Protist–Lactic Acid Bacteria Co-Culture as a Strategy to Bioaccumulate Polyunsaturated Fatty Acids in the Protist Aurantiochytrium sp. T66
Abstract
1. Introduction
2. Results
2.1. Isolation of L-Tryptophan-Dependent Auxin Lactic Acid Bacteria
2.2. Protist, Culture Condition and Antagonism Test
2.3. Identification of L-Tryptophan-Dependent Auxin Lactic Acid Bacteria
2.4. Total Biomass in Co-Culture
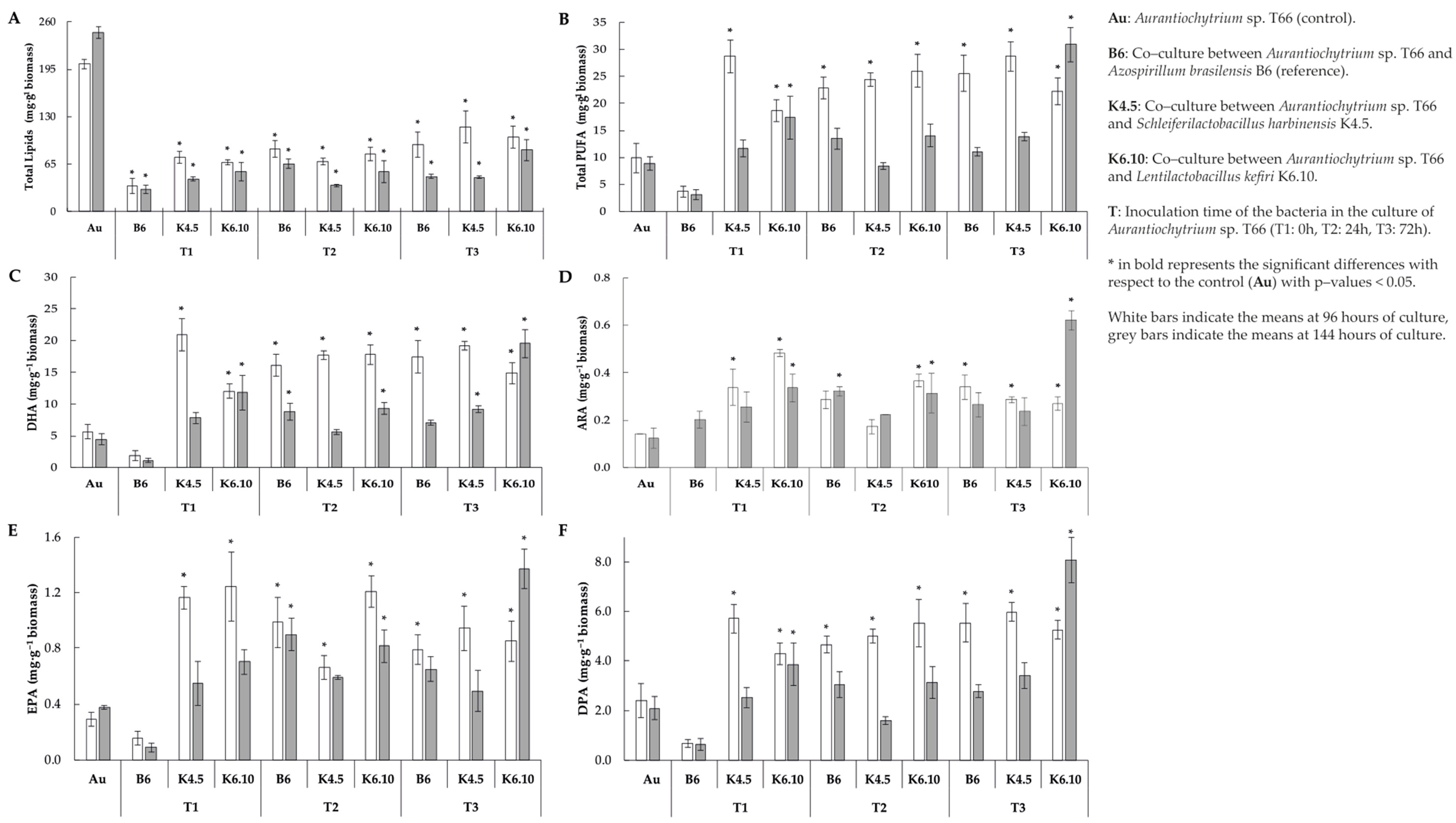
2.5. Analysis of Fatty Acid Profile in Co-Culture
3. Discussion
4. Materials and Methods
4.1. Isolation of L-Tryptophan-Dependent Auxin Lactic Acid Bacteria
4.2. Protist, Culture Condition and Antagonism Test
4.3. Identification of L–Tryptophan-Dependent Auxin Lactic Acid Bacteria
4.4. Co-Culture Design
4.5. Analysis of Fatty Acid Profiles in Co–Culture
4.6. Statistical Analysis
5. Conclusions
Supplementary Materials
Author Contributions
Funding
Institutional Review Board Statement
Informed Consent Statement
Data Availability Statement
Conflicts of Interest
References
- Bessonart, M.; Izquierdo, M.S.; Salhi, M.; Gonzalez, M.M.; Fernández-Palacios, H. Effect of Dietary Arachidonic Acid Levels on Growth and Survival of Gilthead Sea Bream (Sparus Aurata L.) Larvae. Aquaculture 1999, 1, 265–275. [Google Scholar] [CrossRef]
- Luo, Z.; Tan, X.Y.; Li, X.D.; Yin, G.J. Effect of Dietary Arachidonic Acid Levels on Growth Performance, Hepatic Fatty Acid Profile, Intermediary Metabolism and Antioxidant Responses for Juvenile Synechogobius hasta. Aquac. Nutr. 2012, 18, 340–348. [Google Scholar] [CrossRef]
- Torrecillas, S.; Betancor, M.B.; Caballero, M.J.; Rivero, F.; Robaina, L.; Izquierdo, M.; Montero, D. Supplementation of Arachidonic Acid Rich Oil in European Sea Bass Juveniles (Dicentrarchus Labrax) Diets: Effects on Growth Performance, Tissue Fatty Acid Profile and Lipid Metabolism. Fish Physiol. Biochem. 2018, 44, 283–300. [Google Scholar] [CrossRef] [PubMed]
- Xu, H.; Wang, C.; Zhang, Y.; Wei, Y.; Liang, M. Moderate Levels of Dietary Arachidonic Acid Reduced Lipid Accumulation and Tended to Inhibit Cell Cycle Progression in the Liver of Japanese Seabass Lateolabrax japonicus. Sci. Rep. 2018, 8, 10682. [Google Scholar] [CrossRef]
- Xu, H.; Ai, Q.; Mai, K.; Xu, W.; Wang, J.; Ma, H.; Zhang, W.; Wang, X.; Liufu, Z. Effects of Dietary Arachidonic Acid on Growth Performance, Survival, Immune Response and Tissue Fatty Acid Composition of Juvenile Japanese Seabass, Lateolabrax japonicus. Aquaculture 2010, 307, 75–82. [Google Scholar] [CrossRef]
- Rombenso, A.N.; Trushenski, J.T.; Jirsa, D.; Drawbridge, M. Docosahexaenoic Acid (DHA) and Arachidonic Acid (ARA) Are Essential to Meet Lc-Pufa Requirements of Juvenile California Yellowtail (Seriola Dorsalis). Aquaculture 2016, 463, 123–134. [Google Scholar] [CrossRef]
