8) [42] were synthesized and analyzed. The oxidative coupling of the chlorinated hydroxynaphthazarin 22a upon treatment with lead dioxide in boiling acetic acid resulted in a product that, judging from the spectral data, was an unsymmetrical biquinone [45]. In the case of cristazarin (22b), a mixture of two biquinones (1:1.8 ratio, 1H NMR) was produced. The crystallization of the chlorinated biquinone and major product of oxidative dimerization of cristazarin (22b) from acetone afforded crystals that were suitable for single-crystal X-ray diffraction.
Figure 8.
Starting substrates 22a,b for the synthesis of dioxabenzo[a]tetracenetetraones.
The molecular structures of the obtained products and their corresponding structural formulas (23a,b) are shown in Figure 9 [45].
Figure 9.
(a) X-ray crystal structures of 23a,b. Crystal data: 23a triclinic, space group P-1, a 9.1095(4), b 9.9348(4), c 13.6026(5) Å, α 79.011(1), β 74.348(1), γ 85.296(1)°, V 1163.06(8) Å3, Z 2, Dc 1.725 g/cm3, F(000) 612, crystal size 0.40 × 0.35 × 0.20 mm. 23b triclinic, space group P-1, a 6.9265(2), b 10.5432(4), c 16.5567(6) Å, α 79.2460(10), β 81.6580(10), γ 80.2570(10)°, V 1162.65(7) Å3, Z 2, Dc 1.555 g/cm3, F(000) 568, crystal size 0.14 × 0.28 × 0.35 mm [45], (b) structural formulas of dioxabenzo[a]tetracenetetraones 23a,b,c.
The upfield signals of the ethyl group protons at C(15), C(16), C(17), and C(18) and carbon atoms C(6a), C(7a), C(13a), and C(14a) (Table 1) of the dioxane ring of the biquinones 23a,b were in very good agreement with the corresponding signals of islandoquinone [28,42]. Therefore, the connection of rings B and C and the position of the substituents in these rings in these biquinones and islandoquinone are identical. These data indicate that the early proposed structure of islandoquinone should be revised in favor of dioxabenzo[a]tetracenetetraone 9 and compound 23b is its dimethyl ether. All attempts to convert 23b into islandoquinone were unsuccessful at yielding a complex mixture of compounds.
Table 1.
1H (the region of upfield signals) and 13C (dioxane ring) NMR data of islandoquinone [28,42] and dioxabenzo[a]tetracenetetraones 23a–c in CDCl3.
On the other hand, based on the B3LYP/6-311G(d) method [44], it was concluded that the minor product obtained by oxidative dimerization of cristazarin is dioxabenzo[a]tetracenetraone 23c (Figure 9). In the 1H NMR spectrum of compound 23c, the upfield signals of the ethyl group protons at C(15), C(16), and C(18) and carbon atoms C(7a) and C(13a) do not fit with those of islandoquinone and dioxabenzo[a]tetracenetetraones 23a,b (bolded in Table 1). Therefore, these signals are important structural evidence.
The cytotoxic pentacyclic naphthazarin-derived dimer, hybocarpone (10), was isolated from the lichen Lecanora hybocarpa by Elix J. A. and co-workers in 1999 [29] (Figure 10).
Figure 10.
Photography of the lichen Lecanora hybocarpa.
Several years later, the synthesis of 10 and the related (5aS*,6aS*,12aS*,12bS*)-binaphtho[2,3-b; 2,3-d]furantetraones, 24a,b (Figure 11) was realized [46,47,48].
Figure 11.
Hybocarpone (10) and related (5aS*,6aS*,12aS*,12bS*)-binaphtho[2,3-b; 2,3-d]furantetraones 24a,b [47].
The total synthesis of hybocarpone involves two key synthetic steps: the formation of 2-hydroxy-1,4-naphthoquinone 25a from substituted benzaldehyde 26 and its oxidative dimerization on treatment with CAN in MeCN (Scheme 4) [46,47].
Scheme 4.
Synthesis of hybocarpone (10) via S*S*-hexaketone intermediate 27.
More recently, another route to substituted 1,4-naphthoquinone 25a from flaviolin trimethyl ether 28 [49,50], o-naphthoquinone 29 [51], and α-naphthol 30 [52] were proposed (Figure 12). These approaches include the multistep synthesis of both the key substrates 26, 28–30 themselves, and their subsequent conversion to hybocarpone (10).
Figure 12.
Key intermediates in hybocarpone synthesis described previously [47,49,50,51,52].
By analogy with hybocarpone, the related binaphtho[2,3-b; 2,3-d]furantetraones 24a,b were synthesized from the corresponding derivatives of 1,4-naphthoquinone 25b,c [47] (Figure 13).
Figure 13.
The key intermediates 25b,c in the synthesis of binaphtho[2,3-b; 2,3-d]furantetraones 24a,b.
In another synthetic approach to hybocarpone (10) and its analogs, the use of the direct oxidative dimerization of the 2-hydroxynaphthazarin precursors 31a,b was explored (Figure 14) [53]. These compounds are more readily available [54,55] than the 1,4-naphthoquinone precursors 25a–c. However, all attempts to construct the appropriate binaphtho[2,3-b; 2,3-d]furantetraone skeleton by the action of CAN in MeCN [47] led to degradation of the starting structures 31a,b. Upon screening a number of reagents and conditions, success was finally achieved with the use of Pb(Oac)4 as an oxidant in benzene.
Figure 14.
The products of the oxidative coupling of hydroxynaphthazarin 31a (32a and 33a) and methylcristazarin (31b) (dimethyl ethers 32b and 33b).
