Abstract
Starting from D-xylonolactone and D-ribonolactone, several five-membered bromolactones, related to the C1–C5 portion of mycalin A lactone, have been synthesized. The bromination of D-ribonolactone with HBr/AcOH, without a subsequent transesterification step, has been studied for the first time, giving us most of the acetylated lactones investigated in the present study. For each compound, where possible, both the C-3 alcohol and the corresponding acetate were prepared. Evaluation of their anti-tumor activity showed that all the acetates possess a good cytotoxicity towards human melanoma (A375), human cervical adenocarcinoma (HeLa) and human metastatic melanoma (WM266) cancer cells, comparable or even higher than that displayed by the original mycalin A lactone. Lactone acetates derived from D-ribonolactone showed the higher selectivity of action, exhibiting a strong cytotoxicity on all the tested tumor cells but only a limited toxicity on healthy human dermal fibroblast (HDF) cells, used as a control. Wound healing assays showed that two of these substances inhibit the migration of the WM266 cells.
1. Introduction
Mycalin A (1, Figure 1) is a polybrominated C15 acetogenin [] isolated some years ago in our group from the encrusting sponge Mycale rotalis [,]. As a continuation of our interest in the search for new anti-tumor substances, either of synthetic or natural origin [,,], we recently reported that mycalin A displays strong antiproliferative activity on human melanoma (A375) and human cervical adenocarcinoma (HeLa) cells (Figure 1 and Table 1) []. Nevertheless, mycalin A also showed a strong cytotoxicity towards human dermal fibroblasts (HDF) used as healthy control cells (Figure 1 and Table 1).
Figure 1.
(Left) Mycalin A (1) and its synthetic derivatives 2 and 3. (Right) Effect of compounds 1–3 on human malignant melanoma (A375), human cervical adenocarcinoma (HeLa) and healthy human dermal fibroblasts (HDF) cells. Error bars represent ± SE. *** p < 0.001, ** p < 0.01, * p < 0.05. For the experimental details, see [].
Table 1.
IC50 (μM) values (± SD) of mycalin A 1, mycalin A acetate 2 and mycalin A lactone 3, obtained from the dose–response curves on the A375, HeLa and HDF cell lines after 48 h incubation [].
To select structural analogues of the natural substance that could retain the original anti-tumor activity but which showed a reduced cytotoxicity towards healthy cells, various analogues of mycalin A were synthesized []. Among the synthesized compounds, mycalin A acetate 2 (Figure 1) showed an increased cytotoxicity towards all the tested cancer cells compared to mycalin A (Table 1). However, this substance was still very active against the healthy HDF cells (Table 1). Lactone 3 (Figure 1), henceforward called mycalin A lactone, lacking the C1–C3 side chain of mycalin A acetate 2, proved to be one of the most active substances among the prepared analogues. In addition, this substance displayed a toxicity towards HDF cells ten times lower than that shown towards the A375 cells (Table 1).
In this paper, we report the synthesis of several simplified bromolactone compounds mimicking the C1–C5 portion of mycalin A lactone 3 (Figure 2), which possess diverse substitution and/or configuration at the C-2, C-3 and C-4 carbons. The rationale underlying this study assumes that the activity and selectivity of compound 3 could be mostly attributed to its lactone portion. D-xylono-1,4-lactone and D-ribono-1,4-lactone were chosen as the starting materials. Indeed, previous studies [] have shown that the THF-containing or THF-mimicking portion of mycalin A, such as lactone 3, is essential to its biological activity because its absence or its perturbation cause a strong decrease in cytotoxic activity.
Figure 2.
Bromolactones investigated in this study and structural comparison with the right-hand part of mycalin A.
The evaluation of the cytotoxic activity of the synthetic substances was performed on the A375 and HeLa cancer cell lines, previously used for the assays on mycalin A and its lactone derivative 3. Due to our interest in studying metastatic progression [,], the highly metastatic human melanoma cells (WM266) were also tested in this study. Human dermal fibroblasts (HDF) were used as healthy cells to evaluate the selectivity of action of the investigated compounds towards cancer cells.
2. Results and Discussion
Starting from D-xylonolactone [], six five-membered bromolactones were synthesized (Figure 3); both the C-3 alcohol and the corresponding acetates were prepared. They all retain the C-3 configuration of D-xylonolactone. First, we synthesized the bromolactone 4 (Figure 3), which closely matches the lactone portion of 3. Our purpose was to clarify whether the lactone moiety in 3 might be responsible for its activity.
Figure 3.
Summary of lactones 4–9 derived from D-xylonolactone.
Thus, D-xylose was converted into D-xylonolactone by treatment with Br2 under basic conditions followed by quenching with formic acid. Next, according to a reported procedure [], the latter was treated with 33% HBr/AcOH (HBA) and then with MeOH to give dibromolactone 5 (Scheme 1) as the main product (31% from D-xylose), which possess an inverted configuration at C-2 with respect to D-xylose. Selective hydrogenolytic debromination of 5 at C-2 was then accomplished with Pd/C (10%) in EtOAc to give alcohol 6 in a 62% yield. Finally, acetylation of 6 with Ac2O in the presence of catalytic amounts of HClO4 afforded lactone 4 in an 89% yield (17% from D-xylonolactone, four steps). Purification by HPLC gave a sample of 4, which is suitable for the biological assays.
Scheme 1.
Synthesis of lactones 4–7 from D-xylonolactone.
It is to be noted that 3% of the C-2 epimeric dibromolactone 7 (Scheme 1) was also obtained from the bromination of D-xylonolactone. Compounds 5 and 7 were separated by HPLC. NMR data for 5 agree with those reported []. As expected for a five-membered ring, the inversion of configuration at C-2 in 7 affected the multiplicity of the H-2 and H-3 signals that appear as a singlet and a doublet, respectively, due to the absence of coupling between H-2 and H-3 (these protons appear as a double doublet and a double double doublet in the proton spectrum of 5) caused by the near 90° dihedral angle between the planes in which the H(2)-C(2)-C(3) and H(3)-C(3)-C(2) atoms lie. Although the NMR data for 7 were substantially like those reported in the literature [], some signals displayed a non-negligible chemical shift difference. Therefore, we decided to confirm the structure of this compound by X-ray diffraction analysis. The formation of 7 strongly suggested that a tautomerization process involving the carbonyl lactone of 5 had occurred under the acidic reaction conditions. As far as we know, the formation of this substance had not previously been observed during the bromination of D-xylonolactone [].
As for the proton spectrum of 6, the disappearance of the one-proton signal for H-2, resonating at 4.80 ppm in the proton spectrum of 5, and the appearance of an AB-system further coupled in the range 2.6–3.0 ppm are clear evidence of the absence of the C-2 bromine in 6. Similar NMR features characterize the acetate 4. Furthermore, the downfield shift of the H-3 signal at δ 5.58 (H-3 resonates at δ 4.73 in the proton spectrum of 6) and the presence of a three-proton singlet at δ 2.13 in the proton spectrum of 4 clearly indicate the acetylation of H-3.
It is known that lactones such as 5 are prone to epimerize at C-2 under basic conditions []. Therefore, to obtain higher amounts of 7, compound 5 was treated with Et3N in EtOAc for 1 h (Scheme 2). Indeed, under these conditions, a 1:1 mixture of 7 and unreacted 5 was obtained. Compound 7 had previously been synthesized from D-lyxonolactone [] and from potassium D-lyxonate [,]. Alcohols 5 and 7 were acetylated under the same conditions used to acetylate 6, giving 8 and 9, respectively, in 68% (borsm) and 66% yields (Scheme 2).
Scheme 2.
Synthesis of lactones 7–9.
The 1H-NMR features of the acetates 8 and 9 are substantially like those displayed by the corresponding alcohols 5 and 7, respectively. The presence of acetate signals (8: δ 2.20; 9: δ 2.16) and a low-field shift of the H-3 protons in their proton spectra are observed in these cases as well (see their proton spectra in Supplementary Materials for further details).
The antiproliferative activity of the compounds 4–9 was then evaluated on the A375, HeLa and WM266 cells (Figure 4). As for the acetates 4, 8 and 9, all exhibited an activity higher than that shown by the corresponding alcohols 5–7 towards all the tested tumor cells, both at 1 μM and 10 μM concentrations. This result is in line with that observed for mycalin A and some of its acetate/alcohol derivative pairs, previously synthesized [], and can be ascribed to the easier cell penetration of the acetates, caused by their reduced polarity. In particular, compound 4 induced a good inhibition of the proliferation of the Hela and WM266 cells of about 65% at 10 μM concentrations, while, at the same concentration, a strong 80% inhibition of the A375 cells was observed.
Figure 4.
The antiproliferative activity of lactones 4–9 on the HeLa, A375 and WM266 tumor cells and healthy HDF control cells. The cells were incubated at 37 °C for 48 h in the presence of these substances. The proliferation was determined by MTT assays. The results are presented as the percentage of proliferating cells with respect to the control (vehicle treated cells) and are expressed as means ± SD of at least three independent experiments, * p < 0.05.
Interestingly, both the C-2 brominated epimeric substances 8 and 9 exhibited a cytotoxic activity higher than that displayed by 4 on all the tested cells, particularly on the A375 and WM266 cells (Figure 4), for which a cytotoxic effect of about 90% and 80%, respectively, was observed. To evaluate the selectivity of the acetates 4, 8 and 9 towards tumor cells, the inhibition of the healthy HDF cells was then assessed for these compounds (Figure 4). It was observed that the lactones 8 and 9 were the most selective compounds, showing a limited killing effect towards the HDF cells (8: 50%; 9: 40%). Compound 4, on the contrary, showed a rather limited selectivity causing a 70% death of the HDF cells, a value which is not unlike that shown against the HeLa and WM266 tumor cells, but is higher than that shown by the original lactone 3 on the HDF cells that displayed a 30% killing effect [].