- Huyben, D.; Grobler, T.; Matthew, C.; Bou, M.; Ruyter, B.; Glencross, B. Requirement for Omega-3 Long-Chain Polyunsaturated Fatty Acids by Atlantic Salmon Is Relative to the Dietary Lipid Level. Aquaculture 2021, 531, 735805. [Google Scholar] [CrossRef]
- Beygmoradi, A.; Homaei, A.; Hemmati, R.; Santos-Moriano, P.; Hormigo, D.; Fernández-Lucas, J. Marine Chitinolytic Enzymes, a Biotechnological Treasure Hidden in the Ocean? Appl. Microbiol. Biotechnol. 2018, 102, 9937–9948. [Google Scholar] [CrossRef]
- Ranjbari, N.; Razzaghi, M.; Fernandez-Lafuente, R.; Shojaei, F.; Satari, M.; Homaei, A. Improved Features of a Highly Stable Protease from Penaeus Vannamei by Immobilization on Glutaraldehyde Activated Graphene Oxide Nanosheets. Int. J. Biol. Macromol. 2019, 130, 564–572. [Google Scholar] [CrossRef]
- Sharifian, S.; Homaei, A.; Kim, S.K.; Satari, M. Production of Newfound Alkaline Phosphatases from Marine Organisms with Potential Functions and Industrial Applications. Process Biochem. 2018, 64, 103–115. [Google Scholar] [CrossRef]
- Sarker, P.K.; Gamble, M.M.; Kelson, S.; Kapuscinski, A.R. Nile Tilapia (Oreochromis Niloticus) Show High Digestibility of Lipid and Fatty Acids from Marine Schizochytrium Sp. and of Protein and Essential Amino Acids from Freshwater Spirulina Sp. Feed Ingredients. Aquac. Nutr. 2016, 22, 109–119. [Google Scholar] [CrossRef]
- Dawood, M.A.O.; Koshio, S.; Esteban, M.Á. Beneficial Roles of Feed Additives as Immunostimulants in Aquaculture: A Review. Rev. Aquac. 2017, 10, 950–974. [Google Scholar] [CrossRef]
- Gressler, P.; Bjerk, T.; Schneider, R.; Souza, M.; Lobo, E.; Zappe, A.; Corbellini, V.; Moraes, M. Cultivation of Desmodesmus Subspicatus in a Tubular Photobioreactor for Bioremediation and Microalgae Oil Production. Environ. Technol. 2014, 35, 209–219. [Google Scholar] [CrossRef]
- Silveira, A.; Faustino, S.; Cunha, A. Bioprospection of Biocompounds and Dietary Supplements of Microalgae with Immunostimulating Activity: A Comprehensive Review. J. Life Environ. Sci. 2019, 7, 2–33. [Google Scholar] [CrossRef]
- Tibbetts, S.M.; Milley, J.E.; Lall, S.P. Chemical Composition and Nutritional Properties of Freshwater and Marine Microalgal Biomass Cultured in Photobioreactors. J. Appl. Phycol. 2015, 27, 1109–1119. [Google Scholar] [CrossRef]
- Chen, X.; He, Y.; Liu, L.; Zhu, X.; Sen, B.; Wang, G. Nitrogen Starvation Enhances the Production of Saturated and Unsaturated Fatty Acids in Aurantiochytrium Sp. PKU#SW8 by Regulating Key Biosynthetic Genes. Mar. Drugs 2022, 20, 621. [Google Scholar] [CrossRef]
- Bai, M.; Sen, B.; Wen, S.; Ye, H.; He, Y.; Zhang, X.; Wang, G. Culturable Diversity of Thraustochytrids from Coastal Waters of Qingdao and Their Fatty Acids. Mar. Drugs 2022, 20, 229. [Google Scholar] [CrossRef]
- Chen, X.; Sen, B.; Zhang, S.; Bai, M.; He, Y.; Wang, G. Chemical and Physical Culture Conditions Significantly Influence the Cell Mass and Docosahexaenoic Acid Content of Aurantiochytrium Limacinum Strain Pku#sw8. Mar. Drugs 2021, 19, 671. [Google Scholar] [CrossRef]