Oxidative coupling of hydroxynaphthazarin (31a) on treatment with Pb(Oac)4 in benzene gave two compounds in a ratio of ca. 1:1. One of them exhibited a simple 1H NMR spectrum reminiscent of that of 10, and judging from the spectral data, was binaphtho[2,3-b; 2,3-d]furantetraone (32a) (Figure 14). As such, the upfield 1H NMR signals of the ethyl group protons and 13C NMR signals of carbon atoms of the tetrahydrofuran ring of 32a were in very good agreement with the corresponding signals of hybocarpone (10) [29].
The other isomeric biquinone exhibits the correct mass (by mass spectrometry) and simple 1H and 13C NMR spectra, but the upfield signals of the ethyl group protons and carbon atoms of the tetrahydrofuran ring of that compound do not fit those of 10. The crystallization of this biquinone from hexane-acetone afforded crystals that were suitable for single-crystal X-ray diffraction. The molecular structure of the product obtained (33a) is shown in Figure 15.
Figure 15.
X-ray crystal structure of 33a. Crystal data: monoclinic, space group Pc, a 8.4327(3), b 21.6152(8), c 13.3512(5) Å, β 100.578(1)°, V 2392.23(15) Å3, Z 4, Dc 1.501 g/cm3, F(000) 1136, crystal size 0.20 × 0.25 × 0.35 mm [53].
Thus, the oxidative coupling of hydroxynaphthazarin (31a), on treatment with Pb(Oac)4 in benzene, gave the diastereomeric mixture of 5aS*,6aS*,12aS*,12bS* (32a) and 5aS*,6aR*,12aR*,12bS* (33a), analogs of hybocarpone (10). The ratio of the arising compounds 32a and 33a (1:1) was determined by the equally possible formation of the intermediary S*S* (34a) and R*S* (35a) diastereomers (Scheme 5). So, according to the quantum chemical calculation [44], the difference between Gibbs energy of diastereomers 32a and 33a is less than 0.4 kcal/mol) [53].
Scheme 5.
S*S*- (34a) and R*S*- (35a) hexaketone intermediates, the precursors of the S*,S*,S*,S*- (32a) and S*,R*,R*,S*- (33a) binaphthofurantetraones.
The hydration/cyclization of intermediary S*S* (34a) and R*S* (35a) diastereomers would potentially lead to the formation of up to six diastereomeric furan systems arranged in two rows of three (Figure 16). Molecular modeling and computational studies indicated that, among the diastereoisomeric compounds in each row, the isomers 32a and 33a appeared to be clearly favored in terms of relative Gibbs energy [44,56]. Since the calculated energy differences among compounds in each row are large (more than 9 kcal/mol), and because the central dihydroxyfuran systems of them can exist in equilibrium with their open chain counterparts, diastereoisomers 32a and 33a are the only imaginable products in this reaction.
Figure 16.
Calculated relative Gibbs energy of the possible dihydrobinaphthofurantetraones 32a, 32a′, 32a″ derived from the S*,S*-diastereoisomer 34a and 33a, 33a′, 33a″ derived from the R*,S*-diastereoisomer 35a [44,56]. (Values of the calculated energy of hybocarpone (10), its R*,S*-diastereoisomer 36 and other diastereomeric furan systems are presented in parentheses).
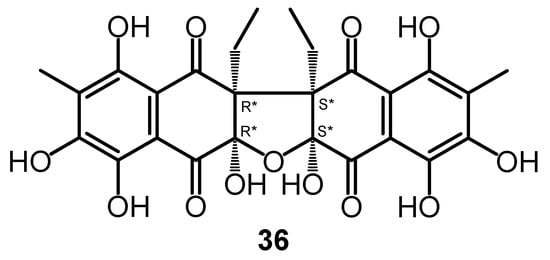
These observations were used as the basis for the synthesis of hybocarpone (10). Methylcristazarin (31b) is a more available substrate for this purpose. As in the case of 31a, the oxidative coupling of hydroxynaphthazarin (31b), on treatment with Pb(Oac)4 in benzene, gave two products. One of them, according to the spectral data, was hybocarpone dimethyl ether 32b (Figure 14). The other product was the isomer 33b bearing a sin relationship of the two ethyl groups at the junction joining the two monomeric units.
Dimethyl ethers 32b and 33b were deprotected with AlCl3 in EtSH-CH2Cl2 to afford 10 and 36 (Figure 17). Synthetic 10 exhibited spectral data (1H and 13C NMR, mass spectrometry) identical to those reported for natural hybocarpone, a cytotoxic metabolite isolated from L. hybocarpa lichen [29].
Figure 17.
R*,S*-Diastereoisomer of hybocarpone (10).
It should be noted that in the previous report [47], the course of the reaction through the S*,S* hexaketone intermediate 27 (Scheme 4) was only postulated, and the possibility of R*,S* diastereomer formation was not discussed; thus, we compared our results for the oxidative dimerization of dihydrolapachole 25c with Pb(Oac)4 in benzene [57] to those previously reported using CAN in MeCN [47].
Oxidative dimerization of dihydrolapachole 25c upon treatment with Pb(OAc)4 in benzene yielded three products following chromatographic purification [57]. A yellow product established as 24b by Nicolaou [47]was determined to be 3-(naphthoquinone-2-yloxy)naphthalenetrione 37 (42%) based on its spectral data (1H, 13C NMR and mass spectrometry) and comparison with the authentic sample [58] (Figure 18). The formation of a high percentage of 37 resulted due to the steric bulk around the reacting carbon in starting substrate 25c; thus, C-O coupling was more probable than C-C coupling.
Figure 18.
Products of oxidative coupling reaction of dihydrolapachole 25c.
