Aromatic Polyketides from the Deep-Sea Cold-Seep Mussel Associated Endozoic Fungus Talaromyces minioluteus CS-138
Abstract
:1. Introduction
2. Results and Discussion
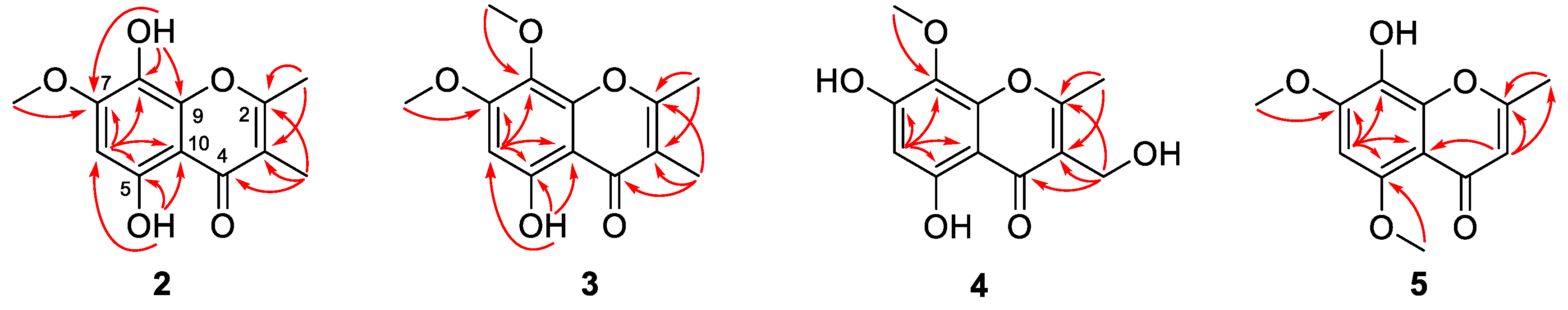
2.1. Structure Elucidation of the New Compounds
2.2. Antibacterial Assays
2.3. DPPH Scavenging Activities
3. Experimental Section
3.1. General Experimental Procedures
3.2. Fungal Material
3.3. Fermentation, Extraction, and Isolation
3.4. X-ray Crystallographic Analysis of Compounds 2, 4, and 5 [13]
3.5. Antibacterial Assay
3.6. DPPH Radical Scavenging Assay
4. Conclusions
Supplementary Materials
Author Contributions
Funding
Institutional Review Board Statement
Informed Consent Statement
Data Availability Statement
Acknowledgments
Conflicts of Interest
References
- Lu, L.; Zheng, Y.-Y.; Shao, C.-L.; Wang, C.-Y. Metabolites from marine invertebrates and their symbiotic microorganisms: Molecular diversity discovery, mining, and application. Mar. Life Sci. Technol. 2019, 1, 60–94. [Google Scholar] [CrossRef]
- Jones, W.J.; Won, Y.-J.; Maas, P.; Smith, P.J.; Lutz, R.A.; Vrijenhoek, R.C. Evolution of habitat use by deep-sea mussels. Mar. Biol. 2006, 148, 841–851. [Google Scholar] [CrossRef]
- Hu, X.-Y.; Wang, C.-Y.; Li, X.-M.; Yang, S.-Q.; Li, X.; Wang, B.-G.; Si, S.-Y.; Meng, L.-H. Cytochalasin derivatives from the endozoic Curvularia verruculosa CS-129, a fungus isolated from the deep-sea squat lobster Shinkaia crosnieri living in the cold seep environment. J. Nat. Prod. 2021, 84, 3122–3130. [Google Scholar] [CrossRef] [PubMed]
- Shin, H.J. Natural products from marine fungi. Mar. Drugs 2020, 18, 230. [Google Scholar] [CrossRef] [PubMed]
- Chi, L.-P.; Li, X.-M.; Wan, Y.-P.; Li, X.; Wang, B.-G. Ophiobolin sesterterpenoids and farnesylated phthalide derivatives from the deep sea cold-seep-derived fungus Aspergillus insuetus SD-512. J. Nat. Prod. 2020, 83, 3652–3660. [Google Scholar] [CrossRef] [PubMed]
- Chi, L.-P.; Li, X.-M.; Li, L.; Li, X.; Wang, B.-G. Cytotoxic thiodiketopiperazine derivatives from the deep sea-derived fungus Epicoccum nigrum SD-388. Mar. Drugs 2020, 18, 160. [Google Scholar] [CrossRef] [PubMed]
- Yan, L.-H.; Li, X.-M.; Chi, L.-P.; Li, X.; Wang, B.-G. Six new antimicrobial metabolites from the deep-sea sediment-derived fungus Aspergillus fumigatus SD-406. Mar. Drugs 2022, 20, 4. [Google Scholar] [CrossRef] [PubMed]
- Yan, L.-H.; Li, P.-H.; Li, X.-M.; Yang, S.-Q.; Liu, K.-C.; Wang, B.-G.; Li, X. Chevalinulins A and B, proangiogenic alkaloids with a spiro[bicyclo[2.2.2]octane-diketopiperazine] skeleton from deep-sea cold-seep-derived fungus Aspergillus chevalieri CS-122. Org. Lett. 2022, 24, 2684–2688. [Google Scholar] [CrossRef] [PubMed]
- Ngokpol, S.; Suwakulsiri, W.; Sureram, S.; Lirdprapamongkol, K.; Aree, T.; Wiyakrutta, S.; Mahidol, C.; Ruchirawat, S.; Kittakoop, P. Drimane sesquiterpene-conjugated amino acids from a marine isolate of the fungus Talaromyces minioluteus (Penicillium Minioluteum). Mar. Drugs 2015, 13, 3567–3580. [Google Scholar] [CrossRef] [PubMed]
