High-Throughput Screening of a Marine Compound Library Identifies Anti-Cryptosporidium Activity of Leiodolide A
Abstract
1. Introduction
2. Results
3. Discussion
4. Materials and Methods
4.1. Extraction/Formation of Enriched Fractions
4.2. Handling of Fraction Library
4.3. C. parvum Strains and Storage
4.4. HCT-8 Cell Culture
4.5. High-Throughput Phenotypic Screen
4.6. Initial HCT-8 Cytotoxicity Assay
4.7. Confirmatory Testing in C. parvum Infection Assay
4.8. Collection of the Marine Specimen Used to Purify Leiodolide A
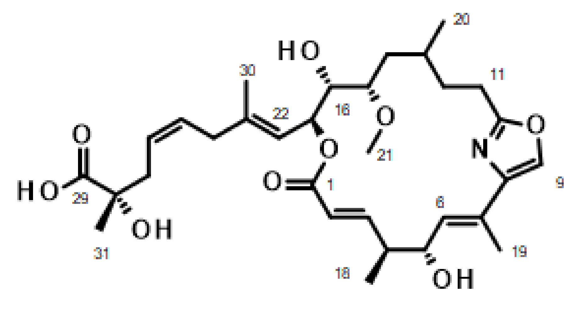
4.9. Isolation and Structure Elucidation of Leiodolide A
4.10. Determination of Half Maximal Effective Concentration (EC50)
4.11. Host Cell Cytotoxicity under Experimental Conditions
4.12. Cytotoxicity against Hep G2 Cells, Vero and SH-SY5Y Cells
4.12.1. Cell Culture
4.12.2. Cytotoxicity Assay (MTT)
5. Conclusions
Supplementary Materials
Author Contributions
Funding
Institutional Review Board Statement
Data Availability Statement
Conflicts of Interest
References
- Ryan, U.; Paparini, A.; Monis, P.; Hijjawi, N. It’s official–Cryptosporidium is a gregarine: What are the implications for the water industry? Water Res. 2016, 105, 305–313. [Google Scholar] [CrossRef] [PubMed]
- Hlavsa, M.C.; Roberts, V.A.; Anderson, A.R.; Hill, V.R.; Kahler, A.M.; Orr, M.; Garrison, L.E.; Hicks, L.A.; Newton, A.; Hilborn, E.D. Surveillance for waterborne disease outbreaks and other health events associated with recreational water—United States, 2007–2008. MMWR Surveill. Summ. 2011, 60, 1–32. [Google Scholar]
- Kotloff, K.L.; Nataro, J.P.; Blackwelder, W.C.; Nasrin, D.; Farag, T.H.; Panchalingam, S.; Wu, Y.; Sow, S.O.; Sur, D.; Breiman, R.F. Burden and aetiology of diarrhoeal disease in infants and young children in developing countries (the Global Enteric Multicenter Study, GEMS): A prospective, case-control study. Lancet 2013, 382, 209–222. [Google Scholar] [CrossRef]
- Olson, M.E.; O’Handley, R.M.; Ralston, B.J.; McAllister, T.A.; Thompson, R.A. Update on Cryptosporidium and Giardia infections in cattle. Trends Parasitol. 2004, 20, 185–191. [Google Scholar] [CrossRef] [PubMed]
- Khalil, I.A.; Troeger, C.; Rao, P.C.; Blacker, B.F.; Brown, A.; Brewer, T.G.; Colombara, D.V.; De Hostos, E.L.; Engmann, C.; Guerrant, R.L. Morbidity, mortality, and long-term consequences associated with diarrhoea from Cryptosporidium infection in children younger than 5 years: A meta-analyses study. Lancet Glob. Health 2018, 6, e758–e768. [Google Scholar] [CrossRef]
- Sow, S.O.; Muhsen, K.; Nasrin, D.; Blackwelder, W.C.; Wu, Y.; Farag, T.H.; Panchalingam, S.; Sur, D.; Zaidi, A.K.; Faruque, A.S. The burden of Cryptosporidium diarrheal disease among children < 24 months of age in moderate/high mortality regions of sub-Saharan Africa and South Asia, utilizing data from the Global Enteric Multicenter Study (GEMS). PLoS Negl. Trop. Dis. 2016, 10, e0004729. [Google Scholar]
- Abubakar, I.I.; Aliyu, S.H.; Arumugam, C.; Hunter, P.R.; Usman, N. Prevention and treatment of cryptosporidiosis in immunocompromised patients. Cochrane Database Syst. Rev. 2007. [Google Scholar] [CrossRef] [PubMed]
- O’Connor, R.M.; Shaffie, R.; Kang, G.; Ward, H.D. Cryptosporidiosis in patients with HIV/AIDS. Aids 2011, 25, 549–560. [Google Scholar] [CrossRef]
