New Metabolites from the Marine Sponge Scopalina hapalia Collected in Mayotte Lagoon
Abstract
1. Introduction
2. Results and Discussion
2.1. Chemical Investigation
2.2. Molecular Networking
3. Materials and Methods
3.1. General Experimental Procedure
3.2. Animal Material
3.3. Extraction and Isolation Procedure
3.4. Compound Characterization
3.5. Elastase and Tyrosinase Activity Assays
3.6. CDK7 Inhibition Assay
3.7. Fyn Kinase Inhibition Assay
3.8. Proteasome Inhibition Assay
3.9. Global Natural Product Social Molecular Networking
Supplementary Materials
Author Contributions
Funding
Institutional Review Board Statement
Data Availability Statement
Acknowledgments
Conflicts of Interest
References
- Mehbub, M.F.; Lei, J.; Franco, C.; Zhang, W. Marine Sponge Derived Natural Products between 2001 and 2010: Trends and Opportunities for Discovery of Bioactives. Mar. Drugs 2014, 12, 4539–4577. [Google Scholar] [CrossRef] [PubMed]
- Myers, N.; Mittermeier, R.A.; Mittermeier, C.G.; da Fonseca, G.A.B.; Kent, J. Biodiversity Hotspots for Conservation Priorities. Nature 2000, 403, 853–858. [Google Scholar] [CrossRef] [PubMed]
- Pettit, G.R.; Tan, R.; Gao, F.; Williams, M.D.; Doubek, D.L.; Boyd, M.R.; Schmidt, J.M.; Chapuis, J.C.; Hamel, E. Isolation and Structure of Halistatin 1 from the Eastern Indian Ocean Marine Sponge Phakellia carteri. J. Org. Chem. 1993, 58, 2538–2543. [Google Scholar] [CrossRef]
- Samy, M.N.; Le Goff, G.; Lopes, P.; Georgousaki, K.; Gumeni, S.; Almeida, C.; González, I.; Genilloud, O.; Trougakos, I.; Fokialakis, N.; et al. Osmanicin, a Polyketide Alkaloid Isolated from Streptomyces osmaniensis CA-244599 Inhibits Elastase in Human Fibroblasts. Molecules 2019, 24, 2239. [Google Scholar] [CrossRef]
- Campos, P.-E.; Herbette, G.; Chendo, C.; Clerc, P.; Tintillier, F.; de Voogd, N.J.; Papanagnou, E.-D.; Trougakos, I.P.; Jerabek, M.; Bignon, J.; et al. Osirisynes G-I, New Long-Chain Highly Oxygenated Polyacetylenes from the Mayotte Marine Sponge Haliclona sp. Mar. Drugs 2020, 18, 350. [Google Scholar] [CrossRef]
- Morrow, C.; Cárdenas, P. Proposal for a Revised Classification of the Demospongiae (Porifera). Front. Zool. 2015, 12, 7. [Google Scholar] [CrossRef]
- Nygaard, H.B.; van Dyck, C.H.; Strittmatter, S.M. Fyn Kinase Inhibition as a Novel Therapy for Alzheimer’s Disease. Alzheimer’s Res. Ther. 2014, 6, 8. [Google Scholar] [CrossRef]
- Kaufman, A.C.; Salazar, S.V.; Haas, L.T.; Yang, J.; Kostylev, M.A.; Jeng, A.T.; Robinson, S.A.; Gunther, E.C.; van Dyck, C.H.; Nygaard, H.B.; et al. Fyn Inhibition Rescues Established Memory and Synapse Loss in Alzheimer Mice: Fyn Inhibition by AZD0530. Ann. Neurol. 2015, 77, 953–971. [Google Scholar] [CrossRef]
- Tsuji, N.; Moriwaki, S.; Suzuki, Y.; Takema, Y.; Imokawa, G. The Role of Elastases Secreted by Fibroblasts in Wrinkle Formation: Implication through Selective Inhibition of Elastase Activity. Photochem. Photobiol. 2001, 74, 283–290. [Google Scholar] [CrossRef]
