Antibacterial Bicyclic Fatty Acids from a Korean Colonial Tunicate Didemnum sp.
Abstract
:1. Introduction
2. Results and Discussion
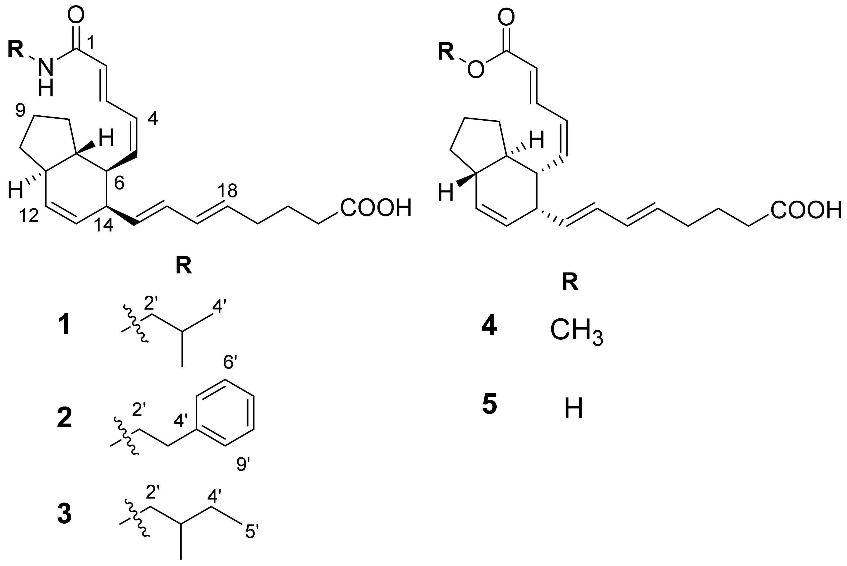
2.1. Structure Elucidation of Compounds 1–5
2.1.1. Compound 1
2.1.2. Compound 2
2.1.3. Compounds 3–5
2.1.4. The Absolute Configurations for 1–5
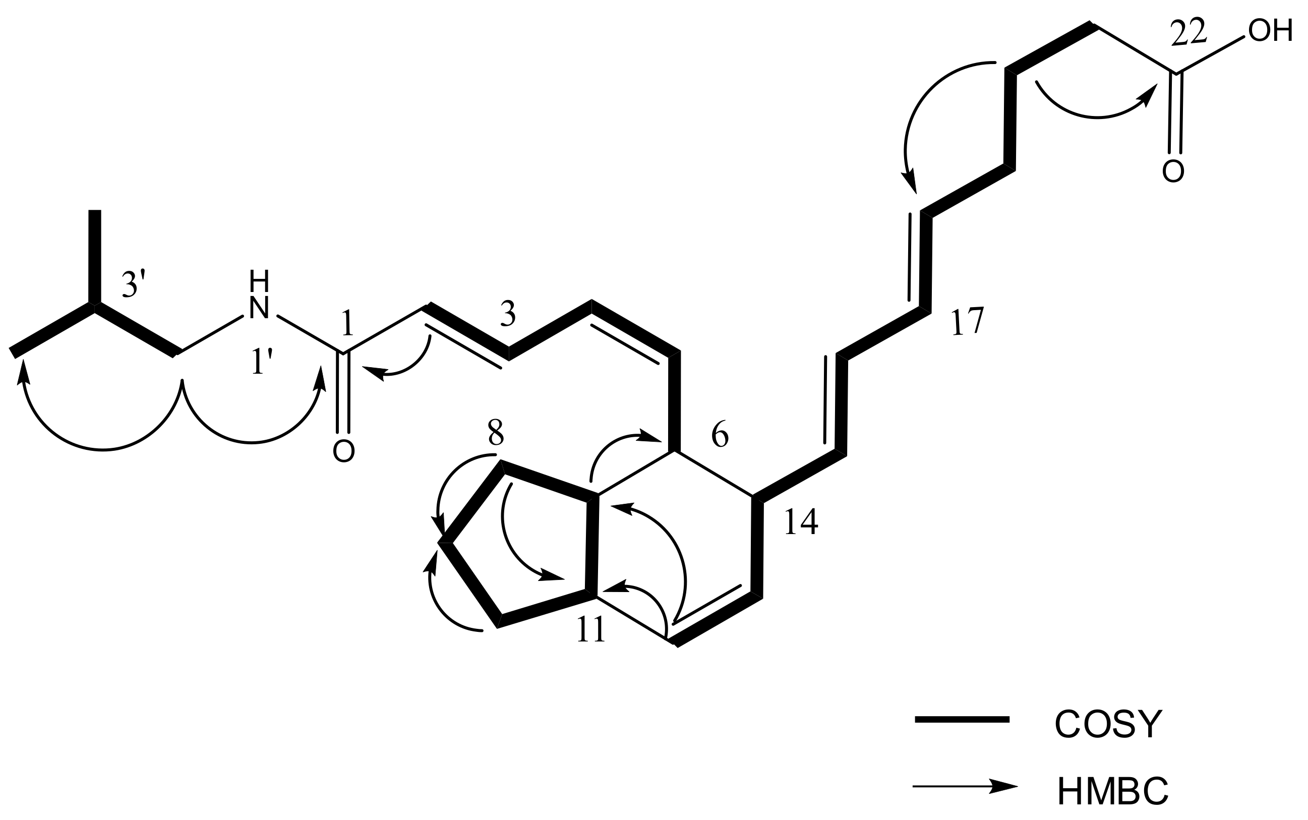
2.1.5. Spectroscopic Data of Compounds 1–5
2.2. Antibacterial Activity of the Compounds
3. Materials and Methods
3.1. General Experimental Procedures
3.2. Animal Material
3.3. Extraction and Isolation of Compounds
3.4. Bioassay Procedures
Supplementary Materials
Author Contributions
Funding
Conflicts of Interest
References
- Schmidt, E.W.; Donia, M.S. Life in cellulose houses: Symbiotic bacterial biosynthesis of ascidian drugs and drug leads. Curr. Opin. Biotech. 2010, 21, 827–833. [Google Scholar] [CrossRef] [Green Version]
- Ogi, T.; Margiastuti, P.; Teruya, T.; Taira, J.; Suenaga, K.; Ueda, K. Isolation of C11 cyclopentenones from two didemnid species, Lissoclinum sp. and Diplosoma sp. Mar. Drugs 2009, 7, 816–832. [Google Scholar] [CrossRef] [PubMed] [Green Version]
- Riesenfeld, C.S.; Murray, A.E.; Baker, B.J. Characterization of the microbial community and polyketide biosynthetic potential in the palmerolide-producing tunicate Synoicum adareanum. J. Nat. Prod. 2008, 71, 1812–1818. [Google Scholar] [CrossRef]
- Schmidt, E.W.; Sudek, S.; Haygood, M.G. Genetic evidence supports secondary metabolic diversity in Prochloron spp., the cyanobacterial symbiont of a tropical ascidian. J. Nat. Prod. 2004, 67, 1341–1345. [Google Scholar] [CrossRef]
- Tsukimoto, M.; Nagaoka, M.; Shishido, Y.; Fujimoto, J.; Nishisaka, F.; Matsumoto, S.; Harunari, E.; Imada, C.; Matsuzaki, T. Bacterial production of the tunicate-derived antitumor cyclic depsipeptide didemnin B. J. Nat. Prod. 2011, 74, 2329–2331. [Google Scholar] [CrossRef]
- Xu, Y.; Kersten, R.D.; Nam, S.-J.; Lu, L.; Al-Suwailem, A.M.; Zheng, H.; Fenical, W.; Dorrestein, P.C.; Moore, B.S.; Qian, P.-Y. Bacterial biosynthesis and maturation of the didemnin anti-cancer agents. J. Am. Chem. Soc. 2012, 134, 8625–8632. [Google Scholar] [CrossRef] [PubMed] [Green Version]