- Current, W.L.; Garcia, L.S. Cryptosporidiosis. Clin. Microbiol. Rev. 1991, 4, 325–358. [Google Scholar] [CrossRef]
- Tzipori, S.; Ward, H. Cryptosporidiosis: Biology, pathogenesis and disease. Microbes Infect. 2002, 4, 1047–1058. [Google Scholar] [CrossRef]
- Checkley, W.; White, A.C., Jr.; Jaganath, D.; Arrowood, M.J.; Chalmers, R.M.; Chen, X.-M.; Fayer, R.; Griffiths, J.K.; Guerrant, R.L.; Hedstrom, L. A review of the global burden, novel diagnostics, therapeutics, and vaccine targets for Cryptosporidium. Lancet Infect. Dis. 2015, 15, 85–94. [Google Scholar] [CrossRef]
- Cabada, M.M.; White, A.C., Jr. Treatment of cryptosporidiosis: Do we know what we think we know? Curr. Opin. Infect. Dis. 2010, 23, 494–499. [Google Scholar] [CrossRef]
- Rossignol, J.-F.A.; Ayoub, A.; Ayers, M.S. Treatment of diarrhea caused by Cryptosporidium parvum: A prospective randomized, double-blind, placebo-controlled study of nitazoxanide. J. Infect. Dis. 2001, 184, 103–106. [Google Scholar] [CrossRef]
- Love, M.S.; Choy, R.K. Emerging treatment options for cryptosporidiosis. Curr. Opin. Infect. Dis. 2021, 34, 455. [Google Scholar] [CrossRef] [PubMed]
- Hasan, M.M.; Stebbins, E.E.; Choy, R.K.; Gillespie, J.R.; de Hostos, E.L.; Miller, P.; Mushtaq, A.; Ranade, R.M.; Teixeira, J.E.; Verlinde, C.L. Spontaneous selection of Cryptosporidium drug resistance in a calf model of infection. Antimicrob. Agents Chemother. 2021, 65, e00023-21. [Google Scholar] [CrossRef]
- Carroll, A.R.; Copp, B.R.; Davis, R.A.; Keyzers, R.A.; Prinsep, M.R. Marine natural products. Nat. Prod. Rep. 2021, 38, 362–413. [Google Scholar] [CrossRef] [PubMed]
- Wright, A.E.; Collins, J.E.; Roberts, B.; Roberts, J.C.; Winder, P.L.; Reed, J.K.; Diaz, M.C.; Pomponi, S.A.; Chakrabarti, D. Antiplasmodial compounds from deep-water marine invertebrates. Mar. Drugs 2021, 19, 179. [Google Scholar] [CrossRef] [PubMed]
- Nweze, J.A.; Mbaoji, F.N.; Li, Y.-M.; Yang, L.-Y.; Huang, S.-S.; Chigor, V.N.; Eze, E.A.; Pan, L.-X.; Zhang, T.; Yang, D.-F. Potentials of marine natural products against malaria, leishmaniasis, and trypanosomiasis parasites: A review of recent articles. Infect. Dis. Poverty 2021, 10, 9. [Google Scholar] [CrossRef] [PubMed]
- O’Connor, R.M.; Nepveux, V.F.J.; Abenoja, J.; Bowden, G.; Reis, P.; Beaushaw, J.; Bone Relat, R.M.; Driskell, I.; Gimenez, F.; Riggs, M.W.; et al. A symbiotic bacterium of shipworms produces a compound with broad spectrum anti-apicomplexan activity. PLoS Pathog. 2020, 16, e1008600. [Google Scholar] [CrossRef]
- Alvarado, S.; Roberts, B.F.; Wright, A.E.; Chakrabarti, D. The bis (indolyl) imidazole alkaloid nortopsentin A exhibits antiplasmodial activity. Antimicrob. Agents Chemother. 2013, 57, 2362–2364. [Google Scholar] [CrossRef]
- Wright, A.E.; Killday, K.B.; Chakrabarti, D.; Guzmán, E.A.; Harmody, D.; McCarthy, P.J.; Pitts, T.; Pomponi, S.A.; Reed, J.K.; Roberts, B.F. Dragmacidin G, a bioactive bis-indole alkaloid from a deep-water sponge of the genus Spongosorites. Mar. Drugs 2017, 15, 16. [Google Scholar] [CrossRef]
- Rodrigues Felix, C.; Gupta, R.; Geden, S.; Roberts, J.; Winder, P.; Pomponi, S.A.; Diaz, M.C.; Reed, J.K.; Wright, A.E.; Rohde, K.H. Selective killing of dormant Mycobacterium tuberculosis by marine natural products. Antimicrob. Agents Chemother. 2017, 61, e00743-17. [Google Scholar] [CrossRef]