- Cardellina, J.H.; Graden, C.J.; Greer, B.J.; Kern, J.R. 17Z-Tetracosenyl 1-Glycerol Ether from the Sponges Cinachyra alloclada and Ulosa ruetzleri. Lipids 1983, 18, 107–110. [Google Scholar] [CrossRef]
- Cardellina, J.H.; Nigh, D.; VanWagenen, B.C. Plant Growth Regulatory Indoles from the Sponges Dysidea etheria and Ulosa ruetzleri. J. Nat. Prod. 1986, 49, 1065–1067. [Google Scholar] [CrossRef]
- VanWagenen, B.C.; Larsen, R.; Cardellina, J.H.; Randazzo, D.; Lidert, Z.C.; Swithenbank, C. Ulosantoin, a Potent Insecticide from the Sponge Ulosa ruetzleri. J. Org. Chem. 1993, 58, 335–337. [Google Scholar] [CrossRef]
- Prado, M.P.; Torres, Y.R.; Berlinck, R.G.S.; Desiderá, C.; Sanchez, M.A.; Craveiro, M.V.; Hajdu, E.; da Rocha, R.M.; Machado-Santelli, G.M. Effects of Marine Organisms Extracts on Microtubule Integrity and Cell Cycle Progression in Cultured Cells. J. Exp. Mar. Biol. Ecol. 2004, 313, 125–137. [Google Scholar] [CrossRef]
- Galeano, E.; Martínez, A. Antimicrobial Activity of Marine Sponges from Urabá Gulf, Colombian Caribbean Region. J. Mycol. Méd. 2007, 17, 21–24. [Google Scholar] [CrossRef]
- Biegelmeyer, R.; Schröder, R.; Rambo, D.F.; Dresch, R.R.; Stout, E.P.; Carraro, J.L.F.; Mothes, B.; Moreira, J.C.F.; Molinski, T.F.; da Frota Junior, M.L.C.; et al. Cytotoxic Effects on Tumour Cell Lines of Fatty Acids from the Marine Sponge Scopalina ruetzleri. J. Pharm. Pharmacol. 2015, 67, 746–753. [Google Scholar] [CrossRef]
- Helber, S.B.; Hoeijmakers, D.J.J.; Muhando, C.A.; Rohde, S.; Schupp, P.J. Sponge Chemical Defenses Are a Possible Mechanism for Increasing Sponge Abundance on Reefs in Zanzibar. PLoS ONE 2018, 13, e0197617. [Google Scholar] [CrossRef]
- Alvarez, B.; Hooper, J.N. Taxonomic Revision of the Order Halichondrida (Porifera: Demospongiae) of Northern Australia. Family Halichondriidae. Beagle Rec. Mus. Art Galleries North. Territ. 2011, 27, 55–84. [Google Scholar] [CrossRef]
- Lim, S.-C.; de Voogd, N.J.; Tan, K.-S. Biodiversity of Shallow-Water Sponges (Porifera) in Singapore and Description of a New Species of Forcepia (Poecilosclerida: Coelosphaeridae). Contrib. Zool. 2012, 81, 55–71. [Google Scholar] [CrossRef]
- Shin, B.A.; Kim, Y.R.; Lee, I.-S.; Sung, C.K.; Hong, J.; Sim, C.J.; Im, K.S.; Jung, J.H. Lyso-PAF Analogues and Lysophosphatidylcholines from the Marine Sponge Spirastrella abata as Inhibitors of Cholesterol Biosynthesis. J. Nat. Prod. 1999, 62, 1554–1557. [Google Scholar] [CrossRef]
- Nishikawa, Y.; Furukawa, A.; Shiga, I.; Muroi, Y.; Ishii, T.; Hongo, Y.; Takahashi, S.; Sugawara, T.; Koshino, H.; Ohnishi, M. Cytoprotective Effects of Lysophospholipids from Sea Cucumber Holothuria atra. PLoS ONE 2015, 10, e0135701. [Google Scholar] [CrossRef]