As a next step, the IC50 values for the most selective compounds 8 and 9 were evaluated on the WM266 highly metastatic melanoma cells. The cytotoxicity of the original lactone 3 towards WM266 cells, not previously assayed for this substance, was also evaluated for comparison purposes. To this end, compound 3 was synthesized from mycalin A as described []. As previously observed for the Hela and A375 cells (Table 1), lactone 3 displayed a good activity towards the WM266 cells and a more limited killing effect of the HDF cells (Figure 5 and Table 2). Gratifyingly, compounds 8 and 9 displayed IC50 values lower than that of lactone 3, while a reduced (for 9) or similar (for 8) killing effect was observed on the HDF cells, with respect to 3 (Table 2).
Figure 5.
The dose–response curves obtained by treating the indicated cells with mycalin A lactone 3, 8 and 9 at the specified concentrations.
Table 2.
The IC50 (μM) values (±SD) obtained after 48 h incubation with 3, 8 and 9 on the WM266 and HDF cell lines.
The promising data obtained for the xylonolactone-derived lactones prompted us to enlarge the collection of lactone analogues of type 4–9 by synthesizing further representatives of this class of compound. It was interesting to study the effect of the configuration at C-3 on the cytotoxicity. Hence, several lactones possessing an inverted configuration at that stereogenic centre were synthesized, starting from D-ribose.
In this context, it is to be noted that the bromination of D-xylonolactone (Scheme 1) only leads to the 4R isomer 5, and consequently, only its 4R derivatives 4 and 6–9 (Scheme 1 and Scheme 2) could be obtained from it. On the other hand, the bromination of D-ribonolactone is reported [,,] to give the three isomeric dibrominated compounds 10 (2S,4S, major), 11 (2R,4S, minor), and 12 (2S,4R, minor) (Figure 6). Therefore, this process was expected to provide us with three out of the four possible isomers of 5 involving the C-2/C-4 centres, allowing us to study the effect of the stereochemistry of the lactone ring on the antiproliferative activity.
Figure 6.
Summary of the ribose-derived lactones.
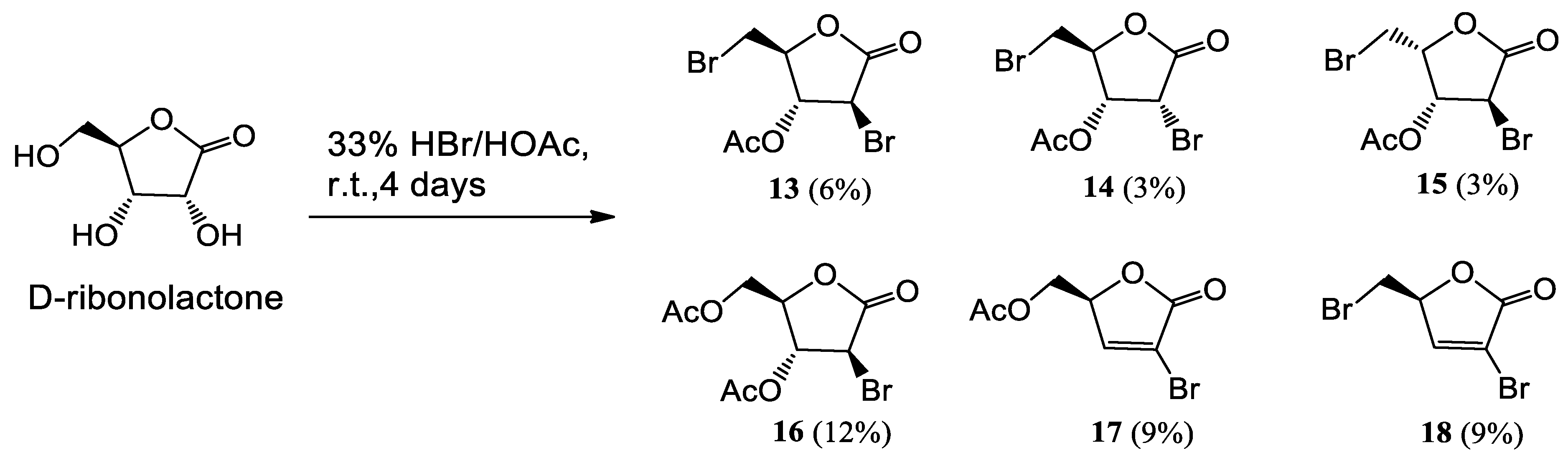
Overall, thirteen five-membered lactones, most of which obtained as C-3 alcohol/acetate pairs, were obtained (Figure 6) either by the direct bromination of D-ribonolactone or by further synthetic manipulation of the substances obtained from that process. In particular, the isomeric C2/C4 dibromo compounds 10–12 and 13–15, their C-2 debrominated analogues 19–22, the two C2-C3 unsaturated compounds 17 and 18 and the C-5 debrominated lactone 16 were synthesized according to the procedures reported below. Several of these acetates had not previously been synthesized.
D-ribonolactone [] was synthesized from D-ribose by treatment with Br2 in alkaline solution, according to a described procedure [] and obtained in a pure form by crystallization from EtOH. Then, its treatment with 33% HBA gave compound 10 as the main product (34%) along with minor amounts of its C-2 and C-4 epimers 11 (4%) and 12 (12%), respectively (Scheme 3), which were separated by HPLC.
Scheme 3.
Synthesis of lactones 10–12 from D-ribonolactone.
Some NMR features of the isomeric alcohols 10–12 deserve a brief comment. The 1H-NMR data for 10 well agree with those reported in the literature []. While an accumulation of the signals from H-2 to H-4 protons in the range 4.50–4.65 is seen in its proton spectrum, a very good dispersion of these signals, in the range 4.34–4.72 and 4.25–5.0 ppm, is observed for its C-2 and C-4 epimers 11 and 12, respectively. The proton spectrum of the latter is identical to that of its enantiomer 7 (See Supplementary Materials).
According to the same protocol used to synthesize alcohol 4 (Scheme 1), compound 10 was subjected to the hydrogenolytic debromination at C-2 to give alcohol 19 in 76% yield (Scheme 4), which was acetylated, leading to acetate 20 in 75% yield (60% for two steps) [].
Scheme 4.
Synthesis of lactone 20.
The proton spectrum of 19 includes signals at δ 2.58 and δ 2.99 for the H-2 protons, (AB system further coupled), which indicated the absence of the bromine at C-2. Similarly, the proton spectrum of 20 includes signals for the H-2 protons at δ 2.62 and δ 3.13 (AB system further coupled) and a three-proton singlet at δ 2.11 for the acetate.
Both 19 and 20 were subjected to cytotoxicity assays (Figure 7 and Figure S1). As observed for the analogous pair of compounds 4 and 6 of the D-xylose series (Scheme 1), acetate 20 proved to be by far more active than the corresponding alcohol 19 on all three tested cell lines. On the other hand, a comparison of the biological data of 20 and 4 indicated that the inversion of configuration at C-3 in the former had caused an increased cytotoxic activity on the A375 and WM266 cells (Figure 7), bringing the cell death to approximately 90% for both. On the contrary, a very slight increase in the cytotoxicity towards the HeLa cells was observed for 20 with respect to 4. Importantly, an insignificant killing effect on the HDF cells was observed for this compound. Indeed, compound 20 is one of the most active substances among those prepared (see also Figure 8 below) and, considering the data for the HDF cells (Figure 7), the one showing the highest selectivity of action towards tumor cells.
Figure 7.
Comparison of the effect of compounds 4, 19 and 20 on the HeLa, A375 and WM266 tumor and HDF healthy cell proliferation. The cells were incubated in the presence of 1 µM or 10 µM of these compounds at 37 °C for 48 h. The results are presented as the percentage of proliferating cells with respect to the control (vehicle treated cells) and are expressed as means ± SD, * p < 0.05.

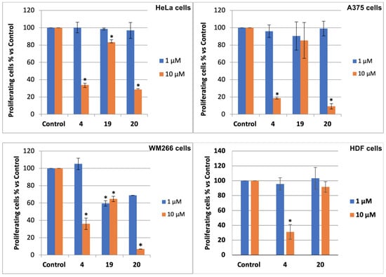
Figure 8.
The effects of compounds 13–18 and 22 on tumor and healthy cell proliferation. Data for compounds 4, 8, 9 and 20 have been included for comparison purposes. The cells were incubated in the presence of these compounds at 1 µM or 10 µM concentrations for 48 h at 37 °C. The results are presented as the percentage of proliferating cells with respect to the control (vehicle treated cells) and are expressed as means ± SD, * p < 0.05.
Compound 19 had previously been obtained from D-ribonolactone in a 47% overall yield in four steps, according to a slightly different protocol []. The acetylation of 19 to 20 was reported by Bock et al. [] to proceed in a rather low yield (33%). In our hands, this transformation gave 20 in a higher (75%) yield, and consequently, combining the reported yield for 19 [] and our yield for its acetylation, compound 20 could be obtained, in principle, in five steps and a 35% overall yield, starting from D-ribonolactone.
Having observed that for the 4/6 and 19/20 pairs, the acetates displayed an activity higher than that of the corresponding alcohols, we decided to carry out the bromination of D-ribonolactone without the successive transesterification with MeOH. It was expected that the acetyl-derivatives 13–15 corresponding to the alcohols 10–12, could be directly obtained, thus rendering their preparation easier. We also aimed at studying the possible minor products (if any) of this process to enlarge the collection of the lactone substances to be assayed. As far as we know, the bromination of D-ribonolactone had previously been carried out with the sole intent of obtaining alcohols 10–12 and the transesterification step was needed to achieve this end.
Therefore, D-ribonolactone was treated with 33% HBA for four days (Scheme 5) and the reaction mixture was carefully separated by preparative HPLC on a silica column. In addition to the expected acetates 13–15, the three further lactones 16–18 were obtained (overall yield of 13–18 42%). The structural correspondence between 10–12 and 13–15 was proven by the acetylation of the former to the latter. In addition, the NMR data for 13–15 were in good agreement with those reported in the literature []. The NMR spectra of acetate 15 are identical to those of its enantiomer 9.
Scheme 5.
Synthesis of compounds 13–18.
Compound 13 had previously been obtained in an unspecified yield by the acetylation of the corresponding alcohol 10, in turn prepared in a 36% yield by reaction of D-ribonolactone with HBA for 60 h according to the two-step procedure shown in Scheme 3 []. Compounds 14 and 15 had not previously been synthesized. The corresponding alcohols 11 and 12 were obtained as minor products (1% and 7% yields, respectively) from the reaction of D-ribonolactone with HBA [].
