Abstract
This review article presents past and current alginate-based materials in each application, showing the widest range of alginate’s usage and development in the past and in recent years. The first segment emphasizes the unique characteristics of alginates and their origin. The second segment sets alginates according to their application based on their features and limitations. Alginate is a polysaccharide and generally occurs as water-soluble sodium alginate. It constitutes hydrophilic and anionic polysaccharides originally extracted from natural brown algae and bacteria. Due to its promising properties, such as gelling, moisture retention, and film-forming, it can be used in environmental protection, cosmetics, medicine, tissue engineering, and the food industry. The comparison of publications with alginate-based products in the field of environmental protection, medicine, food, and cosmetics in scientific articles showed that the greatest number was assigned to the environmental field (30,767) and medicine (24,279), whereas fewer publications were available in cosmetic (5692) and food industries (24,334). Data are provided from the Google Scholar database (including abstract, title, and keywords), accessed in May 2023. In this review, various materials based on alginate are described, showing detailed information on modified composites and their possible usage. Alginate’s application in water remediation and its significant value are highlighted. In this study, existing knowledge is compared, and this paper concludes with its future prospects.
1. Introduction
Alginate constitutes a hydrophilic and anionic polysaccharide originally extracted from natural brown algae (kelp) and bacteria [1,2]. The main species of brown algae as the source of alginates represent Ascophyllum nodosum, Durvillea antarctica, Laminaria digitata, Laminaria hyperborea, Macrocystis pyrifera, Ecklonia maxima, Laminaria japonica, Sargassumspp, and Lessonia nigrescens [3,4,5]. Enzymes such as alginate lyases can degrade these polymers into monosaccharides and oligosaccharides, which leads to major applications [6]. A wide variety of functional features, such as biocompatibility, ease of gelation, and bioadhesive and biodegradable properties, are the main reason why alginate has many applications (see Figure 1).
Figure 1.
Schematic presentation of alginate properties (graphic was prepared with program BioRender.com, accessed on 18 April 2023).
Alginate materials can be found in the medical, cosmetic, and engineering industries [7,8].
The gel-forming and ion-exchange capability of alginates make them useful in wound-regeneration materials. In recent years, the improvement in these materials enhanced their antimicrobial, absorption, and gel-forming properties. The development of alginate fibers enabled the discovery of new functional biomaterials [9]. Alginate generally occurs as water-soluble Na alginate and is transformed into Ca-alginate beads. These forms are used as adsorbents that remove heavy metal ions. Chelating and mucoadhesive properties are other reasons to use this material in drug delivery systems in the pharmacological field. Moreover, due to its degradation ability and recycling, alginate is considered an environmentally friendly polymer. The physicochemical properties of alginates, such as sol–gel transition, pH responsivity, and thermostability, make alginate materials a fast-developing field. These properties can be modified in the presence of surfactants, crosslinkers, and their concentrations, as well as stirring time manipulations. Using processing parameters and different techniques, it is possible to obtain nanoparticles with a desirable encapsulation efficiency, size, drug release profile, and zeta potential [10,11,12,13].
This review will provide an extensive survey of alginate’s structure, chemical properties, and applications and suggests new perspectives for future studies with these polymers.
2. Chemical Structure and Properties of Alginate
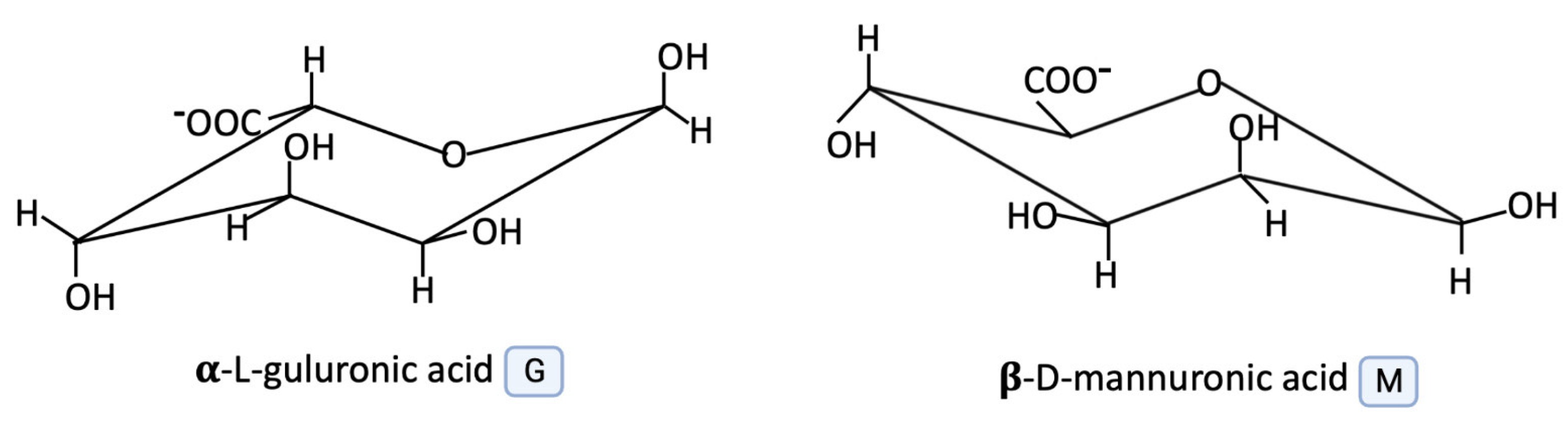
Alginate is an unbranched polysaccharide copolymer built from L-guluronic and D-mannuronate blocks combined together with 1,4-glycosidic linkages [14]. The structures of α-L-guluronic acid and ß-D-mannuronic acid are shown in Figure 2.
Figure 2.
The structure of α-L-guluronic acid and ß-D-mannuronic acid (graphic was prepared with program BioRender.com, accessed on 18 April 2023).
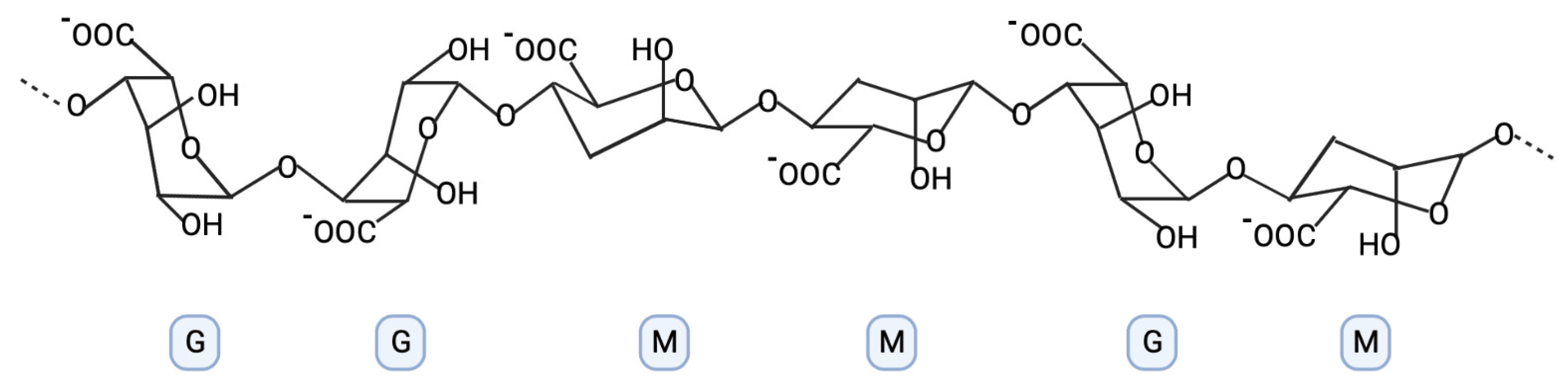
The D-mannuronate component is the main fraction in the precipitation process with Ca salts. The content ratio of mannuronate to guluronate can vary and depends on the source of alginates. Alginate linear copolymers are built with blocks of (1,4)-linked α-L-guluronate (G) and ß-D-mannuronate (M), as one can see in Figure 3. Only the G-block structure is involved in the intermolecular covalent crosslinking binding with divalent cations and leads to the hydrogel-forming process. The length of the G-block, M/G ratio, and molecular mass are important agents with an influence on the physical properties of alginates [15,16,17,18].
Figure 3.
The structure of alginate with the MG and GM residues (graphic was prepared with program BioRender.com, accessed on 18 April 2023).
The molecular mass of alginates varies depending on their origin, whereas bacteria-derived alginates are distinguished by high molecular masses and a high degree of polymerization [19,20]. The process of gelation can be induced by the presence of divalent cations, for example, Ca2+, Ba2+, or Mg2+, which initiates alginate aggregation and forms a physical gel [21]. One of the main parameters that influence the hydrogelling ability of alginate is pH responsivity; material shrinks in at a low pH, whereas it swells and releases the medications from its carriers at higher pH values as a promising drug medium material for oral delivery. The structure of the gel is determined by ion type, sequence, composition, and guluronic residue content [15]. Alginate is supplied in various forms on the market: powder, powder with an activator, and paste. The most common form of alginate is powder, which can be mixed with water. The paste is available in two states that vary in viscosity: tray and syringe viscosity. When comparing the state of the paste to the powder state, the paste requires a shorter gelation time, and studies have shown that the paste form better meets the requirements of the dentistry industry than the powder form [22].
The mechanism of alginates in a natural state can interact with cationic polyelectrolytes and proteoglycans via a pH-dependent anionic nature, whereas in delivery systems for cationic medications, electrostatic interactions are used [7,8].
3. Alginate Extraction and Origin
Nowadays, alginates used commercially are extracted from various species of brown seaweed, as can be seen in Figure 4 [23].
Figure 4.
Alginate origin (graphic was prepared with program BioRender.com, accessed on 18 April 2023).
Increasing CO2 levels caused by climate change have become a threat to seaweed fields. The alternative methods of laboratory cultivation or obtaining a specific ratio of (1,4)-linked α-L-guluronate (G) and ß-D-mannuronate (M) to suit the proper expectations are time- and money-consuming. Therefore, there is an increasing need for customizable sources of alginates. Alginate extraction methods can be divided into conventional and non-conventional, as Figure 5 shows.
Figure 5.
Alginate extraction methods (graphic was prepared with program BioRender.com, accessed on 18 April 2023).
Species of Azotobacter and Pseudomonas also constitute sources of alginate [24,25,26]. Gram-negative bacteria extracted from water, soil, or other natural or laboratory environments, as an opportunistic pathogen, can be a reason for severe infections of urinary, respiratory, or cystic fibrosis infections [27,28]. The genome of P. aeruginosa contains many secreted virulence factors, such as exoenzymes, exotoxins, proteases, and lipases [29]. In the outer membrane, the cell of P. aeruginosa includes virulence factors such as lipopolysaccharide (LPS) [30]. The main feature of this bacteria is the capability to produce biofilms rich in alginates [31,32,33,34,35]. In Pseudomonas aeruginosa, alginate is polymerized and secreted by a specific unit that spans the outer and inner membranes of the bacteria [36,37]. The particular protein in this unit is expressed by a biosynthetic operon with 12 coding sequences [38]. These genes are observed in bacterial species that produce alginate. According to Pseudomosas aeruginosa, the expression of this operon is controlled and regulated by AlgU, which is the sigma factor expressed from the alginate regulatory operon [39,40]. Positive alginate biosynthesis regulators act via the degradation of the AlgU regulator to release AlgU, resulting in the expression of the biosynthetic operon and, finally, alginate production [41,42,43]. The biotechnology method of producing alginates from bacteria is complicated due to potential pathogenicity and diversified content in various strains. Other research has shown that the overexpression of the alginate biosynthesis activator MucE is made possible by activating the protease AlgW, which degrades MucA, thus activating AlgU [44]. Alternative methods are based on deleting five virulence factor genes from the chromosome of a type of P. aeruginosa strain, which leads to the attainment of a non-pathogenic strain: PGN5. The PGN5 strain can produce high amounts of alginate. Biotechnology methods can make alginates with desired physical properties, improving their features and expanding their application [45].
4. Alginate Applications
4.1. In Cosmetics
Novel research published by Sayin et al. [46] has shown that alginate extracted from Sargassum vulgare can be used as a preservative agent in cosmetics. As the study showed, alginate indicates a higher antimicrobial effect than commercially used herbal preservative 705, which contains glyceryl caprylate and glyceryl undecylenate. The results of the research have shown that alginate from Sargassum vulgare needed less time to initialize antimicrobial activity on microorganisms such as Staphylococcus aureus, Pseudomonas aeruginosa, Candida albicans, Aspergillus brasiliensis, and Escherichia coli. Antimicrobial tests were performed according to the ISO 11930 standard [46]. The literature provides information about the most proper and the best-quality sources of alginates in cosmetic applications, such as Laminaria hyperborea, Laminaria digitata, and Laminaria japonica, whereas the most common source of marine polysaccharides is brown seaweed in the Phaeophyceae family, Macrocystis pyrifera [47,48,49]. In cosmetics, alginates are used for the encapsulation of oils, which mask their specific undesirable effects and help to maintain their stability. The medium is classified in addition to its structure, the number of cores, and sizes. The encapsulation techniques, where the encapsulating material is alginate, use internal, external, or inverse-gelation mechanisms. Alginates are widely commercially used because of their gelling capacity and biocompatibility [50]. Recent research has shown that sodium alginate can be used with tetradecylallydimethylammonium bromide as shells based on complex coacervation–emulsion polymerization to create apple aroma microcapsules with a potential application in cosmetics [51].
Oils for cosmetic applications such as argan oil, berry oil, caprylic/capric triglyceride, apricot kernel oil, raspberry oil, ginko biloba oil, moringa, Pistacia Lentiscus oil, rose hip oil, camellia oil, black wheat oil, and jojoba and soybean oil can be encapsulated by alginate to protect active substances and to obtain a controlled release in skincare and haircare products [52,53].