- Do, M.N.; Erickson, K.L. Branched Chain Mono-Glycerol Ethers from a Taiwanese Marine Sponge of the Genus Aaptos. Tetrahedron Lett. 1983, 24, 5699–5702. [Google Scholar] [CrossRef]
- Quijano, L.; Cruz, F.; Navarrete, I.; Gómez, P.; Rios, T. Alkyl Glycerol Monoethers in the Marine Sponge Desmapsamma anchorata. Lipids 1994, 29, 731–734. [Google Scholar] [CrossRef] [PubMed]
- Sera, Y.; Adachi, K.; Shizuri, Y. A New Epidioxy Sterol as an Antifouling Substance from a Palauan Marine Sponge, Lendenfeldia chondrodes. J. Nat. Prod. 1999, 62, 152–154. [Google Scholar] [CrossRef] [PubMed]
- Gunatilaka, A.A.L.; Gopichand, Y.; Schmitz, F.J.; Djerassi, C. Minor and Trace Sterols in Marine Invertebrates. 26. Isolation and Structure Elucidation of Nine New 5.Alpha.,8.Alpha.-Epidoxy Sterols from Four Marine Organisms. J. Org. Chem. 1981, 46, 3860–3866. [Google Scholar] [CrossRef]
- Stark, T.; Hofmann, T. Structures, Sensory Activity, and Dose/Response Functions of 2,5-Diketopiperazines in Roasted Cocoa Nibs (Theobroma Cacao). J. Agric. Food Chem. 2005, 53, 7222–7231. [Google Scholar] [CrossRef]
- Li, X.; Dobretsov, S.; Xu, Y.; Xiao, X.; Hung, O.S.; Qian, P. Antifouling Diketopiperazines Produced by a Deep-Sea Bacterium, Streptomyces fungicidicus. Biofouling 2006, 22, 187–194. [Google Scholar] [CrossRef]
- Cabrera, G.M.; Butler, M.; Rodriguez, M.A.; Godeas, A.; Haddad, R.; Eberlin, M.N. A Sorbicillinoid Urea from an Intertidal Paecilomyces marquandii. J. Nat. Prod. 2006, 69, 1806–1808. [Google Scholar] [CrossRef]
- Lee, J.; Wang, W.; Hong, J.; Lee, C.-O.; Shin, S.; Im, K.S.; Jung, J.H. A New 2,3-Dimethyl Butenolide from the Brittle Star Ophiomastix mixta. Chem. Pharm. Bull. 2007, 55, 459–461. [Google Scholar] [CrossRef]
- Shi, H.; Yu, S.; Liu, D.; van Ofwegen, L.; Proksch, P.; Lin, W. Sinularones A-I, New Cyclopentenone and Butenolide Derivatives from a Marine Soft Coral Sinularia sp. and Their Antifouling Activity. Mar. Drugs 2012, 10, 1331–1344. [Google Scholar] [CrossRef]
- Li, D.; Yang, Y.; Zhang, B.; Liao, X.; Jiang, Z.; Xu, S.; Zhao, B. Three New Butenolides from the Green Alga Caulerpa racemosa var. turbinata. Chem. Biodivers. 2020, 17, e2000022. [Google Scholar] [CrossRef]
- Colsch, B.; Fenaille, F.; Warnet, A.; Junot, C.; Tabet, J.-C. Mechanisms Governing the Fragmentation of Glycerophospholipids Containing Choline and Ethanolamine Polar Head Groups. Eur. J. Mass Spectrom. 2017, 23, 427–444. [Google Scholar] [CrossRef] [PubMed]
- Wang, M.; Carver, J.J.; Phelan, V.V.; Sanchez, L.M.; Garg, N.; Peng, Y.; Nguyen, D.D.; Watrous, J.; Kapono, C.A.; Luzzatto-Knaan, T.; et al. Sharing and Community Curation of Mass Spectrometry Data with Global Natural Products Social Molecular Networking. Nat. Biotechnol. 2016, 34, 828–837. [Google Scholar] [CrossRef] [PubMed]
