Abstract
Marine soft corals are prolific sources of various natural products that have served as a wealthy reservoir of diverse chemical scaffolds with potential as new drug leads. The genus Litophyton contains almost 100 species but only a small proportion of them has been chemically investigated, which calls for more attentions from global researchers. In the current work, 175 secondary metabolites have been discussed, drawing from published data spanning almost five decades, up to July 2023. The studied species of the genus Litophyton resided in various tropical and temperate regions and encompassed a broad range of biologically active natural products including terpenes, steroids, nitrogen-containing metabolites, lipids, and other metabolites. A wide spectrum of pharmacological effects of these compounds had been evaluated, such as cytotoxic, antiviral, antibacterial, antifungal, anti-malarial, antifeedant, anti-inflammatory, molluscicidal, PTP1B inhibitory, insect growth inhibitory, and neuroprotective activities. This review aims to offer an up-to-date survey of the literature and provide a comprehensive understanding of the chemical structures, taxonomical distributions, and biological activities of the reported metabolites from the title genus whenever available.
1. Introduction
More than two-thirds of the Earth’s surface is covered by oceans, which harbor a vast array of creatures, including plants, animals, and microbes. Since the ancient times, marine organisms have been used as sources of foods [1], cosmetic ingredients [2], and drugs [3], which are hotspots for global researchers nowadays [4]. Continuous studies focused on the secondary metabolites derived from marine environments, resulting in a rapid expansion of marine natural products [5]. These substances displayed a wide spectrum of potential pharmacological effects, including antivirus [6], anti-osteoclastogenesis [7], antimicrobial [8], and antitumor [9]. To date, almost 20 drugs from marine sources are in clinical use [10].
The marine soft coral genus Litophyton belongs to the family Nephtheidae, order Alcyonacea, subclass Octocorallia. It might be worth pointing out the taxonomic relationship between the genera Nephthea and Litophyton, both of which are in the same family Nephtheidae. In 2016, the genus Nephthea was synonymized with the genus Litophyton due to their identical characteristics in terms of mitochondrial DNA molecular information and morphology (including features such as bone needle, tentacle shape, polyp, and stem) [11,12]. Currently, the genus Litophyton consists of nearly 100 species, according to the Word Register of Marine Species (WoRMS) [13]. They are widely distributed throughout tropical and temperate waters, such as the South China Sea [14], Red Sea [11], as well as other waters of the Indo-Pacific Ocean [15,16,17].
The alcyonarian Litophyton viridis was observed to provide chemical protection for the fish Abudefduf leucogaster [18]. In addition to the ecological role, the extracts of several soft corals of the genus Litophyton have been biologically screened and showed a variety of potent bioactivities, such as antioxidant [19], genotoxic [20], cytotoxic [19,21,22], HIV-1 enzyme inhibitory [21], antibacterial [22], anti-inflammatory [23], antifungal [24], and wound healing [25] activities. Chemical investigations on Litophyton soft corals were carried out by researchers worldwide and revealed that soft corals of the genus Litophyton are prolific producers of bioactive secondary metabolites. However, there was no specific review of compounds isolated from soft corals of the original Litophyton genus. However, a summary of the chemical constituents and biological properties of the synonymized Nephthea genus was reported [26,27], which covered the work published from 1974 to 2010. On the basis of an extensive literature search using SciFinder, this work specifically summarized for the first time all the secondary metabolites isolated from species currently classified within the genus Litophyton, covering a period of near five decades (between 1975 and July 2023) for the original Litophyton species and since 2011 for the synonymized Nephthea species.
2. Classification of Secondary Metabolites from the Genus Litophyton
Since the early reports of novel cembrane diterpenes from the soft corals Nephthea sp. [28] and L. viridis [29] in the beginning of 1970s, many research groups around the world have carried out chemical investigation of the genus Litophyton, resulting in fruitful achievements. For instance, two uncommon bis-sesquiterpenes, dikelsoenyl ether and linardosinene H, were encountered during the research of two alcyonarians, Nephthea erecta [30] and Litophyton nigrum [31], respectively. Up to July 2023, a total of 175 secondary metabolites have been isolated and characterized in Litophyton corals during almost 50 years of research (Table S1). These chemical compounds can be structurally classified as sesquiterpenes, sesquiterpene dimers, diterpenes, norditerpenes, tetraterpenes, meroterpenes, steroids, ceramides, pyrimidines, peptides, prostaglandins, γ-lactones, fatty acids, glycerol ethers, and selenides. In the following subsections, these compounds were further grouped under different categories based on their structural features. Among them, the ceramides, pyrimidines, and peptides were placed under one category, ‘nitrogen-containing metabolites’. The pack of ‘lipids’ comprise prostaglandins, γ-lactones, fatty acids, and glycerol ethers. Other metabolites include selenides. Herein, the chemical structures, taxonomical distributions, and biological activities of the reported metabolites from the title genus whenever available are described.
3. Sesquiterpenes
This was a large cluster of terpenes obtained from the genus Litophyton with an account of 38 compounds in this review. These compounds possessed a variety of carbon frameworks, which could be further classified into 14 categories: bicyclogermacrane, sec-germacrane, guaiane, pseudoguaiane, himachalene, eudesmane, seco-eudesmane, tri-nor-eudesmane, eremophilane, nardosinane, nornardosinane, neolemnane, seconeolemnane, and kelsoane (Figure 1). This diversity of skeletons makes sesquiterpenes the most interesting type of natural products from this genus. The different sesquiterpenes were distributed in four species, Litophyton arboreum, L. nigrum, Litophyton setoensis, Nephthea erecta, and an unclearly identified Nephthea sp., which inhabited different marine environments including the Red Sea, South China Sea, and the waters around Indonesia and Taiwan (Table S1).
Figure 1.
Carbon frameworks of the sesquiterpenes reported from soft corals of the genus Litophyton.
3.1. Bicyclogermacrane Sesquiterpenes
Chemical investigation of the soft coral L. arboreum, which was collected near Bali, Indonesia, yielded the sesquiterpene (−)-bicyclogermacrene (1) [32] (Figure 2). This compound exhibited low antiproliferative activities against the cell lines L-929 and K-562 with GI50 values of 186 and 200 μM, respectively, and low cytotoxic effect against the HeLa cell line with CC50 of 182 μM.
Figure 2.
Chemical structure of the bicyclogermacrane sesquiterpene isolated from soft corals of the genus Litophyton.
3.2. Sec-Germacrane Sesquiterpenes
Very recently, Ahmed et al. [33] carried out chemical investigation of the Red Sea specimen L. arboreum, which was collected at Neweba, Egypt. The acyclic sesquiterpene (2E,6E)-3-isopropyl-6-methyl-10-oxoundeca-2,6-dienal (2) was found from this sample, which possessed a sec-germacrane nucleus (Figure 3). Anti-malarial bioassays disclosed the isolate 2 was active against chloroquine-sensitive (D6) and chloroquine-resistant (W2) strains of Plasmodium falciparum with IC50 values of 3.7 and 2.2 mg/mL, respectively. In addition, the metabolite 2 was non-toxic to the Vero cell line at the concentration of 4.76 mg/mL. These findings demonstrated that sesquiterpene 2 could be developed as an anti-malarial lead compound that is highly safe in the range of tested concentrations.
Figure 3.
Chemical structure of the sec-germacrane sesquiterpene from soft corals of the genus Litophyton.
3.3. Guaiane Sesquiterpenes
Interestingly, the guaiane sesquiterpenes were frequently encountered in the Red Sea soft coral L. arboreum.
Bioassay-guided fractionation of the Red Sea alcyonarian L. arboreum by Ellithey et al., which was collected at Sharm El-Sheikh, Egypt, yielded three guaiane sesquiterpenes alismol (3), 10-O-methyl alismoxide (4), and alismoxide (5) [34] (Figure 4). Compound 3 showed potent inhibitory activity against HIV-1 protease receptor with IC50 of 7.2 µM, compared to the positive control, which had IC50 of 8.5 μM. A molecular docking study disclosed the hydrogen bond between 3 and the amino acid residue Asp 25 in the hydrophobic receptor pocket with a score of −11.14. Meanwhile, sesquiterpenes 3 and 4 showed moderate cytotoxic activities against the cell lines HeLa (IC50 30 and 38 μM, respectively) and Vero (IC50 49 and 49.8 μM, respectively). Moreover, 4 exhibited moderate cytotoxicity against the U937 cell line with IC50 of 50 µM. However, 5 was judged as inactive against the above-mentioned cell lines (all IC50 > 100 µM). In a further study, compounds 2 and 5 demonstrated cytostatic action in HeLa cells, revealing potential use in virostatic cocktails. In Ellithey’s continual study [35], alismol (3) showed promising cytotoxic effects against the cancer cell lines HepG2, MDA and A549 (IC50 4.52, 7.02, and 9.23 μg/mL, respectively).
Figure 4.
Chemical structures of the guaiane sesquiterpenes from soft corals of the genus Litophyton.
Hawas’s group reported the presence of alismol (3) in a Red Sea specimen of L. arboreum collected off the coast of Jeddah, Saudi Arabia, together with another guaiane sesquiterpene alismorientol B (6) [36] (Figure 4). These two secondary metabolites were subjected to antimicrobial and cytotoxic bioassays. As a result, metabolites 3 and 6 showed weak to strong antibacterial activities against Escherichia coli ATCC 10536, Pseudomonas aeruginosa NTCC 6750, Bacillus cereus ATCC 9634, Bacillus subtilis ATCC6633, and Staphylococcus aureus ATCC5141 with MIC values ranging from 10.4 to 1.3 μg/mL. Here, compound 6 had significant activity against B. cereus ATCC 9634 with MIC of 1.3 μg/mL. Compounds 3 and 6 exhibited weak to moderate antifungal activities against Candida albicans and Aspergillus niger with MIC values ranging from 10.1 to 6.0 μg/mL. Moreover, they displayed cytotoxic effects against the cell lines MCF-7, HCT-116, and HepG2, with IC50 ranging from 4.32 to 44.52 μM. Here, compound 6 showed the most potent cytotoxic effect against MCF-7 cells with IC50 of 4.32 μM. Additionally, Hawas’s group evaluated the methanolic extract of the above-mentioned soft coral for its in vivo genotoxicity and antigenotoxicity against the mutagenicity induced by the anticancer drug cyclophosphamide [20]. The extract was found to be safe and nongenotoxic at 100 mg/kg b. wt. Moreover, the mice group of cyclophosphamide pretreated with the extract (100 mg/kg b. wt.) showed significant reduction in the percentage of chromosomal aberrations induced in bone marrow and mouse spermatocytes.
The existence of alismoxide (5) was shown in the Egyptian Red Sea L. arboreum collection from Hurghada by Mahmoud et al. [37]. In the anticancer bioassays, sesquiterpene 5 displayed no cytotoxic activities against the cell lines A549, MCF-7, and HepG2 (all IC50 > 100 µmol/mL). The co-existence of alismol (3) and alismoxide (5) as well as an undescribed sesquiterpene, litoarbolide A (7), and three known analogues 4α,7β,10α-trihydroxyguai-5-ene (8), leptocladol B (9), and nephthetetraol (10) (Figure 4) in another Egyptian Red Sea L. arboreum specimen from Neweba, was revealed by Ahmed et al.’s work [33]. Viewing from the perspective of their structures, litoarbolide A (7) was supposed to be the biosynthetic precursor to other sesquiterpenes, which could be generated via further post-translational modifications. The anti-malarial properties of substances 7–10 were evaluated. However, only compounds 9 and 10 exhibited anti-malarial activities against chloroquine-resistant P. falciparum W2 with IC50 values of 4.3 and 3.2 mg/mL, respectively.
Guaiane sesquiterpenes 10-O-methyl alismoxide (4) and alismoxide (5) were also obtained from the octocoral Nephthea sp. by Hegazy et al., which was collected from the Egyptian Red Sea off the coast of Hurghada [38]. These two metabolites showed cytotoxicity against the cell line MCF-7 (IC50 85.5 and 151.9 μg/mL, respectively).
3.4. Pseudoguaiane Sesquiterpenes
A new pseudoguaiane-type sesquiterpene named litopharbol (11) (Figure 5) was isolated from the methanolic extract of the Saudi Arabian Red Sea soft coral L. arboreum by Hawas’s group [36]. Its structure was determined through the elucidation of NMR data. Compound 11 exhibited a wide spectrum of antibacterial activities against Gram-negative bacteria E. coli ATCC 10536 and P. aeruginosa NTCC 6750, as well as Gram-positive bacteria B. cereus ATCC 9634, B. subtilis ATCC6633, and S. aureus ATCC5141 with MIC values ranging from 1.8 to 9.6 μg/mL. Among these bacteria, 11 showed significant activity against B. cereus ATCC 9634 with an MIC of 1.8 μg/mL. In addition, this sesquiterpene exhibited weak antifungal activities against C. albicans and A. niger with MIC values of 12.5 and 12.9 μg/mL, respectively. Moreover, it displayed cytotoxic effects against cell lines MCF-7, HCT-116, and HepG2 with IC50 values of 9.42, 26.21, and 38.92 μM, respectively. In Hawas’s continual study, litopharbdiol (12) was identified, which shared the same carbon framework with 11 [20] (Figure 5). However, no bioassay for this compound was reported in the article.