Two colorless products were determined to be pentacyclic compounds 24b (24%) and 24c (21%) based on the spectral data and comparison of its 1H and 13C NMR data with spectral data of derivatives 32a,b and 33a,b. We found that the same mixture was obtained upon exposure of the monomeric unit 25c to CAN in MeCN under the previously reported conditions [47].
In general, 2-hydroxy-3-alkylnaphthazarins and 2-hydroxy-3-alkyl-1,4-naphthoquinones undergo oxidative dimerization upon treatment with lead tetraacetate or cerium ammonium nitrate in aprotic media to give diastereomeric 5aS*,6aS*,12aS*,12bS*- and 5aS*,6aR*,12aR*,12bS*-dihydrobinaphthofurantetraones in a ratio of ca. 1:1. The ratio of arising compounds is determined by the equally possible formation of the corresponding S*,S* and R*,S* hexaketone intermediates.
2.3. Diene Condenstion Compounds
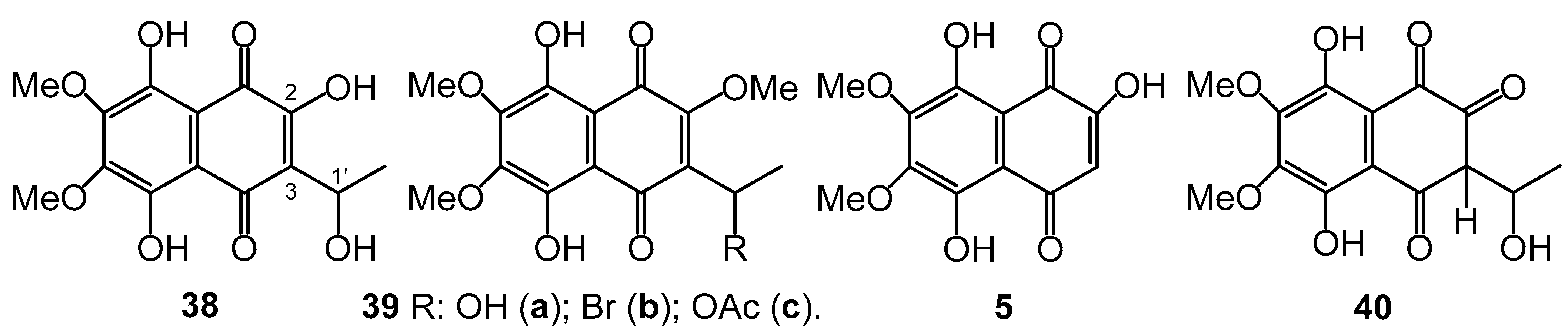
Among natural partially methylated derivatives of echinochrome, there are no examples of structures that simultaneously contain 2-hydroxy and 3-(1-hydroxyethyl) groups in one core [1,2,3]. This is obviously due to the instability of such compounds. Indeed, attempts to synthesize 2-hydroxy-3-(1-hydroxyethyl) naphthazarin 38 by alkaline hydrolysis of lomazarin (39a), its 1′-bromo- (39b) and 1′-acetoxy- (39c) derivatives are invariably resulted in spinochrome D dimethyl ether 5 (Figure 19). Most likely, 1′,2-dihydroxy-3-ethylnaphthazarin 38, formed from starting compounds 39a–c under basic conditions, is converted to dimethyl ether 5 via the mechanism of retroaldol decomposition of intermediate keto form 40 [24,25].
Figure 19.
The conversion of 39a–c→38→5 via retroaldol decomposition of keto form 40.
Our attempts to synthesize compound 38 by bromination of echinochrome dimethyl ether 41 and subsequent hydrolysis of 1′-bromo derivative 42 already at the first stage led to an unexpected result. The final and main product of the reaction was 2-naphthoquinonylbenzo[g]chromendione 43 (up to 80%) (Scheme 6) [59].
Scheme 6.
The conversion of 41→42→43 via heterodiene condensation of enone 44 and dienophile 45.
The formation of benzo[g]chromene-5,10-dione 43 likely occurs via the mechanism of heterodiene condensation (Scheme 6). The 1′-bromoethyl derivative 42 formed during the reaction loses HBr, giving the enone 44 (heterodiene), which are isomerized to the corresponding vinylquinone 45 (dienophile). The isomerization of 44→45 is reversible, since at the end of the reaction the starting diene and dienophile are not found in the mixture. It should be noted that 1′-bromoethyl derivative 42 are labile compounds. In acidified solutions of chloroform, acetone, or on the surface of H+-silica gel, they are rapidly converted into the corresponding benzo[g]chromene-5,10-dione 43. The structure of product 43 and stereochemistry of its asymmetric centers are unambiguously determined by analysis of their 1H and 13C NMR spectra [59]. Hydrolysis of benzo[g]chromedione 43 gave product 46 (Figure 20).
Figure 20.
The structures of benzo[g]chromedione 46 and echinochrom (47).
When this work was in progress, a previously unknown pigment was detected in the extracts of the sea urchins Mesocentrotus nudus and Strongylocentrotus intermedius by HPLC-MS method (Figure 21) [60]. The retention time, UV, and mass spectra of the detected product coincided with those of synthesized compound 46 [59].
Figure 21.
Photography of producing mesocentroquinone sea urchins: (a) Mesocentrotus nudus; (b) Strongylocentrotus intermedius.
Thus, the discovered product, which was named mesocentroquinone, has the structure 6,7,8,9-tetrahydroxy-4-methyl-2-(3,5,6,7,8-pentahydroxy-1,4-dioxo-1,4-dihydronaphthalen-2-yl)-3,4-dihydro-2H-benzo[g]chromene-5,10-dione. In fact, it can be considered as a dimer of dehydro derivative of echinochrome (47) obtained by diene condensation.