Novel research has shown that cosmetic patches that enhance the moisture, adhesiveness, and delivery of active substances to the skin are developed using spirulina extract-impregnated alginate nanofiber supported by polycaprolactone nanofiber cover. The tests showed that none of the three components detected cytotoxicity in a human keratinocyte-cell-based examination. Furthermore, the patch caused an increase in moisture and adhesiveness to the skin [54].
The application of alginates is wide. Alginate helps to maintain proper skin or hair moisture in creams, emulsions, hair gels, and face masks, which means it can work as a humectant in cosmetic formulas. It also protects the cosmetic product from stratification of phases in emulsions. It is often used as a gelling agent in acidic pH and consistency regulators.
4.2. In Food
The United States Food and Drug Administration (FDA) institution has approved alginate for a variety of applications, such as food, medicine, and supplements [55,56,57,58,59]. In the food industry, alginate is used as a stabilizer as well as an emulsifying and thickening agent. Because of its polysaccharide indigestible structure, alginate can be a source of dietary fiber as well, which helps digestion regulation and works as a prophylactic measure in gastrointestinal and cardiovascular diseases [60,61]. Recently published articles have shown that alginate-based microgels with polymeric and colloidal fillers can enhance probiotic stability during food storage. Lactobacillus casei encapsulated by calcium alginate microgels with polymeric or colloidal fillers can increase probiotic viability [62].
Nowadays, the food industry is focused on functional food. Research has shown that cocoa extract can be encapsulated using alginate. The extrusion method can induce either internal or external gelation. Alginate/cocoa beads with calcium prepared via the internal gelation method represented a more homogenous and compact structure, whereas the beads obtained by the external gelation method were harder because of the more rigid shell which formed due to the migration of calcium to the exterior of the beads [63]. The main characteristics of alginates that make them thickeners, stabilizers, and restructuring agents in the food industry are their perfect gelling abilities at low temperatures and thermostability. They can also be used as a carrier for protective coatings for fruits and vegetables [64]. Research has shown that single alginate films exhibit more appropriate features for food packaging applications than single-pectin or composite films [65].
Water solutions of alginate indicate higher viscosities and an exceptional sheer thinning effect compared to other commercially used thickeners. The applied sheer thinning effect while processing can lower the viscosity of the food mixture [66]. Alginate’s thickening abilities are well used in marmalades, jams, and fruit sauces, as alginate–pectin interactions provide heat-reversible effects and higher viscosity. Other applications of alginates in the food industry are thickener agents for desserts, savory sauces, and mayonnaise. The hydrophilic nature of alginates helps to improve the retention of moisture and food texture and provides better organoleptic features to promote customer acceptance [67]. According to the perfect gelling abilities in high and low temperatures and at a low pH, alginates can be used in food processing, for example, in bakery creams in which alginates reduce the separation of the liquid and solid components. In ice cream, alginate is used with other hydrocolloids to control the viscosity of the product, maintain temperature resistance, and reduce shrinkage and ice crystal formation [68,69]. The proper tensile strength and flexibility of alginates make them suitable as an ingredient for food coatings. Once the surface of the food touches the water solution, alginate becomes an edible coating, protecting the product. The film-forming ability of alginates can be a potential answer to replacing non-recyclable food packaging. Alginate and gellan-based coatings are used to prolong the shelf life of fresh-cut Fuji apples packed in trays. The shelf life for control apple slices was four days, whereas using the alginate coatings shelf life for Fuji apples prolonged the shelf life to two weeks [70]. In addition, alginate gels are safe to use and provide better stability for the product and prolong its shelf life [71,72]. Alginate encapsulation techniques, such as spray drying, spray cooling, and spray freezing microfluidization, can provide acidulants, fats, and flavors, which are widely used in the food industry for food processing, improving the functionality and acceptability of the product.
4.3. In Medicine
Alginates are commonly used in medicine, tissue engineering, drug delivery, and as a drug component in medications that prevent gastric reflux because of their non-antigenicity, biocompatibility, biodegradability, and chelating ability [7,8]. Furthermore, alginate encapsulation techniques are used in drug delivery applications [73].
The delivery systems for cationic drugs can be received by electrostatic interactions because of the pH-dependent anionic alginate structure and its response to cationic polyelectrolytes and proteoglycans’ capability. Scaffolds are one of the methods of delivering drugs, therapeutical cells, and growth factors into their proper place in the organism and play an essential role in protecting incorporated substances or cells from the biological environment. The scaffold’s time of degradation can be regulated with a proper pH as well as mechanical or swelling properties. Kun Ma et al. [74] have shown that alginate in fibrin/alginate blended hydrogels used in cartilage tissue engineering, especially for the support of bone-marrow-derived mesenchymal stem cells, enhance the gel biostability and support collagen II and glycosoaminoglycan production and chondrogenic gene expression. Moreover, alginate scaffolds seeded with cardiomyocytes can prevent deterioration in cardiac function after myocardial infarction in rats [75]. Chitosan–alginate hybrid scaffolds are used in bone tissue engineering. Li et al. [76] showed that the chitosan–alginate scaffold could be prepared from solutions of physiological pH. This approach provided a favorable environment for incorporating proteins with less risk of denaturation. Moreover, alginate scaffolds can deliver heparin-binding angiogenic factors or a combination of growth factors such as VEGF, PDGF-BB, and TGF-B1 in various tissue-regeneration processes [77].
The degradation time and mechanical properties can also be successfully regulated by the molecular weight of alginate—the higher the molecular weight, the slower the degradation rate, which influences the mechanical properties of biomaterial via structural changes [78,79]. As research has shown, the potential of alginate in regenerative medicine is very promising; thus, the demand for alginate-based biomaterials is still rising [80,81,82]. Tested alginate-based materials indicate possible vascularization, low inflammatory response, degradation, and protection of wounds from bacterial infection. Depending on the character of a wound, the wound dressing should maintain accurate properties; for example, in some cases, it should provide a moist occlusion dressing to help the skin heal in a shorter time. There are many kinds of alginate-based wound dressings, such as hydrogel, sponges, and electrospun mats [83,84,85]. The antiseptic capability and decreased tissue regeneration time provided by better cosmetic repair of the wounds, as well as easy gel-forming ability, are the significant advantages of alginates in this field [86]. Moreover, alginate-based materials in various forms, such as microspheres or injectable hydrogels, are used in cartilage regeneration and broadly defined tissue engineering [87,88,89,90,91,92,93,94]. Furthermore, reconstructive bone therapy that utilizes adequate scaffolds with growth factors or cells may improve the process of tissue regeneration [95,96,97,98,99,100]. Several studies have shown that alginate is successfully used in scaffolds to improve healing [100,101,102,103,104,105,106,107]. Alginate materials are commonly used in drug delivery systems as colloidal particles, hydrogels, porous scaffolds, and polyelectrolyte complexes, as well as microspheres [108,109,110,111,112].
4.4. In Dentistry
Alginate materials are well used in dentistry as adhesives and impression materials that can be painted or sprayed on the tissue. Before use, alginates are provided in powder form, which can be mixed with water. It is crucial to use demineralized water because metal cations can affect the accuracy and setting of the alginate. The obtained mixture should be creamy, without air in it. After this step, the mixture can be placed in the patient’s arch, and then alginate can flow into the cavities and record details. After a short time, the dentition fingerprint is taken by a quick snap, washed, disinfected, and stored in a waterproof package. However, the impression materials should not be stored for too long because of possible dental inaccuracies in time [113,114,115,116,117,118,119]. The double impression technique uses thermo-plastic pastes that are composed of fluid paste and basic paste which, before usage, should be activated with proper catalysts. The elastomers are more stable than alginates but require a good and quick technique of application [120]. Digital fingerprinting techniques are promising alternatives to the standard techniques in order to obtain the most precise fingerprint and durable material [121]. The summary of alginate applications is shown in Figure 6.
Figure 6.
Alginate application (graphic was prepared with program BioRender.com, accessed on 18 April 2023).
4.5. In Environmental Protection
The industrialized environment produces waste containing heavy metals, which enter the trophic chain and are transferred from soil, water, plants, and animals to humans [122].
Heavy metals accumulate in the organism and can cause changes in protein synthesis, disturbances in ATP production, and, in the end, carcinogenic changes [123]. To prevent heavy metal ions from transferring to the environment, a study showed that alginate-based materials could be low-cost and effective adsorbents for heavy metals such as Pb (II), Cu (II), and Cd (II) from aqueous solutions as they contain carboxyl and hydroxyl groups [124].
Although sodium alginate has some restrictions, such as thermal degradation and poor stability, the modifications and alginate composites help to provide the expected characteristics for each application [125]. Heavy metal ion adsorption is based on physicochemical interactions between metal ions and the functional groups on the surface of the adsorbent, including electrostatic interactions, chelation, complexation, reduction, and ion exchange. In alginate-based adsorbents, hydroxyl groups are responsible for these interactions [126]. The heavy metal retention capacity is dependent on the pH value of the solutions comprising metals, which have an influence on the surface charge of absorbates and adsorbents. Low pH values cause the decreased adsorption of metals such as Cd2+, Cu2+, Zn2+, Co2+, and Ni2+, whereas due to deprotonation, anionic metals such as Au(CN)2−, AuCl4−, PtCl34−, CrO24−, and SeO24− indicate increased adsorption [127].
Next to heavy metal ions, environmental pollution is also caused by synthetic dyes entering water systems. The pharmaceutical, paper, textile, and food industries use synthetic dyes in tons, but due to improper processing, it is considered a major environmental problem as it is highly toxic [128]. Cationic dyes can interact with negatively charged cell membranes and can easily transfer into the cell cytoplasm [129]. Anionic dyes are less toxic than cationic dyes. Crystal violet dye is a common basic dye used in the textile, veterinary, and food industries [130]. Crystal violet dye is regarded as a mutagen and mitotic poison [131,132]. Magnetite alginate beads constitute a promising, efficient, and low-cost method for the removal of crystal violet dye from aqueous solutions. The limitation of using alginate individually is that the sorbent without magnetite showed a low regeneration capacity and could be used one time with proper efficiency. Magnetite alginate can be effectively used up to four times using 0.01 M HCl, which means the sorbent is a promising alternative for removing dye from industrial wastewater [133]. Magnetic alginate beads also have potential to be used as a sorbent for lanthanum (III) from the aqueous solutions regenerated by 0.1 M CaCl2 with optimal efficiency [134]. Lanthanum is used in catalysts, batteries, and the ceramics industry [135,136] due to its unique physicochemical properties. The occurrence of this chemical element is rare. It can be found in monazite, cerite, bastnasite, and allanite earth [137].
Nevertheless, high concentrations of lanthanum entering the environment, especially water, is considered toxic waste. Therefore, it is necessary to develop adsorbents to efficiently remove lanthanum from water to protect the environment and recover a rare chemical element.
5. Comparison of Existing Knowledge in the Field of Alginate-Based Materials
The structure of alginates has a significant number of free hydroxyl and carboxyl groups located along the polymer chain; thus, in contrast to neutral polysaccharides, they have two types of functional groups that can undergo modification. The modification process can lead to a change in the properties of a mentioned compound. There are several methods that are commonly used regarding hydroxyl groups, such as alginate-reductive amination, copolymerization, coupling cyclodextrin units, sulfation, and oxidation. Other possibilities, including modification in carboxyl groups, use amidation, esterification, and Ugi reaction [138,139].
Novel techniques use cryotropic gelation with non-deep freezing of the solution containing proper precursors, its storage while frozen and thawing, and obtaining cryogels. Cryogels have a high amount of interconnected macropores as well as gigapores, where sizes are up to 100 µm. These pores are created by growing crystals in the solvent [140]. The method of cryogelation can be divided into cation-free or ionotropic cryogelation. In the extraction process, alginate is surrounded by a non-solvent that can strengthen the polymer structure. However, supercritical drying to obtain macroporous alginate has not been conducted yet [141,142,143,144,145,146]. In the 1960s, several laboratories used non-solvent-induced Phase Separation by Loeb and Sourirajan [147], in which a polymer solution separates into polymer-rich and polymer-lean phases as the solubility of the macromolecules decreases because of the addition of non-solvent. This technique is used in polymer technology to diversify a set of synthetic and non-synthetic polymers [148]. Recently, the non-solvent features of solvents were used to improve the strength of the alginate material [149,150,151]. Carbon dioxide-induced gelation is a method that obtains even giant monoliths [152]. It began in 1990 and was performed by Draget et al. [153]. The modification of this method was recently developed by Gurikov et al. [154,155]. Another method is based on the generation of protons via water electrolysis in a water solution of sodium alginate. The crosslinking process of alginate can be delivered using Ca2+ or Fe3+ cations [156]. There were also approaches for electrospinning alginate in concentrated solutions of calcium, magnesium, or barium salts [157]. The literature shows that alginate is biocompatible, non-toxic, and biodegradable when administered orally [158]. However, there is a disagreement when it comes to intravenous alginate administration. Tests have shown that there was a foreign body and fibrosis reaction while using it intravenously [159,160], while different reports have showed a slight or no response at all after using alginate implants [161]. In most cases, alginate after free-flow electrophoresis purification does not cause foreign body reactions [162]. The immunogenic response to alginate by intravenous administration may be caused by toxic contaminants from commercial alginates [163].
Polymers with charge density can be mucoadhesive agents [164,165,166]. Polyanionic polymers are reportedly more effective as bioadhesives than polycation polymers or nonionic polymers [164]. Therefore, alginate with carboxylic groups is a promising mucoadhesive agent. Compared to chitosan, polylactic acid, carboxymethyl cellulose alginate has the highest mucoadhesive strength [165]. Although alginate is successfully used in many applications in food, cosmetics, dentistry, and medicine, the form of calcium alginate has its limitations. However, the method used to obtain the form of calcium alginate is simple; the loss of the compound during this process by bonding the created pores is significant [167,168]. Therefore, there are many reports in the literature about the crosslinking process of alginate. Sodium alginate [169,170,171] or sodium alginate with gelatin or ovalbumin [172] was crosslinked with aldehydes [169]. Chan et al. in 2002 [169] used pentane diol with two aldehyde groups to create crosslinkage between two alginate molecules by the formation of two hydroxyl groups via pentanedial. Other methods discussed in this chapter overcome the limitations caused by a relatively large pore size and instability in higher pH environments [163]. Developing new systems for nanotechnology using natural biopolymers is an open issue [173]. We can expect that alginate will play an important role in this field as well.