- Ruiz, J.; Corraze, G.; Márquez, L.; Orellana, P.; Hernández, A.J.; Dantagnan, P. Effect of Cell Disruption on Apparent Digestibility of Macronutrients from Aurantiochytrium Acetophilum in Salmo Salar Pre-Smolts. Algal Res. 2022, 64, 102711. [Google Scholar] [CrossRef]
- Viscardi, S.; Marileo, L.; Barra, P.J.; Durán, P.; Inostroza-Blancheteau, C. From Farm to Fork: It Could Be the Case of Lactic Acid Bacteria in the Stimulation of Folates Biofortification in Food Crops. Curr. Opin. Food Sci. 2020, 34, 1–8. [Google Scholar] [CrossRef]
- Merrifield, D.L.; Dimitroglou, A.; Foey, A.; Davies, S.J.; Baker, R.T.M.; Bøgwald, J.; Castex, M.; Ringø, E. The Current Status and Future Focus of Probiotic and Prebiotic Applications for Salmonids. Aquaculture 2010, 302, 1–18. [Google Scholar] [CrossRef]
- Salama, E.; Hwang, J.; El-dalatony, M.M.; Kurade, M.B.; Kabra, A.N.; Abou-shanab, R.A.I.; Kim, K.; Yang, I.; Govindwar, P.; Kim, S.; et al. Enhancement of Microalgal Growth and Biocomponent-Based Transformations for Improved Biofuel Recovery: A Review. Bioresour. Technol. 2018, 258, 365–375. [Google Scholar] [CrossRef] [PubMed]
- Amavizca, E.; Bashan, Y.; Ryu, C.M.; Farag, M.A.; Bebout, B.M.; De-Bashan, L.E. Enhanced Performance of the Microalga Chlorella Sorokiniana Remotely Induced by the Plant Growth-Promoting Bacteria Azospirillum Brasilense and Bacillus pumilus. Sci. Rep. 2017, 7, srep41310. [Google Scholar] [CrossRef] [PubMed]
- Patten, C.L.; Glick, B.R. Bacterial Biosynthesis of Indole-3-Acetic Acid. Can. J. Microbiol. 1996, 42, 207–220. [Google Scholar] [CrossRef] [PubMed]
- Arora, S.; Mishra, G. Biochemical Modulation of Monodopsis Subterranea (Eustigmatophyceae) by Auxin and Cytokinin Enhances Eicosapentaenoic Acid Productivity. J. Appl. Phycol. 2019, 31, 3441–3452. [Google Scholar] [CrossRef]
- Nazir, Y.; Halim, H.; Prabhakaran, P.; Ren, X.; Naz, T.; Mohamed, H.; Nosheen, S.; Mustafa, K.; Yang, W.; Hamid, A.A.; et al. Different Classes of Phytohormones Act Synergistically to Enhance the Growth, Lipid and DHA Biosynthetic Capacity of Aurantiochytrium Sp. SW1. Biomolecules 2020, 10, 755. [Google Scholar] [CrossRef]
- Yu, X.J.; Sun, J.; Sun, Y.Q.; Zheng, J.Y.; Wang, Z. Metabolomics Analysis of Phytohormone Gibberellin Improving Lipid and DHA Accumulation in Aurantiochytrium sp. Biochem. Eng. J. 2016, 112, 258–268. [Google Scholar] [CrossRef]
- Park, J.; Park, B.S.; Wang, P.; Patidar, S.K.; Kim, J.H. Phycospheric Native Bacteria Pelagibaca Bermudensis and Stappia Sp. Ameliorate Biomass Productivity of Tetraselmis Striata (KCTC1432BP) in Co-Cultivation System through Mutualistic Interaction. Front. Plant Sci. 2017, 8, 289. [Google Scholar] [CrossRef]