3. The Tautomerism of Hydroxynaphthazarins
NMR spectroscopy is among the most used methods for the structural study of hydroxynaphthazarins [1,2,3]. The phenomenon of tautomerism inherent in the naphthazarin system leaves an imprint on the nature of the spectra of substituted naphthazarins, including its hydroxy derivatives [61]. Due to the rapid (on the NMR time scale) tautomerism, in the spectra of naphthazarin and its derivatives, the signals of protons and carbon atoms entering the quinoid and benzenoid cycles are indistinguishable in pairs. Thus, in the 1H NMR spectrum of mompain monomethyl ether 48 (CDCl3), the signals of protons adjacent to the hydroxy and methoxy groups of tautomers Q and B are indistinguishable (Figure 22) [54]. Thus, on the NMR scale, mompain monomethyl ether is an individual compound.
Figure 22.
Tautomerism of hydroxynaphthazarins.
IR spectroscopy is a much faster method when compared to nuclear magnetic resonance spectroscopy, in which there is usually no temporal averaging of spectral parameters. Therefore, the IR spectrum of mompain monomethyl ether 48 taken in CDCl3 showed that this compound is a mixture of 1,4-naphthoquinoid tautomers 48(Q) and 48(B), and in commensurate proportions (70% and 30%, respectively) [62,63]. In addition, quantum chemical calculations, using the example of 1′-hydroxyalkyl naphthazarin 6 [64], showed that the energy barrier for a process of type 49(Q1.4) ⇆ 49(Q1.5) (Figure 22) is less than 5 kcal/mol [64], which makes possible the existence of corresponding 1,5-naphthoquinoid forms. Later, it was shown by IR spectroscopy that in aprotic organic solvents, 1′-hydroxyalkyl naphthazarins are in the form of a mixture of 1,4- and 1,5-naphthoquinoid tautomers [65].
Thus, due to the easily reversible conversion of specified tautomers, it is impossible to isolate any component of the mixture in an individual form. This is also true for dimeric (poly)hydroxynaphthazarins, which are in no way different from monomers in this respect. At the same time, recent studies have reported the isolation of several tautomers in individual form by the HPLC method and the establishment of their structure by NMR spectroscopy [18,19,66]. The most likely reason for this misunderstanding was the ability of (poly)hydroxynaphthazarins to give stable crystal solvates and chelate-type derivatives, which ultimately led to erroneous conclusions about the structure of the isolated products. This misconception has a long history, the beginning of which lies in the first messages about the allocation of (poly)hydroxynaphthazarins from natural objects [67,68,69].
4. Conclusions
This review provides information on the establishment of the structure of natural dimeric (poly)hydroxynaphthazarins, metabolites of echinoderms and lichens. Due to the relatively low content of these products in natural objects, and for several other reasons, the establishment of their structure has encountered certain difficulties. Success in overcoming this issue was achieved by using modern physico-chemical research methods and counter synthesis. The results of these studies were the revisions of the structures and syntheses of metabolites of lichens Cetraria ‘olothuri, C. islandica, deep-sea holothuria Psychropotes longicauda, and a representative of the genus Benthodytes. The structure of islandoquinone, a metabolite of the lichen C. islandica, the backbone of which is dioxabenzo[a]tetracenetetraone, underwent a serious correction. Mesocentroquinone, the structure of which is based on benzo[g]chromedione, was synthesized earlier than it was isolated from the sea urchins Mesocentrotus nudus and Strongylocentrotus intermedius. In addition, the review provides information on clarifying the direction and mechanism of reactions in the synthesis of some natural dimeric (poly)hydroxynaphthazarins. This refers to the conversion of ethylidene-bis(trihydroxynaphthazarin) to linear dibenzo[b,i]xanthenetetraone, both of which are metabolites of the sea urchin Spatangus purpureus. Relatively recently, it was found that, as a result of this reaction, the angular dibenzo[b,h]xanthenetetraone, mirabiquinone was also formed, which was isolated from the sea urchin Scaphechinus mirabilis and synthesized later. Another example is also the clarification of the mechanism of the key synthesis reaction of hybocarpone, a metabolite of the lichen Lecanora hybocarpa.
Author Contributions
Conceptualization, V.P.A.; investigation, D.N.P. and K.L.B.; writing—original draft preparation, V.P.A.; writing—review and editing, D.N.P. and K.L.B.; supervision, V.P.A. All authors have read and agreed to the published version of the manuscript.
Funding
This research received no external funding.
Institutional Review Board Statement
Not applicable.
Data Availability Statement
Data sharing not applicable.
Conflicts of Interest
The authors declare no conflict of interest.