Currently, alginate-based materials are gaining more recognition. The scientific literature in the year 2000 had a total of 2020 results for the words “alginate” and “environment” together and 45 results for “alginate-based, environment” for products with an alginate base in environmental remediation (see Figure 7). In the year 2022, the number of publications in the first example raised to 36,300, while in 2023, the results numbered 15,800, whereas the number of publications for products based on alginate was 6300 for the year 2022 and 3000 for the year 2023. The results were obtained using the Google Scholar database in both cases, including the abstract, title, and keywords. The total list of publications was 367,047 (date of access: May 2023).
Figure 7.
Number of publications over the years on alginate-based materials in environmental field (search for words “alginate” and “environment” together) and products based on alginate in this field (search for the phrase “alginate-based” and “environment”). Data are provided from Google Scholar database (in both matters including abstract, title, and keywords); accessed on 18 April 2023.
Alginate-based materials in medicine in the years 2000–2023 showed a comparatively large increase. The total amount of publications in the Google Scholar database when searching for the phrases “alginate” and “medicine” together and “alginate-based” and “medicine” in one search yielded 291,449 results (see Figure 8). Comparatively, in the year 2000, the total sum of the scientific articles for both searches was 1786, whereas the results for alginate-based products were significantly lower (36) than the findings for the phrases “alginate” and “medicine” (1750). By the end of 2022, the total findings raised to 34,800, whereas in May 2023, it was 15,350.
Figure 8.
Number of publications over the years on alginate-based materials in medicine field (search for words “alginate” and “medicine” together) and products based on alginate in this field (search for the phrase “alginate-based” and “medicine”). Data are provided from Google Scholar database (in both matters including abstract, title, and keywords); accessed on 18 April 2023.
According to research findings, alginate is commonly used in cosmetics, although in scientific articles, the combination of the words “alginate” and “cosmetics” as well as “alginate-based” with the phrase “cosmetics” yielded fewer results than in medicine and environmental fields—the number of publications in the years 2000–2023 was 68,648 (see Figure 9). The reason for this could be a lack of results published by cosmetic companies. Compared to the year 2000, the list of scientific articles including the mentioned phrases rose from 301 to 10,880 by the end of 2022, whereas in May 2023, the number was 4282.
Figure 9.
Number of publications over the years on alginate-based materials in cosmetic field (search for words “alginate” and “cosmetics” together) and products based on alginate in this field (search for the phrase “alginate-based” and “cosmetics”). Data are provided from Google Scholar database (in both matters including abstract, title, and keywords); accessed on 18 April 2023.
In recent decades, alginate applications in the food industry have gained recognition. In early 2000, the results for “alginate” and “food” as well as alginate-based products in food industry applications described as “alginate-based” and “food” yielded 1505 scientific articles, whereas by the end of 2022, the number was 35,450, and in May 2023, it was 14,780 (see Figure 10).
Figure 10.
Number of publications over the years on alginate-based materials in food industry field (search for words “alginate” and “food” together) and products based on alginate in this field (search for the phrase “alginate-based” and “food”). Data are provided from Google Scholar database (in both matters including abstract, title, and keywords); accessed on 18 April 2023.
The comparison of existing knowledge on alginate-based materials indicates that the greatest recognition was in the years 2000–2023, where alginate composites gained applications in environmental remediation (367,047 total results) and the medical field (291,449 total results). The food industry is also evolving, which yielded 277,054 publications on this subject. The lowest number of publications was in the cosmetic field, with 68,648 publications, although the cosmetic industry may not publish many results. The comparison of the number of scientific articles with alginate-based products in the field of environmental protection, medicine, food, and cosmetics in terms of scientific articles showed that the greatest number was published by the environmental (30,767) and medical fields (24,279), whereas fewer publications were available in cosmetic (5692) and food fields (24,334).
6. Alginate-Based Materials: The State of Innovation
Current and future applications of alginate are determined by their gel-forming ability in the presence of cations. These undemanding conditions and well-known properties of alginates in both liquid and gel phases make them exceptional compared to other biomaterial polysaccharides. Pectins are supposed to be similar in their sol/gel transition, but this phenomenon is not well-known or commonly used, such as in alginates [174].
Nowadays, sequential structures of alginates and their composition can be manipulated through enzymatic modification. The epimerases used in this process can highly improve the functional properties of alginates as biomaterials and thereby extend their applications [175]. Enzymatically engineered alginates are a promising future issue as they are more elastic, compact, and less permeable, and most importantly, they are eminently stable in physiological conditions. Moreover, the connection between a proper polymer nanostructure and its properties may stand as a model for other polymer-based material systems [175].
Although the alginate hydrogels obtained by non-conventional methods such as cryogelation, non-solvent phase separation, carbon-dioxide-induced and photo-induced gelation, as well as methods using non-metal crosslinkers, constitute an attractive and promising alternative to future developments, these methods require more attention and research to better understand the mechanisms and their directions [176].
Current advances in alginate-based materials using both conventional and non-conventional methods are listed in Table 1.
Table 1.
Recent advances in alginate-based materials.
The food industry is searching for intelligent, active packaging to maintain and monitor the freshness of food, especially meat. Recently, the development of cobalt-based metal–organic nanoparticles that exhibit sensitivity to ammonia and have antimicrobial properties in combination with sodium alginate have helped to control the freshness of food. Shrimp spoilage was monitored by the color of alginate-based material turning from pale pink to brownish black [177]. The novel combination of an alginate–carnauba wax film with calcium ascorbate helped preserve fresh-cut apples for a longer period of time compared to a conventional alginate composite. Carnauba wax improved the water resistance of fresh-cut fruits and sodium ascorbate improved the nutritional value of food, worked as an antioxidant, and prevented apples from browning, whereas glycerin as a plasticizer enhanced the flexibility of the film. Though sodium alginate–carnauba wax film with calcium ascorbate indicated good preservative values for fresh-cut apples, the research should be extended to other types of food for practical applications [181].
Alginate-based materials are also used to prevent environmental pollution. A new-generation biosorbent for the utilization of pesticides has been invented. Novel composites using Cerastodermaedule shells with copper and alginate were used to facilitate dynamic thiabendazole pesticide adsorption from water. This alginate-based material with copper indicates a high affinity to benzimidazole molecules, which can effectively adsorb pesticides from wastewater [178]. Recently, the development of a novel catalyst made of zero-valent iron (Fe0) dispersed and immobilized on alginate beads with CuO-Fe3O4 proved to be an efficient material for removing oxytetracycline from wastewater, and the optimal conditions for the degradation of antibiotics were studied [185].
Thiametoxam, the second-generation neonicotinoid insecticide, is considered a major threat to ecosystems. The bioremediation of thiametoxam is possible by using a highly thiametoxam-degradating Gram-negative aerobic bacterium called Chrysebacteriumsp H5. The development of polyvinyl alcohol with sodium alginate and biochar, which constitutes an adsorbent with rich porosity, large specific surface area, and great microbial immobilization matrix, resulted in the effective bioremediation of thiametoxam from wastewater [184].
The pollution of used engine oil is considered an environmental threat. The biodegradation of used engine oil can be possible according to novel research. Alginate–attapulgite–calcium carbonate constituted a proper matrix for used engine oil sorption with Ochrobacterium intermedium LMG 3301, Ochrobacterium intermedium LMG 330, and Bacillus paramycoides MCCC1A04098 (BC) immobilization [183].
The invention of a sodium alginate/ß-cyclodextrin/graphene oxide nanocomposite adsorbent enabled the removal of methylene blue dyes, rhodamine b, methyl violet dyes, and methyl orange dyes, which constitute organic environmental pollutants. According to the literature, at proper conditions such as dose and pH value, the removal rate of methylene blue dye using this nanocomposite can reach 84.98% [186]. The mechanism of the dye’s adsorption via the sodium alginate/ß-cyclodextrin/graphene oxide nanocomposite is based on non-covalent (π−π interactions) and electrostatic interactions, as well as hydrogen bonding [187]. The high efficiency of the method using nanocomposite, its biodegradability, and low-cost operations are the reasons it provides significant potential in industrial water treatment and environment remediation [186].
Another invention that allowed the adsorption of methylene blue dye from water solutions was a sodium alginate/acrylic acid/titanium dioxide composite hydrogel, which had an adsorption rate in the range of 91.4–99.4%. The negatively charged surface of titanium dioxide repulses carboxylate ions, which yields more free area for cationic dye adsorption [188].
Graphene oxide/sodium alginate/polyacrylamide ternary hydrogel, due to the significant properties of graphene oxide—such as the capability of creating strong non-covalent interactions with organic dyes and large surface area—makes the composite a great adsorbent in water treatment applications and can be used for environmental protection [189].
Heavy metal water pollution is extremely dangerous for marine ecosystems due to toxicity and bioaccumulation in marine organisms. Heavy metals can pass to water reservoirs from industrial waste and soils as an effect of acidic rain and release heavy metal ions to lakes, rivers, and groundwater, causing major threats to humans and marine life [190].
The adsorption of heavy metal ions represents an open issue in the field of alginate-based materials. Novel alginate–carboxymethyl cellulose gel beads can remove Pb2+ ions from wastewater with a 99% adsorption rate. The reason for the high efficiency of alginate–carboxymethyl cellulose gel beads in the removal of Pb (II) is three adsorption mechanisms: chemical, physical, and electrostatic. The chemical mechanism is based on the reaction between functional groups in alginate–carboxymethyl cellulose gel, such as hydroxyl or carboxyl with Pb2+, whereas physical adsorption is able to occur because of sodium alginate crosslinking by carboxymethyl cellulose, which provides more adsorption sites. Electrostatic adsorption uses negatively charged gel beads for positively charged Pb2+ adsorption on its surface [191]. Ca-alginate entrapped ball-milled biochar showed excellent Cd2+-adsorption capacity due to the synergetic effect of calcium alginate and ball-milled biochar [192]. The development of alginate–g-poly(N-isopropylacrylamide) graft copolymer allows the removal of Cu (II) from water solutions due to the reaction between carboxyl groups and Cu2+ [193]. The plant-mediated biosynthesis of the iron nanoparticles–calcium alginate hydrogel membrane played a significant role in the remediation of Cr (VI), whereas the removal rate of Cr (VI) was 99.5% [194]. Porous alginate beads created by template-assisted emulsion polymerization are efficient for selective Hg2+ adsorption, which provides other excellent proof that alginate-based materials play an eminent role in environmental protection [195].
Water pollution by Gram-negative and Gram-positive bacteria and antibiotics is an emerging issue. Using highly adsorptive nanomaterials such as nanosilica or sodium alginate nanoadsorbent, water remediation is possible. Alginate-based materials can remediate antibiotics from groundwater, which could be protective for the environment. The synthesis of calcium/iron-layered double hydroxides–sodium alginate nanoadsorbent as a reactive barrier for antibiotic amoxicillin could be useful in permeable technology adsorption and suitable for removing antibiotics waste from water [196]. Nanosilica adsorbent conduct protein lysozyme adsorption via electrostatic and non-electrostatic interactions, removing both Gram-negative bacteria such as Escherichia coli, Gram-positive bacteria such as Bacillus, and the antibiotic levofloxacin [197]. Lysozyme is a protein with hydrolytic enzyme properties. It can lyse Gram-positive bacteria, whereas Gram-negative bacteria are protected by an outer membrane; therefore, lysozyme is not able to lyse these kinds of bacteria in vitro without special conditions and factors, such as a proper pH value or the addition of EDTA. Although lysozyme does not have Gram-negative bactericidal properties, it can affect the cytoplasm in Escherichia coli and lead to its disintegration [198].
Alginate’s application in medicine abounds with inventions for wound dressings and tissue engineering for nerve regeneration and transplantable skin substitutes. Recently, an alginate hydrogel hemp nonwoven composite was developed for wound healing. Hemp presents good anti-inflammation properties and also constitutes an eco-friendly material [179]. Novel hydrogel based on carboxymethyl chitosan/sodium alginate with simvastatin release ability can be used in the wound healing process. A nanostructure lipid carrier with encapsulated simvastatin with the matrix containing carboxymethyl chitosan and sodium alginate works as a barrier against pathogens, helps to prevent excess effusions, and accelerates the regeneration process. The composite exhibited efficient antibacterial activity against Staphylococcus aureus and Escherichia coli and indicated biocompatibility on mouse fibroblasts. The results of the study proved that the drug can be released over a prolonged period of time, which can be a major advantage in the wound healing process [199]. As recent studies have shown, an electrospun polycaprolactone/calcium alginate scaffold can be useful in skin tissue engineering. The incorporation of calcium alginate enhances hydrophilicity, fiber crosslinking, and capability to induce attachment for fibroblasts and keratinocyte cells. The non-toxic character of the polymer makes it a suitable material for transplantable skin substitutes [180]. The new technology of carboxyl-modified multi-walled carbon nanotubes was combined with sodium alginate/gelatin composites in order to enhance the scaffold properties in nerve regeneration. The modifications also improved the hydrophilic and mechanical properties of the material as well as electrical conductivity [182].
The potential application of an alginate-based composite gel scaffold doubly integrated with hydroxyapatite and gelatin microspheres crosslinked by a calcium cation in bone tissue engineering was confirmed due to its osteoblast activity. The injectable form constitutes a convenient method for gel administration [200].
