Cosmetic Potential of Pigments Extracts from the Marine Cyanobacterium Cyanobium sp.
Abstract
:1. Introduction
2. Results
2.1. Extract Cytotoxicity
2.2. Enzymatic Activity
2.3. Cyanobium sp. Cosmetic Ingredients
2.3.1. Ingredient Characterization
2.3.2. Hot–Cold Ingredient Stability
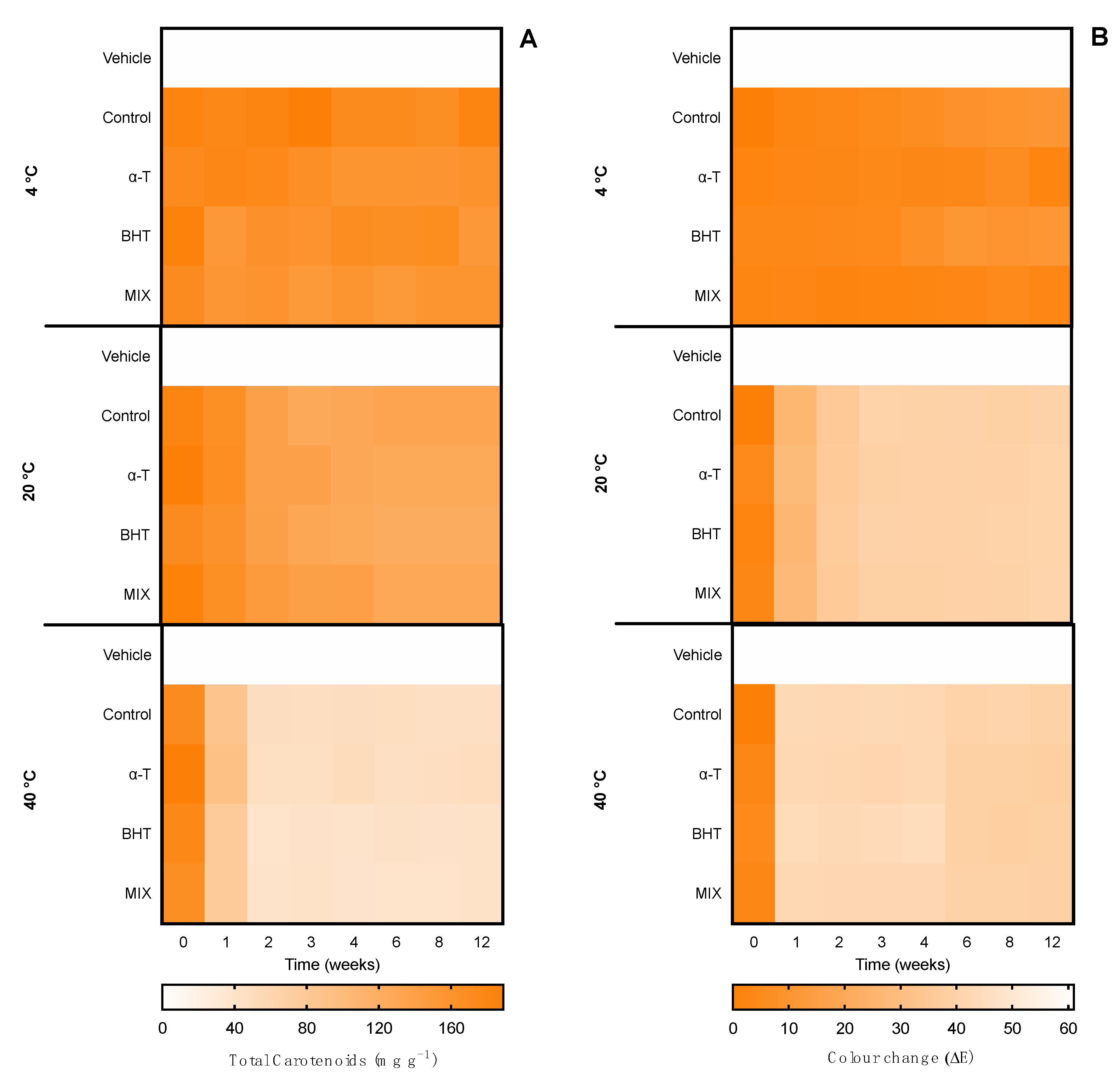
2.3.3. Accelerated Ingredient Stability
2.4. Serum Formulation
2.4.1. Formulation Characterization
2.4.2. Serum Hot–Cold Stability
2.4.3. Serum Accelerated Stability
3. Discussion
4. Materials and Methods
4.1. Cyanobacterial Biomass Source
4.2. Pigment-Targeted Extracts
4.3. Extract Cytotoxicity
4.4. Enzymatic Activities
4.4.1. Hyaluronidase
4.4.2. Tyrosinase
4.4.3. Elastase
4.4.4. Collagenase
4.5. Cyanobium sp. Cosmetic Ingredients
4.5.1. Ingredient Vehicle
4.5.2. Ingredient Characterization
4.5.3. Color
4.5.4. pH and Conductivity
4.5.5. Phase Separation
4.5.6. Viscosity
4.5.7. Total Pigments
4.5.8. Bioactive Capacity
4.5.9. Antioxidant Supplementation and Compatibility
4.5.10. Ingredient Hot–Cold Stability
4.5.11. Accelerated Ingredient Stability
4.6. Serum Formulation
4.6.1. Formulation
4.6.2. Formulation Characterization
4.6.3. Serum Hot–Cold Stability
4.6.4. Accelerated Serum Stability
4.7. Statistical Analysis
5. Conclusions
6. Patents
Author Contributions
Funding
Institutional Review Board Statement
Data Availability Statement
Conflicts of Interest
References
- Scott, D.A. A Review of Ancient Egyptian Pigments and Cosmetics. Stud. Conserv. 2016, 61, 185–202. [Google Scholar] [CrossRef]
- Chiu, S.P.; Chuang, L.W. Analysis on the Development Trend of Green Cosmetics. In Proceedings of the 2017 IEEE International Conference on Consumer Electronics-Taiwan, ICCE-TW 2017, Taipei, Taiwan, 12–14 June 2017; pp. 291–292. [Google Scholar] [CrossRef]
- Sahota, A. Introduction to Sustainability. In Sustainability: How the Cosmetics Industry is Greening Up; John Wiley & Sons, Ltd.: London, UK, 2013; pp. 1–15. ISBN 9781118676516. [Google Scholar] [CrossRef]
- Guedes, A.C.; Amaro, H.M.; Malcata, F.X. Microalgae as Sources of High Added-Value Compounds-a Brief Review of Recent Work. Biotechnol. Prog. 2011, 27, 597–613. [Google Scholar] [CrossRef] [PubMed]