Figure 5.
Chemical structures of the pseudoguaiane sesquiterpenes from soft corals of the genus Litophyton.
3.5. Himachalene Sesquiterpenes
Purification of the CH2Cl2/MeOH extract of Saudi Arabian Red Sea alcyonarian L. arboreum yielded a new himachalene-type sesquiterpene 3α,6α-epidioxyhimachal-1-ene (13) (Figure 6), which showed antiproliferative effects toward three different cancer cell lines MCF-7, HCT116, and HepG-2 [39]. (It might be worth pointing out that no specific data of the bioassay results were provided in this article).
Figure 6.
Chemical structure of the himachalene sesquiterpene from soft corals of the genus Litophyton.
3.6. Eudesmane Sesquiterpenes
The n-hexane-chloroform (1:1) fraction of the Egyptian Red Sea L. arboreum sample exhibited cytotoxicity towards the A549 cell line (IC50 22.6 mg/mL) [37]. The subsequent bioassay-guided isolation yielded a eudesmane sesquiterpene 5β,8β-epidioxy-11-hydroxy-6-eudesmene (14) (Figure 7). Compound 14 exerted noticeable activity against the A549 cell line (IC50 67.3 µmol/mL) compared to etoposide as standard cytotoxic agent (IC50 48.3 µmol/mL). However, this compound did not show cytotoxic effects against cell lines MCF-7 and HepG2 (both IC50 > 100 µmol/mL).
Figure 7.
Chemical structure of the eudesmane sesquiterpene from soft corals of the genus Litophyton.
3.7. Seco-Eudesmane Sesquiterpenes
In the above-mentioned study [37], a seco-eudesmane sesquiterpene chabrolidione B (15) (Figure 8) was co-isolated. However, compound 15 was judged as inactive against the cell lines A549, MCF-7, and HepG2 (all IC50 > 100 µmol/mL).
Figure 8.
Chemical structure of the seco-eudesmane sesquiterpene from soft corals of the genus Litophyton.
3.8. Tri-Nor-Eudesmane Sesquiterpenes
The methanolic extract of the Saudi Arabia Red Sea L. arboreum collection harbored two tri-nor-eudesmane sesquiterpenes teuhetenone A (16) and calamusin I (17) [36] (Figure 9). Interestingly, these two nor-sesquiterpenes 16 and 17 displayed a wide spectrum of bioactivities. In the antibacterial bioassays, they showed moderate to strong activities against E. coli ATCC 10536, P. aeruginosa NTCC 6750, B. cereus ATCC 9634, B. subtilis ATCC6633, and S. aureus ATCC5141 with MIC values ranging from 10.9 to 1.2 μg/mL. Here, 16 exhibited the most potent activity against E. coli ATCC 10536 with an MIC of 1.9 μg/mL, and 17 displayed the most potent activity against P. aeruginosa NTCC 6750 with an MIC of 1.2 μg/mL. In the antifungal biotests, they exhibited weak to moderate activities against C. albicans and A. niger with MIC values ranging from 7.4 to 3.2 μg/mL. In the cytotoxic experiments, they displayed cytotoxic effects against cell lines MCF-7 and HepG2 with IC50 ranging from 6.43 to 39.23 μM. In addition, the methanolic extract of the Egyptian Red Sea L. arboreum sample yielded another tri-nor-eudesmane sesquiterpene 7-oxo-tri-nor-eudesm-5-en-4β-ol (18) [37] (Figure 9). However, this nor-sesquiterpene 18 did not show cytotoxic activities against the cell lines A549, MCF-7, and HepG2 (all IC50 > 100 µmol/mL).
Figure 9.
Chemical structures of the tri-nor-eudesmane sesquiterpenes from soft corals of the genus Litophyton.
3.9. Eremophilane Sesquiterpenes
11,12-Dihydroxy-6,10-eremophiladiene (19) (Figure 10) was obtained from the soft coral L. nigrum, using a structure-oriented HR-MS/MS approach [31]. This alcyonarian specimen was collected at Xisha Islands, Hainan, China. However, no bioassays were performed due to its scarcity.
Figure 10.
Chemical structure of the eremophilane sesquiterpene from soft corals of the genus Litophyton.
3.10. Nardosinane Sesquiterpenes
Interestingly, the South China Sea soft coral L. nigrum is a rich source of nardosinane sesquiterpenes.
The chemical investigation of the Xisha collection by Yang et al. afforded two new terpenes linardosinenes B (20) and C (21) [14] (Figure 11). These two compounds were evaluated for cytotoxities against different cell lines. Sesquiterpene 20 exhibited cytotoxic effect against the THP-1 cell line with IC50 of 59.49 μM, while compound 21 displayed cytotoxicities against the cell lines SNU-398 and HT-29 with IC50 of 24.3 and 44.7 μM, respectively. In their continual study on the Xisha sample, four additional new secondary metabolites linardosinenes D–G (22–25) (Figure 11) were obtained [40]. All metabolites exhibited weak inhibitory effect against bromodomain-containing protein 4 (BRD4), a promising therapeutic target in various human diseases, at a concentration of 10 μM with inhibitory rates ranging from 15.8% to 18.1%.
Figure 11.
Chemical structures of the nardosinane sesquiterpenes from soft corals of the genus Litophyton.
Using a structure-oriented HR-MS/MS approach, an undescribed sesquiterpene linardosinene I (26), along with its known 7β,12α-epimer lemnal-l(l0)-ene-7β,12α-diol (27) (Figure 11) were isolated from Xisha alcyonarian L. nigrum [31]. The absolute configuration of terpene 27 was determined to be 4S,5S,6R,7S,11S,12S by single crystal X-ray diffraction analysis with Cu Kα radiation [Flack parameter: 0.13(14)]. Sesquiterpene 26 exhibited a potent PTP1B inhibitory activity (IC50 10.67 μg/mL). It also showed moderate cytotoxic activities against the human tumor cell lines HT-29, Capan-1, and SNU-398 with IC50 values of 35.48, 42.55, and 25.17 μM, respectively. However, co-isolated metabolite 27 was inactive against PTP1B (IC50 > 20 μg/mL) or cell lines HT-29, Capan-1, and SNU-398 (all IC50 > 50 μM).
Recently, two members of this cluster, paralemnolin J (28) and (lS,8S,8aS)-l-[(E)-2′-acetoxy-l′-methylethenyl]-8,8a-dimethyl-3,4,6,7,8,8a-hexahydronaphthalen-2(1H)-one (29) (Figure 11), were isolated in the chemical investigation of a Balinese soft coral L. setoensis [16]. In terms of biological activity, cytotoxic effects against several solid tumor and leukemia cell lines HT-29, Capan-1, A549, and SNU-398 were assessed for compounds 28 and 29. As a result, both compounds showed weak cytotoxic activities against the test cell lines (all IC50 > 20 μM).
3.11. Nornardosinane Sesquiterpenes
Chemical study of Xisha alcyonarian L. nigrum afforded an uncommon nornardosinane sesquiterpene linardosinene A (30) [14] (Figure 12). The absolute configuration of 30 was determined by a modified Mosher’s method and TDDFT ECD approach. This isolate was evaluated for cytotoxicity against the THP-1 cell line and inhibitory activities against the PTP1B, BRD4, HDAC1, and HDAC6 protein kinases. However, it was inactive against the above-mentioned cell line and protein kinases.
Figure 12.
Chemical structure of the nornardosinane sesquiterpene from soft corals of the genus Litophyton.
3.12. Neolemnane Sesquiterpenes
A study on the chemical constituents of the Chinese soft coral L. nigrum yielded three new sesquiterpenes lineolemnenes A–C (31–33), which possessed the neolemnane carbon framework, together with the related known compound 4-acetoxy-2,8-neolemnadien-5-one (34) [14] (Figure 13). It might be worth pointing out that the absolute configuration of 34 was unambiguously determined to be 1S,4S,12S by X-ray diffraction analysis for the first time. The cytotoxicities of substances 31 and 32 against SNU-398, HT-29, Capan-1, and A549 were evaluated. This revealed that 31 and 32 only exhibited cytotoxic activity against SNU-398 with IC50 values of 44.4 and 27.6 μM, respectively, and none of them showed potent inhibitory activities against the PTP1B, BRD4, HDAC1, and HDAC6 protein kinases. Compound 34 was also found in the Indonesian soft coral L. setoensis, together with another sesquiterpene paralemnolin E (35) [16] (Figure 13). They were subjected to cytotoxic bioassays against several solid tumor and leukemia cell lines HT-29, Capan-1, A549, and SNU-398. The results revealed both two compounds had weak cytotoxic activities against the test cell lines (all IC50 > 20 μM). Parathyrsoidin E (36) (Figure 13) was reported in the soft coral Nephthea sp., which was collected from the Egyptian coasts of the Red Sea at Sharm El-Sheikh [41]. In silica study indicated this compound was a potential SARS-CoV-2 main protease inhibitor.
Figure 13.
Chemical structures of the neolemnane sesquiterpenes from soft corals of the genus Litophyton.
3.13. Seconeolemnane Sesquiterpenes
A new sesquiterpene lineolemnene D (37) (Figure 14) was isolated and characterized from the Xisha soft coral L. nigrum [14]. Structurally, this compound possessed an unusual seconeolemnane skeleton. The absolute configuration of 37 was determined to be 1S,4R,12S by TDDFT ECD approach. Bioassays including cytotoxicity against the THP-1 cell line and inhibitory activities against the PTP1B, BRD4, HDAC1, and HDAC6 protein kinases were performed for this isolate. However, it was judged as inactive in these biotests.
Figure 14.
Chemical structure of the seconeolemnane sesquiterpene from soft corals of the genus Litophyton.
3.14. Kelsoane Sesquiterpenes
Interestingly, a new kelsoane-type sesquiterpene, namely kelsoenethiol (38) (Figure 15), was obtained from the Formosan soft coral N. erecta [30]. Its structure was elucidated with the assistance of quantum chemical calculations. The cytotoxicities of 38 against A-459, P-388, and HT-29 cancer cell lines were evaluated in vitro. The results revealed compound 38 exhibited cytotoxic activities against P-388 and HT-29 cells with ED50s of 1.3 and 1.8 μg/mL, respectively.
Figure 15.
Chemical structure of the kelsoane sesquiterpene from soft corals of the genus Litophyton.
4. Bis-Sesquiterpenes
This group of terpenes were extremely uncommon secondary metabolites identified from the genus Litophyton with only two members (Table S1). They were described as two subgroups according to their respective monomers: bis-kelsoane dimer and eremophilane-nardosinane dimer (Figure 16). All of them were the most unique type of natural products from this genus, since they were only obtained from the octocorals N. erecta and L. nigrum (Table S1).
Figure 16.
Carbon frameworks of the bis-sesquiterpenes from soft corals of the genus Litophyton.
4.1. Bis-Kelsoane Dimers
Interestingly, a new kelsoane-type bis-sesquiterpene, namely dikelsoenyl ether (39) (Figure 17), was obtained from the Formosan soft coral N. erecta [30]. Its structure was elucidated with the assistance of quantum chemical calculations. The cytotoxicties of 38 against A-459, P-388, and HT-29 cancer cell lines were evaluated in vitro. However, it was judged as inactive.
Figure 17.
Chemical structure of the kelsoane-type bis-sesquiterpene from soft corals of the genus Litophyton.
4.2. Eremophilane-Nardosinane Bis-Sesquiterpenes
Interestingly, one uncommon sesquiterpe dimer, linardosinene H (40) (Figure 18), was found in the soft coral L. nigrum collected at Xisha Islands, South China Sea, whose structure consisted of an eremophilane sesquiterpene 19 and a nardosinane sesquiterpene 26 [31]. Contrast to its monomer 26, this bis-sesquiterpene 40 did not exhibit inhibitory activity against PTP1B (IC50 > 20 μg/mL) or the cell lines HT-29, Capan-1, A549, and SNU-398 (all IC50 > 20 μM).
Figure 18.
Chemical structure of the eremophilane-nardosinane bis-sesquiterpene from soft corals of the genus Litophyton.
5. Diterpenes
Diterpenes were the largest cluster of terpenes consisting of 46 compounds. Structurally, this category of secondary metabolites could be divided into six subgroups: cembranes, eunicellanes, serrulatanes, 5,9-cyclized serrulatanes, chabrolanes, and prenylbicyclogermacranes (Figure 19). Analysis of taxonomical distributions revealed they were obtained from L. viridis, L. arboreum, Litophyton viscudium, L. setoensis, Nephthea columnaris, Nephthea chablrolii, and unclearly indentified Litophyton sp. and Nephthea sp., which were collected in the Red Sea and the waters around Indonesia, Taiwan, Malaysia, and Japan (Table S1).
Figure 19.
Carbon frameworks of the diterpenes reported from soft corals of the genus Litophyton.
5.1. Cembrane Diterpenes
In 1975, Tursch et al. reported the isolation and structure elucidation of a new compound 2-hydroxynephtenol (41) and its known analogue nephtenol (42) (Figure 20) from the alcyonarian L. viridis, collected off Serwaru (Leti Island, Maluku Province, Indonesia) [29]. Based on the chemical transformation, the absolute configuration of 42 was determined as 1R. These two terpenoids were also obtained from the Bornean octocoral Nephthea sp. [42]. Biological evaluation revealed they did not exhibit repellent activity against the maize weevil Sitophilus zeamais at 250 μg/cm2.
