Citriquinolinones A and B: Rare Isoquinolinone-Embedded Citrinin Analogues and Related Metabolites from the Deep-Sea-Derived Aspergillus versicolor 170217
Abstract
:1. Introduction
2. Results and Discussion
3. Materials and Methods
3.1. General Experimental Procedures
3.2. Fungal Identification, Fermentation, and Extraction
3.3. Isolation and Purification
3.4. Theoretical Calculations
3.5. Anti-Food Allergic Bioassay
3.6. Antibacterial Bioassay
4. Conclusions
Supplementary Materials
Author Contributions
Funding
Institutional Review Board Statement
Informed Consent Statement
Acknowledgments
Conflicts of Interest
References
- Newman, D.J.; Cragg, G.M. Natural products as sources of new drugs over the nearly four decades from 01/1981 to 09/2019. J. Nat. Prod. 2020, 83, 770–803. [Google Scholar] [CrossRef] [PubMed]
- Liang, X.; Luo, D.M.; Luesch, H. Advances in exploring the therapeutic potential of marine natural products. Pharmacol. Res. 2019, 147, 104373. [Google Scholar] [CrossRef] [PubMed]
- Lu, W.Y.; Li, H.J.; Li, Q.Y.; Wu, Y.C. Application of marine natural products in drug research. Bioorg. Med. Chem. 2021, 35, 116058. [Google Scholar] [CrossRef] [PubMed]
- Jimenez, C. Marine natural products in medicinal chemistry. ACS Med. Chem. Lett. 2018, 9, 959–961. [Google Scholar] [CrossRef]
- Orfali, R.; Aboseada, M.A.; Abdel-Wahab, N.M.; Hassan, H.M.; Perveen, S.; Ameen, F.; Alturki, E.; Abdelmohsen, U.R. Recent updates on the bioactive compounds of the marine-derived genus Aspergillus. RSC Adv. 2021, 11, 17116–17150. [Google Scholar] [CrossRef]
- Yang, S.Q.; Li, X.M.; Li, H.L.; Meng, L.H.; Wang, B.G. New citrinin analogues produced by coculture of the marine algal-derived endophytic fungal strains Aspergillus sydowii EN-534 and Penicillium citrinum EN-535. Phytochem. Lett. 2018, 25, 191–195. [Google Scholar] [CrossRef]
- He, Z.H.; Xie, C.L.; Wu, T.; Zhang, Y.; Zou, Z.B.; Xie, M.M.; Xu, L.; Capon, R.J.; Xu, R.; Yang, X.W.; et al. unprecedented citrinin trimers with anti-osteoporosis activity from the deep-sea-derived Penicillium citrinum W23. Bioorg. Chem. 2023, 139, 106756. [Google Scholar] [CrossRef]
- Wei, J.; Chen, X.; Ge, Y.; Yin, Q.; Wu, X.; Tang, J.; Zhang, Z.; Wu, B. Citrinin monomer, trimer, and tetracyclic alkaloid derivatives from the hydrothermal vent-associated fungus Penicillium citrinum TW132-59. J. Org. Chem. 2022, 87, 13270–13279. [Google Scholar] [CrossRef]
- Liu, S.Z.; He, F.M.; Bin, Y.L.; Li, C.F.; Xie, B.Y.; Tang, X.X.; Qiu, Y.K. Bioactive compounds derived from the marine-derived fungus MCCC3A00951 and their influenza neuraminidase inhibition activity in vitro and in silico. Nat. Prod. Res. 2021, 35, 5621–5628. [Google Scholar] [CrossRef]