Another invention based on incorporating fullerenol nanoparticles into alginate hydrogel to receive an injectable cell medium with antioxidant features for cardiovascular tissue engineering and regenerative medicine applications was discovered in 2017. Using a modified alginate composite with proper mechanical strength, it is possible to reduce reactive oxygen species (ROS) levels and enhance the retention and survivability of implanted brown adipose-derived stem cells, which, through the elicitation of angiogenesis, leads to cardiac function recovery [201]. Robust and double-layer micro-patterned bioadhesive silk nanofibril incorporated with gelatin methacrylate, which promotes the adhesion of corneal stroma cells, could be important in the stroma tissue engineering of the human cornea [202]. Great potential in wound healing could be obtained by scaffolds based on alginate–polyethylene glycol methyl ether methacrylate in combination with natural Moringa oleifera and Aloe vera aqueous leaf extracts. Aloe vera’s ability for increased water uptake, as well as Moringa oleifera’s antioxidant capacity and anti-inflammatory properties, and Streptococcus aureus’s antimicrobial activity enhances scaffold cell proliferation [203]. Self-crosslinkable oxidized alginate–carboxymethyl chitosan hydrogels could be injectable cell carriers for dental enamel regeneration. Hydrogels were obtained by crosslinking reactions between oxidized alginate aldehyde groups and carboxymehyl chitosan amino groups. The hydrogels exhibited cariogenic antibacterial activity, accelerated the healing process, decreased the risk of infection, and the high in vitro viability of dental epithelial stem cells, which makes them an excellent carrier for cells with growth factors [204]. Alginate-based materials exhibit great potential in oncology; for example, doxorubicin, a model anticancer medication, was successfully encapsulated in alginate–g-poly(N-Isopropylacrylamide) micelles and maintained the sustained release of the drug in 37 °C in vitro, reflecting natural human organism conditions [205].
The application of alginate and its modification may even be unexpected because the development of new procedures in the future may generate the need for novel material formation.
7. Conclusions
To summarize, alginates are widely used as biomaterials in the medicine, cosmetic and food industries, as well as dentistry. The structure of alginates and, therefore, their properties, can be successfully modified to obtain the desired functions of alginate-based materials.
The alginate-based materials’ capability to incorporate cells and drugs, as well as their promotion of wound healing, highlight them as a promising issue for tissue engineering. Alginate composites, such as alginate–chitosan [206] or alginate–polyethylene glycol [207], alginate–biosilica [208], alginate–ceramics [209], and alginate–proteins, such as collagen, are known for multiply tissue engineering and medicine applications due to the enhanced cell adhesion, biocompatibility, tensile strength, and porosity [210]. Biocompatibility and non-toxicity show that alginate can be safely used in the food and cosmetic industries.
However, there are features that should be improved, for example, obtaining the desired parameters, such as bioactivity, degradation, and mechanical properties simultaneously.
There is an industry demand for emerging alginate-based materials that imitate the environment of natural tissues [176], so the application of alginate in biomedical fields will increase.
Materials that are biodegradable will receive increasing attention in the future, so alginate, which is biodegradable, is an excellent material in this regard.
The comparison of the number of scientific articles with alginate-based products in the field of environmental protection, medicine, food, and cosmetics in scientific articles showed that the greatest number was assigned to the environmental field (30,767) and medicine (24,279), whereas fewer publications were available in cosmetics (5692) and food fields (24,334).
The water pollution issue is highlighted as it constitutes an emerging issue, and thus, seeking new developments based on safe alginate composites that remediate toxic dyes, antibiotics such as amoxycillin, Gram-positive and Gram-negative bacteria, as well as heavy metal ions which can accumulate in marine and human organisms, makes alginate-based materials worthy of attention.
Understanding the chemical structure and physicochemical properties of alginates and their modifications provides new perspectives for many industry branches, such as pharmaceutical, medical, cosmetic, and food industries, as well as dentistry and environmental protection. For decades, researchers have looked for a material that can fulfill their research goals regarding pollution limitation of the natural environment. Due to their biocompatibility, biodegradability, and chelating ability, alginates are currently at the center of such attention.
Author Contributions
Conceptualization, A.S. and K.A.; software, A.S. and K.A.; resources, A.S. and K.A.; writing—original draft preparation, K.A. and A.S.; writing—review and editing, A.S. and K.A.; supervision, A.S. All authors have read and agreed to the published version of the manuscript.
Funding
This research received no external funding.
Data Availability Statement
No new data were created or analyzed in this study. Data sharing is not applicable to this article.
Conflicts of Interest
The authors declare no conflict of interest.
References
- Kaidi, S.; Bentiss, F.; Jama, C.; Khaya, K.; Belattmania, Z.; Reani, A.; Sabour, B. Isolation and Structural Characterization of Alginates from the Kelp Species Laminaria ochroleuca and Saccorhizapolyschides from the Atlantic Coast of Morocco. Colloids Interfaces 2022, 6, 51. [Google Scholar] [CrossRef]
- Chèze-Lange, H.; Beunard, D.; Dhulster, P.; Guillochon, D.; Cazé, A.; Morcellet, M.; Saude, N.; Junter, G. Production of microbial alginate in a membrane bioreactor. Enzym. Microb. Technol. 2002, 30, 656–661. [Google Scholar] [CrossRef]
- Oates, C.; Ledward, D. Studies on the effect of heat on alginates. Food Hydrocoll. 1990, 4, 215–220. [Google Scholar] [CrossRef]
- El Atouani, S.; Bentiss, F.; Reani, A.; Zrid, R.; Belattmania, Z.; Pereira, L.; Mortadi, A.; Cherkaoui, O.; Sabour, B. The invasive brown seaweed Sargassum muticum as new resource for alginate in Morocco: Spectroscopic and rheological characterization. Phycol. Res. 2016, 64, 185–193. [Google Scholar] [CrossRef]
- Draget, K.; Moe, S.; Skjak-Bræk, G.; Smidsrød, O. Food Polysaccharides and Their Applications, 2nd ed.; Chapter 9, Alginates; Steven, A., Philips, G., Williams, P., Eds.; Taylor & Francis: Boca Raton, FL, USA; London, UK; New York, NY, USA, 2006; pp. 290–328. [Google Scholar]
- Suzuki, H.; Suzuki, K.; Inoue, A.; Ojima, T. A novel oligoalginate lyase from abalone, Haliotis discus hannai, that releases disaccharide from alginate polymer in an exolytic manner. Carbohydr. Res. 2006, 341, 1809–1819. [Google Scholar] [CrossRef] [PubMed]
- Kuo, C.; Ma, P. Ionically crosslinked alginate hydrogels as scaffolds for tissue engineering: Part 1. Structure, gelation rate and mechanical properties. Biomaterials 2001, 22, 511–521. [Google Scholar] [CrossRef]
- Byeon, S.; Cho, M.; Shim, K.; Kim, H.; Song, H.; Shin, H. Development of a spirulina extract/alginate-imbedded pcl nanofibrous cosmetic patch. J. Microbiol. Biotechnol. 2017, 27, 1657–1663. [Google Scholar] [CrossRef]
- Dhoot, N.; Tobias, C.; Fischer, I.; Wheatley, M. Peptide-modified alginate surfaces as a growth permissive substrate for neurite outgrowth. J. Biomed. Mater. Res. A 2004, 71, 191–200. [Google Scholar] [CrossRef]
- Chuang, J.; Huang, Y.; Lo, S.; Hsu, T.; Huang, W.; Huang, S.; Lin, Y. Effects of pH on the shape of alginate particles and its release behavior. Int. J. Polym. Sci. 2017, 2017, 3902704. [Google Scholar] [CrossRef]
- Jabeen, S.; Chat, O.; Maswal, M.; Ashraf, U.; Rather, G.; Dar, A. Hydrogels of sodium alginate in cationic surfactants: Surfactant dependent modulation of encapsulation/release toward Ibuprofen. Carbohydr. Polym. 2015, 133, 144–153. [Google Scholar] [CrossRef]
- Russo, R.; Malinconico, M.; Santagata, G. Effect of cross-linking with calcium ions on the physical properties of alginate films. Biomacromolecules 2007, 8, 3193–3197. [Google Scholar] [CrossRef]
- Lee, K.; Rowley, J.; Eiselt, P.; Moy, E.; Bouhadir, K.H.; Mooney, D. Controlling mechanical and swelling properties of alginate hydrogels independently by cross-linker type and cross-linking density. Macromolecules 2000, 33, 4291–4294. [Google Scholar] [CrossRef]
- Hirst, E.; Percival, E.; Wold, J. The structure of alginic acid. Part IV. Partial hydrolysis of the reduced polysaccharide. J. Chem. Soc. 1964, 284, 1493–1499. [Google Scholar] [CrossRef]
- Jiao, W.; Chen, W.; Mei, Y.; Yun, Y.; Wang, B.; Zhong, Q.; Chen, H.; Chen, W. Effects of molecular weight and guluronic acid/mannuronic acid ratio on the rheological behavior and stabilizing property of sodium alginate. Molecules 2019, 24, 4374. [Google Scholar] [CrossRef] [PubMed]
- Kakita, H.; Kamishima, H. Some properties of alginate gels derived from algal sodium alginate. In Nineteenth International Seaweed Symposium: Proceedings of the 19th International Seaweed Symposium, Held in Kobe, Japan, 26–31 March 2007; Springer: Dordrecht, The Netherlands, 2009; pp. 93–99. [Google Scholar]
- Becker, T.; Brandon, T. Calcium alginate gel: A biocompatible and mechanically stable polymer for endovascular embolization. J. Biomed. Mater. Res. 2001, 54, 76–86. [Google Scholar] [CrossRef]
- Feng, L.; Cao, Y.; Xu, D.; Wang, S.; Zhang, J. Molecular weight distribution, rheological property and structural changes of sodium alginate induced by ultrasound. Ultrason. Sonochem. 2017, 34, 609–615. [Google Scholar] [CrossRef] [PubMed]
- Priego-Jimenez, R.; Peña, C.; Ramirez, O.; Galindo, E. Specific growth rate determines the molecular mass of the alginate produced by Azotobacter vinelandii. Biochem. Eng. J. 2005, 25, 187–193. [Google Scholar] [CrossRef]
- Tapia, C.; Costa, E.; Moris, M.; Sapag-Hagar, J.; Valenzuela, F.; Basualto, C. Study of the influence of the pH media dissolution, degree of polymerization, and degree of swelling of the polymers on the mechanism of release of diltiazem from matrices based on mixtures of chitosan/alginate. Drug Dev. Ind. Pharm. 2002, 28, 217–224. [Google Scholar] [CrossRef] [PubMed]
- Tavakoli, J.; Laisak, E.; Gao, M.; Tang, Y. AIEgen Quantitatively Monitoring the Release of Ca2+ during Swelling and Degradation Process in Alginate Hydrogels. Mater. Sci. Eng. 2019, 104, 109951. [Google Scholar] [CrossRef]
- Murata, H.; Kawamura, M.; Hamada, T.; Chimori, H.; Nikawa, H. Physical properties and compatibility with dental stones of current alginate impression materials. J. Oral Rehabil. 2004, 31, 1115–1122. [Google Scholar] [CrossRef]
- Rashedy, S.; Abd El Hafez, M.; Dar, M.; Cotas, J.; Pereira, L. Evaluation and characterization of alginate extracted from brown seaweed collected in the Red Sea. Appl. Sci. 2021, 11, 6290. [Google Scholar] [CrossRef]
- Aarstad, O.; Stanisci, A.; Sætrom, G.; Tøndervik, A.; Sletta, H.; Aachmann, F.; Skjåk-Bræk, G. Biosynthesis and function of long guluronic acid-blocks in alginate produced by Azotobacter vinelandii. Biomacromolecules 2019, 20, 1613–1622. [Google Scholar] [CrossRef]