Figure 20.
Chemical structures of the cembrane diterpenes from soft corals of the genus Litophyton.
A new cembrane diterpene (3E,11E)-cembra-3,8(19),11,15-tetraene-7α-ol (43) (Figure 20), along with the known nephthenol (42), was isolated from the Red Sea soft coral L. arboreum, which was collected from Hurghada, Egypt [43]. The relative configuration of 43 was determined as 1R,7R. The (3E)- and (11E)-configurations were determined by comparison of the 13C chemical shifts for C-18 and C-20 methyl signals (<20.0 ppm). The biogenetical pathway of new terpene 43 from structurally related metabolite 42 was proposed in this work. Intrestingly, nephthenol (42) was also found in another Red Sea sample of L. arboreum collected from Jeddah coast, Saudi Arabia [20].
Chemical investigation of the chemical constituents of another Egyptian specimen L. arboreum collected from Sharm El-Sheikh led to the discovery of sarcophytol M (44) [34] (Figure 20). Compound 44 displayed a wide spectrum of bioactivities. It showed weak inhibitory activity against HIV-1 protease receptor with IC50 of 15.7 µM, compared to the positive control, which had IC50 of 8.5 μM. A molecular docking study disclosed the hydrogen bond between 44 and the amino acid residue Asp 25 in the hydrophobic receptor pocket with a score of −14.44, and sesquiterpene 44 showed moderate cytotoxic activities against the cell lines HeLa (IC50 27.5 μM), Vero (IC50 22 μM), and U937 (IC50 31.7 μM).
Sarcophytol M (44) co-existed with a pyrane-based cembranoid 11-acetoxy-15,17-dihydroxy-2,12-epoxy-(3E,7E)-1-cembra-3,7-diene (45) (Figure 20) in the extract of Saudi Arabian alcyonarian L. arboreum [39]. Both compounds displayed antiproliferative effects toward cancer cell lines MCF-7, HCT116, and HepG-2 in comparison with standard anticancer drug (Doxorubicin). Here, 45 showed significant antiproliferative activities against the cell lines MCF-7, HCT116, and HepG2 (IC50 19.1, 22.0, 24.0 μM, respectively). Further investigation on the possible mechanism of action had been conducted. The results showed 45 significantly increased the G0/G1 non-proliferating cell fraction from 55.42% to 68.98% with a compensatory decrease in cell populations in S-phase and G2/M-phase from 31.99% to 21.99% and from 10.82% to 7.63%, respectively.
Chemical study of the soft coral L. arboreum, collected near Bali, Indonesia, afforded a furanocembranoid diterpene 11β,12β-epoxypukalide (46) (Figure 20) [32]. This diterpene 46 showed low antiproliferative activities against the cell lines L-929 and K-562 (both GI50 > 129 μM), and low cytotoxic effect against the HeLa cell line (CC50 115 μM).
Chemical investigation of the octocoral N. columnaris, collected off the waters of Taiwan, yielded four new 15-hydroxycembranoid diterpenes, namely columnariols A (47) and B (48) [44], 2β-hydroxy-7β,8α-epoxynephthenol (49), and 2β-hydroxy-11α,12β-epoxynephthenol (50), along with a new natural cembrane, epoxynephthenol (51) [45] (Figure 20). In the anti-inflammatory effects test, cembranes 47 and 48 were found to significantly inhibit the accumulation of the pro-inflammatory iNOS and COX-2 protein of the lipopolysaccharide (LPS)-stimulated RAW264.7 macrophage cells [44]. The cytotoxicities of compounds 47–51 against the proliferation of a panel of tumor cell lines, including MOLT-4, SUP-T1, U-937, DLD-1, LNCaP, and MCF7 were also studied [44,45]. However, only 47 exhibited moderate cytotoxicity toward LNCaP cells with an IC50 value of 9.80 μg/mL [44].
Three new cembranoid diterpenes, 10-hydroxy-nephthenol acetate (52), 7,8-epoxy-10-hydroxy-nephthenol acetate (53), and 6-acetoxy-7,8-epoxy-10-hydroxy-nephthenol acetate (54), along with a known compound, 6-acetoxy-7,8-epoxy-nephthenol acetate (55), were isolated from the Bornean soft coral Nephthea sp. [46] (Figure 20). These four isolates were subjected to antibacterial activity test against four antibiotic resistant bacterial strains S. aureus ATCC 6538, Listeria monocytogenes ATCC 19113, E. coli ATCC 35210, and Salmonella typhimurium ATCC 13311, and three cancer cell lines HeLa, MCF-7, and HT-29. As a result, compound 52 exhibited potent antibacterial activity against S. aureus and E. coli with an MBC/MIC ratio of 2.4 and 3.0, respectively, indicating a bactericidal antibiosis. On the other hand, compound 53 exhibited bacteriostatic antibiosis with a ratio of 6.0 against both the bacteria. Suppression of Hela and MCF-7 cell lines by compounds 52 and 53 was observed with IC50 values ranging from 25.0 to 125.0 μg/mL.
Further study on the Bornean alcyonarian Nephthea sp. led to the discovery of three new cembrane diterpenes, nephthecrassocolides A and B (56 and 57) and 6-acetoxy nephthenol acetate (58), along with three known compounds, nephthenol (42), 6-acetoxy-7,8-epoxy nephthenol acetate (55), and epoxy nephthenol acetate (59) [47] (Figure 20). All isolated compounds 41 and 54–58 displayed different levels of antifungal activities against Exophiala sp. NJM 1551, Fusarium moniliforme NJM 8995, Fusarium oxysporum NJM 0179, Fusarium solani NJM 8996, Haliphthoros sabahensis IPMB 1402, Haliphthoros milfordensis IPMB 1603, and Lagenidium thermophilum IPMB 1401. The most active compounds were 41 and 55 with an MIC value of 12.5 μg/mL against hyphal inhibition of L. thermophilum IPMB 1401.
5.2. Eunicellane Diterpenes
In 1987, Ochi et al. reported eunicellane diterpenes from the Litophyton animals for the first time. They were litophynins A (60) and B (61) (Figure 21) from the soft coral Litophyton sp., which was collected from a shallow area of Sukumo Bay in Kochi Prefecture, Japan [48]. Their structures were fully characterized by extensive 2D NMR studies and molecular mechanics calculations. Structurally, 81 was the butyric ester derivative of 60. In the artificial diet feeding bioassay, they exhibited insect growth inhibitory against the silkworm, Bombyx mori L., with ED50 values of 12 and 2.7 ppm, respectively.
Figure 21.
Chemical structures of the eunicellane diterpenes from soft corals of the genus Litophyton.
Inspired by this work, Ochi et al. performed further investigations on the insect growth inhibitory diterpenoids from the previously studied alcyonarian Litophyton sp., leading to the discovery of an array of new eunicellane diterpenes including litophynins C (62) [49], D (63) [50], E (64) [50], F (65) [51], G (66) [51], H (67) [51], I (68) [52], and J (69) [52] (Figure 21). The differences among their structures were mainly at the segment C-6, C-7 and C-16, which usually formed a double bond Δ6 (endo), or Δ7(16) (exo) accompanied with a hydroxy or a ketone at C-6. The hydroxylation or acetylation at C-12/C-13 was also observed. The absolute configuration of litophynin C (62) was determined by analysis of CD spectrum of its p-bromobenzoate, based on the exciton chirality method of allylic alcohol benzoate [49]. Similarly, the absolute configuration of litophynin D (63) was determined by an application of the dibenzoate chirality rule [50].
Interestingly, these diterpenes exhibited various bioactivities. Litophynins C (62) and G (66) displayed insect growth inhibitory activity against the second instar larvae of the silkworm B. mori L. (ED50 25 [49] and 42 [51] ppm, respectively). Litophynin D (63) exhibited significant brine shrimp lethality (LD50 0.9 ppm) [50]. Litophynins I (68) and J (69) possess significant molluscicidal and repellent activities against the muricid gastropod Drupella fragum [52]. At 30 ppm concentration, diterpenes 68 and 69 exhibited 100% mortality to the snail within 24 h. They were also repellent to the gastropod when impregnated on filterpaper by 45 μg/cm2. These compounds, in combination with a wide variety of compounds stored in skin glands of Litophyton sp., appeared to be the foundation of a chemical defense adaptation to survive in predator-rich environments.
Litophynin C (62) (Figure 21) was also reported in the soft coral Nephthea sp., which was collected from the Egyptian coasts of the Red Sea at Sharm El-Sheikh [41]. In silica study indicated this compound was a potential SARS-CoV-2 main protease inhibitor.
Miyamoto et al. investigated the chemical constituents of the mucus secreted by the soft coral Litopbyton sp., which was collected from the rocky coast of Nango-cho, Miyazaki Prefecture, Japan [53]. In this study, two new eunicellin-type diterpenoids, litophynols A (70) and B (71), and three known diterpenoids litophynins E (64), H (67), and I monoacetate (72) (Figure 21) were identified. The absolute configurations of litophynols A (70) and B (71) were determined by application of the CD exciton chirality method, while the absolute configuration of litophynin E (64) was assigned by the Mosher’s method. Additionally, the absolute configurations of litophynin E (64) and litophynol B (71) were further confirmed by the application of the octant rule to their ozonolysis products, respectively. Interestingly, it was found that these five eunicellin-based diterpenoids were also present in the animal bodies of Litopbyton sp. but in low yields compared with the mucus. The performed bioassays revealed these five isolates were positive in a hemolytic reaction test, and crude diterpenoid fractions exhibited ichthyotoxicity (IC100 20 ppm). This suggests that this soft coral holds eunicellin-type diterpenoids in its mucus for the purpose of defense against predators.
Iwagawa et al. found that the CH2Cl2-soluble portion of the MeOH extract of the Japanese alcyonarian L. viscudium showed moderate cytotoxic activity (IC50 = 6.9 μg/mL) against the proliferation of human promyelocytic leukemia cells (HL-60) [17]. Study on the chemical compositions of this species yielded five new eunicellin-type diterpenes, 6-oxo litophynin H (73), 6-oxo litophynin H 12-acetate (74), 6-oxo litophynol A (75), 6-epi litophynol A (76), and 6-methyl litophynol E (77), together with a previously reported litophynin F (65) (Figure 21) [17]. These secondary metabolites exhibited different levels of cytotoxicities against HL-60. Diterpenes 73 and 74 having a hydroxyl group or acetoxyl group at C-12 showed moderate cytotoxic activities (both IC50 20 μM), while compound 75 possessing an additional hydroxyl group at C-8 and its reduced derivative 76 exhibited significant cytotoxic activities (IC50 5.7 and 4.2 μM, respectively). The C-6 methoxyl and C-7 hydroxyl groups dramatically reduced the toxicity of diterpene 77 (IC50 50 μM). Compound 75 with the absence of a hydroxyl group at C-8 and the presence of a β-hydroxyl group at C-6 displayed much less cytotoxic activity (IC50 18 μM) than that of 76.
5.3. Serrulatane Diterpenes
Two secondary metabolites lemnabourside (78) and biflora-4,9,15-triene (79) (Figure 22), which possessed the serrulatane carbon framework, were obtained from the soft coral L. setoensis collected along the coast of Singaraja, Bali Island, Indonesia [16]. In the bioassays, compounds 78 and 79 showed weak cytotoxic activities against the test cell lines HT-29, Capan-1, A549, and SNU-398 (all IC50 > 20 μM).
Figure 22.
Chemical structures of the serrulatane diterpenes from soft corals of the genus Litophyton.
5.4. 5,9-Cyclized Serrulatane Diterpenes
Interestingly, five new diterpenes, litosetoenins A–E (80–84) (Figure 23), were isolated from a Balinese alcyonarian L. setoensis [16]. Their structures were elucidated by extensive spectroscopic analysis, quantum mechanical nuclear magnetic resonance approach, and chemical transformations. All of them possessed a rearranged serrulatane-type backbone with an unusual tricyclo[3.0.4]decane core. Moreover, 82–84 displayed intriguing tetracyclic backbones bearing either an additional tetrahydropyran or tetrahydrofuran ring, which were unprecedented and unique. All the isolates were subjected to the cytotoxic bioassays against cell lines HT-29, Capan-1, A549, and SNU-398. As a result, all the metabolites showed weak cytotoxic activities against these cell lines with IC50 values > 20 μM.
Figure 23.
Chemical structures of the 5,9-cyclized serrulatane diterpenes from soft corals of the genus Litophyton.
5.5. Chabrolane Diterpenes
Cytotoxicity-guided fractionation of the ethyl acetate extract of the soft coral N. chablrolii led to the isolation of a novel diterpene, chabrolin A (85) [54] (Figure 24). This secondary metabolite possessed an unprecedented terpenoid skeleton, which was tentatively named chabrolane. Compound 85 displayed cytotoxicity against P-388, with ED50 value of 3.18 μg/mL. However, 85 was not cytotoxic to A549 and HT-29 cell lines. Diterpene 85 was also examined for the antiviral activity against HCMV, but it was inactive.
Figure 24.
Chemical structure of the chabrolane diterpene from soft corals of the genus Litophyton.