- Carter, G.T.; Rinehart, K.L., Jr. Aplidiasphingosine, an antimicrobial and antitumor terpenoid from an Aplidium species (marine tunicate). J. Am. Chem. Soc. 1978, 100, 7441–7442. [Google Scholar] [CrossRef]
- Wang, W.; Nam, S.-J.; Lee, B.-C.; Kang, H. β-Carboline alkaloids from a Korean tunicate Eudistoma sp. J. Nat. Prod. 2008, 71, 163–166. [Google Scholar] [CrossRef]
- Kang, H.; Jensen, P.R.; Fenical, W. Isolation of microbial antibiotics from a marine ascidian of the genus Didemnum. J. Org. Chem. 1996, 61, 1543–1546. [Google Scholar] [CrossRef]
- Riccio, R.; Kinnel, R.B.; Bifulco, G.; Scheuer, P.J. Kakelokelose, a sulfated mannose polysaccharide with anti-HIV activity from the Pacific tunicate Didemnum molle. Tetrahedron Lett. 1996, 37, 1979–1982. [Google Scholar] [CrossRef]
- Rinehart, K.L., Jr.; Gloer, J.B.; Cook, J.C., Jr.; Mizsak, S.A.; Scahill, T.A. Structures of the didemnins, antiviral and cytotoxic depsipeptides from a Caribbean tunicate. J. Am. Chem. Soc. 1981, 103, 1857–1859. [Google Scholar] [CrossRef]
- Sata, N.U.; Fusetani, N. Amaminols A and B, new bicyclic amino alcohols from an unidentified tunicate of the family Polyclinidae. Tetrahedron Lett. 2000, 41, 489–492. [Google Scholar] [CrossRef]
- Bao, B.; Dang, H.T.; Zhang, P.; Hong, J.; Lee, C.-O.; Cho, H.Y.; Jung, J.H. Bicyclic α, ω-dicarboxylic acid derivatives from a colonial tunicate of the family Polyclinidae. Bioorg. Med. Chem. Lett. 2009, 19, 6205–6208. [Google Scholar] [CrossRef] [PubMed]
- Fukuzawa, S.; Matsunaga, S.; Fusetani, N. Ritterazine A, a highly cytotoxic dimeric steroidal alkaloid, from the tunicate Ritterella tokioka. J. Org. Chem. 1994, 59, 6164–6166. [Google Scholar] [CrossRef]
- Segraves, N.L.; Robinson, S.J.; Garcia, D.; Said, S.A.; Fu, X.; Schmitz, F.J.; Pietraszkiewicz, H.; Valeriote, F.A.; Crews, P. Comparison of fascaplysin and related alkaloids: A study of structures, cytotoxicities, and sources. J. Nat. Prod. 2004, 67, 783–792. [Google Scholar] [CrossRef] [PubMed]
- Carroll, A.R.; Bowden, B.F.; Coll, J.C.; Hockless, D.C.; Skelton, B.W.; White, A.H. Studies of Australian ascidians. IV. Mollamide, a cytotoxic cyclic heptapeptide from the compound ascidian Didemnum molle. Aust. J. Chem. 1994, 47, 61–69. [Google Scholar] [CrossRef]
