Bioactive Chromodorolide Diterpenes from an Aplysillid Sponge
Abstract
:Introduction
Results and Discussion

Conclusion
Experimental
General
Animal Material
Extraction and Purification
Spectral Data
Cytotoxicity assay
Anthelmintic assay
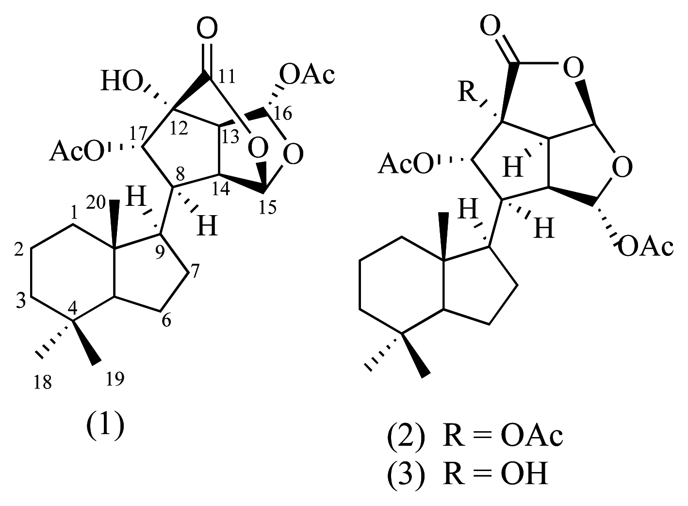
| Atom | # δ13Ca | δ1H | 1H-1H COSY | HMBCb |
|---|---|---|---|---|
| 1 | 39.0 | ax 0.93, dt (J = 2.0, 12.0 Hz) | H-1eq | Me-20 |
| eq 1.53, m | H-1ax | |||
| 2 | 19.9 | ax 1.38, m | H-2eq, H-3ax, H-3eq | H-3ax |
| eq 1.55, m | H-2ax, H-3ax | |||
| 3 | 40.9 | ax 1.03, dt (J = 3.0, 12.0 Hz) | H-2ax, H-2eq, H-3eq | Me-18, Me-19 |
| eq 1.38, m | H-2ax, H-3ax | |||
| 4 | 33.0 | - | - | H-5, Me-18, Me-19 |
| 5 | 57.0 | 1.09, dd (J = 6.5, 13.0 Hz) | H-6ax, H-6eq | Me-18, Me-19, Me-20 |
| 6 | 21.10 | ax 1.30, m | H-5, H-6eq, H-7 | H-5 |
| eq 1.55, m | H-5, H-6ax, H-7 | |||
| 7 | 25.2 | ax 1.42, m | H-6ax, H-6eq, H-9 | - |
| eq 1.55, m | H-6ax, H-6eq, H-9 | |||
| 8 | 47.5 | 2.58, ddd (J = 8.2, 12.0, 12.0 Hz) | H-9, H-14, H-17 | H-15, H-17 |
| 9 | 50.2 | 1.71, dd (J = 9.8, 12.0) | H-7ax, H-7eq, H-8 | H-8, H-17. Me-20 |
| 10 | 43.8 | - | - | H-5, Me-20 |
| 11 | 174.8 | - | - | H-16, H-17 |
| 12 | 78.1 | - | - | H-13, H-14, H-16, |
| 13 | 52.1 | 3.52, dd (J = 6.0, 8.2 Hz) | H-14, H-16 | H-15, H-16 |
| 14 | 45.4 | 2.98, t (J = 8.2 Hz) | H-8, H-13 | H-8, H-15 |
| 15 | 98.1 | 6.51, s | - | H-8, H-13, H-14 |
| 16 | 103.3 | 6.00, d (J = 6.0 Hz) | H-13 | H-15 |
| 17 | 75.3 | 5.19, d (J = 12.0 Hz) | H-8 | H-8, H-13, H-14 |
| Me-18 | 33.4 | 0.82, s | - | Me-19 |
| Me-19 | 21.0 | 0.83, s | - | H-5, Me-18, |
| Me-20 | 13.6 | 0.76, s | - | H-5, H-9 |
| OAc | 169.2 | - | - | H-15, -OAc |
| 20.8 | 2.05 | - | ||
| OAc | 168.8 | - | - | H-17, -OAc |
| 20.9 | 2.13 | - |
Acknowledgments
- Samples Availability: Samples and copies of 1H and 13C NMR spectra are available from the corresponding author.