- Kim, B.; Ramanan, R.; Cho, D.; Oh, H.; Kim, H. Role of Rhizobium, a Plant Growth Promoting Bacterium, in Enhancing Algal Biomass through Mutualistic Interaction. Biomass Bioenergy 2014, 69, 95–105. [Google Scholar] [CrossRef]
- Nakahara, T.; Yokochi, T.; Higashihara, T.; Tanaka, S.; Yaguchi, T.; Honda, D. Production of Docosahexaenoic and Docosapentaenoic Acids by Schizochytrium Sp. Isolated from Yap Islands. JAOCS, J. Am. Oil Chem. Soc. 1996, 73, 1421–1426. [Google Scholar] [CrossRef]
- Metz, J.G.; Roessler, P.; Facciotti, D.; Levering, C.; Dittrich, F.; Lassner, M.; Valentine, R.; Lardizabal, K.; Domergue, F.; Yamada, A.; et al. Production of Polyunsaturated Fatty Acids by Potyketide Synthases in Both Prokaryotes and Eukaryotes. Science 2001, 293, 290–293. [Google Scholar] [CrossRef]
- Qiu, X. Biosynthesis of Docosahexaenoic Acid (DHA, 22:6-4, 7,10,13,16,19): Two Distinct Pathways. Prostaglandins Leukot. Essent. Fat. Acids 2003, 68, 181–186. [Google Scholar] [CrossRef]
- Chaturvedi, S.; Bhattacharya, A.; Khare, S.K. Trends in Oil Production from Oleaginous Yeast Using Biomass: Biotechnological Potential and Constraints. Appl. Biochem. Microbiol. 2018, 54, 361–369. [Google Scholar] [CrossRef]
- Viscardi, S.; Marileo, L.; Araos, M.P.; Standen, J.; Cerna, S.; Amato, M.; Paz, C. Volatile Profile and Consumer Acceptability of Natural Yoghurts Elaborated with Chilean Native Cultures of Enterococcus Sp. Strain BB3 and Lactobacillus Sp. Strain BB6. J. Chil. Chem. Soc. 2021, 66, 5280–5284. [Google Scholar] [CrossRef]
- Tighe-neira, R.; Marileo, L.; Viscardi, S.; Inostroza-blancheteau, C. Chilean Native Cultures of Enterococcus sp. Strain BB3 and Lactobacillus sp. Strain BB6 Improve Physiological and Antioxidant Performance in Tomato Plants (Solanum lycopersicum L.). J. Soil Sci. Plant Nutr. 2022. [Google Scholar] [CrossRef]
- Fečkaninová, A.; Koščová, J.; Mudroňová, D.; Schusterová, P.; Cingeľová Maruščáková, I.; Popelka, P. Characterization of Two Novel Lactic Acid Bacteria Isolated from the Intestine of Rainbow Trout (Oncorhynchus Mykiss, Walbaum) in Slovakia. Aquaculture 2019, 506, 294–301. [Google Scholar] [CrossRef]
- Peace, T.A.; Brock, K.V.; Stills, H.F. Comparative Analysis of the 16S RRNA Gene Sequence of the Putative Agent of Proliferative Ileitis of Hamsters. Int. J. Syst. Bacteriol. 1994, 44, 832–835. [Google Scholar] [CrossRef]
- Folch, J.; Lees, M.; Sloane Stanley, G. A Simple Method for the Isolation and Purification of Total Lipides from Animal Tissues. J. Biol. Chem. 1957, 226, 497. [Google Scholar] [CrossRef]
- Morrison, W.R.; Smith, L.M. Preparation of Fatty Acid Methyl Esters and Dimethylacetals from Lipids with Fluoride-Methanol. J. Lipid Res. 1964, 5, 600–608. [Google Scholar] [CrossRef]
- R Core Team. R: A Language and Environment for Statistical Computing; R Foundation for Statistical Computing: Vienna, Austria, 2019; Available online: https://www.R-project.org/ (accessed on 12 December 2022).