5.6. Prenylbicyclogermacrane Diterpenes
The prenylbicyclogermacrane-type diterpene, pacificin H (86) (Figure 25), was found in the soft coral Nephthea sp., which were collected from the Egyptian coasts of the Red Sea at Sharm El-Sheikh [41]. In silica study indicated this compound was a potential SARS-CoV-2 main protease inhibitor.
Figure 25.
Chemical structure of the prenylbicyclogermacrane diterpene from soft corals of the genus Litophyton.
6. Norditerpenes
A new norditerpene, chabrolene (87) (Figure 26), was isolated from Nephthea sp. collected from Mantanani Island, Sabah, Malaysia [42]. It might be worth pointing out that natural C17 compound with a 14-membered cyclic tetraene is extremely rare. This was the second report of a C17 norditerpene with a 14-membered ring from marine organisms. Compound 87 exhibited repellent activity against the maize weevil S. zeamais at 25 μg/cm2.
Figure 26.
Chemical structure of the norditerpene from soft corals of the genus Litophyton.
7. Tetraterpenes
As revealed in literature, there was only one member of tetraterpene found in the genus Litophyton. That was all-trans-peridinin (88) (Figure 27), obtained from the Red Sea soft coral L. arboreum [43]. Terpene 88 showed moderate antiproliferative activities against cell lines HUVEC and K-562 (GI50 48.4 and 53.8 μM, respectively), and moderate cytotoxicity against the HeLa cell line (IC50 51.9 μM).
Figure 27.
Chemical structure of the tetraterpene from soft corals of the genus Litophyton.
8. Meroterpenes
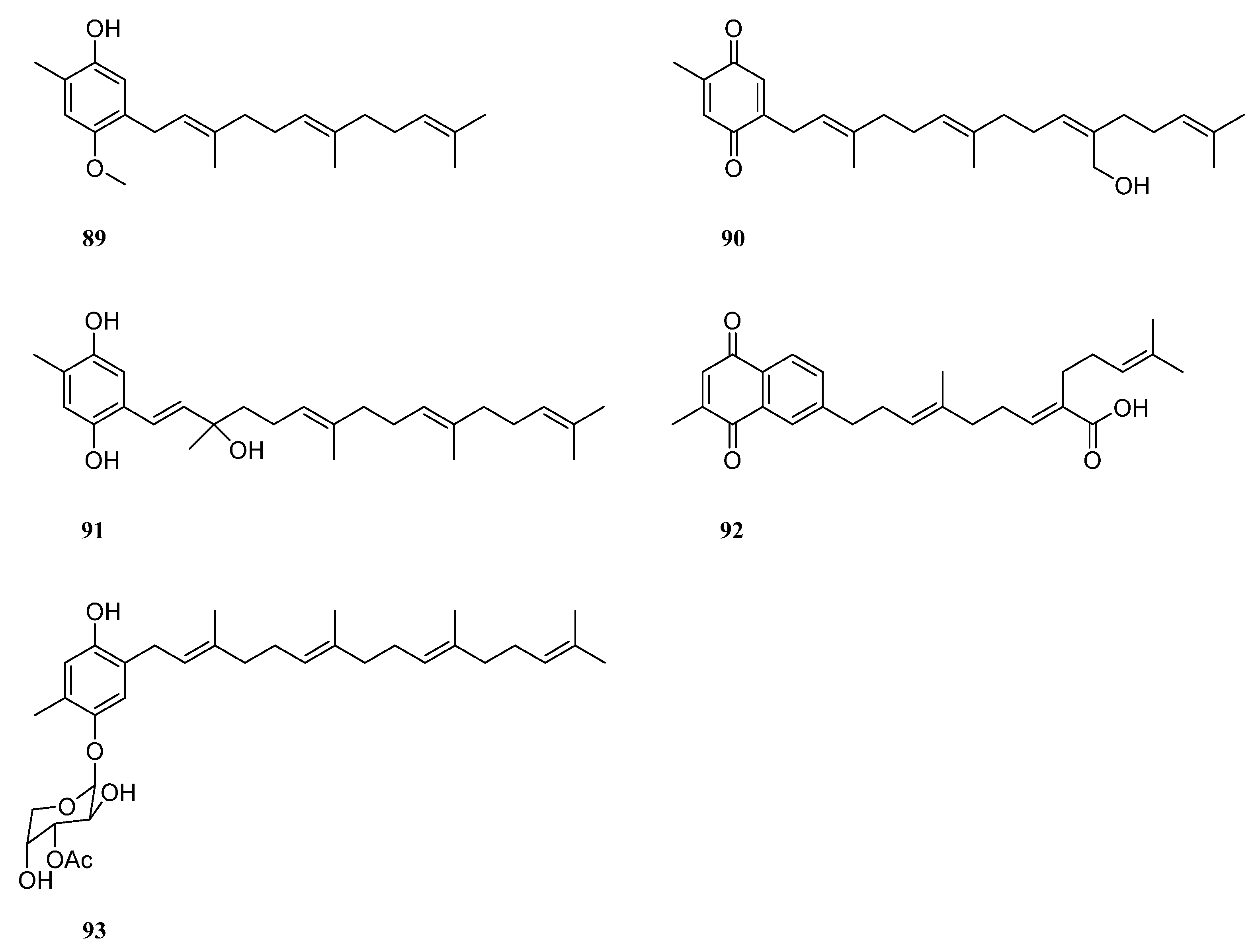
Four meroterpenes, O-methylisogrifolin (89), chabrolobenzoquinone E (90), chabrolohydroxybenzoquinone E (91), chabrolonaphthoquinone A (92), and nephthoside monoacetate (93), were identified from the Red Sea soft coral Nephthea sp. [41] (Figure 28). In silica studies indicated that these compounds were potential SARS-CoV-2 main protease inhibitors.
Figure 28.
Chemical structures of the meroterpenes from soft corals of the genus Litophyton.
9. Steroids
Reports on the steroids from the genus Litophyton started in 1976, when two 19-hydroxysterols were reported from L. viridis by Bortolotto et al. [55]. Till now, 59 steroids had been obtained from six species, including L. viridis, Litophyton mollis, L. arboreum, N. columnaris, N. erecta, N. chabrolii, and unclearly identified Litophyton sp. and Nephthea sp. Structurally, 4α-methylated, ergostane-, cholestane-, and pregnane-type steroids dominated the steroidal profiling of this genus, with a few exceptions. The exceptional cases include one stigmastane steroid, one 13,14-seco steroid, one 4α,23-dimethylated ergostane steroid, and one rearranged steroid (Table S1). Considering their possible biogenetical relationships, the following presentation of steroids was divided into four major categories: 4α-methylated, ergostane, cholestane, pregnane, and their related steroids.
9.1. 4α-Methylated Steroids
Examination of less polar fractions of the extract of the Indonesian soft coral L. viridis, which was collected in the Lesser Sunda Islands, led to the isolation of a novel polyoxygenated sterol 4α-methyl-3β,8β-dihydroxy-5α-ergost-24(28)-en-23-one (94) [56] (Figure 29). The structure and relative configuration of 94 were established unambiguously by X-ray diffraction analysis on its p-bromobenzoate derivative. This steroid was also obtained from Bornean octocoral Nephthea sp. [42]. Biological evaluation revealed compound 94 did not exhibit repellent activity against the maize weevil S. zeamais at 250 μg/cm2.
Figure 29.
Chemical structures of the 4α-methylated steroids from soft corals of the genus Litophyton.
Končić et al. conducted the first chemical investigation on the metabolic profile of the Red Sea alcyonarian L. mollis, resulting in the isolation of ten 4α-methylated steroids 95–104 [57] (Figure 29). These steroids differed not only in the substitution of hydroxyl groups at the steroidal nucleus but also in diverse oxidation of side chains. The absolute configuration of C-24 in compounds 96, 99, and 103 was assigned as R based on the chemical shift difference between C-26 and C-27 carbon atoms, which was a powerful rule to determine the absolute configuration of steroidal side chains [58,59,60]. The cytotoxic activities of metabolites 95–103 were evaluated against cell lines K562 and A549 [57]. As a result, compounds 95 and 99–102 displayed potent cytotoxicity against K562 cells with IC50 values ranging from 5.6 to 8.9 μM. Meanwhile, these compounds showed low toxicity against healthy PBMCs, thus denoting interesting differential toxicity. Additionally, the tested steroids exhibited moderate levels of toxicity against A549 cells with IC50 values around 20 μM, further underlining their antileukemic activity.
Almost at the same time, sterol 96 was reported as a new compound from the Red Sea octocoral Nephthea sp., together with its analogue 94 and 4α,24R-dimethyl-5α-cholest-22-en-3β-ol (105) [38] (Figure 29). These three metabolites showed cytotoxicity against the cell line MCF-7 (IC50 124.3, 113.6 and 201.7 μg/mL, respectively). Further study indicated the gastroprotective potential of 96 in ethanol-induced gastric ulcers in rats [61].
The Red Sea soft coral L. arboreum was frequently encountered by marine natural product chemists. Shaker et al. found that the Egyptian specimen L. arboreum harbored 4α,24-dimethyl-cholest-22Z-en-3β-ol (106) (Figure 29), the complete assignments of 13C NMR data of which was reported for the first time [62]. Interestingly, the presence of nebrosteroid M (98) in another Egyptian sample of L. arboreum had been reported by Mahmoud et al., which was collected in front of the National Institute of Oceanography and Fisheries at Hurghada province [37]. It was also found that sterol 98 showed cytotoxic effect against A549 cell line (IC50 36.9 μmol/mL). Moreover, this compound exhibited moderate cytotoxicity against MCF-7 (IC50 55.3 μmol/mL), but no activity against HepG2 (IC50 > 100 μmol/mL).
Ahmed et al. also made an Egyptian collection of L. arboreum from Neweba. Chemical investigation of this sample led to isolation of previously reported 4α-methylated steroids 98, 99, and 103 [33] (Figure 29). Anti-malarial activities against chloroquine-sensitive (D6) and chloroquine-resistant (W2) strains of P. falciparum, together with the cytotoxic effect against the Vero cell line, were evaluated for these three isolates. However, they were judged as inactive at the concentration of 4.76 mg/mL in the above-mentioned bioassays.
A new marine sterol, 4α-methylergosta-22(E),24(28)-dien-3β-ol (107) (Figure 29), was isolated from the Formosan octocoral N. columnaris [63]. Its analogue 4α-methyl-ergosta-6,8(14),22E-triene-3β-ol (108) (Figure 29) was obtained from the Red Sea soft coral Nephthea sp. [41]. In silica studies indicated that this compound was a potential SARS-CoV-2 main protease inhibitor.
9.2. Ergostane-Type and Related Steroids
Two novel polyhydroxylated sterols, 24-methylenecholest-5-en-3β,7β,19-triol (109) and its 7-monoacetate derivative (110) (Figure 30), were isolated from the soft coral L. viridis, collected off Serwaru, Leti Island, Maluku Province, Indonesia [55]. The structure of 109 had been established by X-ray diffraction analysis [64]. It was said these two substances were the first instances of naturally occurring 19-hydroxysterols [55]. More than ten years later, another two new 19-hydroxysterols, litosterol (111) and 5,6-epoxylitosterol (112) (Figure 30), were reported from the Okinawan sample L. viridis [65]. The latter compound showed an antileukemic activity (IC50 0.5 μg/mL) against leukemia cells P388 in vitro.
Figure 30.
Chemical structures of the ergostane-type and related steroids from soft corals of the genus Litophyton.
Interestingly, 19-hydroxysterols 109 and 110 were widely distributed in the species L. arboreum collected at different waters.
Study on the substances of South China Sea alcyonarian L. arboreum, which was collected at Xisha Islands, led to the co-isolation of the previously reported sterol 107 and undescribed (24E)-24-ethyl-5α-cholesta-8,24(28)-diene-3β,12β,19-triol (113) [66] (Figure 30).
Chemical investigation of the Egyptian Red Sea soft coral L. arboreum by Ellithey et al., which was collected from Sharm El-Sheikh, revealed the co-existence of three steroids—109, 110, and 24-methylcholesta-5,24(28)-diene-3β-ol (114) [34] (Figure 30). Compounds 109 and 110 demonstrated strong cytotoxicity against HeLa cells (IC50 8 and 5.3 μM, respectively) and moderate cytotoxicity against U937 cells (IC50 16.4 and 10.6 μM, respectively), whereas steroid 114 showed weak cytotoxicity against HeLa cells (IC50 48 μM) and no potent cytotoxicity against U937 cells (inhibition rates < 80%). Moreover, sterol 110 displayed strong inhibitory activity against HIV-1 protease witht IC50 of 4.85 μM. In Ellithey’s continuous study, sterols 109 and 110 had strong cytotoxic effects against cancer cell lines HepG2 (IC50 8.5 and 6.07 μg/mL, respectively), MDA (IC50 5.5 and 6.3 μg/mL, respectively) and A549 (IC50 9.3 and 5.2 μg/mL, respectively) [35].
Interestingly, these three sterols 82, 83, and 87 were also reported from the Red Sea octocoral Nephthea sp. [38]. These secondary metabolites were found cytotoxic against the cell line MCF-7 (IC50 56.6, 37.0 and 339.2 μg/mL, respectively).