- Bala, G.; Dhananjaya, N. Chemical investigation of Mycale mytilorum and a study on toxicity and antidiabetic activity of 5-Octadecylpyrrole-2-carboxaldehyde. Bioorg. Med. Chem. 2000, 8, 27–36. [Google Scholar] [CrossRef]
- Wang, W.; Yang, C.R. Phenolic constituents from the fruits of Amomum tsao-ko (Zingiberaceae). Yunnan Zhiwu Yanjiu 2009, 31, 284–288. [Google Scholar] [CrossRef]
- Jin, X.; Shi, S.M.; Zhang, D.F.; Zhu, Z. Chemical constituents of Andrographis paniculata (II). Zhong Cao Yao 2014, 45, 164–169. [Google Scholar]
- Peng, X.P.; Wang, Y.; Liu, P.P.; Hong, K.; Chen, H.; Yin, X.; Zhu, W.M. Aromatic compounds from the halotolerant fungal strain of Wallemia sebi PXP-89 in a hypersaline medium. Arch. Pharm. Res. 2011, 34, 907–912. [Google Scholar] [CrossRef]
- Han, Z.; Mei, W.L.; Cui, H.B.; Zeng, Y.B.; Lin, H.P.; Hong, K.; Dai, H.F. Antibacterial constituents from the endophytic fungus Penicillium sp. of mangrove plant Cerbera manghas. Gaodeng Xuexiao Huaxue Xuebao 2008, 29, 749–752. [Google Scholar]
- Wang, L.; Li, C.; Yu, G.; Sun, Z.; Zhang, G.; Gu, Q.; Zhu, T.; Che, Q.; Guan, H.; Li, D. Dicitrinones E and F, citrinin dimers from the marine derived fungus Penicillium citrinum HDN-152-088. Tetrahedron Lett. 2019, 60, 151182–151187. [Google Scholar] [CrossRef]
- Song, T.; Chen, M.; Ge, Z.W.; Chai, W.; Li, X.C.; Zhang, Z.; Lian, X.Y. Bioactive penicipyrrodiether A, an adduct of GKK1032 analogue and phenol A derivative, from a marine-sourced fungus Penicillium sp. ZZ380. J. Org. Chem. 2018, 83, 13395–13401. [Google Scholar] [CrossRef]
- Krick, A.; Kehraus, S.; Gerhauser, C.; Klimo, K.; Nieger, M.; Maier, A.; Fiebig, H.H.; Atodiresei, I.; Raabe, G.; Fleischhauer, J.; et al. Potential cancer chemopreventive in vitro activities of monomeric xanthone derivatives from the marine algicolous fungus Monodictys putredinis. J. Nat. Prod. 2007, 70, 353–360. [Google Scholar] [CrossRef]
- Yurchenko, A.N.; Smetanina, O.F.; Kalinovsky, A.I.; Pivkin, M.V.; Dmitrenok, P.S.; Kuznetsova, T.A. A new meroterpenoid from the marine fungus Aspergillus versicolor (Vuill.) Tirab. Russ. Chem. Bull. 2010, 59, 852–856. [Google Scholar] [CrossRef]
- Wei, P.Y.; Li, L.; Yang, C.G.; Luo, D.Q.; Zheng, Z.H.; Lu, X.H.; Shi, B.Z. A novel oxybis cresol verticilatin with highly varying degrees of biological activities from the insect pathogenic fungus Paecilomyces verticillatus. J. Asian Nat. Prod. Res. 2014, 16, 1153–1157. [Google Scholar] [CrossRef] [PubMed]
- Sadorn, K.; Saepua, S.; Boonyuen, N.; Laksanacharoen, P.; Rachtawee, P.; Pittayakhajonwut, P. Antimicrobial activity and cytotoxicity of polyketides isolated from the mushroom Xerula sp. BCC56836. RSC Adv. 2016, 6, 94510–94523. [Google Scholar] [CrossRef]