Compound 16 had previously been obtained only in one instance as a 6:1 mixture with 13 [,] by the reaction of D-ribonolactone with HBA, followed by the reaction with Ac2O, and used without purification for further synthetic elaborations. The low-field (60 MHz) 1H-NMR data reported for 16, obtained from the 16/13 mixture, were limited to the CH2OAc group and did not give conclusive information on the structure of 16. Therefore, a complete spectral characterization of 16 was carried out and its structure was confirmed by the acetylation of the corresponding diol, in turn synthesized from D-ribonolactone as described []. The proton spectrum of diacetate 16 is strongly reminiscent of that of 13 (see Supplementary Material), the only noticeable difference being the downfield shift of the H2-5 protons (13: δ 3.74; 16: δ 4.41) due to the presence of an acetyl group at C-5 in place of the bromine.
Unsaturated lactone 17 had not previously been synthesized. The corresponding alcohol was obtained in a 30% yield as a side-product in one of the steps of the synthesis of some allylic bromides from 1,2:5,6-diisopropylidene- D mannitol []. Compound 18 had previously been synthesized [] in a racemic form and an 8.5% yield from the €-pentadienoic acid. The NMR data of 18 perfectly agree with those reported []. The proton spectra of unsaturated compounds 17 and 18 are very similar to each other (see Supplementary Materials). Both include a narrow doublet (17: 7.48 ppm; 18: 7.59 ppm; J = 1.8 Hz for both) for the H-3 vinyl proton. The presence of an acetate at C-5 in 17 induces a downfield shift of the signals for H2-5 that appears as a narrow AB system further coupled, centred at 4.34 ppm. These signals appear in the proton spectrum of 18 as two well-separated signals in the range 3.4–3.7 ppm.
We suppose that the formation of 17 and 18 could be due to the loss of acetic acid from the corresponding acetates 16 and 13, respectively, during the work-up or purification steps. Indeed, we have observed that compound 13 tends to lose AcOH in various acidic conditions such as on standing in CDCl3, or on silica gel. Additionally, the acetylation of 10 to give 13 (with Ac2O/HClO4 (cat.)) is accompanied by the formation of a certain amount of 18. Finally, even when stored dry at 4 °C, 13 slowly transforms into a mixture of its C-2 epimer 14 and the compound 18. A 4:2:1 mixture of 13, 14 and 18 was formed from 13 after about three months at 4 °C. On the contrary, the C-2 epimeric compound 14 is stable for months at 4 °C and only a 5% amount of both 13 and 18 was formed after prolonged treatment with HBA at room temperature, while no trace of either 13 or 14 is observed when 18 was reacted with HBA under the same conditions for three days. Interestingly, compound 9, the xylonolactone-derived C-3 epimer of 13, has no tendency to lose AcOH and can be stored for months at 4 °C. We presume that the loss of acetic acid in 13, as well as its C-2 epimerization to give 14, might occur through the enol intermediate 23 (Scheme 6).
Scheme 6.
A hypothesis on the formation of 14 and 18 from 13.
Finally, the C-2 debrominated compounds 21 and 22 were obtained from 12 in 25% and 35% yields, respectively (Scheme 7), according to the procedure used to synthesize 4. Compound 21 had previously been obtained from the corresponding β-hydroxy-acid by treatment with N-bromosuccinimide []. The acetate 22 had never previously been synthesized. The NMR data reported for 21 were limited to those pertaining to the proton spectrum collected at 60 MHz. Therefore, a complete high-field characterization of 21 was carried out. NMR spectra of 21 and 22 were identical to those of the corresponding enantiomers 6 and 4, respectively.
Scheme 7.
Synthesis of 21 and 22.
The results of cytotoxicity assays on the acetates 10–18 and 22 are shown in Figure 8. Some observations about their activity and selectivity with respect to their xylose-derived isomers 4, 8 and 9 are worth making. Cytotoxicity assays on the corresponding alcohols 10–12 and 21 are reported in the Supplementary Materials (see Figure S1).
First, a comparison of the activity of the three stereoisomers 4, 20 and 22, all strictly similar to the C1–C5 portion of mycalin A lactone, seems important. As far as the enantiomeric compounds 4 and 22 are concerned, the latter displays an increased activity towards the A375 and especially towards the WM266 cells compared to 4, while essentially no difference can be noticed for these compounds on the HeLa cells. Importantly, contrary to 4, which shows a killing effect of about 70% towards the HDF cells, compounds 20 and 22 are essentially inactive towards these cells. Thus, compounds 20 and 22, which possess with respect to 4 the inversion of configuration at C-3, or at both C-3 and C-4, respectively, are the most active and selective of the three stereoisomers 4, 20 and 22. This suggests that the S configuration at C-3 could play an important role for the selectivity.
As for compounds 13–15, and their xylonolactone-derived stereoisomers 8 and 9, they all possess an additional bromine at C-2 with respect to the compounds 4, 20 and 22. They all display a high activity, not too far from that exhibited by their debrominated analogues, mostly towards the A375 and WM266 cells (Figure 8). Compound 13 is in general slightly less active than the other lactones belonging to this group but displays a selectivity like that shown by the other two ribonolactone-derived isomers 14 and 15. It is to be also noted that once again, the ribonolactone-derived substances are the least active against the healthy cells (13–15 vs. 8 and 9), thus paralleling the behavior of the C-2 debrominated substances.
It is also interesting to compare the cytotoxicity of compounds 13 and 16, which only differ in the substituent at the C-5: a bromine in 13 and an OAc group in 16. Compound 16 is more active than 13 on all the cell lines at the 10 μM concentration but is much less selective. This suggests that the presence of a bromine at C-5 might play an important role in the increase in the selectivity. Indeed, 16 is the least selective compound in the ribose series at a 10 μM concentration. Interestingly, it is still very active and selective towards WM266 cells at a 1 μM concentration (Figure 8, WM266: 60% killing effect; HDF: 20% killing effect). This evidence and its potential easy preparation in high amounts make it a preferential target for future studies.
Finally, the unsaturated lactones 17 and 18 are both very active and selective towards all the cell lines, although they are functionalized in a different way with respect to all the other lactones, possessing a C2/C3 double bond and no acetate group at C-3. In this case, the different substitution at C-5 (17: OAc; 18: Br) seems not to affect their biological behavior.
All the above observations deserve further in-depth studies. In this study, we have selected compounds 18 and 20, two of the most promising substances, for further studies on the WM266 cells. The dose–response curves for these compounds and their IC50 values are shown in Figure 9 and Table 3, respectively. The IC50 values stand at around 1–2 μM for both compounds on the WM266 cells, while they are about thirty times higher for the HDF cells.
Figure 9.
The dose–response curves obtained by treating the WM266 and HDF cells with 18 and 20 at the indicated concentrations. The results are presented as the percentage of proliferating cells compared to the control and are expressed as means ± SD of at least three independent experiments.
Table 3.
The IC50 values (±SD) obtained after 48 h incubation with 18 and 20 on the WM266 and HDF cell lines.
Since metastasis formation involves cell migration, an in vitro scratch assay was performed on WM266 cells to investigate whether 18 and 20 could interfere with this mechanism. After 24 h of seeding, the cell monolayers were scratched linearly and incubated with 18 and 20 at a concentration corresponding to half of their IC50 values. This choice was dictated by the need to avoid a high mortality of the cells assayed at 48 h, the end point of this assay. The concentrations chosen were 0.85 µM and 0.6 µM, for 18 and 20, respectively. The results obtained show that in the presence of both 18 and 20 the wound healing was delayed compared to the control (Figure 10). Remarkably, this assay demonstrated that 20 is the most effective substance on the inhibition of WM266 migration.
Figure 10.
Wound healing assay. (A) Representative images of the experiment: after the scratch on the cell monolayer, the wound closure was determined at 0, 24 and 48 h after the treatment. At these intervals, the cells were photographed using phase-contrast microscopy. (B) The graphic represents the wound width for each treatment, expressed as the mean ± SD of the percentage of the wound width at 24 or 48 h with respect to t = 0. The means resulted from at least three independent experiments performed in triplicate. * p < 0.05; ** p < 0.01; *** p < 0.001. Blue: treatment at 24 h; Grey: treatment at 48 h.
Finally, our attention was focused on the improvement of the synthesis of 18, which had previously been prepared only in a racemic form and in an 8.5% yield []. It was reported that various 2-substituted γ-lactones possessing a leaving group at C-3 undergo a facile elimination under weakly basic conditions to give the corresponding 2-substituted α,β-unsaturated lactones []. Therefore, the xylose-derived lactone 8 (Scheme 2), which can be easily synthesized from D-xylonolactone in high amounts, was chosen as a suitable starting material from which compound 18 could be obtained through the C2/C3 elimination of AcOH (Scheme 8). However, in our hands the use of various basic conditions (Et3N in EtOAc or EtOAc/H2O, 95:5; NaHCO3 in MeOH or MeOH/H2O, 95:5) did not lead to the desired compound 18.
Scheme 8.
Synthesis of 18.
The attention was then addressed to the use of NaHSO3. This decision was based on the previous observation that a brominated 1,4-lactone possessing trans diaxially oriented C-2 hydrogen and C-3 acetoxy groups, strictly similar to 8, transformed quantitatively into the corresponding butanolide via a NaHSO3-induced (NaHSO3 in MeOH) trans elimination of AcOH []. This observation also suggested that the butanolide product could be stable to the action of NaHSO3. However, it should be noted that the experimental conditions under which this transformation was performed are not reported in the literature []. Thus, treatment of 8 with an equimolar amount of NaHSO3 in MeOH for 2 h gave 18 in a 30% yield (Table 4, entry 1). Prolonged reaction times (22 h) only resulted in a decreased yield of 18 (25%, Table 4, entry 2). The reaction in the presence of excess NaHSO3 (10 eq.) in MeOH raised the yield of 18 to 45% (Table 4, entry 3). The addition of water to the mixture (MeOH/H2O, 95:5) allowed a reduction in the required amount of NaHSO3 to 1.2 eq., giving 18 with the same 45% yield, in a reduced reaction time (1.5 h) (Table 4, entry 4).