Co-existence of three known secondary metabolites 109, 111, and 114 in the Egyptian Red Sea collection L. arboretum from Hurghada was reported by Shaker et al. [62]. Recently, a study on another Egyptian Red Sea alcyonarian L. arboreum collected at the same coast by Mahmoud et al. disclosed the existence of sterol 114, too [37]. In this study, metabolite 114 exhibited noticeable cytotoxicity against A549 cell line (IC50 28.5 μmol/mL) and weak cytotoxic activities against both cell lines MCF-7 and HepG2 (IC50 70.0 and 77.6 μmol/mL, respectively).
Chemical study of Egyptian Red Sea collection L. arboreum from Neweba afforded steroids 110, 111, 3β,7β-dihydroxy-24-methylenecholesterol (115), and chabrolosteroid I (116) [33] (Figure 30). Anti-malarial bioassays indicated that compound 115 displayed weak activity against chloroquine-resistant strain P. falciparum W2 with IC50 of 4.0 mg/mL, but was inactive against chloroquine-sensitive strain P. falciparum D6 at the concentration of 4.76 mg/mL.
A novel seco-steroid 13,14-seco-22-norergosta-4,24(28)-dien-19-hydroperoxide-3-one (117) (Figure 30) together with the known one 110 were found in the chemical investigation of Saudi Arabian Red Sea specimen L. arboreum by Ghandourah et al., which was collected from the North of Jeddah coast [39]. They showed antiproliferative effects toward three different cancer cell lines, MCF-7, HCT116, and HepG-2. (It might be worth pointing out no specific data were provided in this article.) In addition, Hawas et al. reported the presence of sterols 109 and 114 in another Saudi Arabian Red Sea sample L. arboreum [20].
Extensive studies indicated the methanolic extract of Egyptian Red Sea alcyonarian Litophyton sp. showed anti-colon cancer therapeutic potential. [19] The subsequent chromatography resulted in the purification of two polyhydroxylated sterols sarcsteroid F (118) and 24-methylenecholestane-1α,3β,5α,6β,11α-pentol-11-monoacetate (119) (Figure 30).
It might be worth pointing out that the Formosan soft corals of the title genus were abundant sources of ergostane-type and related degraded steroids.
In order to search for novel bioactive substances from Formosan soft coral N. chabrolii, two new 19-oxygenated steroids, nebrosteroids O and P (120 and 121) (Figure 30), were isolated [67]. Their cytotoxicities against A549, HT-29, and P-388 cell lines were evaluated, and the results showed they exhibited different levels cytotoxic activities with ED50 values ranging from 1.2 to 9.5 μg/mL. They were also examined for their antiviral activity towards human cytomegalovirus (HCMV) using a human embryonic lung (HEL) cell line. However, all of them were found to be inactive (ED50 > 100 μg/mL). Further chemical profiling of this specimen led to a new 19-oxygenated steroid, nebrosteroid Q (95) and two new cytotoxic 19-norergosterols, nebrosteroids R and S (123 and 124) [68] (Figure 30). Interestingly, these three sterols also displayed cytotoxic activities against A549, HT-29, and P-388 cell lines, but none of them was found to have anti-HCMV activity.
Chemical investigation of the Formosan octocoral N. columnaris yielded the polyhydroxyl sterol nephalsterol A (125) [45] (Figure 30). This metabolite 125 was found to exhibit cytotoxicities toward a panel of tumor cell lines, including MOLT-4, SUP-T1, U-937, DLD-1, LNCaP, and MCF7 with IC50 values of 22.5, 32.4, 38.6, 44.2, 11.6, and 9.8 μM, respectively. This naturally occurring marine steroid was synthesized and characterized as a novel neuroprotectant through negative modulation of NMDA receptors [69]. Recently, it was reported that its synthetic neuroactive derivative 5α-androst-3β,5α,6β-triol protected retinal ganglion cells from ischemia–reperfusion injury by activating the Nrf2 pathway [70].
Columnaristerol A (126) (Figure 30), a rare natural 19-norergostane sterol possessing a 10β-hydroxy group, was isolated from another Formosan octocoral N. columnaris [71]. Compound 126 might be derived from 24-methylenecholesterol (114) through oxidation and decarboxylation. Based on the biosynthetic derivation, the absolute configurations for the chiral carbons of 126 were assigned as 3S,8S,9S,10S,13R,14S,17R,20R. The cytotoxic effects of secondary metabolite 126 against the cell proliferation of a panel of human leukemia–lymphoma cell lines, including K-562, MOLT-4, SUP-T1, and U-937, were tested. The results revealed that 126 possessed moderate cytotoxic effects towards MOLT-4 and SUP-T1 cells (IC50 18.3 and 25.5 μM, respectively). Further study on this species disclosed the presence of two new sterols, columnaristerols B (127) and C (128), along with two previously reported analogues, litosterol (111) and 5,6-epoxylitosterol (112) [72] (Figure 30). In vitro anti-inflammatory activity assays revealed that sterol 85 had inhibitory effects on the generation of superoxide anions and the release of elastase, with IC50 values of 4.60 and 3.90 μM, respectively.
A new 10-demethylated steroid, nephtheasteroid A (129), a new 19-oxygenated steroid, nephtheasteroid B (130), as well as five known steroids 114 and 131–134 (Figure 30) were isolated from the organic extract of a Formosan soft coral N. erecta [73]. The cytotoxicity of these isolates against the proliferation of a limited panel of cancer cell lines, including K562, Molt-4, Sup-T1, and U937, was evaluated. As a result, compounds 131–133 exhibited cytotoxicity against all or part of the above cell lines with IC50 values ranging from 6.5 to 19.9 μM. Further study indicated sterol 133 inhibited human small cell lung cancer growth via apoptosis induction [74].
Chabrolosteroid C (135), a steroid with a unique spirocyclic carbon skeleton, was identified from the Red Sea soft coral Nephthea sp., together with nebrosteroid O (120) and ergost-5,25-diene-3β,24S,28-triol (136) [41] (Figure 30). In silica study indicated these compounds were potential SARS-CoV-2 main protease inhibitors.
9.3. Cholestane-Type and Related Steroids
A new 19-oxygenated steroid nebrosteroid N (137) (Figure 31) was isolated from Formosan soft coral N. chabrolii [67]. This sterol exhibited cytotoxicities against A549, HT-29, and P-388 cell lines with ED50 values of 6.7, 9.5, 0.9 μg/mL, respectively. However, it did not show anti-HCMV activity (ED50 > 100 μg/mL).
Figure 31.
Chemical structures of the cholestane-type and related steroids from soft corals of the genus Litophyton.
A new steroid possessing an α,β-α′,β′-unsaturated carbonyl moiety was identified in the South China Sea alcyonarian Nephthea sp., which was established as (20S,22R)-progesterone-1,4-diene-22-acetyl-3-one (138) [75] (Figure 31). This compound displayed weak cytotoxicities against A549 and Hepg2 cell lines. Further study on this species yielded six more cholesta-1,4-dien-3-one derivatives; 139–144 were found [76] (Figure 31). The absolute configuration at C-22 of 139 was determined to be R by Mosher’s method. All isolated compounds exhibited cytotoxic activity against HeLa cells with IC50 values ranging from 7.51 to 18.72 μg/mL. Interestingly, the existence of a novel unusual pentacyclic hemiacetal sterol nephthoacetal (145) (Figure 31) in the soft coral Nephthea sp. was disclosed [77]. Compound 145 not only strongly inhibited the settlement of Bugula neritina larvae with an EC50 value of 2.5 μg/mL, but also exhibited low toxicity towards this species of larvae with LC50 > 25.0 μg/mL. Moreover, this sterol showed moderate cytotoxicity against HeLa cells with an EC50 value of 12.3 μg/mL. Recently, dendronesterone C (146) (Figure 31) was obtained from the soft coral Nephthea sp., which were collected from the Egyptian coasts of the Red Sea at Sharm El-Sheikh [41]. In silica study indicated this compound was a potential SARS-CoV-2 main protease inhibitor.
9.4. Pregnane-Type and Related Steroids
Chemical profiling of a Nephthea sp. soft coral yielded six pregnane steroids, including (17α)-pregnan-4-ene-3,20-dione (147), (20S)-pregnan-1,4-diene-3-oxo-20-carboxylic acid methyl ester (148), pregnan-4-ene-3,6,20-trione (149), (20R)-pregnan-4,16-dien-20-hydroxy-3-one (150), pregnan-15β-hydroxy-4,6-diene-3,20-dione (151), and pregnan-4,6-diene-3,20-dione (152) [78] (Figure 32).
Figure 32.
Chemical structures of the pregnane-type and related steroids from soft corals of the genus Litophyton.
10. Nitrogen-Containing Metabolites
Nitrogen-containing metabolites were a small cluster of secondary metabolites from the genus Litophyton. This cluster consisted of 11 compounds, which could be divided into three subgroups: ceramides, pyrimidines, and peptides. These secondary metabolites were isolated from the species L. arboretum and Nephthea sp., which live in different regions of Red Sea and South China Sea (Table S1).
10.1. Ceramides
Chemical investigation of Red Sea alcyonarian L. arboreum from Sharm El-Sheikh, Egypt, afforded erythro-N-dodecanoyl-docosasphinga-(4E,8E)-dienine (153) (Figure 33) [34]. This metabolite showed strong inhibitory activity against HIV-1 protease (IC50 4.80 μM) but exhibited weak cytotoxicity against the HeLa cell line (IC50 38.17 μM). Additionally, the wide distribution of ceramide 153 in different collections of L. arboreum from Jeddah, Saudi Arabia [36,39], and Neweba, Egypt [33] was disclosed in these studies. It was also found in the octocoral Nephthea sp., which was collected from the Egyptian Red Sea off the coast of Hurghada [38]. Moreover, this metabolite 153 showed cytotoxicity against MCF-7 cell line (IC50 238.5 μg/mL). However, the chemical investigation of the sample L. arboreum from Hurghada, yielded a different ceramide, erythro-N-palmityl-octadecasphinga-4(E),8(E)-dienine (154) [62] (Figure 33). This ceramide was also reported in the soft coral Nephthea sp., which were collected from the Egyptian coasts of the Red Sea at Sharm El-Sheikh [41]. In silica study indicated this compound was a potential SARS-CoV-2 main protease inhibitor.
Figure 33.
Chemical structures of the ceramides from soft corals of the genus Litophyton.
10.2. Pyrimidines
Study on the chemical constituents of Saudi Arabian soft coral L. arboreum led to the isolation and identification of thymine (155) and thymidine (156) [36] (Figure 34). Investigation on the compositions of Egyptian collection L. arboreum revealed the co-isolation of thymine (155), uracil (157), and uridine (158) [79] (Figure 34). Metabolites 155, 157, and 158 were in vitro estimated for their cytotoxic activities against three human cancer cell lines, A549, MCF-7, and HepG2, and antileishmanial potential against Leishmania major. However, none of them was active in these bioassays.
Figure 34.
Chemical structures of the pyrimidines from soft corals of the genus Litophyton.
The existence of compounds 156 and 157 in the Chinese soft coral Nephthea sp. was disclosed in Xu et al.’s study [80], which were co-isolated with 1,3-dimethly uracil (159), caffeine (160), and theophylline (161) (Figure 34).
10.3. Peptides
A specimen Nephthea sp. was collected off the coast of Naozhou Island, South China Sea, which afforded a cyclic peptide named cyclo-(Pro-Gly) (162) [80] (Figure 35). Further chemical investigation of this species led to a new tetrapeptide, which was established as leucyl-N-methyl-leucyl-leucyl-N-methyl-leucine (163) [75] (Figure 35). This compound showed weak cytotoxicities against A549 and Hepg2 cell lines.
Figure 35.
Chemical structures of the peptides from soft corals of the genus Litophyton.
11. Lipids
This cluster consisted of one prostaglandin, four γ-lactones, four fatty acids, and two glycerol ethers. These secondary metabolites distributed in L. arboretum and unclearly identified Litophyton sp. which were collected in the Red Sea and the waters around Japan (Table S1).
11.1. Prostaglandins
The sole prostaglandin from the genus Litophyton, PGB2 methyl ester (164) (Figure 36), was characterized in the research of Red Sea alcyonarian L. arboreum, which lived in the gulf of Aqaba, Eilat, Israel [81].
Figure 36.
Chemical structure of the prostaglandin from soft corals of the genus Litophyton.
11.2. γ-Lactones
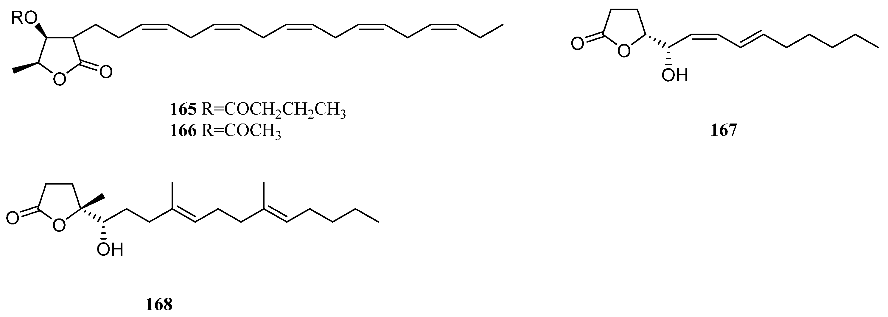
Two new branched-chain lipids containing a γ-lactone ring, which was named litophytolides A (165) and B (166) (Figure 37), were isolated from a Japanese soft coral Litophyton sp. [82]. The difference in their structures was the replacement of the butyryl group in 165 by the acetyl group in 166.