- Wakana, D.; Hosoe, T.; Itabashi, T.; Okada, K.; de Campos Takaki, G.M.; Yaguchi, T.; Fukushima, K.; Kawai, K. New citrinin derivatives isolated from Penicillium citrinum. J. Nat. Med. 2006, 60, 279–284. [Google Scholar] [CrossRef]
- Xu, L.L.; Cao, F.; Tian, S.S.; Zhu, H.J. Alkaloids and polyketides from the soil fungus Aspergillus terreus and their antibacterial activities. Chem. Nat. Compd. 2017, 53, 1212–1215. [Google Scholar] [CrossRef]
- Ebrahim, W.; El-Neketi, M.; Lewald, L.I.; Orfali, R.S.; Lin, W.; Rehberg, N.; Kalscheuer, R.; Daletos, G.; Proksch, P. Metabolites from the fungal endophyte Aspergillus austroafricanus in axenic culture and in fungal–bacterial mixed cultures. J. Nat. Prod. 2016, 79, 914–922. [Google Scholar] [CrossRef]
- Sassa, T.; Aoki, H.; Namiki, M.; Munakata, K. Plant growth promoting metabolites of Sclerotinia sclerotioum. Agric. Biol. Chem. 1968, 32, 1432–1439. [Google Scholar]
- Kimura, Y.; Nakadoi, M.; Shimada, A.; Nakajima, H.; Hamasaki, T. Biosyntheses of sescandelin and sescandelin B: New isocoumarin compounds produced by the fungus, Sesquicilium candelabrum. Biosci. Biotech. Biochem. 1994, 58, 1525–1526. [Google Scholar] [CrossRef]
- Xia, N.N.; Gao, J.P.; Cai, X.L.; She, Z.G. Secondary metabolites of mangrove endophytic fungus SK5 in the South China Sea. Zhong Yao Cai 2009, 32, 1843–1845. [Google Scholar]
- Clark, B.R.; Capon, R.J.; Lacey, E.; Tennant, S.; Gill, J.H. Citrinin revisited: From monomers to dimers and beyond. Org. Biomol. Chem. 2006, 4, 1520–1528. [Google Scholar] [CrossRef]
- Han, Z.; Mei, W.; Zhao, Y.; Deng, Y.; Dai, H. A new cytotoxic isocoumarin from endophytic fungus Penicillium sp. 091402 of the mangrove plant Bruguiera sexangula. Chem. Nat. Compd. 2009, 45, 805–807. [Google Scholar] [CrossRef]
- Abbas, Z.; Siddiqui, B.S.; Shahzad, S.; Sattar, S.; Begum, S.; Batool, A.; Choudhary, M.I. Lawsozaheer, a new chromone produced by an endophytic fungus Paecilomyces variotii isolated from Lawsonia Alba Lam. inhibits the growth of Staphylococcus aureus. Nat. Prod. Res. 2021, 35, 4448–4453. [Google Scholar] [CrossRef]
- Zhou, Y.; Debbab, A.; Mándi, A.; Wray, V.; Schulz, B.; Müller, W.E.G.; Kassack, M.; Lin, W.; Kurtán, T.; Proksch, P.; et al. Alkaloids from the sponge-associated fungus Aspergillus sp. Eur. J. Org. Chem. 2013, 2013, 894–906. [Google Scholar] [CrossRef]
- Chai, Y.J.; Cui, C.B.; Li, C.W.; Wu, C.J.; Tian, C.K.; Hua, W. Activation of the dormant secondary metabolite production by introducing gentamicin-resistance in a marine-derived Penicillium purpurogenum G59. Mar. Drugs 2012, 10, 559–582. [Google Scholar] [CrossRef] [PubMed]