- Meena, S.; Tripathi, A.; Ts, R. Optimization and characterization of Alginic acid synthesized from a novel strain of Pseudomonas stutzeri. Biotechnol. Rep. 2020, 27, e00517. [Google Scholar]
- Fan, X.; Zhang, Y.; Zhao, F.; Liu, Y.; Zhao, Y.; Wang, S.; Liu, R.; Yang, C. Genome reduction enhances production of polyhydroxyalkanoate and alginate oligosaccharide in Pseudomonas mendocina. Int. J. Biol. Macromol. 2020, 163, 2023–2031. [Google Scholar] [CrossRef] [PubMed]
- Falagas, M.; Kasiakou, S. Local administration of polymyxins into the respiratory tract for the prevention and treatment of pulmonary infections in patients without cystic fibrosis. Infection 2007, 35, 3–10. [Google Scholar] [CrossRef]
- Mekonnen, H.; Seid, A.; Molla Fenta, G.; Gebrecherkos, T. Antimicrobial resistance profiles and associated factors of Acinetobacter and Pseudomonas aeruginosa nosocomial infection among patients admitted at Dessie comprehensive specialized Hospital, North-East Ethiopia. A cross-sectional study. PLoS ONE 2021, 16, e0257272. [Google Scholar] [CrossRef]
- El-Halim, A.; Nora, Z. Phenotypic and molecular characteristics of Pseudomonas Aeruginosa isolated from burn unit. NEJMI 2021, 30, 19–28. [Google Scholar]
- Ali, H.; Awad, A.; Maarouf, A.; Ahmed, W. Molecular Detection of some Virulence Factors of Pseudomonas aeruginosa Isolated from Freshwater Fishes at Qalubiya Governorate, Egypt. BVMJ 2023, 43, 80–84. [Google Scholar] [CrossRef]
- Dharshini, R.; Manickam, R.; Curtis, W.; Rathinasabapathi, P.; Ramya, M. Genome analysis of alginate synthesizing Pseudomonas aeruginosa strain SW1 isolated from degraded seaweeds. Antonie Van Leeuwenhoek 2021, 114, 2205–2217. [Google Scholar] [CrossRef]
- Daboor, S.; Raudonis, R.; Cohen, A.; Rohde, J.; Cheng, Z. Marine bacteria, a source for alginolytic enzyme to disrupt Pseudomonas aeruginosa biofilms. Mar. Drugs 2019, 17, 307. [Google Scholar] [CrossRef]
- Gheorghita, A.; Li, Y.; Kitova, E.; Bui, D.; Pfoh, R.; Low, K.; Whitfield, H.; Walvoort, M.; Zhang, Q.; Codee, J.; et al. Structure of the AlgKX modification and secretion complex required for alginate production and biofilm attachment in Pseudomonas aeruginosa. Nat. Commun. 2022, 13, 7631. [Google Scholar] [CrossRef] [PubMed]
- Mahajan, S.; Sunsunwal, S.; Gautam, V.; Singh, M.; Ramya, T. Biofilm inhibitory effect of alginate lyases on mucoid P. aeruginosa from a cystic fibrosis patient. Biochem. Biophys. Rep. 2021, 26, 101028. [Google Scholar] [CrossRef] [PubMed]
- Wan, B.; Zhu, Y.; Tao, J.; Zhu, F.; Chen, J.; Li, L.; Zhao, J.; Wang, L.; Sun, S.; Yang, Y.; et al. Alginate lyase guided silver nanocomposites for eradicating Pseudomonas aeruginosa from lungs. ACS Appl. Mater. Interfaces 2020, 12, 9050–9061. [Google Scholar] [CrossRef] [PubMed]
- Wu, H.; Wang, D.; Tang, M.; Ma, L. The advance of assembly of exopolysaccharide Psl biosynthesis machinery in Pseudomonas aeruginosa. MicrobiologyOpen 2019, 8, e857. [Google Scholar] [CrossRef]
- Schwabe, J.; Pérez-Burgos, M.; Herfurth, M.; Glatter, T.; Søgaard-Andersen, L. Evidence for a widespread third system for bacterial polysaccharide export across the outer membrane comprising a composite OPX/β-barrel translocon. Mbio 2022, 13, 1–16. [Google Scholar] [CrossRef] [PubMed]
- Hou, M.; Huang, J.; Jia, T.; Guan, Y.; Yang, F.; Zhou, H.; Huang, P.; Wang, J.; Yang, L.; Dai, L. Deep Profiling of the Proteome Dynamics of Pseudomonas aeruginosa Reference Strain PAO1 under Different Growth Conditions. J. Proteome Res. 2023, 22, 1747–1761. [Google Scholar] [CrossRef] [PubMed]
- Harty, C.; Martins, D.; Doing, G.; Mould, D.; Clay, M.; Occhipinti, P.; Nguyen, D.; Hogan, D.A. Ethanol stimulates trehalose production through a SpoT-DksA-AlgU-dependent pathway in Pseudomonas aeruginosa. J. Bacteriol. Res. 2019, 201, e00794-18. [Google Scholar] [CrossRef]
- Panmanee, W.; Su, S.; Schurr, M.; Lau, G.; Zhu, X.; Ren, Z.; McDaniel, C.; Lu, L.; Ohman, D.; Muruve, D.; et al. The anti-sigma factor MucA of Pseudomonas aeruginosa: Dramatic differences of a mucA22 vs. a Δ mucA mutant in anaerobic acidified nitrite sensitivity of planktonic and biofilm bacteria in vitro and during chronic murine lung infection. PLoS ONE 2019, 14, e0216401. [Google Scholar] [CrossRef]
- Schurr, M.; Yu, H.; Martinez-Salazar, J.; Boucher, J.; Deretic, V. Control of AlgU, a member of the sigma E-like family of stress sigma factors, by the negative regulators MucA and MucB and Pseudomonas aeruginosa conversion to mucoidy in cystic fibrosis. J. Bacteriol. 1996, 178, 4997–5004. [Google Scholar] [CrossRef]
- Xie, Z.; Hershberger, C.; Shankar, S.; Ye, R.; Chakrabarty, A. Sigma factor-anti-sigma factor interaction in alginate synthesis: Inhibition of AlgT by MucA. J. Bacteriol. 1996, 178, 4990–4996. [Google Scholar] [CrossRef]
- Mathee, K.; McPherson, C.; Ohman, D. Posttranslational control of the algT (algU)-encoded sigma22 for expression of the alginate regulon in Pseudomonas aeruginosa and localization of its antagonist proteins MucA and MucB (AlgN). J. Bacteriol. 1997, 179, 3711–3720. [Google Scholar] [CrossRef] [PubMed]
- Qiu, D.; Eisinger, V.; Rowen, D.; Yu, H. Regulated proteolysis controls mucoid conversion inPseudomonas aeruginosa. Proc. Natl. Acad. Sci. USA 2007, 104, 8107–8112. [Google Scholar] [CrossRef] [PubMed]
- Valentine, M.; Kirby, B.; Withers, T.; Johnson, S.; Long, T.; Hao, Y.; Lam, J.; Niles, R.; Yu, H. Generation of a highly attenuated strain ofPseudomonas aeruginosafor commercial production of alginate. Appl. Microbiol. 2019, 13, 162–175. [Google Scholar] [CrossRef] [PubMed]
- Sayın, S.; Depci, T.; Naz, M.; Sezer, S.; Karaaslan, M.G.; Aras, A.; Uğur, S.; Çetin, Z.; Saygılı, İ.; Ateş, B. Characterization and evaluation of the antimicrobial properties of algal alginate; a potential natural protective for cosmetics. J. Res. Pharm. 2022, 26, 198–209. [Google Scholar]
- Belattmania, Z.; Kaidi, S.; El Atouani, S.; Katif, C.; Bentiss, F.; Jama, C.; Reani, A.; Sabour, B.; Vasconcelos, V. Isolation and FTIR-ATR and 1H NMR characterization of alginates from the main alginophyte species of the atlantic coast of Morocco. Molecules 2020, 25, 4335. [Google Scholar] [CrossRef] [PubMed]
- Kostas, E.; Williams, O.; Duran-Jimenez, G.; Tapper, A.J.; Cooper, M.; Meehan, R.; Robinson, J. Microwave pyrolysis of Laminaria digitata to produce unique seaweed-derived bio-oils. Biomass Bioenergy 2019, 125, 41–49. [Google Scholar] [CrossRef]
- Paul, S.; Salavarría, E.; Gil-Kodaka, P.; Villena, G. A de novo transcriptomic approach to study the influence of marine water depth in Macrocystis pyrifera alginate production. Aquat. Bot. 2020, 163, 103211. [Google Scholar] [CrossRef]
- Ma, W.L.; Mou, C.; Chen, S.; Li, Y.; Deng, H. A Mild Method for Encapsulation of Citral in Monodispersed Alginate Microcapsules. Polymers 2022, 14, 1165. [Google Scholar] [CrossRef] [PubMed]
- Song, J.; Chen, H. Preparation of aroma microcapsules with sodium alginate and tetradecylallyldimethylammonium bromide (TADAB) and its potential applications in cosmetics. Flavour. Fragr. J. 2017, 33, 160–165. [Google Scholar] [CrossRef]
- AVEKA. 2015. Available online: http://www.aveka.com/encapsula-tion-microencapsulation-services.html (accessed on 29 May 2023).
- CAPSUM. 2015. Available online: http://www.capsum.net (accessed on 29 May 2023).
- Yeong, B.; Kwon, C.; Kyou, S.; Hye, J.; Hyeon, G.; Hwa, S. Development of a Spirulina Extract/Alginate-Imbedded PCL Nanofibrous Cosmetic Patch. J. Microbiol. Biotechnol. 2017, 27, 1657–1663. [Google Scholar]
- Bouhadir, K.; Lee, K.; Alsberg, E.; Damm, K.; Anderson, K.; Mooney, D. Degradation of partially oxidized alginate and its potential application for tissue engineering. Biotechnol. Prog. 2001, 17, 945–950. [Google Scholar] [CrossRef] [PubMed]
- Kong, H.; Alsberg, E.; Kaigler, D.; Lee, K.; Mooney, D. Controlling degradation of hydrogel via the size of cross-linked junctions. Adv. Mater. 2004, 16, 1917–1921. [Google Scholar] [CrossRef] [PubMed]
- Balakrishnan, B.; Jayakrishnan, A. Self-cross-linking biopolymers as injectablein situforming biodegradable scaffolds. Biomaterials 2005, 26, 3941–3951. [Google Scholar] [CrossRef] [PubMed]
- Gaserod, O.; Smidsrod, O.; Skjak-Braek, G. Microcapsules of alginate-chitosan I: A quantitative study of the interaction between alginate and chitosan. Biomaterials 1998, 19, 1815–1825. [Google Scholar] [CrossRef]
- Rowley, J.; Madlambayan, G.; Mooney, D. Alginate hydrogels as synthetic extracellular matrix materials. Biomaterials 1999, 20, 45–53. [Google Scholar] [CrossRef]
- Nam, S.; Lee, S.; Jeon, S.; Kwon, Y. Effect of sodium alginate on gastrointestinal symptoms after esophagogastroduodenoscopy with biopsy: Randomized controlled trial. Gut Liver 2022, 16, 37. [Google Scholar] [CrossRef]
- Du, J.; Hu, X.; Su, Y.; Wei, T.; Jiao, Z.; Liu, T.; Wang, H.; Nie, Y.; Li, X.; Song, K. Gelatin/sodium alginate hydrogel-coated decellularized porcine coronary artery to construct bilayer tissue engineered blood vessels. Int. J. Biol. Macromol. 2022, 209, 2070–2083. [Google Scholar] [CrossRef]
- Qian, L.; Hongyi, L.; Jing, L.; Lu, L.; Huang, J.; Cao, Y.; Zhao, T.; McClements, D.; Chen, J.; Chengmei, L.; et al. Improving probiotic (Lactobacillus casei) viability by encapsulation in alginate-based microgels: Impact of polymeric and colloidal fillers. Food Hydrocoll. 2022, 134, 108028. [Google Scholar]
- Lupo, B.; Maestro, A.; Gutiérrez, J.; González, C. Characterization of alginate beads with encapsulated cocoa extract to prepare functional food: Comparison of two gelation mechanisms. Food Hydrocoll. 2015, 49, 25–34. [Google Scholar] [CrossRef]
- Madhusha, C.; Munaweera, I.; Karunaratne, V.; Kottegoda, N. Facile mechanochemical approach to synthesizing edible food preservation coatings based on alginate/ascorbic acid-layered double hydroxide bio-nanohybrids. J. Agric. Food Chem. 2020, 68, 8962–8975. [Google Scholar] [CrossRef]
- Bierhalz, A.; Altenhofen da Silva, M.; Kieckbusch, T. Natamycin release from alginate/pectin films for food packaging applications. J. Food Eng. 2012, 110, 18–25. [Google Scholar] [CrossRef]
- Larsen, B.; Bjørnstad, J.; Pettersen, E.; Tonnesen, H.; Melvik, E. Rheological characterization of an injectable alginate gel system. BMC Biotechnol 2015, 15, 29. [Google Scholar] [CrossRef] [PubMed]
- Fu, S.; Thacker, A.; Sperger, D.M.; Boni, R.L.; Buckner, I. Relevance of rheological properties of sodium alginate in solution to calcium alginate gel properties. AAPS Pharm. Sci. Technol. 2011, 12, 453–460. [Google Scholar] [CrossRef] [PubMed]
- Hampson, F.; Farndale, A.; Strugala, V.; Sykes, J.; Jolliffe, I. Alginate rafts and their characterization. Int. J. Pharm. 2005, 294, 137–147. [Google Scholar] [CrossRef] [PubMed]
- Ohta, A.; Taguchi, A.; Takizawa, T.; Adachi, T.; Kimura, S. The alginate reduce the postprandial glycaemic response by forming a gel with dietary calcium in the stomach of the rat. Int. J. Vitam. Nutr. Res. 1997, 67, 55–61. [Google Scholar]
- Rojas-Graü, M.; Tapia, M.; Belloso, O. Using polysaccharide-based edible coatings to maintain quality of fresh cut Fuji apples. LWT-Food Sci. Technol. 2008, 41, 139–147. [Google Scholar] [CrossRef]
- Nicolau-Lapeña, I.; Aguiló-Aguayo, I.; Kramer, B.; Abadias, M.; Viñas, I.; Muranyi, P. Combination of ferulic acid with Aloe vera gel or alginate coatings for shelf-life prolongation of fresh-cut apples. Food Packag. Shelf Life 2021, 27, 100620. [Google Scholar] [CrossRef]
- Noreen, S.; Ghumman, S.; Batool, F.; Ijaz, B.; Basharat, M.; Noureen, S.; Kausar, T.; Iqbal, S. Terminalia arjuna gum/alginate in situ gel system with prolonged retention time for ophthalmic drug delivery Int. J. Biol. Macromol. 2020, 152, 1056–1067. [Google Scholar] [CrossRef]