- Sandler, J.S.; Colin, P.L.; Kelly, M.; Fenical, W. Cytotoxic macrolides from a new species of the deep-water marine sponge Leiodermatium. J. Org. Chem. 2006, 71, 7245–7251. [Google Scholar] [CrossRef]
- Sandler, J.S.; Colin, P.L.; Kelly, M.; Fenical, W. Cytotoxic Macrolides from a New Species of the Deep-Water Marine Sponge Leiodermatium. J. Org. Chem. 2006, 71, 8684, Erratum to J. Org. Chem. 2006, 71, 7245–7251. [Google Scholar] [CrossRef][Green Version]
- Abenoja, J.; Cotto-Rosario, A.; O’Connor, R. Boromycin has potent anti-Toxoplasma and anti-Cryptosporidium activity. Antimicrob. Agents Chemother. 2021, 65, e01278-20. [Google Scholar] [CrossRef] [PubMed]
- Ju, E.; Latif, A.; Kong, C.-S.; Seo, Y.; Lee, Y.-J.; Dalal, S.R.; Cassera, M.B.; Kingston, D.G. Antimalarial activity of the isolates from the marine sponge Hyrtios erectus against the chloroquine-resistant Dd2 strain of Plasmodium falciparum. Z. Nat. C 2018, 73, 397–400. [Google Scholar] [CrossRef] [PubMed]
- Goto, Y.; Kamihira, R.; Nakao, Y.; Nonaka, M.; Takano, R.; Xuan, X.; Kato, K. The efficacy of marine natural products against Plasmodium falciparum. J. Parasitol. 2021, 107, 284–288. [Google Scholar] [CrossRef]
- Wong, C.H.; Siah, K.W.; Lo, A.W. Estimation of clinical trial success rates and related parameters. Biostatistics 2018, 20, 273–286. [Google Scholar] [CrossRef]
- Stebbins, E.; Jumani, R.S.; Klopfer, C.; Barlow, J.; Miller, P.; Campbell, M.A.; Meyers, M.J.; Griggs, D.W.; Huston, C.D. Clinical and microbiologic efficacy of the piperazine-based drug lead MMV665917 in the dairy calf cryptosporidiosis model. PLoS Negl. Trop. Dis. 2018, 12, e0006183. [Google Scholar] [CrossRef]
- Lee, S.; Ginese, M.; Girouard, D.; Beamer, G.; Huston, C.D.; Osbourn, D.; Griggs, D.W.; Tzipori, S. Piperazine-derivative MMV665917: An effective drug in the diarrheic piglet model of Cryptosporidium hominis. J. Infect. Dis. 2019, 220, 285–293. [Google Scholar] [CrossRef]
- Jumani, R.S.; Bessoff, K.; Love, M.S.; Miller, P.; Stebbins, E.E.; Teixeira, J.E.; Campbell, M.A.; Meyers, M.J.; Zambriski, J.A.; Nunez, V.; et al. A Novel Piperazine-Based Drug Lead for Cryptosporidiosis from the Medicines for Malaria Venture Open-Access Malaria Box. Antimicrob. Agents Chemother. 2018, 62, e01505-17. [Google Scholar] [CrossRef] [PubMed]
- Manjunatha, U.H.; Vinayak, S.; Zambriski, J.A.; Chao, A.T.; Sy, T.; Noble, C.G.; Bonamy, G.; Kondreddi, R.R.; Zou, B.; Gedeck, P. A Cryptosporidium PI (4) K inhibitor is a drug candidate for cryptosporidiosis. Nature 2017, 546, 376–380. [Google Scholar] [CrossRef] [PubMed]
- Castellanos-Gonzalez, A.; Sparks, H.; Nava, S.; Huang, W.; Zhang, Z.; Rivas, K.; Hulverson, M.A.; Barrett, L.K.; Ojo, K.K.; Fan, E. A novel calcium-dependent kinase inhibitor, bumped kinase inhibitor 1517, cures cryptosporidiosis in immunosuppressed mice. J. Infect. Dis. 2016, 214, 1850–1855. [Google Scholar] [CrossRef]
- Castellanos-Gonzalez, A.; White, A.C., Jr.; Ojo, K.K.; Vidadala, R.S.; Zhang, Z.; Reid, M.C.; Fox, A.M.; Keyloun, K.R.; Rivas, K.; Irani, A. A novel calcium-dependent protein kinase inhibitor as a lead compound for treating cryptosporidiosis. J. Infect. Dis. 2013, 208, 1342–1348. [Google Scholar] [CrossRef] [PubMed]