Table 4.
Synthesis of 18.
3. Materials and Methods
3.1. General Experimental Procedures
All reagents were purchased (Aldrich, St. Louis, MO, USA) at the highest commercial quality and used without further purification. The reactions were monitored using thin layer chromatography (TLC) carried out on precoated silica gel plates (Merck 60, F254, 0.25 mm thick, Rahway, NJ, USA) using a KMnO4 solution as the stain. Merck silica gel (Kieselgel 40, particle size 0.063–0.200 mm) was used for the column chromatography. All the HPLC separations and purifications were performed on Phenomenex Luna columns (25 cm × 10 mm or 25 cm × 4.6 mm, 5 µm), using n-hexane/EtOAc mixtures as eluent, at flow rates of 2.5 or 1 mL/min., respectively. Na2SO4 was used as a drying agent for aqueous work-up. Nuclear magnetic resonance (NMR) experiments were acquired on Bruker Avance Neo 600 and 700 MHz spectrometers (Bruker-Biospin, Billerica, MA, USA) or Varian Unity Inova 500 MHz spectrometer (Palo Alto, CA, USA) in CDCl3. The NMR spectra were processed using the MestReNova (version 14.3.0, Mestrelab Research, Santiago de Compostela, Spain) suite. Proton chemical shifts were referenced to the residual CHCl3 signal (7.26 ppm). 13C-NMR chemical shifts were referenced to the solvent (CDCl3, 77.0 ppm). Coupling constants (J) are given in Hertz. Abbreviations for signals multiplicities are as follows: s = singlet, d = doublet, t = triplet, q = quartet, m = multiplet, b = broad. IR spectra were recorded on a FT-Ir Nicolet 5700 instrument. Abbreviations: br = broad; s = strong. The optical rotations were measured using a JASCO P-2000 polarimeter at the sodium D line. The high-resolution mass spectra were recorded by infusion on a Thermo Linear Trap Quadrupole (LTQ) Orbitrap XL mass spectrometer equipped with an electrospray source in the positive mode using MeOH as the solvent.
3.2. Bromolactones 4–9
3.2.1. Synthesis of Lactone 5
The following is a slightly modified procedure with respect to that reported in the literature [].
D-xylose (1.0 g, 6.66 mmol) was dissolved in water (2.7 mL) and the solution was cooled to 5 °C (ice-bath). Then, K2CO3 (1.13 g, 8.18 mmol) was added in portions under stirring, maintaining the temperature below 20 °C. To the clear solution, bromine was dropwise added (1.23 g, 400 μL); during the addition, the temperature was maintained in the range 5–10 °C. The cloudy, yellow-orange mixture was stirred for 30 min at this temperature and then overnight at room temperature. The process was quenched by addition of formic acid (65 μL) and the mixture was stirred for 20 min. Acetic acid (20 mL) was added and the aqueous suspension was taken to dryness under an air stream at 45–50 °C, furnishing a syrupy product. 1H-NMR analysis confirmed the formation of the D-xylono-1,4-lactone [].
Acetic acid (3 mL) was added to the crude D-xylono-1,4-lactone obtained as above, followed by 33% HBr/AcOH (5.2 mL), and the mixture was stirred at 45 °C for 1 h and then at room temperature for 2 h. The TLC analysis (hexane-EtOAc, 1:1) showed the formation of mainly two products at RF = 0.5 (major product) and RF = 0.6 (minor product) attributable to the alcohol 5 and the corresponding acetate 8, respectively.
MeOH (8.5 mL) was added in portions to the above mixture at 0 °C over a period of 30 min. After stirring for two days at room temperature, TLC analysis showed the complete conversion of the acetate 8 into the corresponding alcohol 5. The mixture was filtered through a Büchner funnel to remove KBr, giving a clear solution. The MeOH was evaporated under reduced pressure and the mixture was co-evaporated twice with water (2 × 3 mL). The resulting solid was partitioned between water and EtOAc and the aqueous phase was extracted twice with EtOAc. The combined organic phases were dried, filtered, and taken to dryness. Residual acetic acid was azeotropically removed with n-heptane (2 × 5 mL) furnishing a brown oil (1.16 g). Column chromatography on silica gel, eluting with n-hexane-EtOAc (2:8), gave alcohol 5 (564 mg) contaminated by a small amount (by 1H-NMR) of 7 (5: 31%; 7: 3%). Pure compounds 5 and 7, suitable for biological assays, were obtained by HPLC (analytical silica column, mobile phase: n-hexane-EtOAc, 65:35).
5 (3S,4S,5S)-3-bromo-5-(bromomethyl)-4-hydroxydihydrofuran-2(3H)-one: [α]D20 = –19.7 (c = 1.59, CHCl3). IR (neat) νmax 3420 (br), 1770 cm−1. 1H-NMR [,] (500 MHz, CDCl3): δ 4.80 (1H, d, J = 4.4, H-2), 4.69 (1H, m, H-4), 4.63 (1H, bdd, J = 3.5, 3.5, H-3), 3.73 (1H, A part of an AB system further coupled, J = 10.1, 8.7, Ha-5), 3.67 (1H, B part of an AB system further coupled, J = 10.1, 5.8, Hb-5), 2.60 (1H, br, OH). 13C-NMR: (125 MHz, CDCl3): [] δ 169.4, 80.3, 68.8, 48.2, 25.9. HRESIMS (High resolution electrospray ionization mass spectrometry) m/z: calcd for C5H679Br2NaO3 294.8581 [M + Na]+, found: 294.8566 [M + Na]+, 296.8547 [M + Na + 2]+, 298.8523 [M + Na + 4]+.
7 (3R,4S,5S)-3-bromo-5-(bromomethyl)-4-hydroxydihydrofuran-2(3H)-one: [α]D20 = −7.80 (c = 1.73, CHCl3). IR (neat) νmax 3420 (br), 1770 (s) cm−1. 1H-NMR (500 MHz, CDCl3): δ: 4.99 (1H, dt, J = 7.5, 7.5, 3.4, H-4), 4.66 (1H, d, J = 3.4, H-3), 4.24 (1H, s, H-2), 3.67 (2H, d, J = 3.4, H2-5), 3.4–2.7 (1H, br, OH). 13C-NMR: (125 MHz, CDCl3): δ 171.2, 80.6, 73.9, 41.1, 25.5. HRESIMS m/z: calcd for C5H679Br2NaO3 294.8581 [M + Na]+, found: 294.8570 [M + Na]+, 296.8548 [M + Na + 2]+, 298.8530 [M + Na + 4]+.
3.2.2. Alcohol 6
Pd/C (10% w/w, 8.0 mg) and Et3N (30 μL) were added to compound 5 (53.0 mg, 0.193 mmol) in EtOAc (1.5 mL), and the mixture was stirred under a hydrogen atmosphere. A vacuum-fill technique was employed using a hydrogen balloon and a three-way vacuum adapter. After 1 h, the reaction mixture was filtered over celite, and the filtrate was taken to dryness under reduced pressure to give a mixture of the starting product 5 and the corresponding C-2 debrominated lactone 6 (39.4 mg). Column chromatography on silica gel (eluent EtOAc) gave unreacted 5 (16.2 mg) and the desired compound 6 (23.4 mg, 62%), as a collarless oil. Further HPLC purification on an analytical silica column (eluent: n-hexane-EtOAc, 3:7) afforded a sample of 6 suitable for biological assays.
6 (4R,5S)-5-(bromomethyl)-4-hydroxydihydrofuran-2(3H)-one: [α]D20 = −23.9 (c = 0.27, CHCl3). IR (neat) νmax 3430 (br), 1770 (s) cm−1. 1H-NMR (500 MHz, CDCl3): δ 4.73 (1H, bdd, J = 5.6, 3.8, H-3), 4.61 (1H, m, H-4), 3.69–3.62 (2H, m, H2-5), 2.84 (1H, dd, J = 17.9, 5.6, Ha-2) 2.65 (1H, d, J = 17.9, Hb-2), 2.4–2.0 (1H, broad, OH). 13C-NMR: (125 MHz, CDCl3): δ 174.7, 82.1, 67.7, 38.6, 26.4. HRESIMS m/z: calcd for C5H779BrNaO3 216.9476 [M + Na]+, found: 216.9461 [M + Na]+, 218.9449 [M + Na + 2]+.
3.2.3. Acetate 4
A 65% HClO4 solution (two drops) was added to alcohol 6 (11.8 mg, 0.0605 mmol) in acetic anhydride (1 mL). After 30 min, TLC analysis (n-hexane-EtOAc, 2:8) showed the complete conversion of 6 (RF = 0.5) into a less polar product (RF = 0.7). Ice was added and the mixture was extracted with CH2Cl2 (3 × 3 mL). The organic phase was washed with water, dried and taken to dryness. Filtration through a short pad of silica gel gave crude 4 (14.5 mg) as an oil. Further purification by HPLC on an analytical silica column (n-hexane-EtOAc, 65:35) gave pure acetate 4 (12.7 mg, 89%) as a white solid which crystallized on standing.
4 (2S,3R)-2-(bromomethyl)-5-oxotetrahydrofuran-3-yl acetate: [α]D20 = −47.8 (c = 0.21, CHCl3). IR (neat) νmax 1796 (s), 1736 (s), 1237 (s) cm−1. 1H-NMR (500 MHz, CDCl3): δ 5.58 (1H, ddd, J = 5.8, 4.4, 1.1, H-3), 4.76 (1H, ddd, J = 8.3, 5.9, 4.3, H-4), 3.59 (2H, AB system further coupled, A part: J = 10.3, 5.9; B part: J = 10.3, 8.3), 2.93 (1H, dd, J = 18.3, 6.0, Ha-2), 2.67 (1H, dd, J = 18.3, 1.1, Hb-2), 2.13 (3H, s, acetate). 13C-NMR: (175 MHz, CDCl3): δ 173.0, 169.6, 80.3, 69.3, 36.8, 25.7, 20.7. HRESIMS m/z: calcd for C7H979BrNaO4 258.9582 [M + Na]+, found: 258.9560 [M + Na]+, 260.9539 [M + Na + 2]+.