- Cai, S.; Zhu, T.; Du, L.; Zhao, B.; Li, D.; Gu, Q. Sterigmatocystins from the deep-sea-derived fungus Aspergillus versicolor. J. Antibiot. 2011, 64, 193–196. [Google Scholar] [CrossRef]
- Kharlamova, T.V. Reaction of frangula-emodin with α-bromoalkylmethketones. Chem. Nat. Compd. 2007, 43, 391–394. [Google Scholar] [CrossRef]
- Fredimoses, M.; Zhou, X.; Ai, W.; Tian, X.; Yang, B.; Lin, X.; Liu, J.; Liu, Y. Emerixanthone E, a new xanthone derivative from deep sea fungus Emericella sp SCSIO 05240. Nat. Prod. Res. 2019, 33, 2088–2094. [Google Scholar] [CrossRef] [PubMed]
- Wang, G.K.; Zheng, J.; Yu, Y.; Zhang, N.; Liu, H.W.; Sun, Y.P.; Liu, J.S. Chemical constituents of ethyl acetate fraction from Dioscorea bulbifera. Zhongguo Yaoxue Zazhi 2018, 53, 1815–1820. [Google Scholar]
- Wang, F.; Zhu, H.; Ma, H.; Jiang, J.; Sun, W.; Cheng, L.; Zhang, G.; Zhang, Y. Citrinal B, a new secondary metabolite from endophytic fungus Colletotrichum capsici and structure revision of citrinal A. Tetrahedron Lett. 2016, 57, 4250–4253. [Google Scholar] [CrossRef]
- He, S.; Wang, H.; Yan, X.; Zhu, P.; Chen, J.; Yang, R. Preparative isolation and purification of macrolactin antibiotics from marine bacterium Bacillus amyloliquefaciens using high-speed counter-current chromatography in stepwise elution mode. J. Chromatogr. A 2013, 1272, 15–19. [Google Scholar] [CrossRef]
- Kim, W.G.; Song, N.K.; Yoo, I.D. Quinolactacins Al and A2, new acetylcholinesterase inhibitors from Penicillium citrinum. J. Antibiot. 2001, 54, 831–835. [Google Scholar] [CrossRef]
- Hu, J.S.; Li, Z.; Gao, J.Y.; He, H.T.; Dai, H.Q.; Xia, X.K.; Liu, C.H.; Zhang, L.X.; Song, F.H. New diketopiperazines from a marine-derived fungus strain Aspergillus versicolor MF180151. Mar. Drugs 2019, 17, 262. [Google Scholar] [CrossRef]
- Li, G.Y.; Li, L.M.; Yang, T.; Chen, X.Z.; Fang, D.M.; Zhan, G.L. Four new alkaloids, Brevianamides O–R, from the fungus Aspergillus versicolor. Helv. Chim. Acta 2010, 93, 2075–2080. [Google Scholar] [CrossRef]
- Li, G.Y.; Yang, T.; Luo, Y.G.; Chen, X.Z.; Fang, D.M.; Zhang, G.L. Brevianamide J, a new indole alkaloid dimer from fungus Aspergillus versicolor. Org. Lett. 2009, 11, 3714–3717. [Google Scholar] [CrossRef] [PubMed]
- Ye, G.T.; Huang, C.Y.; Li, J.L.; Chen, T.; Tang, J.; Liu, W.B.; Long, Y.H. Isolation, structural characterization and antidiabetic activity of new diketopiperazine alkaloids from mangrove endophytic fungus Aspergillus sp. 16-5c. Mar. Drugs 2021, 19, 402. [Google Scholar] [CrossRef]
- Wang, F.Z.; Huang, Z.; Shi, X.F.; Chen, Y.C.; Tian, X.P.; Li, J.; Zhang, W.M.; Zhang, S. Analysis of secondary metabolites produced by Eurotium sp. SCSIO F452 isolated from the South China Sea sediment. Chin. J. Mar. Drugs 2013, 32, 7–12. [Google Scholar]