- Joshi, S.; Kumari, R.; Upasani, V.N. Applications of Algae in Cosmetics: An Overview. Int. J. Innov. Res. Sci. Eng. Technol. 2018, 7, 1269–1278. [Google Scholar]
- Morone, J.; Alfeus, A.; Vasconcelos, V.; Martins, R. Revealing the Potential of Cyanobacteria in Cosmetics and Cos-meceuticals—A New Bioactive Approach. Algal Res. 2019, 41, 101541. [Google Scholar] [CrossRef]
- Anunciato, T.P.; Rocha-Filho, P.A. Carotenoids and Polyphenols in Nutricosmetics, Nutraceuticals, and Cosmeceuticals. J. Cosmet. Dermatol. 2012, 11, 51–54. [Google Scholar] [CrossRef] [PubMed]
- Shegokar, R.; Mitri, K. Carotenoid Lutein: A Promising Candidate for Pharmaceutical and Nutraceutical Applications. J. Diet. Suppl. 2012, 9, 183–210. [Google Scholar] [CrossRef]
- Pagels, F.; Vasconcelos, V.; Guedes, A.C. Carotenoids from Cyanobacteria: Biotechnological Potential and Optimization Strategies. Biomolecules 2021, 11, 735. [Google Scholar] [CrossRef] [PubMed]
- Pagels, F.; Guedes, A.C.; Amaro, H.M.; Kijjoa, A.; Vasconcelos, V. Phycobiliproteins from Cyanobacteria: Chemistry and Biotechnological Applications. Biotechnol. Adv. 2019, 37, 422–443. [Google Scholar] [CrossRef] [PubMed]
- Balboa, E.M.; Conde, E.; Soto, M.L.; Pérez-Armada, L.; Domínguez, H. Cosmetics from Marine Sources. In Springer Handbook of Marine Biotechnology; Kim, S.-K., Ed.; Springer: Berlin Heidelberg, Germany, 2015; pp. 1015–1042. ISBN 9783642539718. [Google Scholar] [CrossRef]
- Pagels, F.; Lopes, G.; Vasconcelos, V.; Guedes, A.C. White and Red LEDs as Two-Phase Batch for Cyanobacterial Pigments Production. Bioresour. Technol. 2020, 307, 123105. [Google Scholar] [CrossRef] [PubMed]
- Pagels, F.; Salvaterra, D.; Amaro, H.M.; Lopes, G.; Sousa-Pinto, I.; Vasconcelos, V.; Guedes, A.C. Bioactive Potential of Cyanobium Sp. Pigment-Rich Extracts. J. Appl. Phycol. 2020, 32, 3031–3040. [Google Scholar] [CrossRef]
- Khavkin, J.; Ellis, D.A.F. Aging Skin: Histology, Physiology, and Pathology. Facial Plast. Surg. Clin. N. Am. 2011, 19, 229–234. [Google Scholar] [CrossRef] [PubMed]
- Koch, W.; Zagórska, J.; Marzec, Z.; Kukula-Koch, W. Applications of Tea (Camellia Sinensis) and Its Active Constituents in Cosmetics. Molecules 2019, 24, 4277. [Google Scholar] [CrossRef] [Green Version]