3.2.4. Lactone 7
Et3N (four drops) was added to a stirred solution of 5 (5.5 mg, 0.0201 mmol) in EtOAc (1 mL). After 1h, the reaction mixture was taken to dryness and the residue was filtered on a short pad of silica gel eluting with EtOAc to give 5.3 mg of an oil. TLC analysis showed that it was essentially composed by two products at RF = 0.6 and RF = 0.65. HPLC separation on an analytical silica column (n-hexane/EtOAc, 8:2) furnished the starting products 5 (2.5 mg) and its C-2 epimeric alcohol 7 (2.5 mg).
3.2.5. Acetate 8
A 65% HClO4 solution (two drops) was added to alcohol 5 (22.8 mg, 0.0832 mmol) in acetic anhydride (0.5 mL). After 1 h, TLC analysis (n-hexane-EtOAc, 1:1) showed the almost complete conversion of 5 (RF = 0.4) into a less polar product (RF = 0.6). Usual work-up gave a white solid (22.3 mg). Further separation by analytical HPLC (n-hexane-EtOAc, 8:2) gave the starting product 5 (3.0 mg) and acetate 8 (15.1 mg, 68% borsm), as a crystalline solid.
8 (2S,3S,4S)-4-bromo-2-(bromomethyl)-5-oxotetrahydrofuran-3-yl acetate: [α]D20 = −61.9 (c = 0.78, CHCl3). IR (neat) νmax 1786 (s), 1758 (s), 1197 cm−1. 1H-NMR (500 MHz, CDCl3): δ 5.90 (1H, dd, J = 5.4, 4.4, H-3), 4.83 (1H, m, H-4), 4.79 (1H, d, J = 5.5, H-2), 3.63 (1H, A part of an AB system further coupled, J = 10.2, 6.2, Ha-5), 3.67 (1H, B part of an AB system further coupled, J = 10.2, 8.8, Hb-5), 2.20 (3H, s, acetate). 13C-NMR: (125 MHz, CDCl3): δ 168.9, 168.7, 78.8, 69.0, 42.8, 25.4, 20.3. HRESIMS m/z: calcd for C7H879Br2NaO4 336.8687 [M + Na]+, found: 336.8685 [M + Na]+, 338.8662 [M + Na + 2]+, 340.8643 [M + Na + 4]+.
3.2.6. Acetate 9
Alcohol 7 (20.0 mg, 0.0730 mmol) was acetylated under the same conditions used for 6. After 1 h, TLC analysis (n-hexane-EtOAc, 6:4) showed the complete conversion of 7 (RF = 0.4) into a less polar product (RF = 0.5). Usual work-up followed by filtration through a short pad of silica gel gave crude 9 (24.1 mg). Further purification by analytical HPLC (n-hexane-EtOAc, 8:2) afforded acetate 9 [] (15.1 mg, 66%) as an oil.
9 (2S,3S,4R)-4-bromo-2-(bromomethyl)-5-oxotetrahydrofuran-3-yl acetate: [α]D20 = +9.1 (c = 0.71, CHCl3). IR (neat) νmax 1780 (s), 1750 (s), 1226 (s), 1187 (s) cm−1. 1H-NMR (500 MHz, CDCl3): δ 5.47 (1H, d, J = 3.4, H-3), 5.11 (1H, m, H-4), 4.24 (1H, s, H-2), 3.64 (1H, A part of an AB system further coupled, J = 10.1, 5.7, Ha-5), 3.55 (1H, B part of an AB system further coupled, J = 10.1, 9.0, Hb-5), 2.16 (3H, s, acetate). 13C-NMR: (125 MHz, CDCl3): δ 169.5, 169.0, 78.6, 74.7, 38.3, 24.8, 20.4. HRESIMS m/z: calcd for C7H879Br2NaO4 336.8687 [M + Na]+, found: 336.8676 [M + Na]+, 338.8654 [M + Na + 2]+, 340.8634 [M + Na + 4]+.
3.3. Bromolactones 10–22
D-ribonolactone was synthesized starting from D-ribose according to a reported procedure [] and obtained in pure form by crystallization from EtOH. Its purity was confirmed by 1H and 13C-NMR spectra.
To D-ribonolactone (526 mg, 3.55 mmol), obtained as above, 33% HBr/AcOH (3.0 mL) was added, and the mixture stirred at r.t. for four days. Then, one third of the reaction mixture was partitioned between water and CHCl3 and the aqueous phase was extracted with CHCl3 (3 × 5 mL). The combined organic phases were dried, filtered and taken to dryness. Residual acetic acid was azeotropically removed with n-heptane (2 × 2 mL), to give an oil that was filtered through a short pad of silica gel eluting with EtOAc and then EtOAc/MeOH in (95:5). The combined eluates were taken to dryness furnishing an oily product (167.2 mg). Separation by HPLC on a silica column (250 × 10 mm), using n-hexane-EtOAc (7:3) as the mobile phase gave compounds 13 (22.3 mg, 6%), 14 (11.2 mg, 3%), 15 (11.1 mg, 3%), 16 (41.7 mg, 12%), 17 (24.9 mg, 9%), and 18 (25.0 mg, 9%).
MeOH (5 mL) was added in portions to the remaining original reaction mixture in a water bath. After 16 h, the reaction mixture was taken to dryness under an air stream at 50 °C. The resulting oily semi-solid product was partitioned between water and CHCl3 and the aqueous phase was extracted with CHCl3 (3 × 5 mL). The combined organic phases were dried, filtered and taken to dryness. The residual acetic acid was azeotropically removed with n-heptane (2 × 3 mL). Separation of the crude by HPLC on a silica column (250 × 10 mm), using n-hexane-EtOAc (6:4) as the mobile phase, gave the slightly impure alcohol 10 (91.0 mg) and pure 11 (9.4 mg, 4%) and 12 (27.0 mg, 12%). The further purification of 10 by HPLC on an analytical silica column, using n-hexane-EtOAc (75:25) as the mobile phase, furnished pure 10 (82 mg, 34%).
10 (3S,4R,5S)-3-bromo-5-(bromomethyl)-4-hydroxydihydrofuran-2(3H)-one: [α]D20 = +14.5 (c = 1.21, CHCl3). IR (neat) νmax 3445 (br), 1785 (s) cm−1. 1H-NMR (500 MHz, CDCl3): δ 4.63 (1H, dd, J = 6.7, 5.8, H-3), 4.54 (1H, ddd, J = 5.8, 5.8, 4.8, H-4), 4.52 (1H, d, J = 6.7, H-2), 3.72 (1H, A part of an AB system further coupled, J = 11.4, 5.7, Ha-5), 3.67 (1H, B part of an AB system further coupled, J = 11.4, 4.8, Hb-5). 13C-NMR: (150 MHz, CDCl3): δ 169.4, 82.3, 78.0, 44.3, 29.9. HRESIMS m/z: calcd for C5H679Br2NaO3 294.8581 [M + Na]+, found: 294.8590 [M + Na]+, 296.8571 [M + Na + 2]+, 298.8549 [M + Na + 4]+.
11 (3R,4R,5S)-3-bromo-5-(bromomethyl)-4-hydroxydihydrofuran-2(3H)-one: [α]D20 = +16.2 (c = 0.23, CHCl3). IR (neat) νmax 3450 (br), 1784 (s) cm−1. 1H-NMR (700 MHz, CDCl3): δ 4.71 (1H, d, J = 6.0, H-2), 4.59 (1H, ddd, J = 5.4, 4.1, 4.1, H-4), 4.36 (1H, ddd, J = 6.8, 5.7, 5.7, H-3), 3.76 (1H, A part of an AB system further coupled, J = 11.9, 4.2, Ha-5), 3.67 (1H, B part of an AB system further coupled, J = 11.9, 3.9, Hb-5), 2.51 (1H, d, J = 6.8, OH). 13C-NMR: (175 MHz, CDCl3): δ 169.0, 81.7, 70.2, 45.9, 29.9. HRESIMS m/z: calcd for C5H679Br2NaO3 294.8581 [M + Na]+, found: 294.8579 [M + Na]+, 296.8561 [M + Na + 2]+, 298.8542 [M + Na + 4]+.
12 (3S,4R,5R)-3-bromo-5-(bromomethyl)-4-hydroxydihydrofuran-2(3H)-one: [α]D20 = +3.2 (c = 0.27, CHCl3). IR (neat) νmax 3432 (br), 1778 (s) cm−1. 1H-NMR (500 MHz, CDCl3): δ 4.99 (1H, dt, J = 7.2, 7.2, 3.4, H-4), 4.66 (1H, dd, J = 3.4, 1.1, H-3), 4.25 (1H, bd, J = 1.1, H-2), 3.68 (2H, d, J = 7.2, H2-5). 13C-NMR: (125 MHz, CDCl3): δ 171.4, 80.7, 73.9, 41.1, 25.5. HRESIMS m/z: calcd for C5H679Br2NaO3 294.8581 [M + Na]+, found: 294.8563 [M + Na]+, 296.8543 [M + Na + 2]+, 298.8526 [M + Na + 4]+.
13 (2S,3R,4S)-4-bromo-2-(bromomethyl)-5-oxotetrahydrofuran-3-yl acetate: IR (neat) νmax 1796 (s), 1748 (s), 1217 cm−1. 1H-NMR (700 MHz, CDCl3): δ 5.49 (1H, dd, J = 3.2, 3.2, H-3), 4.68 (1H, ddd, J = 6.2, 6.2, 3.1, H-4), 4.43 (1H, d, J = 3.4, H-2), 3.74 (2H, AB system further coupled; A part: J = 11.5, 5.5; B part: J = 11.5, 4.7, H2-5), 2.17 (3H, s, acetate). 13C-NMR: (175 MHz, CDCl3): δ 169.5, 169.2, 82.4, 77.8, 38.5, 30.0, 20.6. HRESIMS m/z: calcd for C7H879Br2NaO4 336.8687 [M + Na]+, found: 336.8690 [M + Na]+, 338.8670 [M + Na + 2]+, 340.8649 [M + Na + 4]+.