- Tanahashi, T.; Takenaka, Y.; Nagakura, N.; Hamada, N. 2,3-Dialkylchromones from mycobiont cultures of the lichen Graphis scripta. Heterocycles 2000, 53, 1589–1593. [Google Scholar] [CrossRef]
- Wu, M.-C.; Peng, C.-F.; Chen, I.-S.; Tsai, I.-L. Antitubercular chromones and flavonoids from Pisonia aculeata. J. Nat. Prod. 2011, 74, 976–982. [Google Scholar] [CrossRef] [PubMed]
- Wang, S.; Li, X.-M.; Teuscher, F.; Li, D.-L.; Diesel, A.; Ebel, R.; Proksch, P.; Wang, B.-G. Chaetopyranin, a benzaldehyde derivative, and other related metabolites from Chaetomium globosum, an endophytic fungus derived from the marine red alga Polysiphonia urceolata. J. Nat. Prod. 2006, 69, 1622–1625. [Google Scholar] [CrossRef] [PubMed]
- Crystallographic Data of Compounds 2, 4, and 5 Have Been Deposited in the Cambridge Crystallographic Data Centre as CCDCs 2153737 (for 2), 2153739 (for 4), and 2153738 (for 5). CCDC, 12 Union Road, Cambridge CB21EZ, UK. Available online: http://www.ccdc.cam.ac.uk/data_request/cif (accessed on 19 July 2022).
- Sheldrick, G.M. SADABS, Software for Empirical Absorption Correction; University of Göttingen: Göttingen, Germany, 1996. [Google Scholar]
- Sheldrick, G.M. SHELXTL, Structure Determination Software Programs; Bruker Analytical X-ray System Inc.: Madison, WI, USA, 1997. [Google Scholar]
- Sheldrick, G.M. SHELXL-97 and SHELXS-97, Program for X-ray Crystal Structure Solution and Refinement; University of Göttingen: Göttingen, Germany, 1997. [Google Scholar]
- Pierce, C.G.; Uppuluri, P.; Tristan, A.R.; Wormley, F.L., Jr.; Mowat, E.; Ramage, G.; Lopez-Ribot, J.L. A simple and reproducible 96-well plate-based method for the formation of fungal biofilms and its application to antifungal susceptibility testing. Nat. Protoc. 2008, 3, 1494–1500. [Google Scholar] [CrossRef] [PubMed]
- Sharma, O.P.; Bhat, T.K. DPPH antioxidant assay revisited. Food Chem. 2009, 113, 1202–1205. [Google Scholar] [CrossRef]
- Zhang, P.; Li, X.-M.; Wang, J.-N.; Li, X.; Wang, B.-G. New butenolide derivatives from the marine-derived fungus Paecilomyces variotii with DPPH radical scavenging activity. Phytochem. Lett. 2015, 11, 85–88. [Google Scholar] [CrossRef]




| Compound 1 (DMSO-d6) | |||||
|---|---|---|---|---|---|
| No. | δH (mult, J in Hz) | δC, Type | No. | δH (mult, J in Hz) | δC, Type |
| 1 | 172.1, C | 2′ | 115.0, C | ||
| 2 | 2.55, dd (7.9, 6.7) | 31.9, CH2 | 3′ | 153.7, C | |
| 3 | 2.72, m | 21.7, CH2 | 4′ | 110.7, C | |
| 4 | 149.8, C | 5′ | 153.1, C | ||
| 5 | 116.9, C | 6′ | 6.21, s | 108.8, CH | |
| 6 | 119.5, C | 7-CH3 | 1.86, s | 17.4, CH3 | |
| 7 | 130.9, C | 2′-CH3 | 1.79, s | 13.2, CH3 | |
| 8 | 6.41, d (2.0) | 112.9, CH | 4′-CH3 | 2.04, s | 9.3, CH3 |
| 9 | 154.4, C | 9-OH | 8.10, s | ||
| 10 | 6.68, d (2.0) | 95.1, CH | 3′-OH | 9.31, s | |
| 11 | 154.7, C | 5′-OH | 8.96, s | ||
| 1′ | 130.2, C | 1-OCH3 | 3.55, s | 51.4, CH3 | |
| δH (mult, J in Hz) | ||||
|---|---|---|---|---|