- Oku, N.; Matsunaga, S.; Fusetani, N. Shishijimicins A–C, novel enediyne antitumor antibiotics from the ascidian Didemnum proliferum. J. Am. Chem. Soc. 2003, 125, 2044–2045. [Google Scholar] [CrossRef]
- Liberio, M.S.; Sadowski, M.C.; Nelson, C.C.; Davis, R.A. Identification of eusynstyelamide B as a potent cell cycle inhibitor following the generation and screening of an ascidian-derived extract library using a real time cell analyzer. Mar. Drugs 2014, 12, 5222–5239. [Google Scholar] [CrossRef] [Green Version]
- Rinehart, K.L.; Holt, T.G.; Fregeau, N.L.; Stroh, J.G.; Keifer, P.A.; Sun, F.; Li, L.H.; Martin, D.G. Ecteinascidins 729, 743, 745, 759A, 759B, and 770: Potent antitumor agents from the Caribbean tunicate Ecteinascidia turbinata. J. Org. Chem. 1990, 55, 4512–4515. [Google Scholar] [CrossRef]
- Choi, H.; Hwang, H.; Chin, J.; Kim, E.; Lee, J.; Nam, S.-J.; Lee, B.C.; Rho, B.J.; Kang, H. Tuberatolides, potent FXR antagonists from the Korean marine tunicate Botryllus tuberatus. J. Nat. Prod. 2011, 74, 90–94. [Google Scholar] [CrossRef]
- Urdiales, J.; Morata, P.; De Castro, I.N.; Sánchez-Jiménez, F. Antiproliferative effect of dehydrodidemnin B (DDB), a depsipeptide isolated from Mediterranean tunicates. Cancer Lett. 1996, 102, 31–37. [Google Scholar] [CrossRef]
- Shenkar, N.; Swalla, B.J. Global diversity of Ascidiacea. PLoS ONE 2011, 6, e20657. [Google Scholar] [CrossRef]
- Da Silva Oliveira, F.A.; Michonneau, F.; da Cruz Lotufo, T.M. Molecular phylogeny of Didemnidae (Ascidiacea: Tunicata). Zool. J. Linn. Soc. 2017, 180, 603–612. [Google Scholar] [CrossRef]
- Tianero, M.D.B.; Kwan, J.C.; Wyche, T.P.; Presson, A.P.; Koch, M.; Barrows, L.R.; Bugni, T.S.; Schmidt, E.W. Species specificity of symbiosis and secondary metabolism in ascidians. ISME J. 2015, 9, 615–628. [Google Scholar] [CrossRef] [Green Version]
- Harada, N.; Nakanishi, K. Determining the chiralities of optically active glycols. J. Am. Chem. Soc. 1969, 91, 3989–3991. [Google Scholar] [CrossRef]