- Hulverson, M.A.; Choi, R.; Arnold, S.L.; Schaefer, D.A.; Hemphill, A.; McCloskey, M.C.; Betzer, D.P.; Müller, J.; Vidadala, R.S.; Whitman, G.R. Advances in bumped kinase inhibitors for human and animal therapy for cryptosporidiosis. Int. J. Parasitol. 2017, 47, 753–763. [Google Scholar] [CrossRef]
- Choi, R.; Hulverson, M.A.; Huang, W.; Vidadala, R.S.; Whitman, G.R.; Barrett, L.K.; Schaefer, D.A.; Betzer, D.P.; Riggs, M.W.; Doggett, J.S. Bumped Kinase Inhibitors as therapy for apicomplexan parasitic diseases: Lessons learned. Int. J. Parasitol. 2020, 50, 413–422. [Google Scholar] [CrossRef] [PubMed]
- Love, M.S.; Beasley, F.C.; Jumani, R.S.; Wright, T.M.; Chatterjee, A.K.; Huston, C.D.; Schultz, P.G.; McNamara, C.W. A high-throughput phenotypic screen identifies clofazimine as a potential treatment for cryptosporidiosis. PLoS Negl. Trop. Dis. 2017, 11, e0005373. [Google Scholar] [CrossRef]
- Iroh Tam, P.; Arnold, S.; Barrett, L.; Chen, C.; Conrad, T.; Douglas, E.; Gordon, M.; Hebert, D.; Henrion, M.; Hermann, D. Clofazimine for treatment of cryptosporidiosis in human immunodeficiency virus infected adults: An experimental medicine, randomized, double-blind, placebo-controlled phase 2a trial. Clin. Infect. Dis. 2021, 73, 183–191. [Google Scholar] [CrossRef] [PubMed]
- Zhang, H.; Zou, J.; Yan, X.; Chen, J.; Cao, X.; Wu, J.; Liu, Y.; Wang, T. Marine-derived macrolides 1990–2020: An overview of chemical and biological diversity. Mar. Drugs 2021, 19, 180. [Google Scholar] [CrossRef] [PubMed]
- Norte, M.; Fernández, J.; Souto, M.L.; Gavín, J.; Candenas, M.L.; Ausina, P. Complexation of okadaic acid: A preliminary study. Bioorg. Med. Chem. Lett. 1998, 8, 1007–1012. [Google Scholar] [CrossRef]
- Cruz, P.G.; Norte, M.; Creus, A.H.; Fernández, J.J.; Daranas, A.H. Self-association of okadaic Acid: Structural and pharmacological significance. Mar. Drugs 2013, 11, 1866–1877. [Google Scholar] [CrossRef]
- Daranas, A.H.; Fernández, J.J.; Morales, E.Q.; Norte, M.; Gavín, J.A. Self-association of okadaic acid upon complexation with potassium ion. J. Med. Chem. 2004, 47, 10–13. [Google Scholar] [CrossRef] [PubMed]
- Daranas, A.H.; Cruz, P.G.; Creus, A.H.; Norte, M.; Fernández, J.J. Self-assembly of okadaic acid as a pathway to the cell. Org. Lett. 2007, 9, 4191–4194. [Google Scholar] [CrossRef] [PubMed]
- Oboh, E.; Schubert, T.J.; Teixeira, J.E.; Stebbins, E.E.; Miller, P.; Philo, E.; Thakellapalli, H.; Campbell, S.D.; Griggs, D.W.; Huston, C.D. Optimization of the Urea Linker of Triazolopyridazine MMV665917 Results in a New Anticryptosporidial Lead with Improved Potency and Predicted hERG Safety Margin. J. Med. Chem. 2021, 64, 11729–11745. [Google Scholar] [CrossRef] [PubMed]
- Chellat, M.F.; Proust, N.; Lauer, M.G.; Stambuli, J.P. Synthesis of key fragments of leiodelide A. Org. Lett. 2011, 13, 3246–3249. [Google Scholar] [CrossRef] [PubMed]
- Edenharter, A. Total Synthesis of Nominal Leiodolide A and Semisynthesis of Deazaepothilone C. Ph.D. Thesis, ETH Zurich, Zürich, Switzerland, 2017. [Google Scholar]
- Zhang, X.; Liu, J.; Sun, X.; Du, Y. An efficient cis-reduction of alkyne to alkene in the presence of a vinyl iodide: Stereoselective synthesis of the C22–C31 fragment of leiodolide A. Tetrahedron 2013, 69, 1553–1558. [Google Scholar] [CrossRef]
- Ren, R.-G.; Li, M.; Si, C.-M.; Mao, Z.-Y.; Wei, B.-G. Studies toward asymmetric synthesis of leiodelide A. Tetrahedron Lett. 2014, 55, 6903–6906. [Google Scholar] [CrossRef]