Figure 37.
Chemical structures of the γ-lactones from soft corals of the genus Litophyton.
Chemical study of Israeli Red Sea alcyonarian L. arboreum led to the discovery of two novel γ-lactones with unsaturated chains 167 and 168 [81] (Figure 37). The absolute configuration of C-5 was assigned as S for 167 and 168 by applying the Mosher’s method. In the toxicity bioassay, these two secondary metabolites were toxic to brine shrimp Artemia salina (CC50 15.3 and 21.4 μg/mL, respectively). Antibacterial evaluations indicated the two γ-lactones were active only against Gram-positive bacteria S. aureus and B. subtilis with diameters of inhibition zones ranging from 5.6 to 18.6 mm, but they were inactive against Gram-negative bacterium E. coli and yeast Saccharomyces cerevisiae.
11.3. Fatty Acids
During a search for the chemical constituents of a Japanese soft coral Litophyton sp., methyl (5Z,8Z,11Z,14Z,17Z)-5,8,11,14,17-icosapentaenoate (169) was encountered, together with the above-described γ-lactones litophytolides A (165) and B (166) [82] (Figure 38). The co-occurrence of litophytolides 165 and 166 and unsaturated fatty acid 169 in the same animal led to the proposed biogenesis of branched-chain lipids with a γ-lactone ring that involved the condensation of unsaturated fatty acids with pyruvate. GC-MS analysis of the fraction of a Israeli alcyonarian L. arboreum revealed the presence of arachidonic acid (170), eicosapentaenoic acid (171) and docosahexaenoic acid (172) [81] (Figure 38).
Figure 38.
Chemical structures of the fatty acids from soft corals of the genus Litophyton.
11.4. Glycerol Ethers
Investigation of the chemical compositions of Red Sea soft coral L. arboreum, which inhabited the coast of Sharm El-Sheikh, Egypt, resulted in the isolation and characterization of chimyl alcohol (173) [34] (Figure 39). This alcohol not only showed cytotoxic effects against the cell lines HeLa and Vero (IC50 23.35 and 60 μM, respectively), but also exhibited inhibitory activity against HIV-1 protease (IC50 26.6 μM). The presence of 173 in the Saudi Arabian Red Sea sample L. arboreum was reported [36].
Figure 39.
Chemical structures of the glycerol ethers from soft corals of the genus Litophyton.
Chemical study of Red Sea specimen L. arboreum, which was collected at Hurghada, Egypt, disclosed the co-existence of chimyl alcohol (173) and batyl alcohol (174) [37] (Figure 39). Cytotoxicity bioassays were also performed for these two glycerol ethers, but none of them was active against the tested cell lines A549, MCF-7, and HepG2 (all IC50 > 100 µmol/mL).
12. Other Metabolites
Interestingly, diphenyl selenide (175) (Figure 40) was identified as a secondary metabolite of a soft coral Nephthea sp., which resided in South China Sea [80].
Figure 40.
Chemical structure of the selenide from soft corals of the genus Litophyton.
13. Discussion
The current work presents an up-to-date documentation of the reported studies on the genus Litophyton with a special focus on their diverse chemical classes of secondary metabolites and their bioactivities. The investigated soft corals of this genus inhabited various marine environments from tropical to temperate regions, especially in the South China Sea, Red Sea, and the waters around Taiwan, Indonesia, Malaysia, and Japan (Figure 41, Table S1).
Figure 41.
The distribution of the investigated species of the genus Litophyton.
A total of 175 compounds from a variety of species of this genus were reported from 1975 to July 2023, covering a period of almost five decades. These substances illustrated in this work could be categorized as sesquiterpenes, sesquiterpene dimers, diterpenes, norditerpenes, tetraterpenes, meroterpenes, steroids, ceramides, pyrimidines, peptides, prostaglandins, γ-lactones, fatty acids, glycerol ethers, and selenides (Figure 42), most of which could be grouped in four major chemical classes: terpenoids, steroids, nitrogen-containing metabolites, and lipids. Among them, terpenes were predominant chemical constituents accounting for 53.14%, which consisted of 38 sesquiterpenes (21.71%), 2 bis-sesquiterpenes (1.14%), 46 diterpenes (26.29%), 1 norditerpene (0.57%), 1 tetraterpene (0.57%), and 5 meroterpenes (2.86%) (Figure 42, Table S1). Additionally, the very recently reported one sec-germacrane sesquiterpene [33], one himachalene sesquiterpene [39], one nornardosinane sesquiterpene [14], one seconeolemnane sesquiterpene [14], one kelsoane sesquiterpene [30], one bis-kelsoane bis-sesquiterpene [30], one eremophilane-nardosinane bis-sesquiterpene [31], and five 5,9-cyclized serrulatane diterpenes [16] were quite uncommon marine natural products, some of which were only identified in the genus Litophyton.
Figure 42.
Chemical profile of secondary metabolites from soft corals of the genus Litophyton.
Chemical investigations have been conducted on the species Litophyton arboreum, Litophyton nigrum, Litophyton setoensis, Litophyton viridis, Litophyton viscudium, Litophyton mollis, Nephthea erecta, Nephthea columnaris, Nephthea chablrolii, and unclearly identified Litophyton sp. and Nephthea sp. In terms of the numbers of isolated substances, L. arboreum was the most frequently studied species of this genus, yielding 50 compounds (Figure 43). The metabolites of L. arboreum comprised almost all structural types of chemical compositions from the title genus, including 18 sesquiterpenes, 5 diterpenes, 1 tetraterpene, 12 steroids, 2 ceramides, 4 pyrimidines, 1 prostaglandin, 2 γ-lactones, 3 fatty acids, and 2 glycerol ethers (Figure 43, Table S1). Interestingly, bicyclogermacrane, sec-germacrane, guaiane, pseudoguaiane, himachalene, eudesmane, seco-eudesmane, and tri-nor-eudesmane sesquiterpenes were only isolated and characterized from the alcyonarian L. arboreum, which could be regarded as a chemotaxonomic marker for this species (Table S1). Similarly, eremophilane, nornardosinane, and seconeolemnane sesquiterpenes, especially an eremophilane-nardosinane bis-sesquiterpene, could provide the chemotaxonomic evidence for the species L. nigrum (Table S1). Meanwhile, the chemotaxonomic characters for the species L. setoensis were serrulatane and 5,9-cyclized serrulatane diterpenes, for N. erecta were kelsoane sesquiterpene and its dimer, and for N. chablrolii was chabrolane diterpene (Table S1).
Figure 43.
Number of compounds reported from different species of the genus Litophyton.
As summarized in this review, the species of the original genera Litophyton and Nephthea shared a number of secondary metabolites with various structural features (e.g., guaiane sesquiterpenes 10-O-methyl alismoxide (4) and alismoxide (5) for L. arboreum and Nephthea sp., cembrane diterpenes nephtenol (41) and 2-hydroxynephtenol (42) for L. viridis and Nephthea sp., eunicellane diterpene litophynin C for Litophyton sp. and Nephthea sp., 4α-methylated steroid 4α-methyl-3β,8β-dihydroxy-5α-ergost-24(28)-en-23-one (94) and ergostane steroid 24-methylenecholest-5-en-3β,7β,19-triol (109) for L. viridis and Nephthea sp., ceramides erythro-N-dodecanoyl-docosasphinga-(4E,8E)-dienine (153) and erythro-N-palmityl-octadecasphinga-4(E),8(E)-dienine (154) for L. arboreum and Nephthea sp., etc.) (Table S1). These might be served as compelling evidence for the taxonomic consolidation of the genera Nephthea and Litophyton into the genus Litophyton from the view of the natural products.
These metabolites exhibited a wide spectrum of bioactivities including cytotoxic, anti-malarial, antibacterial, antifungal, antiviral, antifeedant, molluscicidal, PTP1B inhibitory, insect growth inhibitory, and neuroprotective effects (Table S1). The most frequently evaluated activity for the chemical constituents of the genus Litophyton was cytotoxicity against a panel of human cancer cell lines, such as HeLa, K-562, HepG2, MDA, A549, MCF-7, HCT116, U937, SUN-398, HT-29, Capan-1, THP-1, HL-60, P388, MOLT-4, SUP-T1, DLD-1, and LNCaP, and quite a high number of compounds showed growth inhibitory activities against some of the above-mentioned cell lines. Interestingly, nephalsterol A (125) was found to be not only a cytotoxic agent toward a panel of tumor cell lines, including MOLT-4, SUP-T1, U-937, DLD-1, LNCaP, and MCF7 with IC50 values of 22.5, 32.4, 38.6, 44.2, 11.6, and 9.8 μM, respectively [45], but also a potent neuroprotectant through negative modulation of NMDA receptors [69]. Recently, its synthetic derivative 5α-androst-3β,5α,6β-triol was also a neuroactive substance that protected retinal ganglion cells from ischemia–reperfusion injury by activating the Nrf2 pathway [70]. It might be worth pointing out that although the molluscicidal activity against the muricid gastropod D. fragum [52] and toxic activity to brine shrimp A. salina [81] were performed respectively for eunicellane diterpenes and γ-lactones, more research should be conducted to better understand the ecological roles of Litophyton secondary metabolites.
14. Conclusions
As presented in this work, the soft corals of the genus Litophyton harbor an array of structurally unique and diversely bioactive secondary metabolites, including sesquiterpenes, sesquiterpene dimers, diterpenes, norditerpenes, tetraterpenes, meroterpenes, steroids, ceramides, pyrimidines, peptides, prostaglandins, γ-lactones, fatty acids, glycerol ethers, and selenides (Figure 42, Table S1). However, only nine species including L. arboreum, L. nigrum, L. setoensis, L. viridis, L. viscudium, L. mollis, N. erecta, N. columnaris, and N. chablrolii have been investigated besides unclearly identified Litophyton sp. and Nephthea sp. (Figure 43, Table S1), which were a very small proportion of the whole genus Litophyton [10]. It is clear that there is a need for increased research on exploration of more species of this genus, which are hidden treasure troves of novel marine natural products.
As shown in this work, the eunicellane and cembrene diterpenes displayed a broad range of bioactivities including antifungal, anti-HIV, antitumor, anti-inflammatory, antibacterial, insect growth inhibitory, and molluscicidal properties (Table S1). However, due to the limited amounts of these metabolites in soft corals, exploration of new technologies to gain efficient substances is becoming impendingly demanded. Very recently, terpene cyclase genes that produce eunicellane and cembrene diterpenes have been found in soft corals such as Erythropodium caribaeorum and Dendronephtha gigantean [83,84]. Investigating the biogenesis of the secondary metabolites of the genus Litophyton and the utilization of biosyntheses in rapid production of terpenes would be another significant and hot research topic in this field. Moreover, the discovery of novel terpene biosynthetic gene clusters could provide potential bioengineering applications for industry.
Supplementary Materials
The following supporting information can be downloaded at: https://www.mdpi.com/article/10.3390/md21100523/s1, Table S1: Secondary metabolites of the genus Litophyton from 1975 to July 2023.
Author Contributions
Conceptualization, L.-F.L.; methodology, L.-F.L.; software, Y.-W.G.; formal analysis, L.-F.L.; investigation, X.-Y.Y., L.Z., Q.-B.Y., Z.-Y.G. and L.-F.L.; writing—original draft preparation, X.-Y.Y., L.Z., Q.-B.Y. and L.-F.L.; writing—review and editing, L.-F.L. and Y.-W.G.; funding acquisition, L.-F.L. and Y.-W.G. All authors have read and agreed to the published version of the manuscript.
Funding
This work was financially supported by the National Natural Science Foundation of China (No. 41876194, 81991521).
Institutional Review Board Statement
Not applicable.
Data Availability Statement
Not applicable.
Conflicts of Interest
The authors declare no conflict of interest.