References
- Thomson, R.H. Naturally Occurring Quinones, 2nd ed.; Academic Press: London, UK; New York, NY, USA, 1971. [Google Scholar]
- Thomson, R.H. Naturally Occurring Quinones, 3rd ed.; Chapman & Hall: London, UK, 1987. [Google Scholar]
- Thomson, R.H. Naturally Occurring Quinones, 4th ed.; Blackie Academic and Professional: London, UK; New York, NY, USA, 1997. [Google Scholar]
- Trisuwan, K.; Khamthong, N.; Rukachaisirikul, V.; Phongpaichit, S.; Preedanon, S.; Sakayaroj, J. Anthraquinone, Cyclopentanone, and naphthoquinone derivatives from the sea fan-derived fungi Fusarium spp. PSU-F14 and PSU-F135. J. Nat. Prod. 2010, 73, 1507–1511. [Google Scholar] [CrossRef] [PubMed]
- Induli, M.; Cheloti, M.; Wasuna, A.; Wekesa, I.; Wanjohi, J.M.; Byamukama, R.; Heydenrich, M.; Makayoto, M.; Yenesew, A. Naphthoquinones from the roots of Aloe secundiflora. Phytochem. Lett. 2012, 5, 506–509. [Google Scholar] [CrossRef]
- Bitchagno, G.T.M.; Fonkeng, L.S.; Kopa, T.K.; Tala, M.F.; Wabo, H.K.; Tume, C.B.; Tane, P.; Kuiate, J.-R. Antibacterial activity of ethanolic extract and compounds from fruits of Tectona grandis (Verbenaceae). BMC Complement. Alternat. Med. 2015, 15, 265. [Google Scholar] [CrossRef] [PubMed]
- Beattie, K.D.; Ellwood, N.; Kumar, R.; Yang, X.; Healy, P.C.; Choomuenwai, V.; Quinn, R.J.; Elliot, A.G.; Huang, J.X.; Chitty, J.L.; et al. Antibacterial and antifungal screening of natural products sourced from Australian fungi and characterization of pestalactams D-F. Phytochemistry 2016, 124, 79–85. [Google Scholar] [CrossRef]
- Silva, A.S.; Amorim, M.S.; Fonseca, M.M.; Salvador, M.J.; de Sá, E.L.; Stefanello, M.É.A. A New Cytotoxic Naphthoquinone and Other Chemical Constituents of Sinningia reitzii. J. Braz. Chem. Soc. 2019, 30, 2060–2065. [Google Scholar] [CrossRef]
- Chen, D.; Qiao, J.; Sun, Z.; Liu, Y.; Sun, Z.; Zhu, N.; Xu, X.; Yang, J.; Ma, G. New naphtoquinones derivatives from the edible bulbs of Eleutherine americana and their protective effect on the injury of human umbilical vein endothelial cells. Fitoterapia 2019, 132, 46–52. [Google Scholar] [CrossRef]
- Lacret, R.; Varela, R.M.; Molinillo, J.M.G.; Nogueiras, C.; Macías, F.A. Anthratectone and naphthotectone, two quinones from bioactive extracts of Tectona grandis. J. Chem. Ecol. 2011, 37, 1341–1348. [Google Scholar] [CrossRef]
- Rauf, A.; Uddin, G.; Siddiqui, B.S.; Molnár, J.; Csonka, Á.; Ahmad, B.; Szabó, D.; Farooq, U.; Khan, A. A rare class of new dimeric naphthoquinones from Diospyros lotus have multidrug reversal and antiproliferative effects. Front. Pharmacol. 2015, 6, 293. [Google Scholar] [CrossRef]
- Rauf, A.; Hadda, T.B.; Patel, S.; Uddin, G.; Bawazeer, S.; Abu-Izneid, T.; Ahmad, B. Identification, structure elucidation, and antioxidant potential of a new compound from Diospyros lotus. Chem. Nat. Comp. 2017, 53, 849–851. [Google Scholar] [CrossRef]
- Iwata, D.; Ishibashi, M.; Yamamoto, Y. Cribrarione B, a New Naphthoquinone Pigment from the Myxomycete Cribraria cancellata. J. Nat. Prod. 2003, 66, 1611–1612. [Google Scholar] [CrossRef]
- Mischenko, N.P.; Fedoreyev, S.A.; Pokhilo, N.D.; Anufriev, V.P.; Denisenko, V.A.; Glazunov, V.P. Echinamines A and B, First Aminated Hydroxynaphthazarins from the Sea Urchin Scaphechinus mirabilis. J. Nat. Prod. 2005, 68, 1390–1393. [Google Scholar] [CrossRef]
- Yakubovskaya, A.Y.; Pokhilo, N.D.; Mischenko, N.P.; Anufriev, V.P. Spinazarin and Ethylspinazarin, Pigments of the Sea Urchin Scaphechinus mirabilis. Russ. Chem. Bull. Int. Ed. 2007, 56, 819–822. [Google Scholar] [CrossRef]
- Zhou, D.Y.; Qin, L.; Zhu, B.W.; Wang, X.D.; Tan, H.; Yang, J.F.; Li, D.M.; Dong, X.P.; Wu, H.T.; Sun, L.M.; et al. Extraction and antioxidant property of polyhydroxylated naphthoquinone pigments from spines of purple sea urchin Strongylocentrotus nudus. Food Chem. 2011, 129, 1591–1597. [Google Scholar] [CrossRef]
- Powell, C.; Hughes, A.D.; Kelly, M.S.; Conner, S.; McDougall, G.J. Extraction and identification of antioxidant polyhydroxynaphthoquinone pigments from the sea urchin, Psammechinus miliaris. LWT-Food Sci. Technol. 2014, 59, 455–460. [Google Scholar] [CrossRef]
- Hou, Y.; Vasileva, E.A.; Carne, A.; McConnell, M.; Bekhit, A.E.-D.A.; Mishchenko, N.P. Naphthoquinones of the spinochrome class: Occurrence, isolation, biosynthesis and biomedical applications. RSC Adv. 2018, 8, 32637–32650. [Google Scholar] [CrossRef]