- Takano, E. Gamma-Butyrolactones: Streptomyces Signalling Molecules Regulating Antibiotic Production and Differentiation. Curr. Opin. Microbiol. 2006, 9, 287–294. [Google Scholar] [CrossRef] [PubMed]
- Joo, H.-S.; Yang, Y.-H.; Lee, C.-S.; Kim, J.-H.; Kim, B.-G. Fragmentation Study on Butanolides with Tandem Mass Spectrometry and Its Application for the Screening of ScbR-Captured Quorum Sensing Molecules in Streptomyces coelicolor A3(2). Rapid Commun. Mass Spectrom. 2007, 21, 764–770. [Google Scholar] [CrossRef]
- Peng, J.; Li, J.; Hamann, M.T. The Marine Bromotyrosine Derivatives. Alkaloids Chem. Biol. 2005, 61, 59–262. [Google Scholar]
- Moodie, L.W.K.; Žužek, M.C.; Frangež, R.; Andersen, J.H.; Hansen, E.; Olsen, E.K.; Cergolj, M.; Sepčić, K.; Hansen, K.Ø.; Svenson, J. Synthetic Analogs of Stryphnusin Isolated from the Marine Sponge Stryphnus fortis Inhibit Acetylcholinesterase with No Effect on Muscle Function or Neuromuscular Transmission. Org. Biomol. Chem. 2016, 14, 11220–11229. [Google Scholar] [CrossRef]
- Lindsay, B.S.; Battershill, C.N.; Copp, B.R. Isolation of 2-(3′-Bromo-4′-Hydroxyphenol)Ethanamine from the New Zealand Ascidian Cnemidocarpa bicornuta. J. Nat. Prod. 1998, 61, 857–858. [Google Scholar] [CrossRef]
- Aiello, A.; Fattorusso, E.; Imperatore, C.; Menna, M.; Müller, W.E.G. Iodocionin, a Cytotoxic Iodinated Metabolite from the Mediterranean Ascidian Ciona ddwardsii. Mar. Drugs 2010, 8, 285–291. [Google Scholar] [CrossRef]
- Nicacio, K.J.; Ióca, L.P.; Fróes, A.M.; Leomil, L.; Appolinario, L.R.; Thompson, C.C.; Thompson, F.L.; Ferreira, A.G.; Williams, D.E.; Andersen, R.J.; et al. Cultures of the Marine Bacterium Pseudovibrio denitrificans Ab134 Produce Bromotyrosine-Derived Alkaloids Previously Only Isolated from Marine Sponges. J. Nat. Prod. 2017, 80, 235–240. [Google Scholar] [CrossRef]
- Müller, W.E.G.; Klemt, M.; Thakur, N.L.; Schröder, H.C.; Aiello, A.; D’Esposito, M.; Menna, M.; Fattorusso, E. Molecular/Chemical Ecology in Sponges: Evidence for an Adaptive Antibacterial Response in Suberites domuncula. Mar. Biol. 2004, 144, 19–29. [Google Scholar] [CrossRef]
- Andresen, T.L.; Jensen, S.S.; Madsen, R.; Jørgensen, K. Synthesis and Biological Activity of Anticancer Ether Lipids That Are Specifically Released by Phospholipase A2 in Tumor Tissue. J. Med. Chem. 2005, 48, 7305–7314. [Google Scholar] [CrossRef] [PubMed]
- Han, A.-R.; Song, J.-I.; Jang, D.S.; Min, H.-Y.; Lee, S.K.; Seo, E.-K. Cytotoxic Constituents of the Octocoral Dendronephthya gigantea. Arch. Pharm. Res. 2005, 28, 290–293. [Google Scholar] [CrossRef]
- Li, S.-Q.; Yang, Y.-B.; Yang, X.-Q.; Jiang, Y.; Li, Z.-J.; Li, X.-Z.; Chen, X.; Li, Q.-L.; Qin, S.-H.; Ding, Z.-T. Two New Cyclic Tetrapeptides of Streptomyces rutgersensis T009 Isolated from Elaphodus davidianus Excrement. Helv. Chim. Acta 2016, 99, 210–214. [Google Scholar] [CrossRef]