References
- Chakraborty, K.; Joy, M. High-value compounds from the molluscs of marine and estuarine ecosystems as prospective functional food ingredients: An overview. Food Res. Int. 2020, 137, 109637. [Google Scholar] [CrossRef] [PubMed]
- Fonseca, S.; Amaral, M.N.; Reis, C.P.; Custódio, L. Marine natural products as innovative cosmetic ingredients. Mar. Drugs 2023, 21, 170. [Google Scholar] [CrossRef] [PubMed]
- Banerjee, P.; Mandhare, A.; Bagalkote, V. Marine natural products as source of new drugs: An updated patent review (July 2018–July 2021). Expert Opin. Ther. Pat. 2022, 32, 317–363. [Google Scholar] [CrossRef]
- Liu, M.; Zhang, X.; Li, G. Structural and biological insights into the hot-spot marine natural products reported from 2012 to 2021. Chin. J. Chem. 2022, 40, 1867–1889. [Google Scholar] [CrossRef]
- Carroll, A.R.; Copp, B.R.; Davis, R.A.; Keyzers, R.A.; Prinsep, M.R. Marine natural products. Nat. Prod. Rep. 2023, 40, 275–325. [Google Scholar] [CrossRef] [PubMed]
- Chhetri, B.K.; Tedbury, P.R.; Sweeney-Jones, A.M.; Mani, L.; Soapi, K.; Manfredi, C.; Sorscher, E.; Sarafianos, S.G.; Kubanek, J. Marine natural products as leads against SARS-CoV-2 infection. J. Nat. Prod. 2022, 85, 657–665. [Google Scholar] [CrossRef] [PubMed]
- El-Desoky, A.H.H.; Tsukamoto, S. Marine natural products that inhibit osteoclastogenesis and promote osteoblast differentiation. J. Nat. Med. 2022, 76, 575–583. [Google Scholar] [CrossRef]
- Deng, Y.; Liu, Y.; Li, J.; Wang, X.; He, S.; Yan, X.; Shi, Y.; Zhang, W.; Ding, L. Marine natural products and their synthetic analogs as promising antibiofilm agents for antibiotics discovery and development. Eur. J. Med. Chem. 2022, 239, 114513. [Google Scholar] [CrossRef]
- Ren, X.; Xie, X.; Chen, B.; Liu, L.; Jiang, C.; Qian, Q. Marine natural products: A potential source of anti-hepatocellular carcinoma drugs. J. Med. Chem. 2021, 64, 7879–7899. [Google Scholar] [CrossRef]
- Haque, N.; Parveen, S.; Tang, T.; Wei, J.; Huang, Z. Marine natural products in clinical use. Mar. Drugs 2022, 20, 528. [Google Scholar] [CrossRef]
- van Ofwegen, L.P. The genus Litophyton Forskål, 1775 (Octocorallia, Alcyonacea, Nephtheidae) in the Red Sea and the western Indian Ocean. Zookeys 2016, 567, 1–128. [Google Scholar] [CrossRef] [PubMed]
- van Ofwegen, L.; Groenenberg, D.S.J. A centuries old problem in nephtheid taxonomy approached using DNA data (Coelenterata: Alcyonacea). Contrib. Zool. 2007, 76, 153–178. [Google Scholar] [CrossRef]
- World List of Octocorallia. Litophyton Forskål, 1775. World Register of Marine Species. Available online: https://www.marinespecies.org/aphia.php?p=taxdetails&id=204523 (accessed on 28 August 2023).
- Yang, F.; Li, S.-W.; Zhang, J.; Liang, L.-F.; Lu, Y.-H.; Guo, Y.-W. Uncommon nornardosinane, seconeolemnane and related sesquiterpenoids from Xisha soft coral Litophyton nigrum. Bioorg. Chem. 2020, 96, 103636. [Google Scholar] [CrossRef] [PubMed]
- van Ofwegen, L.P. The genus Litophyton Forskål, 1775 (Octocorallia: Alcyonacea: Nephtheidae) from Australia. Zootaxa 2020, 4764, 1–131. [Google Scholar] [CrossRef] [PubMed]
- Li, S.-W.; Mudianta, I.W.; Cuadrado, C.; Li, G.; Yudasmara, G.A.; Setiabudi, G.I.; Daranas, A.H.; Guo, Y.-W. Litosetoenins A–E, diterpenoids from the soft coral Litophyton setoensis, backbone-rearranged through divergent cyclization achieved by epoxide reactivity inversion. J. Org. Chem. 2021, 86, 11771–11781. [Google Scholar] [CrossRef] [PubMed]
- Iwagawa, T.; Kusatsu, D.; Tsuha, K.; Hamada, T.; Okamura, H.; Furukawa, T.; Akiyama, S.-I.; Doe, M.; Morimoto, Y.; Iwase, F.; et al. Cytotoxic eunicellin-type diterpenes from the soft coral Litophyton viscudium. Heterocycles 2011, 83, 2149–2155, Erratum in Heterocycles 2012, 85, 2615–2615. [Google Scholar] [CrossRef]
- Tursch, B. Chemical protection of a fish (Abudefduf leucogaster Bleeker) by a soft coral (Litophyton viridis May). J. Chem. Ecol. 1982, 8, 1421–1428. [Google Scholar] [CrossRef]
- Ashry, M.; Askar, H.; Alian, A.; Zidan, S.A.H.; El-Sahra, D.G.; Abdel-Wahhab, K.G.; Lamlom, S.F.; Abdelsalam, N.R.; Abd El-Hack, M.E.; Gomaa, H.F. The antioxidant and antitumor efficiency of Litophyton sp. extract in DMH-induced colon cancer in male rats. Life 2022, 12, 1470. [Google Scholar] [CrossRef]
- Hawas, U.W.; Abou El-Kassem, L.T.; Fahmy, M.A.; Farghaly, A.A.; Hassan, Z.M. A new pseudoguaiane-type sesquiterpene and potential genotoxicity and antigenotoxicity effect of the soft coral Litophyton arboreum extract. Lett. Org. Chem. 2018, 15, 1060–1064. [Google Scholar] [CrossRef]
- Ellithey, M.S.; Lall, N.; Hussein, A.A.; Meyer, D. Cytotoxic and HIV-1 enzyme inhibitory activities of Red Sea marine organisms. BMC Complem. Altern. Med. 2014, 14, 77. [Google Scholar] [CrossRef]
- Abdel-Tawab, A.M.; Fayad, W.; Shreadah, M.A.; Nassar, M.I.; Abou-Elzaha, M.M.; Abdel-Mogib, M. GC/MS identification and biological evaluation of the Red Sea soft coral Nephthea molle extracts. Res. J. Pharm. Biol. Chem. Sci. 2018, 9, 595–602. [Google Scholar]
- Tanod, W.A.; Yanuhar, U.; Maftuch; Putra, M.Y.; Risjani, Y. Screening of NO inhibitor release activity from soft coral extracts origin Palu Bay, Central Sulawesi, Indonesia. Anti-Inflamm. Anti-Allergy Agents Med. Chem. 2019, 18, 126–141. [Google Scholar] [CrossRef] [PubMed]
- Hassan, N.H.; El-Hawary, S.S.; Emam, M.; Rabeh, M.A.; Abdelmohsen, U.R.; Selim, N.M. Potential inhibitors of CYP51 enzyme in dermatophytes by Red Sea soft coral Nephthea sp.: In silico and molecular networking studies. ACS Omega 2022, 7, 13808–13817. [Google Scholar] [CrossRef] [PubMed]
- Hassan, N.H.; El-Hawary, S.S.; Emam, M.; Rabeh, M.A.; Tantawy, M.A.; Seif, M.; Abd-Elal, R.M.A.; Bringmann, G.; Abdelmohsen, U.R.; Selim, N.M. Pectin nanoparticle-loaded soft coral Nephthea sp. extract as in situ gel enhances chronic wound healing: In vitro, in vivo, and in silico studies. Pharmaceuticals 2023, 16, 957. [Google Scholar] [CrossRef]
- Amir, F.; Koay, Y.C.; Yam, W.S. Chemical constituents and biological properties of the marine soft coral Nephthea: A review (Part 1). Trop. J. Pharm. Res. 2012, 11, 485–498. [Google Scholar] [CrossRef]
- Amir, F.; Koay, Y.C.; Yam, W.S. Chemical constituents and biological properties of the marine soft coral Nephthea: A review (Part 2). Trop. J. Pharm. Res. 2012, 11, 499–517. [Google Scholar] [CrossRef]
- Schmitz, F.J.; Vanderah, D.J.; Ciereszko, L.S. Marine natural products: Nephthenol and epoxynephthenol acetate, cembrene derivatives from a soft coral. J. Chem. Soc. Chem. Commun. 1974, 5, 407–408. [Google Scholar] [CrossRef]
- Tursch, B.; Braekman, J.C.; Daloze, D. Chemical studies of marine invertebrates—XIII 2-Hydroxynephtenol, a novel cembrane diterpene from the soft coral Litophyton viridis (Coelenterata, Octocorallia, Alcyonacea). Bull. Soc. Chim. Belg. 1975, 84, 767–774. [Google Scholar] [CrossRef]
- Cheng, S.-Y.; Shih, N.-L.; Hou, K.-Y.; Ger, M.-J.; Yang, C.-N.; Wang, S.-K.; Duh, C.-Y. Kelsoenethiol and dikelsoenyl ether, two unique kelsoane-type sesquiterpenes, from the Formosan soft coral Nephthea erecta. Bioorg. Med. Chem. Lett. 2014, 24, 473–475. [Google Scholar] [CrossRef]
- Yang, F.; Hua, Q.; Yao, L.-G.; Liang, L.-F.; Lou, Y.-X.; Lu, Y.-H.; An, F.-L.; Guo, Y.-W. One uncommon bis-sesquiterpenoid from Xisha soft coral Litophyton nigrum. Tetrahedron Lett. 2022, 88, 153571. [Google Scholar] [CrossRef]
- Grote, D.; Dahse, H.-M.; Seifert, K. Furanocembranoids from the soft corals Sinularia asterolobata and Litophyton arboreum. Chem. Biodivers. 2008, 5, 2449–2456. [Google Scholar] [CrossRef] [PubMed]
- Ahmed, M.M.A.; Ragab, E.A.; Zayed, A.; El-Ghaly, E.M.; Ismail, S.K.; Khan, S.I.; Ali, Z.; Chittiboyina, A.G.; Khan, I.A. Litoarbolide A: An undescribed sesquiterpenoid from the Red Sea soft coral Litophyton arboreum with an in vitro anti-malarial activity evaluation. Nat. Prod. Res. 2023, 37, 542–550. [Google Scholar] [CrossRef] [PubMed]
- Ellithey, M.S.; Lall, N.; Hussein, A.A.; Meyer, D. Cytotoxic, cytostatic and HIV-1 PR inhibitory activities of the soft coral Litophyton arboreum. Mar. Drugs 2013, 11, 4917–4936. [Google Scholar] [CrossRef] [PubMed]
- Ellithey, M.S.; Ahmed, H.H. Bioactive marine-derived compounds as potential anticancer candidates. Asian J. Pharm. Clin. Res. 2018, 11, 464–466. [Google Scholar] [CrossRef]
- Abou El-Kassem, L.T.; Hawas, U.W.; El-Desouky, S.K.; Al-Farawati, R. Sesquiterpenes from the Saudi Red Sea: Litophyton arboreum with their cytotoxic and antimicrobial activities. Z. Naturforsch. C-J. Biosci. 2018, 73, 9–14. [Google Scholar] [CrossRef]
- Mahmoud, A.H.; Zidan, S.A.H.; Samy, M.N.; Alian, A.; Abdelmohsen, U.R.; Fouad, M.A.; Kamel, M.S.; Matsunami, K. Cytotoxicity and chemical profiling of the Red Sea soft corals Litophyton arboreum. Nat. Prod. Res. 2022, 36, 4261–4265. [Google Scholar] [CrossRef]
- Hegazy, M.-E.F.; Gamal-Eldeen, A.M.; Mohamed, T.A.; Alhammady, M.A.; Hassanien, A.A.; Shreadah, M.A.; Abdelgawad, I.I.; Elkady, E.M.; Paré, P.W. New cytotoxic constituents from the Red Sea soft coral Nephthea sp. Nat. Prod. Res. 2016, 30, 1266–1272. [Google Scholar] [CrossRef]
- Ghandourah, M.A.; Alarif, W.M.; Abdel-Lateff, A.; Al-Lihaibi, S.S.; Ayyad, S.-E.N.; Basaif, S.A.; Badria, F.A. Two new terpenoidal derivatives: A himachalene-type sesquiterpene and 13,14-secosteroid from the soft coral Litophyton arboreum. Med. Chem. Res. 2015, 24, 4070–4077. [Google Scholar] [CrossRef]
- Yang, F.; Hua, Q.; Yao, L.-G.; Liang, L.-F.; Lu, Y.-H.; An, F.-L.; Guo, Y.-W. Further new nardosinane-type sesquiterpenoids from the Xisha soft coral Litophyton nigrum. Fitoterapia 2021, 151, 104906. [Google Scholar] [CrossRef]
- Abdelhafez, O.H.; Fahim, J.R.; Mustafa, M.; AboulMagd, A.M.; Desoukey, S.Y.; Hayallah, A.M.; Kamel, M.S.; Abdelmohsen, U.R. Natural metabolites from the soft coral Nephthea sp. as potential SARS-CoV-2 main protease inhibitors. Nat. Prod. Res. 2022, 36, 2893–2896. [Google Scholar] [CrossRef]
- Ishii, T.; Kamada, T.; Phan, C.-S.; Vairappan, C.S. Chabrolene, a novel norditerpene from the bornean soft coral Nephthea sp. Sains Malays. 2018, 47, 319–322. [Google Scholar] [CrossRef]