- Chowjarean, V.; Phiboonchaiyanan, P.P.; Harikarnpakdee, S.; Tengamnuay, P. A Natural Skin Anti-Ageing Serum Con-taining Pseudobulb Ethanolic Extract of Grammatophyllum Speciosum: A Randomized Double-Blind, Placebo-Controlled Trial. Int. J. Cosmet. Sci. 2019, 41, 548–557. [Google Scholar] [CrossRef] [PubMed]
- Demay, J.; Bernard, C.; Reinhardt, A.; Marie, B. Natural Products from Cyanobacteria: Focus on Beneficial Activities. Mar. Drugs 2019, 17, 320. [Google Scholar] [CrossRef] [PubMed] [Green Version]
- Ruiz, J.; Olivieri, G.; de Vree, J.; Bosma, R.; Willems, P.; Reith, J.H.; Eppink, M.H.M.; Kleinegris, D.M.M.; Wijffels, R.H.; Barbosa, M.J. Towards Industrial Products from Microalgae. Energy Environ. Sci. 2016, 9, 3036–3043. [Google Scholar] [CrossRef] [Green Version]
- Acién, F.G.; Fernández, J.M.; Magán, J.J.; Molina, E. Production Cost of a Real Microalgae Production Plant and Strategies to Reduce It. Biotechnol. Adv. 2012, 30, 1344–1353. [Google Scholar] [CrossRef]
- Moreira, C.; Gomes, C.; Vasconcelos, V.; Antunes, A. Cyanotoxins Occurrence in Portugal: A New Report on Their Recent Multiplication. Toxins 2020, 12, 154. [Google Scholar] [CrossRef] [PubMed] [Green Version]
- Morone, J.; Lopes, G.; Preto, M.; Vasconcelos, V.; Martins, R. Exploitation of Filamentous and Picoplanktonic Cyanobac-teria for Cosmetic Applications: Potential to Improve Skin Structure and Preserve Dermal Matrix Components. Mar. Drugs 2020, 18, 486. [Google Scholar] [CrossRef]
- Favas, R.; Morone, J.; Martins, R.; Vasconcelos, V.; Lopes, G. Cyanobacteria and Microalgae Bioactive Compounds in Skin-Ageing: Potential to Restore Extracellular Matrix Filling and Overcome Hyperpigmentation. J. Enzym. Inhibi-Tion Med. Chem. 2021, 36, 1829–1838. [Google Scholar] [CrossRef]
- Yamaguchi, Y.; Sakamoto, T.; Koketsu, M. Comparison of Anti-Hyaluronidase Activities and Sugar Compositions of Extracts from Four Edible Species of Nostoc (Cyanobacteria). Algal Resour. 2015, 8, 137–142. [Google Scholar] [CrossRef]
- Yamaguchi, Y.; Koketsu, M. Isolation and Analysis of Polysaccharide Showing High Hyaluronidase Inhibitory Activity in Nostochopsis Lobatus MAC0804NAN. J. Biosci. Bioeng. 2016, 121, 345–348. [Google Scholar] [CrossRef]