- Reddy, O.; Subha, M.; Jithendra, T.; Madhavi, C.; Rao, K. Curcumin encapsulated dual cross linked sodium alginate/montmorillonite polymeric composite beads for controlled drug delivery. J. Pharm. Anal. 2021, 11, 191–199. [Google Scholar] [CrossRef]
- Ma, K.; Titan, A.; Stafford, M.; Zheng, C.H.; Levenston, M. Variations in chondrogenesis of human bone marrow-derived mesenchymal stem cells in fibrin/alginate blended hydrogels. Acta Biomater. 2012, 8, 3754–3764. [Google Scholar] [CrossRef]
- Ayelet, D.; Shachar, M.; Leor, J.; Cohen, S. Cardiac tissue engineering Optimization of cardiac cell seeding and distribution in 3D porous alginate scaffolds. Biotechnol. Bioeng. 2002, 80, 305–312. [Google Scholar]
- Zhensheng, L.; Hassna, R.; Ramay, K.; Hauch, D.; Xiao, D.; Zhang, M. Chitosan–alginate hybrid scaffolds for bone tissue engineering. Biomaterials 2005, 26, 3919–3928. [Google Scholar]
- Freeman, I.; Cohen, S. The influence of the sequential delivery of angiogenic factors from affinity-binding alginate scaffolds on vascularization. Biomaterials 2009, 30, 2122–2131. [Google Scholar] [CrossRef] [PubMed]
- Dalei, G.; Das, S.; Das, S. Evaluation of TEOS Plasma Polymerized Carboxymethyl Starch/Alginate Hydrogels as Controlled Drug Delivery Systems. Starke 2022, 74, 2100226. [Google Scholar] [CrossRef]
- Wang, S.; Feng, X.; Liu, P.; Wei, Y.; Xiao, B. Blending of PLGA-PEG-PLGA for improving the erosion and drug release profile of PCL microspheres. Curr. Pharm. Biotechnol. 2020, 21, 1079–1087. [Google Scholar] [CrossRef]
- McCanless, J.; Jennings, L.; Bumgardner, J.; Cole, J.; Haggard, W. Hematoma-inspired alginate/platelet releasate/CaPO4 composite: Initiation of the inflammatory-mediated response associated with fracture repair in vitro and ex vivo injection delivery. J. Mater. Sci. Mater. Med. 2012, 23, 1971–1981. [Google Scholar] [CrossRef]
- De Vos, P.; Spasojevic, M.; de Haan, B.J.; Faas, M.M. The association between in vitro physicochemical changes and inflammatory responses against alginate-based microcapsules. Biomaterials 2012, 33, 5552–5559. [Google Scholar] [CrossRef]
- Vanacker, J.; Luyckx, V.; Dolmans, M.M.; Des Rieux, A.; Jaeger, J.; van Langendonckt, A.; Donnez, J.; Amorim, C.A. Transplantation of an alginate-matrigel matrix containing isolated ovarian cells: First step in developing a biodegradable scaffold to transplant isolated preantral follicles and ovarian cells. Biomaterials 2012, 33, 6079–6085. [Google Scholar] [CrossRef]
- Xu, H.; Ma, L.; Shi, H.; Gao, C.; Han, C. Chitosan-hyaluronic acid hybrid film as a novel wound dressing: In vitro and in vitrostudies. Polym. Adv. Technol. 2007, 18, 869–875. [Google Scholar] [CrossRef]
- Li, X.; Chen, S.; Zhang, B.; Li, M.; Diao, K.; Zhang, Z.; Li, J.; Xu, Y.; Wang, X.; Chen, H. In situ injectable nano-composite hydrogel composed of curcumin, N,O-carboxymethyl chitosan and oxidized alginate for wound healing application. Int. J. Pharm. 2012, 437, 110–119. [Google Scholar] [CrossRef]
- Hooper, S.; Percival, S.; Hill, K.; Thomas, D.; Hayes, A.; Williams, D. The visualisation and speed of kill of wound isolates on a silver alginate dressing. Int. Wound J. 2012, 9, 633–642. [Google Scholar] [CrossRef] [PubMed]
- Popa, E.; Gomes, M.; Reis, L. Cell Delivery Systems Using Alginate–Carrageenan Hydrogel Beads and Fibers for Regenerative Medicine Applications. Biomacromolecules 2011, 12, 3952–3961. [Google Scholar] [CrossRef] [PubMed]
- Shah, S.; Sohail, M.; Khan, S.; Kousar, M. Improved drug delivery and accelerated diabetic wound healing by chondroitin sulfate grafted alginate-based thermoreversible hydrogels. Mater. Sci. Eng. C 2021, 126, 112169. [Google Scholar] [CrossRef] [PubMed]
- Reem, T.; Tsur-Gang, O.; Cohen, S. The effect of immobilized RGD peptide in macroporous alginate scaffolds on TGFβ1-induced chondrogenesis of human mesenchymal stem cells. Biomaterials 2010, 31, 6746–6755. [Google Scholar] [CrossRef] [PubMed]
- Lubiatowski, P.; Kruczynski, J.; Gradys, A.; Trzeciak, T.; Jaroszewski, J. Articular cartilage repair by means of biodegradable scaffolds. Transpl. Proc. 2006, 38, 320–322. [Google Scholar] [CrossRef] [PubMed]
- Henrionnet, C.; Wang, Y.; Roeder, E.; Gambier, N.; Galois, L.; Mainard, D.; Bensoussan, D.; Gillet, P.; Pinzano, A. Effect of dynamic loading on MSCs chondrogenic differentiation in3-D alginate culture. Biomed. Mater. Eng. 2012, 22, 209–218. [Google Scholar]
- Coates, E.; Riggin, C.; Fisher, J. Matrix molecule influence on chondrocyte phenotype and proteoglycan 4 expression by a lginate-embedded zonal chondrocytes and mesenchymal stem cells. J. Orthop. Res. 2012, 30, 1886–1897. [Google Scholar] [CrossRef]
- Wang, C.; Yang, K.; Lin, K.; Liu, Y.; Liu, H.; Lin, F. Cartilage regeneration in SCID mice using a highly organized three-dimensional alginate scaffold. Biomaterials 2012, 33, 120–127. [Google Scholar] [CrossRef] [PubMed]
- Ji, H.; Sang, B.; Kim, S.; Lee, Y. Rapid temperature/pH response of porous alginate-g-poly(N-isopropylacrylamide) hydrogels. Polymer 2002, 43, 7549–7558. [Google Scholar]
- Chen, R.; Curran, S.; Curran, J.; Hunt, J. The use of poly(l-lactide) and RGD modified microspheres as cell carriers in a flow intermittency bioreactor for tissue engineering cartilage. Biomaterials 2006, 27, 4453–4460. [Google Scholar] [CrossRef]
- Grellier, M.; Granja, P.L.; Fricain, J.C.; Bidarra, S.J.; Renard, M.; Bareille, R.; Bourget, C.; Amédée, J.; Barbosa, M.A. The effect of the co-immobilization of human osteoprogenitors and endothelial cells within alginate microspheres on mineralization in a bone defect. Biomaterials 2009, 30, 3271–3278. [Google Scholar] [CrossRef] [PubMed]
- Jin, H.; Kim, D.; Kim, T.; Shin, K.; Jung, J.; Park, H.; Yoon, S. In vitro evaluation of porous hydroxyapatite/chitosan-alginate composite scaffolds for bone tissue engineering. Int. J. Biol. Macromol. 2012, 51, 1079–1085. [Google Scholar] [CrossRef] [PubMed]
- Alsberg, E.; Anderson, K.W.; Albeiruti, A.; Franceschi, R.T.; Mooney, D.J. Cell-interactive alginate hydrogels for bone tissue engineering. J. Dent. Res. 2001, 80, 2025–2029. [Google Scholar] [CrossRef] [PubMed]
- Rubert, M.; Monjo, M.; Lyngstadaas, S.P.; Ramis, J.M. Effect of alginate hydrogel containing polyproline-rich peptides on osteoblast differentiation. Biomed. Mater. 2012, 7, 055003. [Google Scholar] [CrossRef]
- Abbah, S.; Lu, W.; Chan, D.; Cheung, K.; Liu, W.; Zhao, F.; Li, Z.; Leong, J.; Luk, K. In vitro evaluation of alginate encapsulated adipose-tissue stromal cells for use as injectable bone graft substitute. Biochem. Biophys. Res. Commun. 2006, 347, 185–191. [Google Scholar] [CrossRef]
- Durrieu, M.; Pallu, S.; Guillemot, F.; Bareille, R.; Amedee, J.; Baquey, C.H.; Labrugère, C.; Dard, M. Grafting RGD containing peptides onto hydroxyapatite to promote osteoblastic cells adhesion. J. Mater. Sci. Mater. Med. 2004, 15, 779–786. [Google Scholar] [CrossRef]
- Kolambkar, Y.; Dupont, K.; Boerckel, J.; Huebsch, N.; Mooney, D.; Hutmacher, D.; Guldberg, R. An alginate-based hybrid system for growth factor delivery in the functional repair of large bone defects. Biomaterials 2011, 32, 65–74. [Google Scholar] [CrossRef]
- Chen, W.; Zhou, H.; Weir, M.; Bao, C.; Xu, H. Umbilical cord stem cells released from alginate-fibrin microbeads inside macroporous and biofunctionalized calcium phosphate cement for bone regeneration. Acta Biomater. 2012, 8, 2297–2306. [Google Scholar] [CrossRef]
- Xia, Y.; Mei, F.; Duan, Y.; Gao, Y.; Xiong, Z.; Zhang, T.; Zhang, H. Bone tissue engineering using bone marrow stromal cells and an injectable sodium alginate/gelatin scaffold. J. Biomed. Mater. Res. A 2012, 100, 1044–1050. [Google Scholar] [CrossRef]
- Nguyen, T.; Lee, B. Fabrication of oxidized alginate-gelatin-BCP hydrogels and evaluation of the microstructure, material properties and biocompatibility for bone tissue regeneration. J. Biomater. Appl. 2012, 27, 311–321. [Google Scholar] [CrossRef]
- Florczyk, S.; Leung, M.; Jana, S.; Li, Z.; Bhattarai, N.; Huang, J.; Hopper, R.; Zhang, M. Enhanced bone tissue formation by alginate gel-assisted cell seeding in porous ceramic scaffolds and sustained release of growth factor. J. Biomed. Mater. Res. A 2012, 100, 3408–3415. [Google Scholar] [CrossRef] [PubMed]
- Brun, F.; Turco, G.; Accardo, A.; Paoletti, S. Automated quantitative characterization of alginate/hydroxyapatite bone tissue engineering scaffolds by means of micro-CT image analysis. J. Mater. Sci. Mater. Med. 2011, 22, 2617–2629. [Google Scholar] [CrossRef] [PubMed]
- Tang, M.; Chen, W.; Weir, M.D.; Thein-Han, W.; Xu, H. Human embryonic stem cell encapsulation in alginate microbeads in macroporous calcium phosphate cement for bone tissue engineering. Acta Biomater. 2012, 8, 3436–3445. [Google Scholar] [CrossRef]
- Abbah, S.; Liu, J.; Lam, R.; Goh, J.; Wong, H. In vitro bioactivity of rhBMP-2 delivered with novel polyelectrolyte complexation shells assembled on an alginate microbead core template. J. Control. Rel. 2012, 162, 364–372. [Google Scholar] [CrossRef] [PubMed]
- Tan, H.; Shen, Q.; Jia, X.; Yuan, Z.; Xiong, D. Injectable nano-hybrid scaffold for biopharmaceuticals delivery and soft tissue engineering. Macromol. Rapid Commun. 2012, 33, 2015–2022. [Google Scholar] [CrossRef]
- Mi, F.L.; Shyu, S.; Linc, Y.; Wuc, Y.; Peng, C.; Tsai, Y. Chitin/PLGA blend microspheres as a biodegradable drug delivery system: A new delivery system for protein. Biomaterials 2003, 24, 5023–5036. [Google Scholar] [CrossRef]
- Cao, Y.; Shen, X.C.; Chen, Y.; Guo, J.; Chen, Q.; Jiang, X.Q. pH-Induced self-assembly and capsules of sodium alginate. Biomacromolecules 2005, 6, 2189–2196. [Google Scholar] [CrossRef]
- Zhao, Q.; Mao, Z.; Gao, C.; Shen, J. Assembly of multilayer microcapsules on CaCO3 particles from biocompatible polysaccharides. J. Biomatter. Sci. Polym. Ed. 2006, 17, 997–1014. [Google Scholar] [CrossRef]
- Abdelraouf, R.; Bayoumi, R.; Hamdy, T. Effect of powder/water ratio variation on viscosity, tear strength and detail reproduction of dental alginate impression material (In vitro and clinical study). Polymers 2022, 13, 2923. [Google Scholar] [CrossRef]
- Borges de Olival, A.; da Penha Junior, N.; Frazão Câmara, J.; Corrêa Duarte Simões, A.; Estruc Verbicário dos Santos, J.; Groisman, S. Analysis of Chemical Composition of Different Irreversible Hydrocolloids. Dent. J. 2018, 6, 37. [Google Scholar] [CrossRef]
- Ulgey, M.; Gorler, O.; Yesilyurt, G. Importance of disinfection time and procedure with different alginate impression products to reduce dimensional instability. Niger. J. Clin. Pract. 2020, 23, 284–290. [Google Scholar] [PubMed]
- Nallamuthu, N.; Braden, M.; Oxford, J.; Williams, D.; Patel, M. Modification of pH Conferring Virucidal Activity on Dental Alginates. Materials 2015, 8, 1966–1975. [Google Scholar] [CrossRef] [PubMed]
- Porrelli, D.; Berton, F.; Piloni, A.; Kobau, I.; Stacchi, C.; Di Lenarda, R.; Rizzo, R. Evaluating the stability of extended-pour alginate impression materials by using an optical scanning and digital method. J. Prosthet. Dnet. 2021, 125, 189.e1–189.e7. [Google Scholar] [CrossRef] [PubMed]
- Cesur, M.; Omurlu, I.; Ozer, T. Evaluation of digital model accuracy and time-dependent deformation of alginate impressions. Niger. J. Clin. Pract. 2017, 20, 1175–1181. [Google Scholar] [CrossRef] [PubMed]