| No. | 2 | 3 | 4 | 5 |
| 3 | 5.90, s | |||
| 6 | 6.49, s | 6.53, s | 6.18, s | 6.62, s |
| 2-CH3 | 2.40, s | 2.42, s | 2.47, s | 2.27, s |
| 3-CH3/CH2 | 1.90, s | 1.91, s | 4.35, s | |
| 5-OH | 12.48, s | 12.82, s | 12.65, s | |
| 8-OH | 8.71, s | |||
| 5-OCH3 | 3.79, s | |||
| 7-OCH3 | 3.87, s | 3.88, s | 3.92, s | |
| 8-OCH3 | 3.74, s | 3.74, s | ||
| δC, Type | ||||
|---|---|---|---|---|
| No. | 2 | 3 | 4 | 5 |
| 2 | 163.6, C | 163.8, C | 166.0, C | 163.2, C |
| 3 | 113.5, C | 114.0, C | 118.0, C | 110.5, CH |
| 4 | 181.6, C | 181.4, C | 180.3, C | 176.0, C |
| 5 | 152.7, C | 156.5, C | 156.4, C | 151.8, C |
| 6 | 95.2, CH | 95.5, CH | 99.5, CH | 94.1, CH |
| 7 | 153.3, C | 157.8, C | 159.7, C | 151.2, C |
| 8 | 125.6, C | 127.8, C | 127.6, C | 127.8, C |
| 9 | 144.4, C | 148.7, C | 149.4, C | 147.1, C |
| 10 | 103.0, C | 103.0, C | 101.8, C | 107.9, C |
| 2-CH3 | 18.4, CH3 | 18.5, CH3 | 18.0, CH3 | 19.3, CH3 |
| 3-CH3/CH2 | 8.8, CH3 | 8.8, CH3 | 52.2, CH2 | |
| 5-OCH3 | 56.4, CH3 | |||
| 7-OCH3 | 56.2, CH3 | 56.4, CH3 | 56.2, CH3 | |
| 8-OCH3 | 60.9, CH3 | 60.5, CH3 | ||
| Strains | 1 | 2 | 3 | Chloramphenicol |
|---|---|---|---|---|
| Methicillin-resistant Staphylococcus aureus | 32 | - | 64 | 4 |
| Micrococcus luteus | 32 | - | - | 4 |
| Pseudomonas aeruginosa | 64 | - | - | 0.5 |
| Vibrio harveyi | 32 | - | - | 2 |
| Vibrio vulnificus | 64 | 32 | 64 | 1 |
| Compounds | 1 | 2 | 3 | 4 |
| IC50 (μM) | 24.10 ± 0.53 | 6.56 ± 0.21 | >200 ± 3.10 | >200 ± 2.75 |
| Compounds | 5 | 6 | BHT | |
| IC50 (μM) | 9.03 ± 0.65 | >200 ± 1.80 | 61.39 ± 1.04 |
Publisher’s Note: MDPI stays neutral with regard to jurisdictional claims in published maps and institutional affiliations. |
© 2022 by the authors. Licensee MDPI, Basel, Switzerland. This article is an open access article distributed under the terms and conditions of the Creative Commons Attribution (CC BY) license (https://creativecommons.org/licenses/by/4.0/).
Share and Cite
Song, Q.; Yang, S.-Q.; Li, X.-M.; Hu, X.-Y.; Li, X.; Wang, B.-G. Aromatic Polyketides from the Deep-Sea Cold-Seep Mussel Associated Endozoic Fungus Talaromyces minioluteus CS-138. Mar. Drugs 2022, 20, 529. https://doi.org/10.3390/md20080529
Song Q, Yang S-Q, Li X-M, Hu X-Y, Li X, Wang B-G. Aromatic Polyketides from the Deep-Sea Cold-Seep Mussel Associated Endozoic Fungus Talaromyces minioluteus CS-138. Marine Drugs. 2022; 20(8):529. https://doi.org/10.3390/md20080529
Chicago/Turabian StyleSong, Qi, Sui-Qun Yang, Xiao-Ming Li, Xue-Yi Hu, Xin Li, and Bin-Gui Wang. 2022. "Aromatic Polyketides from the Deep-Sea Cold-Seep Mussel Associated Endozoic Fungus Talaromyces minioluteus CS-138" Marine Drugs 20, no. 8: 529. https://doi.org/10.3390/md20080529
APA StyleSong, Q., Yang, S.-Q., Li, X.-M., Hu, X.-Y., Li, X., & Wang, B.-G. (2022). Aromatic Polyketides from the Deep-Sea Cold-Seep Mussel Associated Endozoic Fungus Talaromyces minioluteus CS-138. Marine Drugs, 20(8), 529. https://doi.org/10.3390/md20080529