- Fujitani, N.; Sakaki, S.; Yamaguchi, Y.; Takenaka, H. Inhibitory Effects of Microalgae on the Activation of Hyaluronidase. J. Appl. Phycol. 2001, 13, 489–492. [Google Scholar] [CrossRef]
- Montalvo, G.E.B.; Thomaz-Soccol, V.; Vandenberghe, L.P.S.; Carvalho, J.C.; Faulds, C.B.; Bertrand, E.; Prado, M.R.M.; Bonatto, S.J.R.; Soccol, C.R. Arthrospira Maxima OF15 Biomass Cultivation at Laboratory and Pilot Scale from Sugarcane Vinasse for Potential Biological New Peptides Production. Bioresour. Technol. 2019, 273, 103–113. [Google Scholar] [CrossRef] [PubMed] [Green Version]
- Tarasuntisuk, S.; Patipong, T.; Hibino, T.; Waditee-Sirisattha, R.; Kageyama, H. Inhibitory Effects of Mycospor-ine-2-Glycine Isolated from a Halotolerant Cyanobacterium on Protein Glycation and Collagenase Activity. Lett. Appl. Microbiol. 2018, 67, 314–320. [Google Scholar] [CrossRef]
- Szterk, A.; Roszko, M.; Górnicka, E. Chemical Stability of the Lipid Phase in Concentrated Beverage Emulsions Colored with Natural β-Carotene. JAOCS J. Am. Oil Chem. Soc. 2013, 90, 483–491. [Google Scholar] [CrossRef] [PubMed] [Green Version]
- Boon, C.S.; McClements, D.J.; Weiss, J.; Decker, E.A. Factors Influencing the Chemical Stability of Carotenoids in Foods. Crit. Rev. Food Sci. Nutr. 2010, 50, 515–532. [Google Scholar] [CrossRef]
- Galetović, A.; Dufossé, L. Phycobiliproteins as Food Additives. In Pigments from Microalgae Handbook; Springer International Publishing: Cham, Switzerland, 2020. [Google Scholar] [CrossRef]
- Mishra, S.K.; Shrivastav, A.; Pancha, I.; Jain, D.; Mishra, S. Effect of Preservatives for Food Grade C-Phycoerythrin, Iso-lated from Marine Cyanobacteria Pseudanabaena Sp. Int. J. Biol. Macromol. 2010, 47, 597–602. [Google Scholar] [CrossRef] [PubMed]
- Ferreres, F.; Gil-Izquierdo, A.; Vinholes, J.; Silva, S.T.; Valentão, P.; Andrade, P.B. Bauhinia Forficata Link Authenticity Using Flavonoids Profile: Relation with Their Biological Properties. Food Chem. 2012, 134, 894–904. [Google Scholar] [CrossRef]
- Adhikari, A.; Devkota, H.P.; Takano, A.; Masuda, K.; Nakane, T.; Basnet, P.; Skalko-Basnet, N. Screening of Nepalese Crude Drugs Traditionally Used to Treat Hyperpigmentation: In Vitro Tyrosinase Inhibition. Int. J. Cosmet. Sci. 2008, 30, 353–360. [Google Scholar] [CrossRef] [PubMed]