- Wang, R.P.; Lin, H.W.; Li, L.Z.; Gao, P.Y.; Xu, Y.; Song, S.J. Monoindole alkaloids from a marine sponge Mycale fibrexilis. Biochem. Syst. Ecol. 2012, 43, 210–213. [Google Scholar] [CrossRef]
- Bao, B.; Zhang, P.; Lee, Y.; Hong, J.; Lee, C.O.; Jung, J.H. Monoindole alkaloids from a marine sponge Spongosorites sp. Mar. Drugs 2007, 5, 31–39. [Google Scholar] [CrossRef] [PubMed]
- Yu, Z.Y.; Yu, M.M.; Luo, J.Y.; Huang, S.X.; Su, C.; Xue, Q.H.; Sun, Y.; Ma, Y.T. Isolation, identification and antimicrobial activity of secondary metabolites from a soil-derived Streptomyces from arid habitats of Qinghai. Tianran Chanwu Yanjiu Yu Kaifa 2015, 27, 1900–1904. [Google Scholar]
- Huang, Z.; Yang, R.; Guo, Z.; She, Z.; Lin, Y. A new xanthone derivative from mangrove endophytic fungus No. ZSU-H16. Chem. Nat. Compd. 2010, 46, 348–351. [Google Scholar] [CrossRef]
- Yang, S.Q.; Li, X.M.; Xu, G.M.; Li, X.; An, C.Y.; Wang, B.G. Antibacterial anthraquinone derivatives isolated from a mangrove-derived endophytic fungus Aspergillus nidulans by ethanol stress strategy. J. Antibiot. 2018, 71, 778–784. [Google Scholar] [CrossRef]
- Chen, C.H.; Shaw, C.Y.; Chen, C.C.; Tsai, Y.C. 2,3,4-Trimethyl-5,7-dihydroxy-2,3-dihydrobenzofuran, a novel antioxidant, from Penicillium citrinum F5. J. Nat. Prod. 2002, 65, 740–741. [Google Scholar] [CrossRef]
- Yao, G.; Sebisubi, F.M.; Voo, L.Y.C.; Ho, C.C.; Tan, G.T.; Chang, L.C. Citrinin derivatives from the soil filamentous fungus Penicillium sp. H9318. J. Braz. Chem. Soc. 2011, 22, 1125–1129. [Google Scholar] [CrossRef]
- Xing, C.P.; Chen, D.; Xie, C.L.; Liu, Q.; Zhong, T.H.; Shao, Z.; Liu, G.; Luo, L.Z.; Yang, X.W. Anti-food allergic compounds from penicillium griseofulvum MCCC 3A00225, a deep-sea-derived fungus. Mar. Drugs 2021, 19, 224. [Google Scholar] [CrossRef] [PubMed]
- Liu, Q.M.; Yang, Y.; Maleki, S.J.; Alcocer, M.; Xu, S.S.; Shi, C.L.; Cao, M.J.; Liu, G.M. Anti-food allergic activity of sulfated polysaccharide from Gracilaria lemaneiformis is dependent on immunosuppression and inhibition of p38 MAPK. J. Agric. Food. Chem. 2016, 64, 4536–4544. [Google Scholar] [CrossRef] [PubMed]
- Guo, Y.; Hou, E.; Wen, T.; Yan, X.; Han, M.; Bai, L.-P.; Fu, X.; Liu, J.; Qin, S. Development of membrane-active honokiol/magnolol amphiphiles as potent antibacterial agents against methicillin-resistant Staphylococcus aureus (MRSA). J. Med. Chem. 2021, 64, 12903–12916. [Google Scholar] [CrossRef] [PubMed]

), HMBC (
), and NOESY (
) correlations of 1.


) and HMBC (
) correlations of compound 2.

) and HMBC (
) correlations of 3.

), HMBC (
) and NOESY (
) correlations of compound 4.

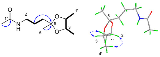
), HMBC (
) and NOESY (
) correlations of compound 6.