14 (2S,3R,4R)-4-bromo-2-(bromomethyl)-5-oxotetrahydrofuran-3-yl acetate: [α]D20 = +30.1 (c = 0.073, CHCl3). IR (neat) νmax 1797 (s), 1748 (s), 1237 (s) cm−1. 1H-NMR (700 MHz, CDCl3): δ 5.16 (1H, dd, J = 6.2, 6.2, H-3), 4.84 (1H, d, J = 6.5, H-2), 4.75 (1H, ddd, J = 5.7, 3.8, 3.8, H-4), 3.75 (1H, A part of an AB system further coupled, J = 12.0, 3.9, Ha-5), 3.65 (1H, B part of an AB system further coupled, J = 12.0, 3.6, Hb-5), 2.20 (3H, s, acetate). 13C-NMR: (175 MHz, CDCl3): δ 169.3, 168.7, 79.0, 70.9, 40.8, 30.0, 20.4. HRESIMS m/z: calcd for C7H879Br2NaO4 336.8687 [M + Na]+, found: 336.8692 [M + Na]+, 338.8671 [M + Na + 2]+, 340.8653 [M + Na + 4]+.
15 (2R,3R,4S)-4-bromo-2-(bromomethyl)-5-oxotetrahydrofuran-3-yl acetate: [α]D20 = −22.4 (c = 0.23, CHCl3). IR (neat) νmax 1796 (s), 1753 (s), 1212 (s) cm−1. 1H-NMR (500 MHz, CDCl3): δ 5.48 (1H, d, J = 3.5, H-3), 5.11 (1H, ddd, J = 9.0, 5.7, 3.5, H-4), 4.24 (1H, s, H-2), 3.64 (1H, A part of an AB system further coupled, J = 10.2, 5.6, Ha-5), 3.55 (1H, B part of an AB system further coupled, J = 10.2, 9.0, Hb-5), 2.17 (3H, s, acetate). 13C-NMR: (125 MHz, CDCl3): δ 169.5, 169.0, 78.6, 74.7, 38.3, 24.8, 20.4. HRESIMS m/z: calcd for C7H879Br2NaO4 336.8687 [M + Na]+, found: 336.8671 [M + Na]+, 338.8652 [M + Na + 2]+, 340.8631 [M + Na + 4]+.
16 ((2R,3R,4S)-3-acetoxy-4-bromo-5-oxotetrahydrofuran-2-yl)methyl acetate: [α]D20 = −4.9 (c = 0.72, CHCl3). IR (neat) νmax 1803 (s), 1741 (s), 1220 (s) cm−1. 1H-NMR (500 MHz, CDCl3): δ 5.39 (1H, dd, J = 3.2, 3.2, H-3), 4.64 (1H, m, H-4), 4.47 (1H, d, J = 3.5, H-2), 4.41 (2H, AB system further coupled; A part: J = 12.4, 3.9; B part: J = 12.4, 5.1, H2-5), 2.14 (3H, s, acetate), 2.12 (3H, s, acetate). 13C-NMR: (125 MHz, CDCl3): δ 170.2, 169.6, 169.5, 81.5, 76.9, 62.5, 38.7, 20.7, 20.5. HRESIMS m/z: calcd for C9H1179BrNaO6 316.9637 [M + Na]+, found: 316.9643 [M + Na]+, 318.9621 [M + Na + 2]+.
17 (S)-(4-bromo-5-oxo-2,5-dihydrofuran-2-yl)methyl acetate: [α]D20 = −65.9 (c = 0.42, CHCl3). IR (neat) νmax 1776 (s), 1744 (s), 1227 (s) cm−1. 1H-NMR (500 MHz, CDCl3): δ 7.48 (1H, d, J = 1.9, H-3), 5.16 (1H, ddd, J = 4.7, 4.2, 1.9, H-4), 4.35 (2H, AB system further coupled: A part J = 12.2, 4.2; B part J = 12.2, 4.7, H2-5), 2.08 (3H, s, acetate). 13C-NMR: (125 MHz, CDCl3): δ 170.4, 167.5, 148.6, 115.0, 80.1, 62.1, 20.5. HRESIMS m/z: calcd for C7H779BrNaO4 256.9425 [M + Na]+, found: 256.9428 [M + Na]+, 258.9410 [M + Na + 2]+.
18 (S)-3-bromo-5-(bromomethyl)furan-2(5H)-one: [α]D20 = −39.3 (c = 0.17, CHCl3). IR (neat) νmax 1780 (s), 1609, 1151, 1033, 988 cm−1. 1H-NMR [] (500 MHz, CDCl3): δ 7.59 (1H, d, J = 1.8, H-3), 5.20 (1H, ddd, J = 7.0, 4.5, 1.8, H-4), 3.67 (1H, A part of an AB system further coupled, J = 10.8, 4.5, Ha-5), 3.49 (1H, B part of an AB system further coupled, J = 10.8, 7.0, Hb-5). 13C-NMR: (125 MHz, CDCl3): δ 167.2, 150.1, 115.6, 80.0, 29.6. HRESIMS m/z: calcd for C5H479Br2NaO2 276.8476 [M + Na]+, found: 276.8471 [M + Na]+, 278.8452 [M + Na + 2]+, 280.8430 [M + Na + 4]+.
3.3.1. Alcohol 19
Pd/C (10% w/w, 4.5 mg) and Et3N (15 μL) were added to the alcohol 10 (22.5 mg, 0.0822 mmol) in EtOAc (3 mL), and the mixture was stirred under a hydrogen atmosphere. The same equipment used for the hydrogenation of 5 was used. After 1 h, the reaction mixture was worked-up as for 5. Further filtration on a short pad of silica gel, eluting with EtOAc, gave crude 19. HPLC purification on an analytical silica column (n-hexane-EtOAc, 3:7) afforded the pure alcohol 19 (12.8 mg, 76%) as an oil.
19 (4S,5S)-5-(bromomethyl)-4-hydroxydihydrofuran-2(3H)-one: [α]D20 = −16.4 (c = 0.23, CHCl3). IR (neat) νmax 3421 (br), 1776 (s), 1172 (s) cm−1. 1H-NMR (500 MHz, CDCl3): δ 4.61, 4.56 (1H each. m’s, H-3 and H-4), 3.61 (1H, A part of an AB system further coupled, J = 11.3, 3.9, Ha-5), 3.53 (1H, B part of an AB system further coupled, J = 11.3, 5.9, Hb-5), 2.99 (1H, dd, J = 18.3, 7.4, Ha-2), 2.58 (1H, dd, J = 18.3, 3.7, Hb-2). 13C-NMR: (150 MHz, CDCl3): δ 174.0, 84.8, 70.6, 37.8, 31.2. HRESIMS m/z: calcd for C5H779BrNaO3 216.9476 [M + Na]+, found: 216.9485 [M + Na]+, 218.9463 [M + Na + 2]+.
3.3.2. Acetate 20
A 65% HClO4 solution (two drops) was added to the alcohol 19 (7.0, 0.0359 mmol) in acetic anhydride (0.5 mL). After 1 h, the mixture was worked-up as usual. Purification by HPLC on an analytical silica column (n-hexane-EtOAc, 3:7) gave pure acetate 20 (6.4 mg, 75%), as a clear oil.
20 (2S,3S)-2-(bromomethyl)-5-oxotetrahydrofuran-3-yl acetate: [α]D20 = −19.5 (c = 0.43, CHCl3). IR (neat) νmax 1790 (s), 1741 (s), 1236 (s), 1162, 1041 cm−1. 1H-NMR (600 MHz, CDCl3): δ 5.25 (1H, d, J = 8.0, H-3), 4.73 (1H, bs, H-4), 3.74 (1H, A part of an AB system further coupled, J = 11.5, Ha-5), 3.65 (1H, B part of an AB system further coupled, J = 11.5, 3.8, Hb-5), 3.13 (1H, dd, J = 19.0, 8.0, Ha-2), 2.62 (1H, d, J = 19.0, Hb-2), 2.11 (3H, s, acetate). 13C-NMR: (150 MHz, CDCl3): δ 173.4, 170.4, 82.6, 72.6, 35.0, 32.2, 20.7. HRESIMS m/z: calcd for C7H979BrNaO4 258.9582 [M + Na]+, found: 258.9583 [M + Na]+, 260.9564 [M + Na + 2]+.
3.3.3. Alcohol 21
Pd/C (10% w/w, 3.0 mg) and Et3N (10 μL) were added to the alcohol 12 (11.9 mg, 0.0434 mmol) in EtOAc (6 mL) and the mixture was stirred under a hydrogen atmosphere. The same equipment employed for the hydrogenation of 5 was used. After 2.5 h, the reaction mixture was worked-up as usual. Further filtration through a short pad of silica gel eluting with EtOAc gave crude 21. HPLC purification on an analytical silica column (n-hexane-EtOAc, 2:8) afforded pure 21 (3.4 mg, 25%) as an oil.
21 (4S,5R)-5-(bromomethyl)-4-hydroxydihydrofuran-2(3H)-one: IR (neat) νmax 3419 (br), 1768 (s) cm−1. 1H-NMR (700 MHz, CDCl3): δ 4.73 (1H, bdd, J = 5.6, 3.8, H-3), 4.61 (1H, m, H-4), 3.69–3.62 (2H, m, H2-5), 2.84 (1H, dd, J = 17.9, 5.6, Ha-2) 2.65 (1H, d, J = 17.9, Hb-2), 2.4–2.0 (1H. broad, OH). 13C-NMR: (175 MHz, CDCl3): δ 174.3, 81.8, 67.7, 38.5, 26.3. HRESIMS m/z: calcd for C5H779BrNaO3 216.9476 [M + Na]+, found: 216.9472 [M + Na]+, 218.9451 [M + Na + 2]+.
3.3.4. Acetate 22
A 65% HClO4 solution (two drops) was added to alcohol 21 (2.6 mg, 0.0133 mmol) in acetic anhydride (0.5 mL). After 30 min, the mixture was worked-up as usual. Filtration through a short pad of silica gel gave crude 22 as an oil. Further purification by HPLC on an analytical silica column (n-hexane-EtOAc, 4:6) gave pure acetate 22 (1.1 mg, 35%), as an oil.