- Mota, F.A.R.; Pereira, S.A.P.; Araujo, A.R.T.S.; Saraiva, M.L.M.F.S. Evaluation of Ionic Liquids and Ionic Liquids Active Pharmaceutical Ingredients Inhibition in Elastase Enzyme Activity. Molecules 2021, 26, 200. [Google Scholar] [CrossRef]
- Van Wart, H.E.; Steinbrink, D.R. A Continuous Spectrophotometric Assay for Clostridium Histolyticum Collagenase. Anal. Biochem. 1981, 113, 356–365. [Google Scholar] [CrossRef]
- Andrade, J.M.; Domínguez-Martín, E.M.; Nicolai, M.; Faustino, C.; Rodrigues, L.M.; Rijo, P. Screening the Dermatological Potential of Plectranthus Species Components: Antioxidant and Inhibitory Capacities over Elastase, Collagenase and Tyrosinase. J. Enzym. Inhib. Med. Chem. 2021, 36, 258–270. [Google Scholar] [CrossRef]
- Brainard, D.H. Color Appearance and Color Difference Specification. In The Science of Color, 2nd ed.; Elsevier: Amsterdam, The Netherlands, 2003; Volume 2, pp. 191–216. ISBN 9780444512512. [Google Scholar] [CrossRef]
- Fadzilah, M.F.; Zubairi, S.I.; Zainal Abidin, N.; Mohd Kasim, Z.; Lazim, A. Physico-Chemical and Sensory Acceptance of Carica Papaya Leaves Extract Edible O/W Emulsion as Prospective Natural Remedies. Arab. J. Chem. 2020, 13, 7829–7842. [Google Scholar] [CrossRef]
- Zavřel, T.; Červený, J.; Sinetova, M.A. Measurement of Chlorophyll. Bio-Protocol 2015, 5, e1467. [Google Scholar]
- Bennett, A.; Bogobad, L. Complementary Chromatic Adaptation in a Filamentous Blue-Green Alga. J. Cell Biol. 1973, 58, 419–435. [Google Scholar] [CrossRef] [PubMed]
- Granados-Guzman, G.; Salazar-Aranda, R.; Garza-Tapia, M.; Castro-Rios, R.; Waksman de Torres, N. Optimization and Validation of Two High-Throughput Methods Indicating Antiradical Activity. Curr. Anal. Chem. 2017, 13, 345–348. [Google Scholar] [CrossRef] [PubMed] [Green Version]




); E −20 °C ↔ 20 °C (
); W 4 °C ↔ 40 °C (
); W −20 °C ↔ 20 °C (
).
); E −20 °C ↔ 20 °C (
); W 4 °C ↔ 40 °C (
); W −20 °C ↔ 20 °C (
).


); E 20 °C (
); E 40 °C (
); W 4 °C (
); W 20 °C (
); W 40 °C (
).
); E 20 °C (
); E 40 °C (
); W 4 °C (
); W 20 °C (
); W 40 °C (
).


); E −20 °C ↔ 20 °C (
); W 4 °C ↔ 40 °C (
); W −20 °C ↔ 20 °C (
).
); E −20 °C ↔ 20 °C (
); W 4 °C ↔ 40 °C (
); W −20 °C ↔ 20 °C (
).


); E 20 °C (
); E 40 °C (
); 4 °C (
); W 20 °C (
); W 40 °C (
).