| No. | 1 | 2 | ||
|---|---|---|---|---|
| δC | δH | δC | δH | |
| 2 | 87.6 CH | 4.30 (dq, 6.1, 3.9) | 72.1 CH | 3.82 (dq, 6.5, 6.4) |
| 3 | 45.3 CH | 2.90 (dq, 6.8, 3.9) | 43.0 CH | 3.02 (dq, 6.9, 6.5) |
| 4 | 130.4 C | 142.5 C | ||
| 5 | 114.0 C | 116.7 C | ||
| 6 | 148.0 C | 154.7 C | ||
| 7 | 117.6 C | 115.8 C | ||
| 8 | 138.2 C | 154.3 C | ||
| 9 | 140.9 C | 107.3 CH | 6.30 s | |
| 10 | 21.2 CH3 | 1.25 (dd, 1.7, 6.1) | 19.4 CH3 | 1.08 (d, 6.4) |
| 11 | 19.8 CH3 | 1.19 (d, 6.8) | 16.2 CH3 | 1.11 (d, 6.9) |
| 12 | 12.3 CH3 | 2.05 s | 11.5 CH3 | 2.12 s |
| 1″ | 20.2 CH2 | 3.70 (dd, 14.2, 2.4) 3.60 (dd, 14.2, 4.4) | 20.0 CH2 | 3.57 (d, 14.2) 3.70 (d, 14.2) |
| 10′ | 137.6 CH | 8.86 s | 144.4 CH | 8.85 s |
| 11′ | 20.0 CH3 | 2.67 s | 23.0 CH3 | 2.51 s |
| 12′ | 16.7 CH3 | 2.70 s | 16.8 CH3 | 2.61 s |
| 13′ | 29.3 CH3 | 1.60 s | 29.6 CH3 | 1.56 s |
| 2′ | 155.8 C | 160.6 C | ||
| 3′ | 135.8 C | 131.3 C | ||
| 4′ | 159.0 C | 152.1 C | ||
| 5′ | 74.7 C | 74.2 C | ||
| 6′ | 196.2 C | 195.9 C | ||
| 7′ | 112.6 C | 111.7 C | ||
| 8′ | 175.3 C | 179.6 C | ||
| 9′ | 128.0 C | 126.7 C | ||
| No. | 3 | 4 | ||
|---|---|---|---|---|
| δC | δH | δC | δH | |
| 12/12’ | 11.6 CH3 | 2.10 s | 11.7 CH3 | 2.22 s |
| 11/11’ | 16.5 CH3 | 1.12 (d, 6.8) | 20.0 CH3 | 1.26 m |
| 10/10’ | 19.6 CH3 | 1.10 (d, 6.3) | 21.3 CH3 | 1.32 m |
| 1’’ | 27.7 CH | 4.90 m | 25.6 CH | 4.48 (dd, 13.4, 6.7) |
| 2’’ | 17.8 CH3 | 1.80 (d, 7.5) | 23.0 CH3 | 1.24 m |
| 3/3’ | 42.9 CH | 3.02 (dq, 6.8, 6.5) | 45.4 CH | 3.05 m |
| 2/2’ | 72.1 CH | 3.80 (dq, 6.5, 6.3) | 88.1 CH | 4.40 m |
| 4/4’ | 143.2 C | 130.2 C | ||
| 5/5’ | 117.6 C | 113.0 C | ||
| 6/6’ | 154.6 C | 146.3 C | ||
| 7/7’ | 116.7 C | 116.4 C | ||
| 8/8’ | 152.9 C | 136.5 C | ||
| 9/9’ | 106.7 CH | 6.37 s | 141.9 C | |
| No. | 5 a | 6 b | ||
|---|---|---|---|---|
| δC | δH | δC | δH | |
| 2 | 156.4 C | 39.6 CH2 | 3.25 (dd, 12.7, 6.4) | |
| 3 | 110.5 C | 23.7 CH2 | 1.67 m, 1.62 m | |
| 4 | 140.7 C | 37.6 CH2 | 1.66 m | |
| 5 | 102.6 CH | 6.49 (d, 1.6) | 108.8 C | |
| 6 | 167.5 C | 25.8 CH3 | 1.30 s | |
| 7 | 101.8 CH | 6.34 (d, 1.6) | ||
| 8 | 165.3 C | |||
| 9 | 99.7 C | |||
| 10 | 166.8 C | |||
| 11 | 60.2 CH2 | 5.13 s | ||
| 12 | 17.2 CH3 | 2.39 s | ||
| 1′ | 172.5 C | 17.2 CH3 | 1.23 (d, 5.8) | |
| 2′ | 20.7 CH3 | 2.04 s | 78.0 CH | 3.68 m |
| 3′ | 79.0 CH | 3.56 m | ||
| 4′ | 16.4 CH3 | 1.24 (d, 5.7) | ||
| 1″ | 170.0 C | |||
| 2″ | 23.3 CH3 | 1.95 s | ||
| Compounds/Isomers | Specific Rotation (°) | Energy (Hartree) | Energy (kcal/mol) | Population (%) |