- Shaker, K.H.; Müller, M.; Ghani, M.A.; Dahse, H.-M.; Seifert, K. Terpenes from the soft corals Litophyton arboreum and Sarcophyton ehrenbergi. Chem. Biodivers. 2010, 7, 2007–2015. [Google Scholar] [CrossRef] [PubMed]
- Hsiao, T.-H.; Sung, C.-S.; Lan, Y.-H.; Wang, Y.-C.; Lu, M.-C.; Wen, Z.-H.; Wu, Y.-C.; Sung, P.-J. New anti-inflammatory cembranes from the cultured soft coral Nephthea columnaris. Mar. Drugs 2015, 13, 3443–3453. [Google Scholar] [CrossRef] [PubMed]
- Hsiao, T.-H.; Cheng, C.-H.; Wu, T.-Y.; Lu, M.-C.; Chen, W.-F.; Wen, Z.-H.; Dai, C.-F.; Wu, Y.-C.; Sung, P.-J. New cembranoid diterpenes from the cultured octocoral Nephthea columnaris. Molecules 2015, 20, 13205. [Google Scholar] [CrossRef] [PubMed]
- Ishii, T.; Kamada, T.; Vairappan, C.S. Three new cembranoids from the Bornean soft coral Nephthea sp. J. Asian Nat. Prod. Res. 2016, 18, 415–422. [Google Scholar] [CrossRef]
- Tani, K.; Kamada, T.; Phan, C.-S.; Vairappan, C.S. New cembrane-type diterpenoids from Bornean soft coral Nephthea sp. with antifungal activity against Lagenidium thermophilum. Nat. Prod. Res. 2019, 33, 3343–3349. [Google Scholar] [CrossRef]
- Ochi, M.; Futatsugi, K.; Kotsuki, H.; Ishii, M.; Shibata, K. Litophynin A and B, two new insect growth inhibitory diterpenoids from the soft coral Litophyton sp. Chem. Lett. 1987, 16, 2207–2210. [Google Scholar] [CrossRef]
- Ochi, M.; Futatsugi, K.; Kume, Y.; Kotsuki, H.; Asao, K.; Shibata, K. Litophynin C, a new insect growth inhibitory diterpenoid from a soft coral Litophyton sp. Chem. Lett. 1988, 17, 1661–1662. [Google Scholar] [CrossRef]
- Ochi, M.; Yamada, K.; Futatsugi, K.; Kotsuki, H.; Shibata, K. Litophynin D and E, two new diterpenoids from a soft coral Litophyton sp. Chem. Lett. 1990, 19, 2183–2186. [Google Scholar] [CrossRef]
- Ochi, M.; Yamada, K.; Futatsugi, K.; Kotsuki, H.; Shibata, K. Litophynins F, G, and H, three new diterpenoids from a soft coral Litophyton sp. Heterocycles 1991, 32, 29–32. [Google Scholar] [CrossRef]
- Ochi, M.; Yamada, K.; Kataoka, K.; Kotsuki, H.; Shibata, K. Litophynins I and J, two new biologically active diterpenoids from the soft coral Litophyton sp. Chem. Lett. 1992, 21, 155–158. [Google Scholar] [CrossRef]
- Miyamoto, T.; Yamada, K.; Ikeda, N.; Komori, T.; Higuchi, R. Bioactive terpenoids from Octocorallia, I. Bioactive diterpenoids: Litophynols A and B from the mucus of the soft coral Litophyton sp. J. Nat. Prod. 1994, 57, 1212–1219. [Google Scholar] [CrossRef] [PubMed]
- Lee, Y.-S.; Duh, T.-H.; Siao, S.-S.; Chang, R.-C.; Wang, S.-K.; Duh, C.-Y. New cytotoxic terpenoids from soft corals Nephthea chabroli and Paralemnalia thyrsoides. Mar. Drugs 2017, 15, 392. [Google Scholar] [CrossRef] [PubMed]
- Bortolotto, M.; Braekman, J.C.; Daloze, D.; Losman, D.; Tursch, B. Chemical studies of marine invertebrates. XXIII. A novel polyhydroxylated sterol from the soft coral Litophyton viridis (coelenterata, octocorallia, alcyonacea). Steroids 1976, 28, 461–466. [Google Scholar] [CrossRef] [PubMed]
- Bortolotto, M.; Braekman, J.C.; Daloze, D.; Tursch, B.; Karlsson, R. Chemical studies of marine invertebrates. XXIX: 4α-methyl-3β,8β-dihydroxy-5α-ergost-24(28)-en-23-one, a novel polyoxygenated sterol from the soft coral Litophyton viridis, (Coelenterata, Octocorallia, Alcyonacea). Steroids 1977, 30, 159–164. [Google Scholar] [CrossRef]
- Končić, M.Z.; Ioannou, E.; Sawadogo, W.R.; Abdel-Razik, A.F.; Vagias, C.; Diederich, M.; Roussis, V. 4α-Methylated steroids with cytotoxic activity from the soft coral Litophyton mollis. Steroids 2016, 115, 130–135. [Google Scholar] [CrossRef]
- Wright, J.L.C.; Mcinnes, A.G.; Shimizu, S.; Smith, D.G.; Walter, J.A.; Idler, D.; Khalil, W. Identification of C-24 alkyl epimers of marine sterols by 13C nuclear magnetic resonance spectroscopy. Can. J. Chem. 1978, 56, 1898–1903. [Google Scholar] [CrossRef]
- Gong, J.; Sun, P.; Jiang, N.; Riccio, R.; Lauro, G.; Bifulco, G.; Li, T.-J.; Gerwick, W.H.; Zhang, W. New steroids with a rearranged skeleton as (h)P300 inhibitors from the sponge Theonella swinhoei. Org. Lett. 2014, 16, 2224–2227. [Google Scholar] [CrossRef]
- Cao, V.A.; Kwon, J.-H.; Kang, J.S.; Lee, H.-S.; Heo, C.-S.; Shin, H.J. Aspersterols A–D, ergostane-type sterols with an unusual unsaturated side chain from the deep-sea-derived fungus Aspergillus unguis. J. Nat. Prod. 2022, 85, 2177–2183. [Google Scholar] [CrossRef]
- Mohamed, T.A.; Elshamy, A.I.; Ibrahim, M.A.A.; Atia, M.A.M.; Ahmed, R.F.; Ali, S.K.; Mahdy, K.A.; Alshammari, S.O.; Al-Abd, A.M.; Moustafa, M.F.; et al. Gastroprotection against rat ulcers by Nephthea sterol derivative. Biomolecules 2021, 11, 1247. [Google Scholar] [CrossRef]
- Shaker, K.H.; Al-Wahaibi, L.H. 13C-NMR of steroids from the soft coral Litophyton arboretum. Int. J. Pharm. Sci. Rev. Res. 2016, 36, 149–152. [Google Scholar]
- Lin, C.-C.; Whuang, T.-Y.; Su, J.-H.; Hwangd, T.-L.; Wu, Y.-C.; Sung, P.-J. 4α-Methylergosta-22(E),24(28)-dien-3β-ol, a new marine sterol from the octocoral Nephthea columnaris. Nat. Prod. Commun. 2017, 12, 345–346. [Google Scholar] [CrossRef]
- Losman, D.; Karlsson, R. 24-Methylenecholest-5-ene-3β,7β,19-triol. A case of pseudotranslation. Calculation of structure invariants from partial structure information. Acta Crystallogr. Sect. B 1978, 34, 2586–2589. [Google Scholar] [CrossRef]
- Iguchi, K.; Saitoh, S.; Yamada, Y. Novel 19-oxygenated sterols from the Okinawan soft coral Litophyton viridis. Chem. Pharm. Bull. 1989, 37, 2553–2554. [Google Scholar] [CrossRef]
- Li, R.; Wang, S.; Tan, G.; Long, K. Two polyhydroxylated steroids from the Chinese soft coral Litophyton arboreum. Steroids 1994, 59, 503–505. [Google Scholar] [CrossRef] [PubMed]
- Wang, S.-K.; Puu, S.-Y.; Duh, C.-Y. New 19-oxygenated steroids from the soft coral Nephthea chabrolii. Mar. Drugs 2012, 10, 1288–1296. [Google Scholar] [CrossRef]
- Wang, S.-K.; Puu, S.-Y.; Duh, C.-Y. New steroids from the soft coral Nephthea chabrolii. Mar. Drugs 2013, 11, 571–580. [Google Scholar] [CrossRef]
- Leng, T.; Liu, A.; Wang, Y.; Chen, X.; Zhou, S.; Li, Q.; Zhu, W.; Zhou, Y.; Su, X.; Huang, Y.; et al. Naturally occurring marine steroid 24-methylenecholestane-3β,5α,6β,19-tetraol functions as a novel neuroprotectant. Steroids 2016, 105, 96–105. [Google Scholar] [CrossRef]
- Sheng, L.; Lu, B.; Chen, H.; Du, Y.; Chen, C.; Cai, W.; Yang, Y.; Tian, X.; Huang, Z.; Chi, W.; et al. Marine-steroid derivative 5α-androst-3β, 5α, 6β-triol protects retinal ganglion cells from ischemia–reperfusion injury by activating Nrf2 pathway. Mar. Drugs 2019, 17, 267. [Google Scholar] [CrossRef]
- Whuang, T.-Y.; Tsai, W.-C.; Chen, N.-F.; Chen, Z.-C.; Tsui, K.-H.; Wen, Z.-H.; Su, Y.-D.; Chang, Y.-C.; Chen, Y.-H.; Lu, M.-C.; et al. Columnaristerol A, a novel 19-norsterol from the Formosan octocoral Nephthea columnaris. Bioorg. Med. Chem. Lett. 2016, 26, 4966–4969. [Google Scholar] [CrossRef]
- Whuang, T.-Y.; Tsai, H.-C.; Su, Y.-D.; Hwang, T.-L.; Sung, P.-J. Sterols from the octocoral Nephthea columnaris. Mar. Drugs 2017, 15, 212. [Google Scholar] [CrossRef] [PubMed]
- Tsai, T.-C.; Huang, Y.-T.; Chou, S.-K.; Shih, M.-C.; Chiang, C.-Y.; Su, J.-H. Cytotoxic oxygenated steroids from the soft coral Nephthea erecta. Chem. Pharm. Bull. 2016, 64, 1519–1522. [Google Scholar] [CrossRef] [PubMed]
- Chung, T.-W.; Su, J.-H.; Lin, C.-C.; Li, Y.-R.; Chao, Y.-H.; Lin, S.-H.; Chan, H.-L. 24-Methyl-cholesta-5,24(28)-diene-3β,19-diol-7β-monoacetate inhibits human small cell lung cancer growth in vitro and in vivo via apoptosis induction. Mar. Drugs 2017, 15, 210. [Google Scholar] [CrossRef] [PubMed]
- Wang, C.; Liang, Y.; Liao, X.; Xu, S. Isolation and identification of two new compounds linear tetrapeptide and monohydroxysteroid. Chin. J. Org. Chem. 2012, 32, 727–731. [Google Scholar] [CrossRef]
- Zhang, J.; Liao, X.-J.; Wang, K.-L.; Deng, Z.; Xu, S.-H. Cytotoxic cholesta-1,4-dien-3-one derivatives from soft coral Nephthea sp. Steroids 2013, 78, 396–400. [Google Scholar] [CrossRef]
- Zhang, J.; Li, L.-C.; Wang, K.-L.; Liao, X.-J.; Deng, Z.; Xu, S.-H. Pentacyclic hemiacetal sterol with antifouling and cytotoxic activities from the soft coral Nephthea sp. Bioorg. Med. Chem. Lett. 2013, 23, 1079–1082. [Google Scholar] [CrossRef]
- Li, S.; Deng, Z.; Peng, C.-Y.; Deng, M.-Y.; Zhang, L.-Q.; Liao, X.-J.; Xu, S.-H. Pregnane steroids from Nephthea sp. Zhongyaocai 2014, 37, 63–66. [Google Scholar] [CrossRef]
- Mahmoud, A.H.; Zidan, S.A.H.; Samy, M.N.; Alian, A.; Fouad, M.A.; Kamel, M.S.; Matsunami, K. Phytochemical and biological investigation of Litophyton arboreum. J. Pharmacogn. Phytochem. 2022, 11, 12–15. [Google Scholar] [CrossRef]
- Wang, C.; Liao, X.; Xu, S. Studies on alkaloids of secondary metabolites from soft coral Nephthea sp. Chem. Res. Appl. 2011, 23, 619–621. [Google Scholar]
- Řezanka, T.; Dembitsky, V.M. γ-Lactones from the soft corals Sarcophyton trocheliophorum and Lithophyton arboreum. Tetrahedron 2001, 57, 8743–8749. [Google Scholar] [CrossRef]
- Ochi, M.; Futatsugi, K.; Kume, Y.; Kotsuki, H.; Asao, K.; Shibata, K. Litophytolides A and B, two new lipid metabolites of a soft coral Litophyton sp. Heterocycles 1989, 29, 39–41. [Google Scholar] [CrossRef]
- Scesa, P.D.; Lin, Z.; Schmidt, E.W. Ancient defensive terpene biosynthetic gene clusters in the soft corals. Nat. Chem. Biol. 2022, 18, 659–663. [Google Scholar] [CrossRef] [PubMed]
- Burkhardt, I.; de Rond, T.; Chen, P.Y.-T.; Moore, B.S. Ancient plant-like terpene biosynthesis in corals. Nat. Chem. Biol. 2022, 18, 664–669. [Google Scholar] [CrossRef] [PubMed]
Disclaimer/Publisher’s Note: The statements, opinions and data contained in all publications are solely those of the individual author(s) and contributor(s) and not of MDPI and/or the editor(s). MDPI and/or the editor(s) disclaim responsibility for any injury to people or property resulting from any ideas, methods, instructions or products referred to in the content. |
© 2023 by the authors. Licensee MDPI, Basel, Switzerland. This article is an open access article distributed under the terms and conditions of the Creative Commons Attribution (CC BY) license (https://creativecommons.org/licenses/by/4.0/).










