| Auxin (µg mL−1) | ||
|---|---|---|
| Control | ||
| Aurantiochitrium sp. T66 | 10.0 ± 3.4 | |
| Reference | ||
| Azospirillum brasilensis B6 | 9.8 ± 2.8 | |
| Isolated | ||
| Schleiferilactobacillus harbinensis K4.5 | 4.8 ± 0.2 | |
| Lentilactobacillus kefiri K6.10 | 5.8 ± 0.4 | |
| 96 h of Culture | 144 h of Culture | ||||||||||
|---|---|---|---|---|---|---|---|---|---|---|---|
| Parameter | Item | DF | SS | MS | F | p | DF | SS | MS | F | p |
| Total lipids | CoB | 3 | 29,084 | 9695 | 63.503 | <0.001 * | 3 | 103,917 | 34,639 | 453.90 | <0.001 * |
| IT | 2 | 8781 | 4391 | 28.76 | <0.001 * | 2 | 1255 | 627 | 8.22 | <0.001 * | |
| CoB X IT | 4 | 2839 | 710 | 4.65 | 0.009 * | 4 | 2616 | 654 | 8.57 | <0.001 * | |
| Residuals | 19 | 2901 | 153 | 20 | 1526 | 76 | |||||
| Biomass | CoB | 3 | 0.80 | 0.27 | 1.21 | 0.33 | 3 | 2.29 | 0.76 | 20.64 | <0.001 * |
| IT | 2 | 0.39 | 0.20 | 0.90 | 0.43 | 2 | 1.45 | 0.73 | 19.64 | <0.001 * | |
| CoB X IT | 4 | 0.59 | 0.15 | 0.67 | 0.62 | 4 | 2.66 | 0.67 | 17.97 | <0.001 * | |
| Residuals | 18 | 3.94 | 0.22 | 19 | 0.70 | 0.04 | |||||
| Total SAFA | CoB | 3 | 39,729 | 13,243 | 166.79 | <0.001 * | 3 | 116,745 | 38,915 | 937.84 | <0.001 * |
| IT | 2 | 7348 | 3674 | 46.27 | <0.001 * | 2 | 1003 | 502 | 12.09 | <0.001 * | |
| CoB X IT | 4 | 1414 | 354 | 4.45 | 0.010 * | 4 | 1508 | 377 | 9.09 | <0.001 * | |
| Residuals | 19 | 1509 | 79 | 20 | 830 | 41 | |||||
| Total MUFA | CoB | 3 | 216.95 | 72.32 | 6.53 | 0.004 * | 3 | 197.86 | 65.95 | 9.83 | <0.001 * |
| IT | 2 | 217.18 | 108.59 | 9.80 | 0.001 * | 2 | 18.12 | 9.06 | 1.35 | 0.284 | |
| CoB X IT | 4 | 25.08 | 6.27 | 0.57 | 0.691 | 4 | 108.08 | 27.02 | 4.03 | 0.017 * | |
| Residuals | 17 | 188.32 | 11.08 | 18 | 120.83 | 6.71 | |||||
| Total PUFA | CoB | 3 | 727.50 | 242.49 | 40.02 | <0.001 * | 3 | 748 | 249.35 | 61.45 | <0.001 * |
| IT | 2 | 385.50 | 192.76 | 31.81 | <0.001 * | 2 | 324.60 | 162.28 | 39.99 | <0.001 * | |
| CoB X IT | 4 | 586.90 | 146.73 | 24.21 | <0.001 * | 4 | 373.90 | 93.48 | 23.04 | <0.001 * | |
| Residuals | 19 | 115.10 | 6.06 | 20 | 81.20 | 4.06 | |||||
| ARA | CoB | 3 | 0.21 | 0.07 | 37.36 | <0.001 * | 3 | 0.27 | 0.0913 | 35.24 | <0.001 * |
| IT | 2 | 0.00 | 0.00 | 0.93 | 0.411 | 2 | 0.06 | 0.0299 | 11.54 | <0.001 * | |
| CoB X IT | 4 | 0.31 | 0.08 | 41.58 | <0.001 * | 4 | 0.14 | 0.0345 | 13.31 | <0.001 * | |