- Lindquist, N.; Fenical, W.; Sesin, D.F.; Ireland, C.M.; Van Duyne, G.D.; Forsyth, C.J.; Clardy, J. Isolation and structure determination of the didemnenones, novel cytotoxic metabolites from tunicates. J. Am. Chem. Soc. 1988, 110, 1308–1309. [Google Scholar] [CrossRef]
- Perry, N.B.; Weavers, R.T. Foliage diterpenes of Dacrydium intermedium: Identification, variation and biosynthesis. Phytochemistry 1985, 24, 2899–2904. [Google Scholar] [CrossRef]
- Kim, S.-H.; Oh, K.-B. Evaluation of antimicrobial activity of farnesoic acid derivatives. J. Microbiol. Biotechnol. 2002, 12, 1006–1009. [Google Scholar]




| No. | δC, mult. | δH, mult., (J in Hz) | COSY | HMBC |
|---|---|---|---|---|
| 1 | 169.2, C | |||
| 2 | 125.4, CH | 6.02, d (15.0) | 3 | 1, 4 |
| 3 | 137.0, CH | 7.55, dd ( 15.0, 11.7) | 2, 4 | 1,2, 4, 5 |
| 4 | 127.5, CH | 6.17, dd ( 11.7, 10.3) | 3, 5 | 2, 3, 6 |
| 5 | 143.0, CH | 5.71, dd (10.3, 10.3) | 4, 6 | 3, 7 |
| 6 | 44.2, CH | 3.02, m | 5, 7 | 4, 7 |
| 7 | 45.1, CH | 1.48, m | 6, 8, 11 | 6,8, 11 |
| 8 | 29.0, CH2 | 1.06 α, 1.64 β, m | 7, 9 | 7,9,10,11 |
| 9 | 23.1, CH2 | 1.71, m | 8, 10 | |
| 10 | 30.3, CH2 | 1.89 α, 1.21 β, m | 9, 11 | 7,8, 9, 11 |
| 11 | 46.8, CH | 1.95, m | 7, 10, 12 | |
| 12 | 131.0, CH | 5.92, d (10.0) | 11, 13 | 7, 11 |
| 13 | 130.9, CH | 5.46, ddd(10.0, 3.3,3.3) | 12, 14 | 11 |
| 14 | 46.7, CH | 3.02, m | 13, 15, 16 | 12, 13, 16 |
| 15 | 133.0, CH | 5.54, dd (15.0, 7.8) | 14, 16 | 14, 17 |
| 16 | 133.5, CH | 5.94, dd (15.0, 10.3) | 14, 15, 17 | 14, 18 |
| 17 | 132.3, CH | 6.04, dd (15.0, 10.3) | 16, 18 | 18, 19 |
| 18 | 133.2, CH | 5.57, dd (15.0, 7.2) | 17, 19 | 16, 19, 20 |
| 19 | 33.1, CH2 | 2.11, td (7.2, 7.2) | 17, 18, 20 | 18, 20, 21 |
| 20 | 25.9, CH2 | 1.68, m | 19, 21 | 18,19, 21, 22 |
| 21 | 34.5, CH2 | 2.28, t (7.4) | 20 | 19, 20, 22 |
| 22 | 177.7, C | |||
| 1′ | NH | |||
| 2′ | 48.1, CH2 | 3.08, d (6.9) | 3′ | 1, 3′, 4′ |
| 3′ | 29.8, CH | 1.81, m | 2′, 4′ | 2′, 4′ |
| 4′ | 20.6, CH3 | 0.92, d (6.7) | 3′ | 2′, 3′, 5′ |
| 5′ | 20.6, CH3 | 0.92, d (6.7) | 3′ | 2′, 3′, 4′ |
| = | 2 | 3 | 4 | 5 | ||||
|---|---|---|---|---|---|---|---|---|
| No. | δC, mult. | δH, mult., (J in Hz) | δC, mult. | δH, mult., (J in Hz) | δC, mult. | δH, mult., (J in Hz) | b δC, mult. | δH, mult., (J in Hz) |