- Guo, X.; Zheng, L.; Zhou, W.; Cui, Z.; Han, P.; Tian, L.; Wang, X. A Case Study on Chemical Defense Based on Quorum Sensing: Antibacterial Activity of Sponge-Associated Bacterium Pseudoalteromonas sp. NJ6-3-1 Induced by Quorum Sensing Mechanisms. Ann. Microbiol. 2011, 61, 247–255. [Google Scholar] [CrossRef]
- Qian, L.; Zhang, M.; Wu, S.; Zhong, Y.; Van Tol, E.; Cai, W. Alkylglycerols Modulate the Proliferation and Differentiation of Non-Specific Agonist and Specific Antigen-Stimulated Splenic Lymphocytes. PLoS ONE 2014, 9, e96207. [Google Scholar] [CrossRef] [PubMed]
- Díaz, Y.M.; Laverde, G.V.; Gamba, L.R.; Wandurraga, H.M.; Arévalo-Ferro, C.; Rodríguez, F.R.; Beltrán, C.D.; Hernández, L.C. Biofilm Inhibition Activity of Compounds Isolated from Two Eunicea Species Collected at the Caribbean Sea. Rev. Bras. Farmacogn. 2015, 25, 605–611. [Google Scholar] [CrossRef][Green Version]
- Said Hassane, C.; Fouillaud, M.; Le Goff, G.; Sklirou, A.D.; Boyer, J.B.; Trougakos, I.P.; Jerabek, M.; Bignon, J.; de Voogd, N.J.; Ouazzani, J.; et al. Microorganisms Associated with the Marine Sponge Scopalina hapalia: A Reservoir of Bioactive Molecules to Slow Down the Aging Process. Microorganisms 2020, 8, 1262. [Google Scholar] [CrossRef]






| No. | 1 | ||
|---|---|---|---|
| δC, Type | δH (J in Hz) | HMBC, H → C | |
| 1 | 173.8, OC=O | ||
| 2 | 128.4, =CH | ||
| 3 | 158.4, =CH | ||
| 4 | 111.9, C | ||
| 5 | 36.5, CH2 | 1.95 (m) 1.73 (m) | C-4, C-6, C-7 |
| 6 | 23.8, CH2 | 1.24 (m) 1.13 (m) | |
| 7–12 | 30.8–30.5, CH2 | 1.33–1.27 (m) | |
| 13 | 27.7, CH2 | 1.59 (brqt 7.4) | C-12, C-14, C-15 |
| 14 | 39.1, CH2 | 2.15 (brt7.8) | C-12, C-13, C-15 |
| 15 | 183.0, C | ||
| 16 | 8.2, CH3 | 1.84 (q, 1.2) | C-1, C-2, C-3 |
| 17 | 10.9, CH3 | 1.90 (q, 1.2) | C-2, C-3, C-4 |
| 18 | 50.5, CH3 | 3.07 (s) | C-4 |
| No. | 2 | ||
|---|---|---|---|
| δC a, Type | δH (J in Hz) | HMBC, H → C | |
| 1 | 173.8, OC=O | ||
| 2 | 128.4, =CH | ||
| 3 | 158.4, =CH | ||
| 4 | 111.9, C | ||
| 5 | 36.6, CH2 | 1.96 (m) 1.73 (m) | C-4, C-6, C-7 |
| 6 | 23.9, CH2 | 1.24 (m) 1.14 (m) | |
| 7–18 | 31.0–30.6, CH2 | 1.33–1.27 (m) | |
| 19 | 27.8, CH2 | 1.59 (qt, 7.5) | |
| 20 | 39.2, CH2 | 2.16 (t, 7.5) | C-18, C-19, C-21 |
| 21 | 182.9, C | ||
| 22 | 8.3, CH3 | 1.83 (q, 1.1) | C-1, C-2, C-3 |
| 23 | 10.9, CH3 | 1.90 (q, 1.1) | C-2, C-3, C-4 |
| 24 | 50.5, CH3 | 3.07 (s) | C-4 |
| No. | 3 | ||
|---|---|---|---|
| δC a, Type | δH (J in Hz) | HMBC, H → C | |
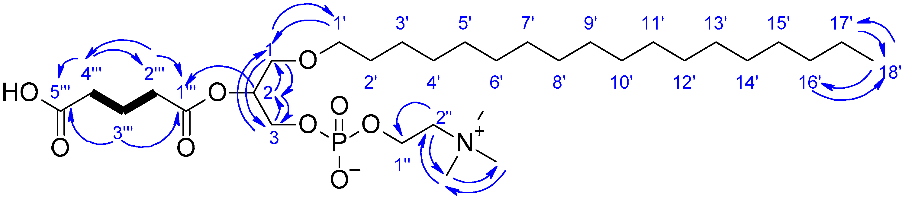
| 1 | 70.2, CH2 | 3.59 (1H, dd 10.9, 5.9) 3.61 (1H, dd 10.9, 4.7) | C-2, C-3, C-1’ |
| 2 | 73.2, CH | 5.17 (1H, m) | C-1, C-3, C-1’’’ |
| 3 | 65.5, CH2 | 3.97 (1H, dt 11.1, 6.1 b) 4.03 (1H, ddd 11.1, 5.7, 4.2 b) | C-1, C-2 |
| 1’ | 72.7, CH2 | 3.43 (1H, dt 9.3, 6.6) 3.48 (1H, dt 9.3, 6.7) | C-1, C-2’, C-3’ |
| 2’ | 30.8, CH2 | 1.54 (2H, brqt 6.8) | |
| 3’ | 27.6, CH2 | 1.35–1.25 (30H, ov c) | |
| 4’–15’ | 30.7, CH2 | 1.33–1.27 (m) | |