| Residuals | 19 | 0.04 | 0.00 | 20 | 0.05 | 0.0026 | |||||
| DHA | CoB | 3 | 428.70 | 142.89 | 54.73 | <0.001 * | 3 | 361.30 | 120.44 | 68.90 | <0.001 * |
| IT | 2 | 188.80 | 94.40 | 36.16 | <0.001 * | 2 | 127.90 | 63.93 | 36.57 | <0.001 * | |
| CoB X IT | 4 | 326.40 | 81.59 | 31.25 | <0.001 * | 4 | 159.10 | 39.79 | 22.76 | <0.001 * | |
| Residuals | 19 | 49.60 | 2.61 | 20 | 35.00 | 1.75 | |||||
| EPA | CoB | 3 | 1.69 | 0.56 | 27.71 | <0.001 * | 3 | 1.30 | 0.43 | 39.35 | <0.001 * |
| IT | 2 | 0.07 | 0.03 | 1.64 | 0.220 | 2 | 0.78 | 0.39 | 35.46 | <0.001 * | |
| CoB X IT | 4 | 1.89 | 0.47 | 23.19 | <0.001 * | 4 | 1.04 | 0.26 | 23.45 | <0.001 * | |
| Residuals | 19 | 0.39 | 0.02 | 20 | 0.22 | 0.01 | |||||
| DPA | CoB | 3 | 28.10 | 9.367 | 31.71 | <0.001 * | 3 | 47.18 | 15.727 | 52.13 | <0.001 * |
| IT | 2 | 19.87 | 9.936 | 33.64 | <0.001 * | 2 | 31.66 | 15.83 | 52.47 | <0.001 * | |
| CoB X IT | 4 | 24.24 | 6.06 | 20.52 | <0.001 * | 4 | 26.54 | 6.635 | 21.99 | <0.001 * | |
| Residuals | 19 | 5.61 | 0.295 | 20 | 6.03 | 0.302 | |||||
| T | Biomass (g L−1) | Auxin (µg mL−1) | pH | ||||
|---|---|---|---|---|---|---|---|
| Item | 96 h | 144 h | 96 h | 144 h | 96 h | 144 h | |
| Control | Au | 1.19 ± 0.2 | 2.62 ± 0.2 | 9.7 ± 2.3 | 10.8 ± 1.2 | 6.9 ± 0.0 | 6.9 ± 0.0 |
| 0 h | B6 | 1.43 ± 0.1 | 1.82 ± 0.2 * | 15.9 ± 3.0 | 15.8 ± 2.2 | 6.3 ± 0.1 * | 7.1 ± 0.1 |
| K4.5 | 1.32 ± 0.1 | 1.38 ± 0.4 * | 22.6 ± 3.1 * | 17.8 ± 4.4 * | 6.2 ± 0.0 * | 6.8 ± 0.1 | |
| K6.10 | 1.43 ± 0.2 | 1.09 ± 0.2 * | 22.4 ± 3.3 * | 16.8 ± 1.1 | 6.2 ± 0.0 * | 6.7 ± 0.1 * | |
| 24 h | B6 | 1.42 ± 0.3 | 1.09 ± 0.2 * | 8.9 ± 2.0 | 7.0 ± 2.9 | 6.3 ± 0.0 * | 6.6 ± 0.0 * |
| K4.5 | 0.93 ± 0.0 | 1.73 ± 0.1 * | 32.0 ± 2.1 * | 16.2 ± 1.8 | 6.3 ± 0.0 * | 6.7 ± 0.0 * | |
| K6.10 | 2.24 ± 0.1 * | 2.11 ± 0.1 | 11.2 ± 2.5 | 7.1 ± 2.1 | 6.4 ± 0.0 * | 6.5 ± 0.1 * | |
| 72 h | B6 | 1.60 ± 0.2 | 1.96 ± 0.2 | 8.7 ± 4.1 | 9.4 ± 3.2 | 6.3 ± 0.2 * | 6.8 ± 0.0 |
| K4.5 | 0.90 ± 0.1 | 1.92 ± 0.3 * | 14.5 ± 3.6 | 10.0 ± 0.2 | 6.4 ± 0.1 * | 6.7 ± 0.0 * | |
| K6.10 | 0.90 ± 0.2 | 2.23 ± 0.0 | 15.4 ± 1.7 | 19.1 ± 2.1 * | 6.3 ± 0.1 * | 6.7 ± 0.1 * | |
| T | PUFA (mg·L−1) | DHA (mg·L−1) | ARA (mg·L−1) | EPA (mg·L−1) | DPA (mg·L−1) | ||||||
|---|---|---|---|---|---|---|---|---|---|---|---|