22 (2R,3S)-2-(bromomethyl)-5-oxotetrahydrofuran-3-yl acetate: IR (neat) νmax 1795 (s), 1735 (s), 1237(s) cm−1. 1H-NMR (700 MHz, CDCl3): δ 5.58 (1H, ddd, J = 5.8, 4.4, 1.1, H-3), 4.76 (1H, ddd, J = 8.3, 5.9, 4.3, H-4), 3.59 (2H, AB system further coupled, A part: J = 10.3, 5.9; B part: J = 10.3, 8.3), 2.93 (1H, dd, J = 18.3, 6.0, Ha-2), 2.67 (1H, dd, J = 18.3, 1.1, Hb-2), 2.13 (3H, s, acetate). 13C-NMR: (175 MHz, CDCl3): δ 173.0, 169.6, 80.3, 69.4, 36.8, 25.7, 20.7. HRESIMS m/z: calcd for C7H979BrNaO4 258.9582 [M + Na]+, found: 258.9569 [M + Na]+, 260.9550 [M + Na + 2]+.
3.4. Synthesis of 18 with NaHSO3 (1.1 eq. or 1.5 eq.) in MeOH
NaHSO3 (3.9 mg, 0.0343 mmol, 1.1 eq.) was added to 8 (10.0 mg, 0.0317 mmol) in MeOH (1 mL) and the mixture was stirred at r.t. After 2 h, TLC analysis (n-hexane-EtOAc, 6:8) showed the complete conversion of 8 (RF = 0.5) into 18 (RF = 0.4). The reaction mixture was taken to dryness under an air stream and the residue was partitioned between water and CH2Cl2 (3 × 2 mL). The organic phase was dried, filtered and taken to dryness. Purification by HPLC on an analytical silica column (n-hexane-EtOAc, 75:25) gave pure 18 (2.5 mg, 30%) as an oil.
When the process was carried out under the same conditions (8: 9.8 mg, MeOH: 1 mL, NaHSO3 1.5 eq.) for 22 h, compound 18 was obtained in a 25% yield.
3.5. Synthesis of 18 with NaHSO3 (10 eq.) in MeOH
NaHSO3 (83.8 mg, 0.805 mmol, 10 eq.) was added to 8 (25.3 mg, 0.0801 mmol) in MeOH (16 mL) and the mixture was stirred at r.t. After 3 h, the reaction mixture was worked up as above. Purification by HPLC (conditions as above) afforded 18 (9.9 mg, 45%).
3.6. Synthesis of 18 with NaHSO3 (1.2 eq.) in MeOH/H2O
NaHSO3 (10.6 mg, 0.102 mmol, 1.2 eq.) was added to 8 (26.9 mg, 0.0852 mmol) in MeOH/H2O (95:5, 4 mL) and the mixture was stirred at r.t. After 1.5 h, the reaction mixture was worked up as above. Purification by HPLC (conditions as above) afforded 18 (9.5 mg, 45%).
3.6.1. Culture Conditions
Human cervix adenocarcinoma cell line (HeLa), malignant melanoma cell line (A375) and normal human fibroblasts (HDF) were grown in DMEM supplemented with 10% fetal bovine serum (FBS), 1% glutamine, 100 U/mL penicillin and 100 µg/mL streptomycin (Euroclone, Milano, Italy). Metastatic melanoma cell lines (WM266) were grown in RPMI medium supplemented with heat inactivated 10% fetal bovine serum (FBS), 2.5 mM glutamine, 100 U/ mL penicillin and 100 μg/mL streptomycin [] (Euroclone). Cells were maintained in humidified air containing 5% CO2 at 37 °C.
3.6.2. Antiproliferative Activity
Cells were seeded at density of 2000 cells/well for WM266, 1200 cells/well for HeLa, 1000 cells/well for A375 and 2000 cells/well for HDF in 96-well microplates (Corning), with 100 µL of medium for well. After 24 h incubation, cells were treated with the substances at the indicated concentrations. The compounds were solubilized in DMSO at 50 mM concentration. Cell proliferation was revealed after 48 h treatment using the 3-(4,5-dimethylthiazol-2-yl)-2,5- diphenyltetrazolium bromide assay (MTT, Sigma Aldrich). Plates were then analyzed by using a microplate reader (Enspire, Perkin Elmer, Waltham, MA, USA) at 570 nm (MTT) []. The results are presented as the percentage of proliferating cells versus the control (DMSO treated cells) and are expressed as means ± SD of, at least, two independent experiments performed in triplicate. Statistical significance was determined by two-sided paired Student’s t-test. A p value less than 0.05 was considered significative. The IC50 values were calculated by GraphPad Prism software.
3.6.3. Wound Healing Assay
In vitro cell migration has been evaluated using the wound healing scratch assay. A total of 6 × 105 WM266 cells were plated and grown to the confluence. Successively, the cells were linearly scratched with a pipette tip to generate the wound. Once the detached cells were removed, the substance at indicated concentrations was added and the cells were incubated at 37 °C. After the scratch area was photographed at 0, 24 and 48 h using a phase optical microscope at 10× magnification (Zeiss), the distance between the edges of the incisions was measured []. Its mean value was determined as follows: wound closure (%) = (1 – wound width tx/wound width t0) × 100. Bars depict mean ± SE of three independent experiments.
4. Conclusions
In conclusion, taking mycalin A lactone as a model compound, we have synthesized several five-membered brominated lactones mimicking its lactone moiety. A SAR study revealed that the C-3 acetate compounds obtained from ribose, which possess an inverted configuration at C-3 with respect to mycalin A lactone at the corresponding stereocentre, are the most active and selective ones towards the tested tumor cells. Further studies performed on two of these substances, namely, compounds 18 and 20, showed that they possess both high activity and selectivity towards the tested tumor cell lines and that they have a promising ability to inhibit the migration of WM266 cells. New conditions in which to obtain 18 in higher yields from an easily accessible material were found. All the other lactone acetates synthesized showed a similar high activity and selectivity, which justifies further studies on this interesting class of substance. The evidence collected also suggests possible synthetic modifications of both mycalin A and mycalin A lactone to access more active and selective related substances.
Supplementary Materials
The following are available online at https://www.mdpi.com/article/10.3390/md21060349/s1. Figure S1: antiproliferative activity of all alcohols 5–7; 10–12; 19 and 21 on HeLa, A375, WM266 tumour cells. Figure S2: 1H NMR spectrum of compound 4 (CDCl3, 500 MHz), Figure S3: 13C NMR spectrum of compound 4 (CDCl3, 175 MHz), Figure S4: 1H NMR spectrum of compound 5 (CDCl3, 500 MHz), Figure S5: 13C NMR spectrum of compound 5 (CDCl3, 125 MHz), Figure S6: 1H NMR spectrum of compound 6 (CDCl3, 500 MHz), Figure S7: 13C NMR spectrum of compound 6 (CDCl3, 125 MHz), Figure S8: 1H NMR spectrum of compound 7 (CDCl3, 500 MHz), Figure S9: 13C NMR spectrum of compound 7 (CDCl3, 125 MHz), Figure S10: 1H NMR spectrum of compound 8 (CDCl3, 500 MHz), Figure S11: 13C NMR spectrum of compound 8 (CDCl3, 125 MHz), Figure S12: 1H NMR spectrum of compound 9 (CDCl3, 500 MHz), Figure S13: 13C NMR spectrum of compound 9 (CDCl3, 125 MHz), Figure S14: 1H NMR spectrum of compound 10 (CDCl3, 500 MHz), Figure S15: 13C NMR spectrum of compound 10 (CDCl3, 150 MHz), Figure S16: 1H NMR spectrum of compound 11 (CDCl3, 700 MHz), Figure S17: 13C NMR spectrum of compound 11 (CDCl3, 175 MHz), Figure S18: 1H NMR spectrum of compound 12 (CDCl3, 500 MHz), Figure S19: 13C NMR spectrum of compound 12 (CDCl3, 125 MHz), Figure S20: 1H NMR spectrum of compound 13 (CDCl3, 700 MHz), Figure S21: 13C NMR spectrum of compound 13 (CDCl3, 175 MHz), Figure S22: 1H NMR spectrum of compound 14 (CDCl3, 700 MHz), Figure S23: 13C NMR spectrum of compound 14 (CDCl3, 175 MHz), Figure S24: 1H NMR spectrum of compound 15 (CDCl3, 500 MHz), Figure S25: 13C NMR spectrum of compound 15 (CDCl3, 125 MHz), Figure S26: 1H NMR spectrum of compound 16 (CDCl3, 500 MHz), Figure S27: 13C NMR spectrum of compound 16 (CDCl3, 125 MHz), Figure S28: 1H NMR spectrum of compound 17 (CDCl3, 500 MHz), Figure S29: 13C NMR spectrum of compound 17 (CDCl3, 125 MHz), Figure S30: 1H NMR spectrum of compound 18 (CDCl3, 500 MHz), Figure S31: 13C NMR spectrum of compound 18 (CDCl3, 125 MHz), Figure S32: 1H NMR spectrum of compound 19 (CDCl3, 500 MHz), Figure S33: 13C NMR spectrum of compound 19 (CDCl3, 150 MHz), Figure S34: 1H NMR spectrum of compound 20 (CDCl3, 600 MHz), Figure S35: 13C NMR spectrum of compound 20 (CDCl3, 150 MHz), Figure S36: 1H NMR spectrum of compound 21 (CDCl3, 700 MHz), Figure S37: 13C NMR spectrum of compound 21 (CDCl3, 175 MHz), Figure S38: 1H NMR spectrum of compound 22 (CDCl3, 700 MHz), Figure S39: 13C NMR spectrum of compound 22 (CDCl3, 175 MHz).
Author Contributions
Conceptualization: V.P., P.M., D.C. and S.D.G.; Investigation: V.P., P.M., D.C., S.D.G., N.B., M.T., R.T. and C.L.; Data curation: S.D.G., N.B. and M.T.; Writing—original draft preparation: V.P., S.D.G. and D.C.; Writing—review and editing: V.P., N.B. and D.C.; Supervision: V.P.; Funding acquisition: V.P., D.C. and S.D.G.; Collection of the sponge Mycale rotalis, purification of mycalin A and synthesis of mycalin A lactone: R.T. and C.L. All authors have read and agreed to the published version of the manuscript.