References and Notes
- Tischler, M.; Andersen, R. J.; Choudhary, M. I.; Clardy, J. Terpenoids from the sponge Aplysilla glacialis and specimens of the nudibranch Cadlina luteomarginata found on the sponge. J. J. Org. Chem 1991, 56, 42–47. [Google Scholar]
- Hochlowski, J. E.; Faulkner, D. J.; Matsumoto, G. K.; Clardy, J. Norrisolide, a novel diterpene from the dorid nudibranch Chromodoris norrisi. J. J. Org. Chem 1983, 48, 1141–1142. [Google Scholar]
- Molinski, T. F.; Faulkner, D.J. A new diterpene lactone from an Australian Aplysilla species. J. Org. Chem 1986, 51, 1144–1146. [Google Scholar]
- Karuso, P.; Taylor, W. C.; White, A. H. The constituents of marine sponges. 11. Isolation of 8 diterpenes from Aplysilla rosea. Aust. J. Chem 1986, 39, 1629–1641. [Google Scholar]
- Hochlowski, J. E.; Faulkner, D. J. Chemical constituents of the nudibranch Chromodoris marislae. Tetrahedron Lett 1981, 22, 271–274. [Google Scholar]
- Bobzin, S. C.; Faulkner, D. J. Diterpenes from the marine sponge Aplysilla polyrhapsis and the dorid nudibranch Chromodoris norrisi. J. Org. Chem 1989, 54, 3902–3907. [Google Scholar]
- Cimino, G.; Fontana, A.; Gavagnin, M. Marine opistobranch mollusks: chemistry and ecology in sacoglossans and dorids. Curr. Org. Chem 1999, 3, 327–372. [Google Scholar]
- Dumdei, E. J.; de Silva, E. D.; Andersen, R. J. Chromodorolide A, a rearranged diterpene with a new carbon skeleton from the Indian ocean nudibranch Chromodoris cavae. J. Am. Chem Soc 1989, 111, 2712–2713. [Google Scholar]
- Morris, S. A.; Dumdei, E. J.; de Silva, E. D.; Andersen, R. J. Chromodorane diterpenes from the tropical dorid nudibranch Chromodoris cavae. Can. J. Chem 1991, 69, 768–771. [Google Scholar]
- Lacey, E; Redwin, J. M.; Gill, J.H.; Demargheriti, V.M; Waller, P.J. Resistance of Parasites to Antiparasitic Drugs; Boray, J.C., Martin, P.J., Roush, R.P., Eds.; MSD AGVET: Rahway, NJ, 1990; pp. 177–184. [Google Scholar]
© 2004 by MDPI Reproduction is permitted for noncommercial purposes.
Share and Cite
Rungprom, W.; Chavasiri, W.; Kokpol, U.; Kotze, A.; Garson, M.J. Bioactive Chromodorolide Diterpenes from an Aplysillid Sponge. Mar. Drugs 2004, 2, 101-107. https://doi.org/10.3390/md203101
Rungprom W, Chavasiri W, Kokpol U, Kotze A, Garson MJ. Bioactive Chromodorolide Diterpenes from an Aplysillid Sponge. Marine Drugs. 2004; 2(3):101-107. https://doi.org/10.3390/md203101
Chicago/Turabian StyleRungprom, Wimolpun, Warinthorn Chavasiri, Udom Kokpol, Andrew Kotze, and Mary J. Garson. 2004. "Bioactive Chromodorolide Diterpenes from an Aplysillid Sponge" Marine Drugs 2, no. 3: 101-107. https://doi.org/10.3390/md203101
APA StyleRungprom, W., Chavasiri, W., Kokpol, U., Kotze, A., & Garson, M. J. (2004). Bioactive Chromodorolide Diterpenes from an Aplysillid Sponge. Marine Drugs, 2(3), 101-107. https://doi.org/10.3390/md203101