| Item | 96 h | 144 h | 96 h | 144 h | 96 h | 144 h | 96 h | 144 h | 96 h | 144 h | |
| Control | Au | 10.7 ± 2.6 | 23.1 ± 1.1 | 6.1 ± 1.0 | 11.5 ± 1.2 | 0.1 ± 0.1 | 0.3 ± 0.1 | 0.3 ± 0.1 | 1.0 ± 0.1 | 2.6 ± 0.6 | 5.4 ± 0.7 |
| 0 h | B6 | 5.4 ± 1.9 | 5.5 ± 0.8 * | 2.7 ± 1.3 | 2.0 ± 0.3 * | 0.0 ± 0.0 | 0.4 ± 0.1 | 0.2 ± 0.1 | 0.2 ± 0.0 * | 1.0 ± 0.3 | 1.1 ± 0.3 * |
| K4.5 | 37.8 ± 2.5 * | 17.7 ± 1.1 | 27.5 ± 2.2 * | 12.1 ± 0.5 | 0.4 ± 0.1 * | 0.4 ± 0.1 | 1.5 ± 0.0 * | 0.8 ± 0.2 | 7.5 ± 0.8 * | 3.7 ± 0.1 | |
| K6.10 | 26.6 ± 4.5 | 17.8 ± 5.7 | 17.1 ± 2.4 | 12.1 ± 4.0 | 0.7 ± 0.1 * | 0.3 ± 0.1 | 1.8 ± 0.4 * | 0.7 ± 0.2 | 6.1 ± 1.2 | 3.9 ± 1.3 | |
| 24 h | B6 | 35.1 ± 10.0 * | 14.9 ± 4.2 | 24.8 ± 7.5 * | 9.8 ± 2.8 | 0.4 ± 0.1 * | 0.4 ± 0.1 | 1.5 ± 0.5 * | 1.0 ± 0.3 | 7.1 ± 1.8 * | 3.4 ± 1.0 |
| K4.5 | 23.3 ± 1.7 | 14.5 ± 1.4 | 16.9 ± 1.2 | 9.7 ± 0.9 | 0.2 ± 0.0 | 0.4 ± 0.0 | 0.7 ± 0.0 | 1.0 ± 0.1 | 4.8 ± 0.4 | 2.8 ± 0.3 | |
| K6.10 | 61.3 ± 8.7 * | 29.6 ± 4.5 | 41.4 ± 5.1 * | 19.7 ± 2.1 * | 0.9 ± 0.1 * | 0.7 ± 0.2 * | 2.7 ± 0.5 * | 1.7 ± 0.2 * | 13.6 ± 1.7 * | 6.6 ± 1.3 | |
| 72 h | B6 | 40.3 ± 13.9 * | 21.8 ± 3.5 | 27.8 ± 10.3 * | 13.9 ± 2.1 | 0.5 ± 0.1 * | 0.5 ± 0.1 | 1.3 ± 0.5 | 1.3 ± 0.3 | 8.9 ± 3.3 * | 5.4 ± 0.7 |
| K4.5 | 26.1 ± 6.0 | 26.7 ± 5.6 | 17.3 ± 2.8 | 17.8 ± 3.7 | 0.3 ± 0.0 | 0.4 ± 0.0 | 0.9 ± 0.3 | 0.9 ± 0.2 | 5.4 ± 1.0 | 6.6 ± 1.9 | |
| K6.10 | 19.9 ± 2.6 | 68.9 ± 6.8 * | 13.2 ± 1.7 | 43.6 ± 5.0 * | 0.2 ± 0.0 | 1.4 ± 0.1 * | 0.7 ± 0.0 | 3.1 ± 0.3 * | 4.7 ± 0.6 | 18.0 ± 1.9 * | |
| 96 h of Culture | 144 h of Culture | |||||||
|---|---|---|---|---|---|---|---|---|
| Treatment | Auxin | pH | Biomass | Treatment | Auxin | pH | Biomass | |
| Variable | ||||||||
| Treatment | 1 | −0.088 | −0.265 | −0.182 | 1 | −0.116 | −0.589 * | 0.200 |
| Auxin | −0.088 | 1 | −0.509 * | −0.391 * | −0.116 | 1 | 0.403 * | −0.044 |
| pH | −0.265 | −0.509 * | 1 | −0.051 | −0.589 * | 0.403 * | 1 | 0.204 |
| Biomass | −0.182 | −0.391 * | −0.051 | 1 | 0.200 | −0.044 | 0.204 | 1 |
| Lipids | 0.018 | −0.390 * | 0.726 * | −0.214 | −0.312 | −0.119 | 0.262 | 0.339 |
| SAFA | −0.032 | −0.435 * | 0.799 * | −0.220 | −0.328 | −0.183 | 0.259 | 0.338 |
| MUFA | 0.068 | 0.441 * | −0.821 * | 0.119 | 0.150 | 0.097 | −0.094 | −0.289 |
| PUFA | 0.638 * | 0.103 | −0.372 * | −0.012 | 0.637 * | 0.136 | −0.512 * | −0.031 |