- Akpinar, Y.; Yilmaz, B.; Tatar, N.; Demirtağ, Z. Changing the bonding force of impression tray to edentulous maxillary jaw simulator with impression valve system: In vitro study. Niger. J. Clin. Pract. 2015, 18, 115–119. [Google Scholar]
- Al Qahtani, M.; Alrefaie, M.; Altamimi, A.; Aljowyed, I.; Al Qahtani, M.; AlQahtani, A.; Habib, S. Evaluation of pre-alginate impression preparation methods in the surface accuracy of dental cast. Saudi Dent. J. 2019, 31, 451–456. [Google Scholar] [CrossRef]
- Bud, E.; Bocanet, V.; Muntean, M.; Vlasa, A.; Păcurar, M.; Zetu, I.; Soporan, B.; Bud, A. Extra-Oral Three-Dimensional (3D) Scanning Evaluation of Three Different Impression Materials—An In Vitro Study. Polymers 2022, 14, 3678. [Google Scholar] [CrossRef]
- Ullah, N.; Ur Rehman, M.; Ahmad, B.; Ali, I.; Younas, M.; Aslam, M.; Rahman, A.; Taheri, E.; Fatehizadeh, A.; Rezakazemi, M. Assessment of heavy metals accumulation in agricultural soil, vegetables and associated health risks. PLoS ONE 2022, 17, e0267719. [Google Scholar] [CrossRef]
- Ahmed, S.; Mahdi, M.; Nurnabi, M.; Alam, M.; Choudhury, T. Health risk assessment for heavy metal accumulation in leafy vegetables grown on tannery effluent contaminated soil. Toxicol. Rep. 2022, 9, 346–355. [Google Scholar] [CrossRef]
- Shah, B.; Chudasama, U. Kinetics, thermodynamics and metal separation studies of transition (Co2+, Ni2+, Cu2+, Zn2+) and heavy metal ions (Cd2+, Hg2+, Pb2+) using novel hybrid ion exchanger—Zirconium amino tris methylene phosphonic acid. Sep. Sci. Technol. 2019, 54, 1560–1572. [Google Scholar] [CrossRef]
- Phang, Y.; Chee, S.-Y.; Lee, C.-O.; Teh, Y.-L. Thermal and microbial degradation of alginate-based superabsorbent polymer. Polym. Degrad. Stab. 2011, 96, 1653–1661. [Google Scholar] [CrossRef]
- Song, Y.; Seo, J.; Kim, H.; Beak, K. Structural control of cellulose nanofibrous composite membrane with metal organic framework (ZIF-8) for highly selective removal of cationic dye. Carbohydr. Polym. 2019, 222, 115018. [Google Scholar] [CrossRef] [PubMed]
- Akdemir, M.; Isik, B.; Cakar, F.; Cankurtaran, O. Comparison of the adsorption efficiency of cationic (Crystal Violet) and anionic (Congo Red) dyes on Valeriana officinalis roots: Isotherms, kinetics, thermodynamic studies, and error functions. Mater. Chem. Phys. 2022, 291, 126763. [Google Scholar] [CrossRef]
- Ayuba, A.; Idoko, B. Kinetic, equilibrium and thermodynamic studies on the adsorption of Crystal Violet dye from Aqueous Solution using Activated Cowpea (Vigna Unguiculata) Husk. Appl. J. Environ. Eng. Sci. 2020, 6, 182–195. [Google Scholar]
- Gul, S.; Gul, S.; Gul, H.; Khitab, F.; Khattak, R.; Khan, M.; Ullah, R.; Ullah, R.; Wasil, Z.; Krauklis, A.; et al. Dried Leaves Powder of Adiantum capillus-veneris as an Efficient Biosorbent for Hazardous Crystal Violet Dye from Water Resources. Separations 2023, 10, 165. [Google Scholar] [CrossRef]
- Pourjavadi, A.; Hosseini, S.H.; Seidi, F.; Soleyman, R. Magnetic removal of crystal violet from aqueous solutions using polysaccharide-based magnetic nanocomposite hydrogels. Polym. Int. 2013, 62, 1038–1044. [Google Scholar] [CrossRef]
- He, H.; Yang, S.; Yu, K.; Ju, Y.; Sun, C.; Wang, L. Microwave induced catalytic degradation of crystal violet in nano-nickel dioxide suspensions. J. Hazard. Mater. 2010, 173, 393–400. [Google Scholar] [CrossRef]
- Fayoumi, L.; Ezzedine, M.; Akel, H.; El Jamal, M. Kinetic Study of the Degradation of Crystal Violet by K2S2O8, Comparison with Malachite Green. Port. Electrochim. Acta 2012, 30, 121–133. [Google Scholar] [CrossRef]
- Elwakeel, K.; El-Bindary, A.; El-Sonbati, A.; Hawas, A. Magnetic alginate beads with high basic dye removal potential and excellent regeneration ability. Can. J. Chem. 2017, 95, 807–815. [Google Scholar] [CrossRef]
- Elwakeel, K.; Daher, A.; Abd El-Fatah, A.; Monem, H.; Khalil, M. Biosorption of lanthanum from aqueous solutions using magnetic alginate beads. J. Dispers. Sci. Technol. 2017, 38, 145–151. [Google Scholar] [CrossRef]
- Tadjarodi, A.; Jalalat, V.; Zare-Dorabei, R. Adsorption of La (III) in aqueous systems by N-(2-hydroxyethyl) salicylaldimine-functionalized mesoporous silica. Mater. Res. Bull. 2015, 61, 113–119. [Google Scholar] [CrossRef]
- Jacinto, J.; Henriques, B.; Duarte, A.; Vale, C.; Pereira, E. Removal and recovery of Critical Rare Elements from contaminated waters by living Gracilaria gracilis. J. Hazard. Mater. 2018, 344, 531–538. [Google Scholar] [CrossRef] [PubMed]
- Awwad, N.; Gad, H.; Ahmad, M.; Aly, H. Sorption of lanthanum and erbium from aqueous solution by activated carbon prepared from rice husk. Colloids Surf. B Biointerfaces 2020, 81, 593–599. [Google Scholar] [CrossRef] [PubMed]
- Pérez-Madrigal, M.; Torras, J.; Casanovas, J.; Häring, M.; Aleman, C.; Díaz, D. A paradigm shift for preparing versatile M2+-free gels from unmodified sodium alginate. Biomacromolecules 2017, 18, 2967–2979. [Google Scholar] [CrossRef]
- Oh, H.; Lu, A.X.; Javvaji, V.; DeVoe, D.L.; Raghavan, S.R. Light-Directed Self-Assembly of Robust Alginate Gels at Precise Locations in Microfluidic Channels. ACS Appl. Mater. Interfaces 2016, 8, 17529–17538. [Google Scholar] [CrossRef]
- Plieva, F.; Karlsson, M.; Aguilar, M.; Gomez, D.; Mikhalovsky, S.; Galaev, I. Pore structure in supermacroporous polyacrylamide based cryogels. Soft Matter 2005, 1, 303–309. [Google Scholar] [CrossRef]
- Alver, E.; Metin, A.; Brouers, F. Methylene blue adsorption on magnetic alginate/rice husk bio-composite. Int. J. Biol. Macromol. 2020, 154, 104–113. [Google Scholar] [CrossRef]
- Shan, L.; Gao, Y.; Zhang, Y.; Yu, W.; Yang, Y.; Shen, S.; Zhang, S.; Zhu, L.; Xu, L.; Tian, B.; et al. Fabrication and Use of Alginate-Based Cryogel Delivery Beads Loaded with Urea and Phosphates as Potential Carriers for Bioremediation. Ind. Eng. Chem. Res. 2016, 55, 7655–7660. [Google Scholar] [CrossRef]
- Ho, M.-H.; Kuo, P.-Y.; Hsieh, H.-J.; Hsien, T.-Y.; Hou, L.-T.; Lai, J.-Y.; Wang, D.-M. Preparation of porous scaffolds by using freeze–extraction and freeze-gelation methods. Biomaterials 2004, 25, 129–138. [Google Scholar] [CrossRef]
- Afjoul, H.; Shamloo, A.; Kamali, A. Freeze-gelled alginate/gelatin scaffolds for wound healing applications: An in vitro, in vivo study. Mater. Sci. Eng. C 2020, 113, 110957. [Google Scholar] [CrossRef]
- Tkalec, G.; Kranvogl, R.; PervaUzunalić, A.; Knez, Ž.; Novak, Z. Optimisation of critical parameters during alginate aerogels production. J. Non-Cryst. Solids 2016, 443, 112–117. [Google Scholar] [CrossRef]
- Baldino, L.; Cardea, S.; De Marco, I.; Reverchon, E. Chitosan scaffolds formation by a supercritical freeze extraction process. J. Supercrit. Fluids 2014, 90, 27–34. [Google Scholar] [CrossRef]
- Loeb, S.; Sourirajan, S. Sea Water Demineralization by Means of an Osmotic Membrane. In Saline Water Conversion—II; Advances in Chemistry; American Chemical Society: Washington, DC, USA, 1963; Volume 38, pp. 117–132. [Google Scholar]
- Lee, H.; Lee, W.; Chung, J.; Kwak, S. Enhanced permeability of cellulose acetate ultrafiltration membrane by incorporation of cellulose graft copolymer. Cellulose 2022, 29, 9753–9775. [Google Scholar] [CrossRef]
- Anokhina, T.; Dmitrieva, E.; Volkov, A. Recovery of Model Pharmaceutical Compounds from Water and Organic Solutions with Alginate-Based Composite Membranes. Membranes 2022, 12, 235. [Google Scholar] [CrossRef] [PubMed]
- Paharia, A.; Yadav, A.K.; Rai, G.; Jain, S.K.; Pancholi, S.S.; Agrawal, G.P. Eudragit-coated pectin microspheres of 5-fluorouracil for colon targeting. AAPS PharmSciTech 2007, 8, 87–93. [Google Scholar] [CrossRef]
- Sawant, S.; Kalla, S.; Murthy, Z. Enhanced properties of the PVDF membrane with carboxylated MWCNT and sodium alginate for membrane distillation. J. Environ. Chem. Eng. 2023, 11, 109259. [Google Scholar] [CrossRef]
- Fricke, M.; Weinrich, D.; Lölsberg, W.; Subrahmanyam, R.; Smirnova, I.; Gurikov, P. Process for Producing Porous Alginate-Based Aerogels. Patent WO2015177081 A1, 26 November 2015. [Google Scholar]
- Draget, K.; Østgaard, K.; Smidsrød, O. Homogeneous alginate gels: A technical approach. Carbohydr. Polym. 1990, 14, 159–178. [Google Scholar] [CrossRef]
- Gurikov, P.; Raman, S.; Weinrich, D.; Fricke, M.; Smirnova, I. A novel approach to alginate aerogels: Carbon dioxide induced gelation. RSC Adv. 2015, 5, 7812–7818. [Google Scholar] [CrossRef]
- Raman, S.; Gurikov, P.; Smirnova, I. Hybrid alginate-based aerogels by carbon dioxide induced gelation: Novel technique for multiple applications. J. Supercrit. Fluids 2015, 106, 23–33. [Google Scholar] [CrossRef]
- Bruchet, M.; Melman, A. Fabrication of patterned calcium cross-linked alginate hydrogel films and coatings through reductive cation exchange. Carbohydr. Polym. 2015, 131, 57–64. [Google Scholar] [CrossRef]
- Vicini, S.; Mauri, M.; Wichert, J.; Castellano, M. Alginate gelling process: Use of bivalent ions rich microspheres. Polym. Eng. Sci. 2017, 57, 531–536. [Google Scholar] [CrossRef]
- Zafar, K.; Zia, K.; Alzhrani, R.; Almalki, A.; Alshehri, S. Biocompatibility and Hemolytic Activity Studies of Synthesized Alginate-Based Polyurethanes. Polymers 2022, 14, 2019. [Google Scholar] [CrossRef] [PubMed]
- Cole, D.; Waterfall, M.; McIntyre, M.; Baird, J.D. Microencapsulated islet grafts in the BB/E rat: A possible role for cytokines in graft failure. Diabetologia 1992, 35, 231–237. [Google Scholar] [CrossRef]
- De Vos, P.; De Haan, B.; Pater, J.; Van Schilfgaarde, R. Association between capsule diameter, adequacy of encapsulation, and survival of microencapsulated rat islet allografts. Transplantation 1996, 62, 893–899. [Google Scholar] [CrossRef] [PubMed]
- Zimmermann, U.; Klock, G.; Federlin, K.; Hannig, K.; Kowalski, M.; Bretzel, R.G.; Horcher, A.; Entenmann, H.; Sieber, U.; Zekorn, T. Production of mitogen-contamination free alginates with variable ratios of mannuronic acid to guluronic acid by free flow electrophoresis. Electrophoresis 1992, 13, 269–274. [Google Scholar] [CrossRef]
- Mumper, R.; Huffman, A.; Puolakkainen, P.; Bouchard, L.; Gombotz, W. Calcium-alginate beads for the oral delivery of transforming growth factor-β1 (TGF-β1): Stabilization of TGF-β1 by the addition of polyacrylic acid within acid-treated beads. J. Control. Release 1994, 30, 241–251. [Google Scholar] [CrossRef]
- George, M.; Abraham, T.E. Polyionic hydrocolloids for the intestinal delivery of protein drugs: Alginate and chitosan—A review. J. Control. Release Off. J. Control. Release Soc. 2006, 114, 1–14. [Google Scholar] [CrossRef]
- Chickering, D.E.; Mathiowitz, E. Bioadhesive microspheres: I. A novel electrobalance-based method to study adhesive interactions between individual microspheres and intestinal mucosa. Control. Release 1995, 34, 251–261. [Google Scholar] [CrossRef]
- Mahmood, S.; Khan, N.; Razaque, G.; Shah, S.; Shahid, M.; Albarqi, H.; Alquahtani, A.; Alasiri, A.; Basit, H.M. Microwave-Treated Physically Cross-Linked Sodium Alginate and Sodium Carboxymethyl Cellulose Blend Polymer Film for Open Incision Wound Healing in Diabetic Animals—A Novel Perspective for Skin Tissue Regeneration Application. Pharmaceutics 2023, 15, 418. [Google Scholar] [CrossRef]
- Nouri, A.; Jelkmann, M.; Khoee, S.; Bernkop-Schnurch, A. Diaminated starch: A competitor of chitosan with highly mucoadhesive properties due to increased local cationic charge density. Biomacromolecules 2020, 21, 999–1008. [Google Scholar] [CrossRef]
- Liu, P.; Krishnan, T.R. Alginate-pectin-poly-L-lysine particulate as a potential controlled release formulation. J. Pharm. Pharmacol. 1999, 51, 141–149. [Google Scholar] [CrossRef] [PubMed]