| 1 | 169.2, C | 169.0, C | 169.6, C | 173.9, C | ||||
| 2 | 125.9, CH | 5.97, d(15.1) | 125.4, CH | 6.02, d(15.2) | 122.1, CH | 5.92, d(15.2) | 123.0, CH | 5.89, d(15.0) |
| 3 | 137.1, CH | 7.55, dd(15.1, 11.7) | 136.9, CH | 7.54, dd(15.2, 11.7) | 141.4, CH | 7.66, dd(15.2, 11.7) | 141.5, CH | 7.61, dd(15.0, 11.7) |
| 4 | 127.5, CH | 6.17,dd(11.7, 11.0) | 127.4, CH | 6.16, dd(11.7, 11.0) | 127.3, CH | 6.20, dd(11.7, 11.0) | 127.1, CH | 6.19, dd(11.7, 11.0) |
| 5 | 143.2, CH | 5.73, dd(11.0, 10.5) | 143.0, CH | 5.71, dd(11.0, 10.3) | 145.2, CH | 5.81, dd(11.0, 10.5) | 144.4, CH | 5.76, dd(11.0, 10.5) |
| 6 | 44.2, CH | 3.04, m | 44.1, CH | 3.03, m | 44.4, CH | 3.01, m | 44.1, CH | 3.00, m |
| 7 | 45.2, CH | 1.49, m | 45.1, CH | 1.48, m | 45.1, CH | 1.49, m | 45.0, CH | 1.45, m |
| 8 | 29.1, CH2 | 1.08α, 1.69β, m | 29.0, CH2 | 1.07α,1.63β, m | 29.2, CH2 | 1.04α, 1.64β, m | 29.1, CH2 | 1.03α, 1.62β, m |
| 9 | 23.1, CH2 | 1.73, m | 23.1, CH2 | 1.71, m | 23.1, CH2 | 1.72, m | 23.0, CH2 | 1.70, m |
| 10 | 30.3, CH2 | 1.91α, 1.23β, m | 30.4, CH2 | 1.89α, 1.21β, m | 30.4, CH2 | 1.89α, 1.22β, m | 30.3, CH2 | 1.87α, 1.24β, m |
| 11 | 46.9, CH | 1.97, m | 46.8, CH | 1.95, m | 46.8, CH | 1.95, m | 46.6, CH | 1.93, m |
| 12 | 131.1, CH | 5.95, d(10.0) | 131.0, CH | 5.93, d(10.0) | 131.1, CH | 5.93, d(10.0) | 130.9, CH | 5.91, d(10.0) |
| 13 | 131.0, CH | 5.48, ddd(10.0, 3.3, 3.3) | 130.9, CH | 5.46, ddd(10.0, 3.3, 3.3) | 130.9, CH | 5.47, ddd(9.9, 3.3, 3.3) | 130.8, CH | 5.45, ddd(10.0, 3.3, 3.3) |
| 14 | 46.8, CH | 3.04, m | 46.7 CH | 3.03, m | 46.8, CH | 3.01, m | 46.7, CH | 3.00, m |
| 15 | 133.0, CH | 5.55, dd(15.0, 7.7) | 133.0, CH | 5.55, dd(15.0, 7.7) | 132.8, CH | 5.54, dd(15.0, 7.8) | 132.8, CH | 5.53, dd(15.0, 7.7) |
| 16 | 133.6, CH | 5.97, dd(15.0, 10.3) | 133.5, CH | 5.95, dd(15.0, 10.3) | 133.7, CH | 5.95, dd(15.0, 10.3) | 133.4, CH | 5.93, dd(15.0, 10.3) |
| 17 | 132.4, CH | 6.05, dd(15.0, 10.3 | 132.4, CH | 6.04, dd(15.0, 10.3 | 132.4, CH | 6.04, dd(15.0, 10.3) | 132.2, CH | 6.03, dd(15.0, 10.3) |
| 18 | 133.3, CH | 5.59, dd(15.0, 7.2) | 133.2, CH | 5.56, dd(15.0, 7.2) | 133.4, CH | 5.57, dd(15.0, 7.2) | 133.3, CH | 5.56, dd(15.0, 7.2) |