| DHA | 0.618 * | 0.134 | −0.399 * | −0.013 | 0.665 * | 0.104 | −0.612 * | −0.083 |
| ARA | 0.516 * | 0.095 | −0.443 * | 0.164 | 0.616 * | 0.258 | −0.383 * | −0.154 |
| EPA | 0.467 * | 0.114 | −0.509 * | 0.216 | 0.637 * | −0.048 | −0.647 * | −0.100 |
| DPA | 0.667 * | 0.071 | −0.311 | −0.033 | 0.654 * | 0.128 | −0.448 * | 0.015 |
Disclaimer/Publisher’s Note: The statements, opinions and data contained in all publications are solely those of the individual author(s) and contributor(s) and not of MDPI and/or the editor(s). MDPI and/or the editor(s) disclaim responsibility for any injury to people or property resulting from any ideas, methods, instructions or products referred to in the content. |
© 2023 by the authors. Licensee MDPI, Basel, Switzerland. This article is an open access article distributed under the terms and conditions of the Creative Commons Attribution (CC BY) license (https://creativecommons.org/licenses/by/4.0/).
Share and Cite
Marileo, L.; Acuña, J.; Rilling, J.; Díaz, P.; Langellotti, A.L.; Russo, G.L.; Barra, P.J.; Dantagnan, P.; Viscardi, S. Protist–Lactic Acid Bacteria Co-Culture as a Strategy to Bioaccumulate Polyunsaturated Fatty Acids in the Protist Aurantiochytrium sp. T66. Mar. Drugs 2023, 21, 142. https://doi.org/10.3390/md21030142
Marileo L, Acuña J, Rilling J, Díaz P, Langellotti AL, Russo GL, Barra PJ, Dantagnan P, Viscardi S. Protist–Lactic Acid Bacteria Co-Culture as a Strategy to Bioaccumulate Polyunsaturated Fatty Acids in the Protist Aurantiochytrium sp. T66. Marine Drugs. 2023; 21(3):142. https://doi.org/10.3390/md21030142
Chicago/Turabian StyleMarileo, Luis, Jacqueline Acuña, Joaquin Rilling, Paola Díaz, Antonio Luca Langellotti, Giovanni Luca Russo, Patricio Javier Barra, Patricio Dantagnan, and Sharon Viscardi. 2023. "Protist–Lactic Acid Bacteria Co-Culture as a Strategy to Bioaccumulate Polyunsaturated Fatty Acids in the Protist Aurantiochytrium sp. T66" Marine Drugs 21, no. 3: 142. https://doi.org/10.3390/md21030142
APA StyleMarileo, L., Acuña, J., Rilling, J., Díaz, P., Langellotti, A. L., Russo, G. L., Barra, P. J., Dantagnan, P., & Viscardi, S. (2023). Protist–Lactic Acid Bacteria Co-Culture as a Strategy to Bioaccumulate Polyunsaturated Fatty Acids in the Protist Aurantiochytrium sp. T66. Marine Drugs, 21(3), 142. https://doi.org/10.3390/md21030142