- Ageenko, N.V.; Kiselev, K.V.; Odintsova, N.A. Quinoid Pigments of Sea Urchins Scaphechinus mirabilis and Strongylocentrotus intermedius: Biological Activity and Potential Applications. Mar. Drugs 2022, 20, 611. [Google Scholar] [CrossRef]
- Mathieson, J.W.; Thomson, R.H. Naturally occurrinq naphthoquinones. Part XVIII. New spinochromes from Diadema antillarum, Spatangus purpureus, and Temnopleurus torenmaticus. J. Chem. Soc. (C) 1971, 153–160. [Google Scholar] [CrossRef]
- Kol’tsova, E.A.; Denisenko, V.A.; Maksimov, O.B. Quinoid pigments of echinoderms. V. Pigments of the sea urchin Strongylocentrotus dröebachiensis. Chem. Nat. Compd. 1978, 14, 371–374. [Google Scholar] [CrossRef]
- Vasileva, E.A.; Mishchenko, N.P.; Tran, V.T.T.; Vo, H.M.N.; Bui, L.M.; Denisenko, V.A.; Fedoreyev, S.A. Quinoid Pigments from the Sea Urchin Astropyga radiate. Chem. Nat. Compd. 2017, 53, 356–358. [Google Scholar] [CrossRef]
- Mischenko, N.P.; Vasileva, E.A.; Fedoreyev, S.A. Mirabiquinone, a new unsymmetrical binaphthoquinone from the sea urchin Scaphechinus mirabilis. Tetrahedron Lett. 2014, 55, 5967–5969. [Google Scholar] [CrossRef]
- Pelageev, D.N.; Panchenko, M.N.; Pokhilo, N.D.; Denisenko, V.A.; Anufriev, V.P. Synthesis of lomazarin and norlomazarin, pigments from Lomandra hastilis. Chem. Nat. Comp. 2008, 44, 719–723. [Google Scholar] [CrossRef]
- Pelageev, D.N.; Panchenko, M.N.; Pokhilo, N.D.; Anufriev, V.P. Synthesis of 2,2′-(ethane-1,1-diyl)bis(3,5,6,7,8-pentahydroxynaphthoquinone)—A methobolite of sea urchins Spatangus purpureus, Strongylocentrotus intermedius and S. droebachiensis. Russ. Chem. Bull. Int. Ed. 2010, 59, 1472–1476. [Google Scholar] [CrossRef]
- Pelageev, D.N.; Anufriev, V.P. Synthesis of mirabiquinone A: A biquinone from the sea urchin Scaphechinus mirabilis and related compounds. Synthesis 2016, 48, 761–764. [Google Scholar]
- Krivoschekova, O.E.; Maximov, O.B.; Stepanenko, L.S.; Mishchenko, N.P. Quinones of the lichen Cetraria cucullata. Phytochemistry 1982, 21, 193–196. [Google Scholar] [CrossRef]
- Stepanenko, L.S.; Krivoshchekova, O.E.; Dmitrenok, P.S.; Maximov, O.B. Quinones of Cetraria islandica. Phytochemistry 1997, 46, 565–568. [Google Scholar] [CrossRef]
- Ernst-Russell, M.A.; Elix, J.A.; Chai, C.L.L.; Willis, A.C.; Hamada, N.; Nash, T.H.I. Hybocarpone, a novel cytotoxic naphthazarin derivative from mycobiont cultures of the lichen Lecanora hybocarpa. Tetrahedron Lett. 1999, 40, 6321–6324. [Google Scholar] [CrossRef]
- Glazunov, V.P.; Tchizhova, A.Y.; Shuvalova, M.I.; Anufriev, V.P. The chemistry of naphthazarin derivatives. 7. Determination of structure of substituted 2,6(7)-dihydroxynaphthazarins by UV- and IR-spectroscopy. Russ. Chem. Bull. Int. Ed. 2001, 50, 88–94. [Google Scholar] [CrossRef]
- Pokhilo, N.D.; Dragan, S.V.; Anufriev, V.P. Revision of the structure of cuculoquinone to 3,3′-bis(6-ethyl-2,5,7,8-tetrahydroxy-1,4-naphthoquinone) and confirmation of the proposed structure by synthesis. Tetrahedron Lett. 2011, 52, 3651–3653. [Google Scholar] [CrossRef]
- Bentley, R.; Campbell, I.M. Biological Reactions of Quinones. In The Chemistry of the Quinonoid Compounds; Patai, S., Ed.; Wiley-Interscience: London, UK, 1974. [Google Scholar]
- Torssell, K.B.G. Natural Product Chemistry; J. Wiley and Sons Limited: Hoboken, NJ, USA, 1983. [Google Scholar]
- Yamamoto, Y.; Matsubara, H.; Kinoshita, Y.; Kinoshita, K.; Koyama, K.; Takahashi, K.; Ahmadjiam, V.; Kurokawa, T.; Yoshimura, I. Naphthazarin derivayives from cultures of the lichen Cladonia cristatella. Phytochemistry 1996, 43, 1239–1242. [Google Scholar] [CrossRef]
- Naoe, A.; Ishibashi, M.; Yamamoto, Y. Cribrarione A, a new antimicrobial naphthoquinone pigment from a myxomycete Cribraria purpurea. Tetrahedron 2003, 59, 3433–3435. [Google Scholar] [CrossRef]
- Bringmann, G.; Rüdenauer, S.; Irmer, A.; Bruhn, T.; Brun, R.; Heimberger, T.; Stühmer, T.; Bargou, R.; Chatterjee, M. Antitumoral and antileishmanial dioncoquinones and ancistroquinones from cell cultures of Triphyophyllum peltatum (Dioncophyllaceae) and Ancistrocladus abbreviatus (Ancistrocladaceae). Phytochemistry 2008, 69, 2501–2509. [Google Scholar] [CrossRef] [PubMed]
- Prochazkova, E.; Kucherak, O.; Stodůlkova, E.; Tosner, Z.; Císarova, I.; Flieger, M.; Kolarik, M.; Baszczynski, O. NMR Structure elucidation of naphthoquinones from Quambalaria cyanescens. J. Nat. Prod. 2021, 84, 46–55. [Google Scholar] [CrossRef] [PubMed]