- Torre, M.L.; Giunchedi, P.; Maggi, L.; Stefli, R.; Machiste, E.O.; Conte, U. Formulation and characterization of calcium alginate beads containing ampicillin. Pharm. Dev. Technol. 1998, 3, 193–198. [Google Scholar] [CrossRef] [PubMed]
- Chan, L.W.; Heng, P.W. Effects of aldehydes and methods of cross-linking on properties of calcium alginate microspheres prepared by emulsification. Biomaterials 2002, 23, 1319–1326. [Google Scholar] [CrossRef] [PubMed]
- Kulkarni, A.; Soppimath, K.; Aralaguppi, M.; Aminabhavi, T.; Rudzinski, W. Preparation of cross-linked sodium alginate microparticles using glutaraldehyde in methanol. Drug Dev. Ind. Pharm. 2000, 26, 1121–1124. [Google Scholar] [CrossRef]
- Kulkarni, A.; Soppimath, K.; Aminabhavi, T.; Dave, A.; Mehta, M. Glutaraldehyde crosslinked sodium alginate beads containing liquid pesticide for soil application. J. Control. Release Off. J. Control. Release Soc. 2000, 63, 97–105. [Google Scholar] [CrossRef]
- Kulkarni, A.; Soppimath, K.; Aminabhavi, T.; Rudzinski, W. In-vitro release kinetics of cefadroxil-loaded sodium alginate interpenetrating network beads. Eur. J. Pharm. Biopharm. Off. J. Arb. Fur Pharm. Verfahr. EV 2001, 51, 127–133. [Google Scholar] [CrossRef]
- Xu, T.; Ma, C.; Aytac, Z.; Hu, X.; Ng, K.; White, J.; Demokritou, P. Enhancing agrichemical delivery and seedling development with biodegradable, tunable, biopolymer-based nanofiber seed coatings. ACS Sustain. Chem. Eng. 2020, 8, 9537–9548. [Google Scholar] [CrossRef]
- Del Gaudio, P.; Amante, C.; Civale, R.; Bizzarro, V.; Petrella, A.; Pepe, G.; Campiglia, P.; Russo, P.; Aquino, R. In situ gelling alginate-pectin blend particles loaded with Ac2-26: A new weapon to improve wound care armamentarium. Carbohydr. Polym. 2020, 227, 115305. [Google Scholar] [CrossRef]
- Zhou, L.; Meng, Q.; Zhang, R.; Jiang, B.; Wu, Q.; Chen, J.; Zhang, T. Improving thermostability of a PL 5 family alginate lyase with combination of rational design strategies. Int. J. Biol. Macromol. 2023, 242, 124871. [Google Scholar] [CrossRef]
- Athamneh, T.; Amin, A.; Benke, E.; Ambrus, R.; Leopold, C.; Gurikov, P.; Smirnova, I. Alginate and hybrid alginate-hyaluronic acid aerogel microspheres as potential carrier for pulmonary drug delivery. J. Supercritic. Fluids 2019, 150, 49–55. [Google Scholar] [CrossRef]
- Feng, S.; Tang, Q.; Xu, Z.; Huang, K.; Li, H.; Zou, Z. Development of novel Co-MOF loaded sodium alginate-based packaging films with antimicrobial and ammonia-sensitive functions for shrimp freshness monitoring. Food Hydrocoll. 2023, 135, 108193. [Google Scholar] [CrossRef]
- Aziz, K.; El Achaby, M.; Mamouni, R.; Saffaj, N.; Aziz, F. A novel hydrogel beads based copper-doped Cerastoderma edule shells@Alginate biocomposite for highly fungicide sorption from aqueous medium. Chemosphere 2023, 311, 136932. [Google Scholar] [CrossRef] [PubMed]
- Ahmad, F.; Mushtaq, B.; Ahmad, S.; Rasheed, A.; Nawab, Y. A Novel Composite of Hemp Fiber and Alginate Hydrogel for Wound Dressings. J. Polym. Environ. 2023, 31, 2294–2305. [Google Scholar] [CrossRef]
- Echeverria Molina, M.; Chen, C.A.; Martinez, J.; Tran, P.; Komvopoulos, K. Novel Electrospun Polycaprolactone/Calcium Alginate Scaffolds for Skin Tissue Engineering. Materials 2023, 16, 136. [Google Scholar] [CrossRef] [PubMed]
- Lin, X.; Zhang, H.; Guo, X.; Qin, Y.; Shen, P.; Peng, Q. A Novel Sodium Alginate-Carnauba Wax Film Containing Calcium Ascorbate: Structural Properties and Preservative Effect on Fresh-Cut Apples. Molecules 2023, 28, 367. [Google Scholar] [CrossRef]
- Ma, H.; Yu, K.; Wang, H.; Liu, J.; Cheng, Y.; Kang, Y.; Wang, H.; Zhang, J.; Song, K. Fabrication and detection of a novel hybrid conductive scaffold based on alginate/gelatin/carboxylated carbon nanotubes (Alg/Gel/mMWCNTs) for neural tissue engineering. Tissue Cell 2023, 80, 101995. [Google Scholar] [CrossRef] [PubMed]
- Elhamrouni, I.; Ishak, M.; Johari, W.; Halimoon, N. A novel characterization of alginate-attapulgite-calcium carbonate (AAC) gel adsorption in bacterial biodegradation of used engine oil (UEO). Biotechnol. Biotechnol. Equip. 2023, 37, 126–138. [Google Scholar] [CrossRef]
- Xiang, X.; Yi, X.; Zheng, W.; Li, Y.; Zhang, C.; Wang, X.; Chen, Z.; Huan, M.; Ying, G. Enhanced biodegradation of thiamethoxam with a novel polyvinyl alcohol (PVA)/sodium alginate (SA)/biochar immobilized Chryseobacteriumsp H5. J. Hazard. Mater. 2023, 443, 130247. [Google Scholar] [CrossRef]
- Alrebaki, M.; Ba-Abbad, M.; Abdullah, A. Novel Fe0 Embedded Alginate Beads and Coated with CuO-Fe3O4 as a Sustainable Catalyst for Photo-Fenton Degradation of Oxytetracycline in Wastewater. Arab. J. Sci. Eng. 2023, 48, 1–13. [Google Scholar] [CrossRef]
- Wu, Y.; Qi, H.; Shi, C.; Ma, R.; Liu, S.; Huang, Z. Preparation and adsorption behaviors of sodium alginate-based adsorbent-immobilized β-cyclodextrin and graphene oxide. RSC Adv. 2017, 7, 31549–31557. [Google Scholar] [CrossRef]
- Heidarizad, M.; Şengör, S.S. Synthesis of graphene oxide/magnesium oxide nanocomposites with high-rate adsorption of methylene blue. J. Mol. Liq. 2016, 224, 607–617. [Google Scholar] [CrossRef]
- Thakur, S.; Pandey, S.; Arotiba, O.A. Development of a sodium alginate-based organic/inorganic superabsorbent composite hydrogel for adsorption of methylene blue. Carbohydr. Polym. 2016, 153, 34–46. [Google Scholar] [CrossRef] [PubMed]
- Fan, J.; Shi, Z.; Lian, M.; Li, H.; Yin, J. Mechanically strong graphene oxide/sodium alginate/polyacrylamide nanocomposite hydrogel with improved dye adsorption capacity. J. Mater. Chem. A 2013, 1, 7433–7443. [Google Scholar] [CrossRef]
- Verma, R.; Dwivedi, P. Heavy metal water pollution-A case study. Recent Res. Sci. Technol. 2013, 5, 98–99. [Google Scholar]
- Ren, H.; Gao, Z.; Wu, D.; Yang, J.; Sun, Y.; Luo, C. Efficient Pb(II) removal using sodium alginate-carboxymethyl cellulose gel beads: Preparation, characterization, and adsorption mechanism. Carbohydr. Polym. 2016, 137, 402–409. [Google Scholar] [CrossRef] [PubMed]
- Wang, B.; Gao, B.; Wan, Y.S. Entrapment of ball-milled biochar in Ca-alginate beads for the removal of aqueous Cd(II). J. Ind. Eng. Chem. 2018, 61, 161–168. [Google Scholar] [CrossRef] [PubMed]
- Liu, M.; Wen, Y.; Song, X.; Zhu, J.L.; Li, J. A Smart Thermoresponsive Adsorption System for Efficient Copper Ion Removal Based on Alginate-g-poly(N-isopropylacrylamide) Graft Copolymer. Carbohydr. Polym. 2019, 219, 280–289. [Google Scholar] [CrossRef]
- Liu, H.Y.; Sun, Y.C.; Yu, T.; Zhang, J.; Zhang, X.Y.; Zhang, H.; Zhao, K.Y.; Wei, J.F. Plant-mediated biosynthesis of iron nanoparticles-calcium alginate hydrogel membrane and its eminent performance in removal of Cr(VI). Chem. Eng. J. 2019, 378, 122120. [Google Scholar] [CrossRef]
- Gao, X.; Li, M.; Zhao, Y.; Zhang, Y. Mechanistic study of selective adsorption of Hg2+ ion by porous alginate beads. Chem. Eng. J. 2019, 378, 122096. [Google Scholar] [CrossRef]
- Abed, M.; Faisal, A. Green Synthesis of Calcium/Iron-Layered Double Hydroxides-Sodium Alginate Nanoadsorbent as Reactive Barrier for Antibiotic Amoxicillin Removal from Groundwater. Adsorp. Sci. Technol. 2023, 2003, 1475278. [Google Scholar] [CrossRef]
- Vu, T.; Le, P.; Truong, T.; Nguyen, P.; Dinh, T.; Tran, T.; Huang, T.; Pham, T. Highly Adsorptive Removal of Antibiotic and Bacteria using Lysozyme Protein Modified Nanomaterials. J. Mol. Liq. 2023, 382, 121903. [Google Scholar] [CrossRef]
- Pellegrini, A.; Thomas, U.; von Fellenberg, R.; Wild, P. Bactericidal activity of lysozyme and aprotinin against Gram-negative and Gram-positive bacteria related to their basic character. J. Appl. Bacteriol. 1992, 72, 180–187. [Google Scholar] [CrossRef] [PubMed]
- Karami, F.; Saber-Samandari, S. Synthesis and characterization of a novel hydrogel based on carboxymethyl chitosan/sodium alginate with the ability to release simvastatin for chronic wound healing. Biomed. Mat. 2023, 18, 025001. [Google Scholar] [CrossRef] [PubMed]
- Yan, J.; Miao, Y.; Tan, H.; Zhou, T.; Ling, Z.; Chen, Y.; Xing, X.; Hu, X. Injectable alginate/hydroxyapatite gel scaffold combined with gelatin microspheres for drug delivery and bone tissue engineering. Mater. Sci. Eng. C 2016, 63, 274–284. [Google Scholar] [CrossRef]
- Hao, T.; Li, J.; Yao, F.; Dong, D.; Wang, Y.; Yang, B.; Wang, C. Injectable Fullerenol/Alginate Hydrogel for Suppression of Oxidative Stress Damage in Brown Adipose-Derived Stem Cells and Cardiac Repair. ACS Nano 2017, 11, 5474–5488. [Google Scholar] [CrossRef]
- Farasatkia, A.; Kharaziha, M. Robust and double-layer micro-patterned bioadhesive based on silk nanofibril/GelMA-alginate for stroma tissue engineering. Int. J. Biol. Macromol. 2021, 183, 1013–1025. [Google Scholar] [CrossRef]
- Rubio-Elizalde, I.; Bernáldez-Sarabia, J.; Moreno-Ulloa, A.; Vilanova, C.; Juárez, P.; Licea-Navarro, A.; Castro-Ceseña, A. Scaffolds based on alginate-PEG methyl ether methacrylate-Moringa oleifera-Aloe vera for wound healing applications. Carbohydr. Polym. 2019, 206, 455–467. [Google Scholar] [CrossRef]
- Mohabatpour, F.; Yazdanpanah, Z.; Papagerakis, S.; Chen, X.; Papagerakis, P. Self-Crosslinkable Oxidized Alginate-Carboxymethyl Chitosan Hydrogels as an Injectable Cell Carrier for In Vitro Dental Enamel Regeneration. J. Funct. Biomater. 2022, 13, 71. [Google Scholar] [CrossRef]
- Ahn, D.G.; Lee, J.; Park, S.Y.; Kwark, Y.J.; Lee, K.Y. Doxorubicin-Loaded Alginate-g-poly(N-Isopropylacrylamide) Micelles for Cancer Imaging and Therapy. ACS Appl. Mater. Interfaces 2014, 6, 22069–22077. [Google Scholar] [CrossRef]
- Kim, H.; Jung, G.; Yoon, J.; Han, J.; Park, Y.; Kim, D.; Zhang, M.; Kim, D. Preparation and characterization of nano-sized hydroxyapatite/alginate/chitosan composite scaffolds for bone tissue engineering. Mat. Sci. Eng. C 2015, 54, 20–25. [Google Scholar] [CrossRef]
- Bhagyasree, K.; Mukherjee, D.; Azamthulla, M.; Debnath, S.; Sundar, L.; Hulikal, S.; Teja, B.; Bhatt, S.; Kamnoore, D. Thiolated sodium alginate/polyethylene glycol/hydroxyapatite nanohybrid for bone tissue engineering. J. Drug Deliv. Sci. Technol. 2022, 76, 103813. [Google Scholar] [CrossRef]
- Müller, W.; Schröder, H.; Feng, Q.; Schlossmacher, U.; Link, T.; Wang, X. Development of a morphogenetically active scaffold for three-dimensional growth of bone cells: Biosilica-alginate hydrogel for SaOS-2 cell cultivation. J. Tissue Eng. Regen. Med. 2015, 9, 39–50. [Google Scholar] [CrossRef] [PubMed]
- Lin, H.; Yeh, Y. Porous alginate/hydroxyapatite composite scaffolds for bone tissue engineering: Preparation, characterization, and in vitro studies. J. Biomed. Mater. Res. Part B Appl. Biomater. 2004, 71, 52–65. [Google Scholar] [CrossRef] [PubMed]
- Mahou, R.; Vlahos, A.; Shulman, A.; Sefton, M. Interpenetrating alginate-collagen polymer network microspheres for modular tissue engineering. ACS Biomater. Sci. Eng. 2017, 4, 3704–3712. [Google Scholar] [CrossRef]
Disclaimer/Publisher’s Note: The statements, opinions and data contained in all publications are solely those of the individual author(s) and contributor(s) and not of MDPI and/or the editor(s). MDPI and/or the editor(s) disclaim responsibility for any injury to people or property resulting from any ideas, methods, instructions or products referred to in the content. |
© 2023 by the authors. Licensee MDPI, Basel, Switzerland. This article is an open access article distributed under the terms and conditions of the Creative Commons Attribution (CC BY) license (https://creativecommons.org/licenses/by/4.0/).