); E 20 °C (
); E 40 °C (
); 4 °C (
); W 20 °C (
); W 40 °C (
).
| Parameter | Ethanolic Ingredient | Water Ingredient |
|---|---|---|
| pH | 4.71 ± 0.06 | 7.78 ± 0.05 |
| Phases | 1 | 1 |
| Viscosity (cst) | 32.85 ± 1.27 | 74.55 ± 4.88 |
| Density (g cm−3) | 0.81 ± 0.01 | 0.98 ± 0.02 |
| Conductivity (μS cm−1) | 0.41 ± 0.08 | 7.36 ± 0.06 |
| Color + | ||
| L* | 35.98 ± 2.12 | 36.93 ± 1.09 |
| a* | −29.33 ± 1.18 | −22.72 ± 1.32 |
| b* | 45.30 ± 3.16 | −8.58 ± 0.85 |
| Optical correspondence | Green | Blue |
| Antioxidant capacity (ABTS•+ IC50, mg mL−1) | 140.69 ± 6.31 | 180.93 ± 7.91 |
| Anti-hyaluronidase activity (IC50, mg mL−1) | 115.37 ± 10.33 | 79.41 ± 6.43 |
| Total pigments * (mg g−1) | 181.83 ± 8.17 | 505.13 ± 8.18 |
| Parameter | Ethanolic Serum | Water Serum |
|---|---|---|
| pH | 7.42 ± 0.06 | 7.47 ± 0.05 |
| Phases | 2 | 1 |
| Viscosity (cst) | 28.46 ± 1.45 | 26.95 ± 1.21 |
| Density (g cm−3) | 1.09 ± 0.02 | 0.96 ± 0.01 |
| Conductivity (μS cm−1) | 1714 ± 41 | 1613 ± 55 |
| Color + | ||
| L* | 35.11 ± 2.02 | 39.93 ± 2.17 |
| a* | −30.47 ± 2.94 | −25.77 ± 2.10 |
| b* | 51.82 ± 4.39 | −9.11 ± 0.54 |
| Optical correspondence | Green | Blue |
| Antioxidant capacity (ABTS•+ IC50, mg mL−1) | 186.12 ± 10.42 | 205.18 ± 13.16 |
| Anti-hyaluronidase activity (IC50, mg mL−1) | 135.53 ± 11.23 | 85.43 ± 3.40 |
| Total pigments * (mg g−1) | 175.34 ± 12.72 | 497.38 ± 10.82 |
Publisher’s Note: MDPI stays neutral with regard to jurisdictional claims in published maps and institutional affiliations. |
© 2022 by the authors. Licensee MDPI, Basel, Switzerland. This article is an open access article distributed under the terms and conditions of the Creative Commons Attribution (CC BY) license (https://creativecommons.org/licenses/by/4.0/).
Share and Cite
Pagels, F.; Almeida, C.; Vasconcelos, V.; Guedes, A.C. Cosmetic Potential of Pigments Extracts from the Marine Cyanobacterium Cyanobium sp. Mar. Drugs 2022, 20, 481. https://doi.org/10.3390/md20080481
Pagels F, Almeida C, Vasconcelos V, Guedes AC. Cosmetic Potential of Pigments Extracts from the Marine Cyanobacterium Cyanobium sp. Marine Drugs. 2022; 20(8):481. https://doi.org/10.3390/md20080481
Chicago/Turabian StylePagels, Fernando, Cíntia Almeida, Vitor Vasconcelos, and A. Catarina Guedes. 2022. "Cosmetic Potential of Pigments Extracts from the Marine Cyanobacterium Cyanobium sp." Marine Drugs 20, no. 8: 481. https://doi.org/10.3390/md20080481
APA StylePagels, F., Almeida, C., Vasconcelos, V., & Guedes, A. C. (2022). Cosmetic Potential of Pigments Extracts from the Marine Cyanobacterium Cyanobium sp. Marine Drugs, 20(8), 481. https://doi.org/10.3390/md20080481