- Ettlinger, M.J. Hydroxynaphthoquinones. III. The structure of lapachol peroxide. J. Am. Chem. Soc. 1950, 72, 3472–3474. [Google Scholar] [CrossRef]
- da Silva, E.N., Jr.; Pinto, M.C.F.R.; Moura, K.C.G.; Simone, C.A.; Nascimento, C.J.; Andrade, C.K.Z.; Pinto, A.V. Hooker’s ‘lapachol peroxide’ revisited. Tetrahedron Lett. 2009, 50, 1575–1577. [Google Scholar] [CrossRef]
- Yakubovskaya, A.Y.; Kochergina, T.Y.; Denisenko, V.A.; Berdyshev, D.V.; Glazunov, V.P.; Anufriev, V.P. Synthesis and Study on Oxidative Coupling Products of 2-Hydroxy-1,4-naphthoquinones. Russ. Chem. Bull. Int. Ed. 2006, 55, 301–305. [Google Scholar] [CrossRef]
- Tchizhova, A.Y.; Anufriev, V.P.; Glazunov, V.P.; Denisenko, V.A. The chemistry of naphthazarin derivatives. 6. Hydration of 2-oxo-2,3-dihydro-1,4-naphthoquinone derivatives in organic solvents. Russ. Chem. Bull. Int. Ed. 2000, 49, 466–471. [Google Scholar] [CrossRef]
- Tchizhova, A.Y.; Kochergina, T.Y.; Anufriev, V.P.; Denisenko, V.A.; Glazunov, V.P. The Chemistry of Naphthazarin Derivatives 3. Synthesis of Dideoxy Analog of Islandoquinone. Russ. Chem. Bull. Int. Ed. 1999, 48, 938–943. [Google Scholar] [CrossRef]
- Tchizhova, A.Y.; Anufriev, V.P.; Glazunov, V.P.; Denisenko, V.A.; Moiseenko, O.P. Selective chlorination of hydroxynaphthazarins with dichlorine monoxide. Remarkable stability of some geminal diols derived from 2,3-dihydro-2-oxonaphthazarin. Synth. Commun. 1999, 29, 3971–3980. [Google Scholar] [CrossRef]
- Frisch, M.J.; Trucks, G.W.; Schlegel, H.B.; Scuseria, G.E.; Robb, M.A.; Cheeseman, J.R.; Montgomery, J.A.; Vreven, T.; Kudin, K.N.; Burant, J.C.; et al. Gaussian G03W, Revision, D.01; Gaussian, Inc.: Wallingford, CT, USA, 2004. [Google Scholar]
- Borisova, K.L.; Pelageev, D.N.; Kochergina, T.Y.; Pokhilo, N.D.; Pushilin, M.A.; Denisenko, V.A.; Berdyshev, D.V.; Anufriev, V.P. Concerning the structure of islandoquinone isolated from the lichen Cetraria islandica. Nat. Prod. Commun. 2014, 9, 837–840. [Google Scholar] [CrossRef]
- Nicolaou, K.C.; Gray, D.L.F. Total synthesis of hybocarpone. Angew. Chem. Int. Ed. 2001, 40, 761–763. [Google Scholar] [CrossRef]
- Nicolaou, K.C.; Gray, D.L.F. Total synthesis of hybocarpone and analogues there of. A facile dimerization of naphthazarins to pentacyclic systems. J. Am. Chem. Soc. 2004, 126, 607–612. [Google Scholar] [CrossRef] [PubMed]
- Nicolaou, K.C.; Hale, C.R.H.; Nilewskia, C.; Ioannidoua, H.A. Constructing molecular complexity and diversity: Total synthesis of natural products of biological and medicinal importance. Chem. Soc. Rev. 2012, 41, 5185–5238. [Google Scholar] [CrossRef] [PubMed]
- Chai, C.L.L.; Elix, J.A.; Moore, F.K.E. An expedient and efficient synthetic route to some naturally occurring polyfunctional naphthazarins. Tetrahedron Lett. 2001, 42, 8915–8917. [Google Scholar] [CrossRef]
- Chai, C.L.L.; Elix, J.A.; Moore, F.K.E. Concise formal total synthesis of hybocarpone and related naturally occurring naphthazarins. J. Org. Chem. 2006, 71, 922–1001. [Google Scholar] [CrossRef]
- Wu, S.K.-L.; Cohen, E.P.M.T.; Huang, Y.; Pettus, T.R.R. First total synthesis of malvone a and formal syntheses of boryquinone and hybocarpone using a concise strategy for construction of unsymmetrical naphthoquinones. Synlett 2009, 8, 1273–1276. [Google Scholar]
- Chen, W.; Guo, R.; Yang, Z.; Gong, J. Formal total synthesis of hybocarpone enabled by visible-light-promoted benzannulation. J. Org. Chem. 2018, 83, 15524–15532. [Google Scholar] [CrossRef]
- Dragan, S.V.; Pushilin, M.A.; Glazunov, V.P.; Denisenko, V.A.; Anufriev, V.P. Total synthesis of hybocarpone, a cytotoxic naphthazarin derivative from the lichen Lecanora hybocarpa, and related compounds. Nat. Prod. Commun. 2014, 9, 1765–1768. [Google Scholar] [CrossRef]
- Glazunov, V.P.; Tchizhova, A.Y.; Shestak, O.P.; Sopelnyak, G.I.; Anufriev, V.P. The chemistry of naphthazarin derivatives. 8. Determination of structure of substituted 2-hydroxy-6(7)-methoxynaphthazarins, and 7(8)-hydroxypyranonaphthazarins by IR-spectroscopy. Russ. Chem. Bull. Int. Ed. 2001, 50, 95–100. [Google Scholar] [CrossRef]
- Pelageev, D.N.; Dragan, S.V.; Pushilin, M.A.; Denisenko, V.A.; Berdyshev, D.V.; Glazunov, V.P.; Anufriev, V.P. Synthesis and study on oxidative coupling products of 3-alkyl-2-hydroxynaphthazarins. Russ. Chem. Bull. Int. Ed. 2012, 61, 2102–2108. [Google Scholar] [CrossRef]