- Lee, J.; Panek, J.S. Synthesis of the C13–C29 fragment of leiodolide A: Allylic asymmetric induction on the stereochemical course of iodolactonization. Tetrahedron Lett. 2015, 56, 6868–6871. [Google Scholar] [CrossRef]
- Wullschleger, C.W.; Li, J.; Edenharter, A.; Altmann, K.-H. Studies towards the Synthesis of Leiodolide A. Synlett 2016, 27, 2726–2730. [Google Scholar]
- Matsumori, N.; Kaneno, D.; Murata, M.; Nakamura, H.; Tachibana, K. Stereochemical determination of acyclic structures based on carbon-proton spin-coupling constants. A method of configuration analysis for natural products. J. Org. Chem. 1999, 64, 866–876. [Google Scholar] [CrossRef]
- Larivée, A.; Unger, J.B.; Thomas, M.; Wirtz, C.; Dubost, C.; Handa, S.; Fürstner, A. The Leiodolide B Puzzle. Angew. Chem. Int. Ed. 2011, 50, 304–309. [Google Scholar] [CrossRef] [PubMed]
- HBOI Marine Biomedical and Biotechnology Reference Collection. Available online: https://shinyapps.fau.edu/app/data-portal (accessed on 2 February 2022).
- Vinayak, S.; Pawlowic, M.C.; Sateriale, A.; Brooks, C.F.; Studstill, C.J.; Bar-Peled, Y.; Cipriano, M.J.; Striepen, B. Genetic modification of the diarrhoeal pathogen Cryptosporidium parvum. Nature 2015, 523, 477–480. [Google Scholar] [CrossRef] [PubMed]




| EC50 (nM) a | IC50 (nM) a | |||||||
|---|---|---|---|---|---|---|---|---|
| C. parvum Cultured in HCT-8s | HCT-8 | SI | Hep G2 | SI | Vero | SI | SH-SY5Y | SI |
| 103.5 (82.9–131.7) | 4670 (3640–6070) | 45.1 | 1228 (1136–1328) | 11.9 | 1476 (1361–1601) | 14.3 | 2025 (1776–2309) | 19.6 |
Publisher’s Note: MDPI stays neutral with regard to jurisdictional claims in published maps and institutional affiliations. |
© 2022 by the authors. Licensee MDPI, Basel, Switzerland. This article is an open access article distributed under the terms and conditions of the Creative Commons Attribution (CC BY) license (https://creativecommons.org/licenses/by/4.0/).
Share and Cite
Bone Relat, R.M.; Winder, P.L.; Bowden, G.D.; Guzmán, E.A.; Peterson, T.A.; Pomponi, S.A.; Roberts, J.C.; Wright, A.E.; O’Connor, R.M. High-Throughput Screening of a Marine Compound Library Identifies Anti-Cryptosporidium Activity of Leiodolide A. Mar. Drugs 2022, 20, 240. https://doi.org/10.3390/md20040240
Bone Relat RM, Winder PL, Bowden GD, Guzmán EA, Peterson TA, Pomponi SA, Roberts JC, Wright AE, O’Connor RM. High-Throughput Screening of a Marine Compound Library Identifies Anti-Cryptosporidium Activity of Leiodolide A. Marine Drugs. 2022; 20(4):240. https://doi.org/10.3390/md20040240
Chicago/Turabian StyleBone Relat, Rachel M., Priscilla L. Winder, Gregory D. Bowden, Esther A. Guzmán, Tara A. Peterson, Shirley A. Pomponi, Jill C. Roberts, Amy E. Wright, and Roberta M. O’Connor. 2022. "High-Throughput Screening of a Marine Compound Library Identifies Anti-Cryptosporidium Activity of Leiodolide A" Marine Drugs 20, no. 4: 240. https://doi.org/10.3390/md20040240
APA StyleBone Relat, R. M., Winder, P. L., Bowden, G. D., Guzmán, E. A., Peterson, T. A., Pomponi, S. A., Roberts, J. C., Wright, A. E., & O’Connor, R. M. (2022). High-Throughput Screening of a Marine Compound Library Identifies Anti-Cryptosporidium Activity of Leiodolide A. Marine Drugs, 20(4), 240. https://doi.org/10.3390/md20040240