Funding
This research was funded by the Department of Chemical Sciences, University of Naples Federico II and by MIUR, Programma Operativo Nazionale Ricerca e Competitività 2007–2013, PON 01/02388.
Institutional Review Board Statement
Not applicable.
Data Availability Statement
The data presented in this study are available upon request from the corresponding author.
Acknowledgments
The authors are grateful to Annalisa Tito (Arterra Biosciences, Naples, Italy) for providing the normal human dermal fibroblasts (HDF). We thank Roberto Centore of the Department of Chemical Sciences, University of Naples Federico II, for carrying out an X-ray diffraction experiment on compound 7. X-ray data will be reported elsewhere.
Conflicts of Interest
The authors declare no conflict of interest.
References
- Wanke, T.; Philippus, A.C.; Zatelli, G.A.; Vieira, L.F.O.; Lhullier, C.; Falkenberg, M. C15 acetogenins from the Laurencia complex: 50 years of research-An overview. Rev. Bras. Farmacogn. 2015, 25, 569–587. [Google Scholar] [CrossRef]
- Giordano, F.; Mayol, L.; Notaro, G.; Piccialli, V.; Sica, D. Structure and absolute configuration of two new polybrominated C15 acetogenins from the sponge Mycale rotalis. J. Chem. Soc. Chem. Commun. 1990, 1559–1561. [Google Scholar] [CrossRef]
- Notaro, G.; Piccialli, V.; Sica, D.; Mayol, L.; Giordano, F. A Further C15 nonterpenoid polybromoether from the encrusting sponge Mycale rotalis. J. Nat. Prod. 1992, 55, 626–632. [Google Scholar] [CrossRef]
- Caso, A.; Mangoni, A.; Piccialli, G.; Costantino, V.; Piccialli, V. Studies toward the synthesis of smenamide A, an antiproliferative metabolite from Smenospongia aurea: Total synthesis of ent-smenamide A and 16-epi-smenamide A. ACS Omega 2017, 2, 1477–1488. [Google Scholar] [CrossRef] [PubMed]
- Caso, A.; Laurenzana, I.; Lamorte, D.; Trino, S.; Esposito, G.; Piccialli, V.; Costantino, V. Smenamide A analogues. Synthesis and biological activity on multiple myeloma cells. Mar. Drugs 2018, 16, 206. [Google Scholar] [CrossRef]
- Piccialli, V.; Zaccaria, S.; Borbone, N.; Oliviero, G.; D’Errico, S.; Hemminki, A.; Cerullo, V.; Romano, V.; Tuzi, A.; Centore, R. Discovery of a novel one-step RuO4-catalysed tandem oxidative polycyclization/double spiroketalization process. Access to a new type of polyether bis-spiroketal compound displaying antitumour activity. Tetrahedron 2010, 66, 9370–9378. [Google Scholar] [CrossRef]
- Capasso, D.; Borbone, N.; Terracciano, M.; Di Gaetano, S.; Piccialli, V. Antiproliferative activity of mycalin A and its analogues on human skin melanoma and human cervical cancer cells. Mar. Drugs 2020, 18, 402. [Google Scholar] [CrossRef] [PubMed]
- Comegna, D.; Zannetti, A.; Del Gatto, A.; de Paola, I.; Russo, L.; Di Gaetano, S.; Liguoro, A.; Capasso, D.; Saviano, M.; Zaccaro, L. Chemical modification for proteolytic stabilization of the selective αvβ3 integrin RGDechi peptide: In vitro and in vivo activities on malignant melanoma cells. J. Med. Chem. 2017, 60, 9874–9884. [Google Scholar] [CrossRef]
- Di Gaetano, S.; Pirone, L.; Galdadas, I.; Traboni, S.; Iadonisi, A.; Pedone, E.; Saviano, M.; Gervasio, F.L.; Capasso, D. Design, synthesis, and anticancer activity of a selenium-containing galectin-3 and galectin-9N inhibitor. Int. J. Mol. Sci. 2022, 23, 2581. [Google Scholar] [CrossRef]
- Chaudhuri, N.C.; Moussa, A.; Stewart, A.; Wang, J.; Storer, R. Development of a novel synthetic process for 2-deoxy-3,5-di-O-p-toluoyl-α-L-ribofuranosyl chloride: A versatile intermediate in the synthesis of 2’-deoxy-L-ribonucleosides. Org. Process Res. Dev. 2015, 9, 457–465. [Google Scholar] [CrossRef]
- Bock, K.; Lundt, I.; Pedersen, C. The preparation of some bromodeoxy- and dibromodideoxy-pentonolactones. Carbohydr. Res. 1981, 90, 17–26. [Google Scholar] [CrossRef]
- Bols, M.; Lundt, I. α-amino-polyhydroxy tetronic and pentonic acids from bromodeoxyaldonolactones. Acta Chem. Scand. B 1988, 42, 67–74. [Google Scholar] [CrossRef]
- Humphlett, W.J. Synthesis of some esters and lactones of aldonic acids. Carbohydr. Res. 1967, 4, 157–164. [Google Scholar] [CrossRef]
- Bock, K.; Gammeltoft, P.; Pedersen, C. Reaction of some anhydroalditols with hydrogen bromide. Preparation of bromodeoxy anhydroalditols. Acta Chem. Scand. B 1979, 33, 429–432. [Google Scholar] [CrossRef]
- Pedersen, C.; Bock, K.; Lundt, I. Synthesis of bromodeoxy sugars from hexoses, alditols and aldonic acids. Pure Appl. Chem. 1978, 50, 1385–1400. [Google Scholar] [CrossRef]
- Chen, S.-Y.; Joullié, M.M. Use of D-ribonolactone in organic synthesis. 2. Scope and utility. J. Org. Chem. 1984, 49, 2168–2174. [Google Scholar] [CrossRef]
- Williams, J.D.; Kamath, V.P.; Morris, P.E.; Townsend, L.B.; Checked by Cuzzupe, A.; Wipf, P. D-ribonolactone and 2,3-isopropylidene(D-ribonolactone). Org. Synth. 2005, 82, 75–79. [Google Scholar]
- Vekemans, J.A.J.M.; Franken, G.A.M.; Chittenden, G.J.F.; Godefroi, E.F. An efficient synthesis of (S)-5-hydroxymethyl-2(5H)-furanone. Tetrahedron Lett. 1987, 28, 2299–3000. [Google Scholar] [CrossRef]
- Vekemans, J.A.J.M.; Franken, G.A.M.; Dapperens, C.W.M.; Godefroi, E.F. Vitamin C and isovitamin C derived chemistry. 3. Chiral butenolides via efficient 2,3-didehydroxylations of L-gulono-, D-mannono-, and D-ribono-1,4-lactones. J. Org. Chem. 1988, 53, 627–633. [Google Scholar] [CrossRef]
- Elwood, A.R.; Mortimer, A.J.P.; Goodman, J.M.; Porter, M.J. Reversal of facial selectivity in a thia-Claisen rearrangement by incorporation of a vinylic bromine substituent. Org. Biomol. Chem. 2013, 11, 7530–7539. [Google Scholar] [CrossRef]
- Estopa, J.C.C.; Font, J.; Moreno-Mañas, M.; Ortuño, R.M.; Sancez-Ferrando, F.; Valle, S.; Vilamajo, L. Studies on structurally Simple α,β-butenolides-I. New syntheses of racemic γ-hydroxymethyl-α,β-butenolide and derivatives. Tetrahedron 1982, 38, 2377–2394. [Google Scholar]
- Nakaminami, G.; Shioi, S.; Sugiyama, Y.; Isemura, S.; Shibuya, M.; Nakagawa, M. Total synthesis of carbohydrates. IV. 2-deoxy-DL-, L-, and D-erythro-pentoses and related sugars. Bull. Chem. Soc. Jap. 1972, 45, 2624–2634. [Google Scholar] [CrossRef]
- Vekemans, J.A.J.M.; de Bruyn, R.G.M.; Caris, R.C.H.M.; Kokx, A.J.P.M.; Konings, J.J.H.G.; Godefroi, E.F.; Chittenden, G.J.F. Vitamin C and isovitamin C derived chemistry. 2. Synthesis of some enantiomerically pure 4,5,6-trihydroxylated norleucins. J. Org. Chem. 1987, 52, 1093–1099. [Google Scholar] [CrossRef]
- Bock, K.; Lundt, I.; Pedersen, C. The preparation of some bromodeoxy- and dibromodideoxy-pentonolactones. Carbohydr. Res. 1982, 104, 79–85. [Google Scholar] [CrossRef]
- Musumeci, D.; Roviello, G.N.; Rigione, G.; Capasso, D.; Di Gaetano, S.; Riccardi, C.; Roviello, V.; Montesarchio, D. Benzodifuran Derivatives as Potential Antiproliferative Agents: Possible Correlation between Their Bioactivity and Aggregation Properties. ChemPlusChem 2016, 82, 251–260. [Google Scholar] [CrossRef] [PubMed]
- Vicidomini, C.; Cioffi, F.; Broersen, K.; Roviello, V.; Riccardi, C.; Montesarchio, D.; Capasso, D.; Di Gaetano, S.; Musumeci, D.; Roviello, G.N. Benzodifurans for biomedical applications: BZ4, a selective anti-proliferative and anti-amyloid lead compound. Future Med. Chem. 2019, 11, 285–302. [Google Scholar] [CrossRef]
Disclaimer/Publisher’s Note: The statements, opinions and data contained in all publications are solely those of the individual author(s) and contributor(s) and not of MDPI and/or the editor(s). MDPI and/or the editor(s) disclaim responsibility for any injury to people or property resulting from any ideas, methods, instructions or products referred to in the content. |
© 2023 by the authors. Licensee MDPI, Basel, Switzerland. This article is an open access article distributed under the terms and conditions of the Creative Commons Attribution (CC BY) license (https://creativecommons.org/licenses/by/4.0/).