- Stephens, P.J.; Devlin, F.J.; Chabalowski, C.F.; Frisch, M.J. Ab initio calculation of vibrational absorption and circular dichroism spectra using density functional force fields. J. Phys. Chem. 1994, 98, 11623. [Google Scholar] [CrossRef]
- Dragan, S.V.; Borisova, K.L.; Pelageev, D.N.; Anufriev, V.P. Concerning the stereoselectivity of the oxidative dimerization of 3-alkyl-2-hydroxy-1,4-naphthoquinones in the synthesis of hybocarpone. Nat. Prod. Commun. 2019, 14. [Google Scholar] [CrossRef]
- de Silva, E.N., Jr.; Cavalcanti, B.C.; Guimarães, T.T.; Pinto, M.C.F.R.; Cabral, I.O.; Pessoa, C.; Costa-Lotufo, L.V.; de Moraes, M.O.; de Andrade, C.K.Z.; dos Santos, M.R.; et al. Synthesis and evaluation of quinonoid compounds against tumor cell lines. V. Eur. J. Med. Chem. 2011, 46, 399–410. [Google Scholar] [CrossRef]
- Borisova, K.L.; Pelageev, D.N.; Melman, G.I.; Mashnev, B.P.; Anufriev, V.P. Synthesis of (+/–)-mesocentroquinone, a biquinone of a novel structural class and metabolite of sea urchins Mesocentrotus nudus and Strongylocentrotus intermedius, and related compounds. Chem. Nat. Compd. 2022, 58, 1006–1010. [Google Scholar] [CrossRef]
- Vasileva, E.A.; Mishchenko, N.P.; Tran, V.T.T.; Vo, H.M.N.; Fedoreyev, S.A. Spinochrome identification and quantification in pacific sea urchin shells, coelomic fluid and eggs using HPLC-DAD-MS. Mar. Drugs 2021, 19, 21. [Google Scholar] [CrossRef]
- Moore, R.E.; Scheuer, P.J. Nuclear magnetic resonance spectra of substituted naphthoquinones. Influence of substituents on tautomerism, anisotropy, and stereochemistry in the naphthazarin system. J. Org. Chem. 1966, 31, 3272–3283. [Google Scholar] [CrossRef] [PubMed]
- Glazunov, V.P.; Tchizchova, A.Y.; Pokhilo, N.D.; Anufriev, V.P.; Elyakov, G.B. First Direct Observation of Tautomerism of Monohydroxynaphthazarins by IR-Spectroscopy. Tetrahedron 2002, 58, 1751–1757. [Google Scholar] [CrossRef]
- Glazunov, V.P.; Yakubovskaya, A.Y.; Pokhilo, N.D.; Bochinskaya, N.V.; Anufriev, V.P. Chemistry of naphthazarin derivatives 9. Direct observation of prototropic tautomerism of (poly)hydroxynaphthazarins by IR-spectroscopy. Russ. Chem. Bull. Int. Ed. 2003, 52, 198–207. [Google Scholar] [CrossRef]
- Mariam, Y.H.; Musin, R.N. A B3LYP study of intramolecular hydrogen bonding and proton transfer in naphthazarin: A model system for daunomycin/adriamycin. J. Mol. Struct. (Theochem) 2001, 549, 123–136. [Google Scholar] [CrossRef]
- Glazunov, V.P.; Pokhilo, N.D.; Bochinskaya, N.V.; Yakubovskaya, A.Y.; Anufriev, V.P. Chemistry of naphthazarin derivatives. 10. First direct observation of prototropic tautomerism of 1′-hydroxyalkylnaphthazarins by IR spectroscopy. Russ. Chem. Bull. Int. Ed. 2003, 52, 1629–1632. [Google Scholar] [CrossRef]
- Shikov, A.N.; Ossipov, V.I.; Martiskainen, O.; Pozharitskaya, O.N.; Ivanova, S.A.; Makarov, V.G. The offline combination of thin-layer chromatography and high-performance liquid chromatography with diode array detection and micrOTOF-Q mass spectrometry for the separation and identification of spinochromes from sea urchin (Strongylocentrotus droebachiensis) shells. J. Chromatogr. A 2011, 1218, 9111–9114. [Google Scholar]
- Kuroda, C.; Ohshima, H. The pigments from the sea urchins and the synthesis of the related compounds. Proc. Imp. Acad. 1940, 16, 214–217. [Google Scholar] [CrossRef]
- Lederer, E. Sur les pigments naphthoquinoniques des epines et du test des oursins Paracentrotus lividus et Arbacia pustulosa. Biochim. Biophis. Acta 1952, 9, 92–101. [Google Scholar] [CrossRef] [PubMed]
- Kuroda, C.; Okajima, M. Studies on the derivatives of naphthoquinones. XII. The pigments from the sea urchins. Proc. Jpn. Acad. 1954, 30, 982–986. [Google Scholar] [CrossRef]
Disclaimer/Publisher’s Note: The statements, opinions and data contained in all publications are solely those of the individual author(s) and contributor(s) and not of MDPI and/or the editor(s). MDPI and/or the editor(s) disclaim responsibility for any injury to people or property resulting from any ideas, methods, instructions or products referred to in the content. |
© 2023 by the authors. Licensee MDPI, Basel, Switzerland. This article is an open access article distributed under the terms and conditions of the Creative Commons Attribution (CC BY) license (https://creativecommons.org/licenses/by/4.0/).



