|---|---|---|---|---|
| 6 | +18 | - | - | - |
| 2′R, 3′R-6A | −236 | −712.34661 | 0.29 | 36 |
| 2′R, 3′R-6B | −21 | −712.3448059 | 1.42 | 5.3 |
| 2′R, 3′R-6C | −112 | −712.3470707 | 0 | 58.7 |
| Compounds | IC50 (µM) a | Compounds | MIC (µM) b |
|---|---|---|---|
| 17 | 13.4 ± 1.2 | 17 | 128 |
| 32 | 7.9 ± 3.0 | 20 | 256 |
| Others | - | Others | - |
| Loratadine * | 89.9 | Vancomycin * | >32 |
Disclaimer/Publisher’s Note: The statements, opinions and data contained in all publications are solely those of the individual author(s) and contributor(s) and not of MDPI and/or the editor(s). MDPI and/or the editor(s) disclaim responsibility for any injury to people or property resulting from any ideas, methods, instructions or products referred to in the content. |
© 2023 by the authors. Licensee MDPI, Basel, Switzerland. This article is an open access article distributed under the terms and conditions of the Creative Commons Attribution (CC BY) license (https://creativecommons.org/licenses/by/4.0/).
Share and Cite
Lin, S.-H.; Yan, Q.-X.; Zhang, Y.; Wu, T.-Z.; Zou, Z.-B.; Liu, Q.-M.; Jiang, J.-Y.; Xie, M.-M.; Xu, L.; Hao, Y.-J.; et al. Citriquinolinones A and B: Rare Isoquinolinone-Embedded Citrinin Analogues and Related Metabolites from the Deep-Sea-Derived Aspergillus versicolor 170217. Mar. Drugs 2023, 21, 504. https://doi.org/10.3390/md21100504
Lin S-H, Yan Q-X, Zhang Y, Wu T-Z, Zou Z-B, Liu Q-M, Jiang J-Y, Xie M-M, Xu L, Hao Y-J, et al. Citriquinolinones A and B: Rare Isoquinolinone-Embedded Citrinin Analogues and Related Metabolites from the Deep-Sea-Derived Aspergillus versicolor 170217. Marine Drugs. 2023; 21(10):504. https://doi.org/10.3390/md21100504
Chicago/Turabian StyleLin, Shui-Hua, Qing-Xiang Yan, Yong Zhang, Tai-Zong Wu, Zheng-Biao Zou, Qing-Mei Liu, Jia-Yang Jiang, Ming-Min Xie, Lin Xu, You-Jia Hao, and et al. 2023. "Citriquinolinones A and B: Rare Isoquinolinone-Embedded Citrinin Analogues and Related Metabolites from the Deep-Sea-Derived Aspergillus versicolor 170217" Marine Drugs 21, no. 10: 504. https://doi.org/10.3390/md21100504
APA StyleLin, S.-H., Yan, Q.-X., Zhang, Y., Wu, T.-Z., Zou, Z.-B., Liu, Q.-M., Jiang, J.-Y., Xie, M.-M., Xu, L., Hao, Y.-J., Liu, Z., Liu, G.-M., & Yang, X.-W. (2023). Citriquinolinones A and B: Rare Isoquinolinone-Embedded Citrinin Analogues and Related Metabolites from the Deep-Sea-Derived Aspergillus versicolor 170217. Marine Drugs, 21(10), 504. https://doi.org/10.3390/md21100504