| 16’ | 33.2, CH2 | 1.59 (qt, 7.5) | |
| 17’ | 23.8, CH2 | 2.16 (t, 7.5) | |
| 18’ | 14.5, CH3 | 0.90 (3H, t 7.1) | C-16’, C-17’ |
| 1’’ | 60.5 (d 5.4) b, CH2 | 4.27 (2H, m b) | |
| 2’’ | 67.4 (m) b, CH2 | 3.65 (2H, m) | C-1’’, N+(CH3)3 |
| N+(CH3)3 | 54.7 (m) b, CH3 | 3.23 (brs) | C-2’’, N+(CH3)3 |
| 1’’’ | 174.4, C | ||
| 2’’’ | 34.6, CH2 | 2.42 (2H, brt 7.5) | C-1’’’, C-4’’’ |
| 3’’’ | 22.1, CH2 | 1.90 (2H, brqt 7.5) | C-1’’’, C-5’’’ |
| 4’’’ | 35.9, CH2 | 2.31 (2H, brt 7.3) | C-2’’’, C-5’’’ |
| 5’’’ | 178.7, C | ||
| No. a | 4 | ||
|---|---|---|---|
| δC b, Type | δH (J in Hz) | COSY, H → H | |
| 1 | 66.0, CH2 | 4.19 (dd, 10.9; 4.7) 4.13 (dd, 10.9; 5.9) | |
| 2 | 69.4, CH | 3.98 (m) | |
| 3 | 67.4, CH2 | 3.90 (m) | |
| 1’ | no | - | |
| 2’ | 39.9, CH2 | 2.54 (dd, 15.3; 7.3) 2.51 (dd, 15.3; 5.6) | 3’ |
| 3’ | 78.8, CH | 3.66 (m) | 2’ |
| 4’ | 34.5, CH2 | 1.53 (m) | |
| 5’–12’ | 33.2, CH2 | 1.35–1.25 (ov c) | 14’ |
| 13’ | 23.4, CH2 | 2.16 (t, 7.5) | |
| 14’ | 14.1, CH2 | 0.90 (t, 7.1) | 13’ |
| OCH3 | 56.9, CH3 | 3.34 (s) | |
| 1’’ | 60.1, CH2 | 4.29 (m) | 2’’ |
| 2’’ | 67.0, CH2 | 3.65 (m) | 1’’ |
| N+(CH3)3 | 54.3, CH3 | 3.23 (s) | |
Publisher’s Note: MDPI stays neutral with regard to jurisdictional claims in published maps and institutional affiliations. |
© 2022 by the authors. Licensee MDPI, Basel, Switzerland. This article is an open access article distributed under the terms and conditions of the Creative Commons Attribution (CC BY) license (https://creativecommons.org/licenses/by/4.0/).
Share and Cite
Saïd Hassane, C.; Herbette, G.; Garayev, E.; Mabrouki, F.; Clerc, P.; de Voogd, N.J.; Greff, S.; Trougakos, I.P.; Ouazzani, J.; Fouillaud, M.; et al. New Metabolites from the Marine Sponge Scopalina hapalia Collected in Mayotte Lagoon. Mar. Drugs 2022, 20, 186. https://doi.org/10.3390/md20030186
Saïd Hassane C, Herbette G, Garayev E, Mabrouki F, Clerc P, de Voogd NJ, Greff S, Trougakos IP, Ouazzani J, Fouillaud M, et al. New Metabolites from the Marine Sponge Scopalina hapalia Collected in Mayotte Lagoon. Marine Drugs. 2022; 20(3):186. https://doi.org/10.3390/md20030186
Chicago/Turabian StyleSaïd Hassane, Charifat, Gaëtan Herbette, Elnur Garayev, Fathi Mabrouki, Patricia Clerc, Nicole J. de Voogd, Stephane Greff, Ioannis P. Trougakos, Jamal Ouazzani, Mireille Fouillaud, and et al. 2022. "New Metabolites from the Marine Sponge Scopalina hapalia Collected in Mayotte Lagoon" Marine Drugs 20, no. 3: 186. https://doi.org/10.3390/md20030186
APA StyleSaïd Hassane, C., Herbette, G., Garayev, E., Mabrouki, F., Clerc, P., de Voogd, N. J., Greff, S., Trougakos, I. P., Ouazzani, J., Fouillaud, M., Dufossé, L., Baghdikian, B., Ollivier, E., & Gauvin-Bialecki, A. (2022). New Metabolites from the Marine Sponge Scopalina hapalia Collected in Mayotte Lagoon. Marine Drugs, 20(3), 186. https://doi.org/10.3390/md20030186