| 19 | 33.2, CH2 | 2.12, td(7.2, 7.2) | 33.2, CH2 | 2.11, td(7.2, 7.2) | 33.1, CH2 | 2.10, td(7.2, 7.2) | 33.1, CH2 | 2.08, td(7.2, 7.2) |
| 20 | 26.1, CH2 | 1.70, m | 25.0, CH2 | 1.68, m | 26.0, CH2 | 1.68, m | 26.0, CH2 | 1.66, m |
| 21 | 34.7, CH2 | 2.29, t(7.4) | 34.7, CH2 | 2.28, t(7.4) | 34.5, CH2 | 2.28, t(7.4) | 34.5, CH2 | 2.28, t(7.4) |
| 22 | 177.9, C | 177.8, C | 177.7, C | 178.0, C | ||||
| 1′ | NH | NH | ||||||
| 2′ | 42.9, CH2 | 3.50, t(7.4) | 46.4, CH2 | 3.07, dd(13.3, 6.2)3.19, dd(13.3, 6.3) | ||||
| 3′ | 36.7, CH2 | 2.85, t(7.4) | 38.4, CH | 1.60, m | ||||
| 4′ | 140.7, C | 28.3, CH2 | 1.44, 1.17, m | |||||
| 5′ | 129.9, CH | 7.23, dd(7.0, 1.1) | 17.7, CH3 | 0.91, t(6.8) | ||||
| 6′ | 129.6, CH | 7.29 | 11.7, CH3 | 0.93, d(6.6) | ||||
| 7′ | 127.5, CH | 7.19, ddd(7.3, 7.3, 1.1) | ||||||
| 8′ | 129.6, CH | 7.29, ddd(7.3, 7.0, 1.1) | ||||||
| 9′ | 129.9, CH | 7.23, dd(7.0, 1.1) | ||||||
| OCH3 | 52.2, OCH3 | 3.74, s | ||||||
Publisher’s Note: MDPI stays neutral with regard to jurisdictional claims in published maps and institutional affiliations. |
© 2021 by the authors. Licensee MDPI, Basel, Switzerland. This article is an open access article distributed under the terms and conditions of the Creative Commons Attribution (CC BY) license (https://creativecommons.org/licenses/by/4.0/).
Share and Cite
Kim, H.; Lee, T.G.; Yang, I.; Wang, W.; Chin, J.; Lee, J.; Rho, B.J.; Choi, H.; Nam, S.-J.; Hahn, D.; et al. Antibacterial Bicyclic Fatty Acids from a Korean Colonial Tunicate Didemnum sp. Mar. Drugs 2021, 19, 521. https://doi.org/10.3390/md19090521
Kim H, Lee TG, Yang I, Wang W, Chin J, Lee J, Rho BJ, Choi H, Nam S-J, Hahn D, et al. Antibacterial Bicyclic Fatty Acids from a Korean Colonial Tunicate Didemnum sp. Marine Drugs. 2021; 19(9):521. https://doi.org/10.3390/md19090521
Chicago/Turabian StyleKim, Hiyoung, Tae Gu Lee, Inho Yang, Weihong Wang, Jungwook Chin, Jusung Lee, Boon Jo Rho, Hyukjae Choi, Sang-Jip Nam, Dongyup Hahn, and et al. 2021. "Antibacterial Bicyclic Fatty Acids from a Korean Colonial Tunicate Didemnum sp." Marine Drugs 19, no. 9: 521. https://doi.org/10.3390/md19090521
APA StyleKim, H., Lee, T. G., Yang, I., Wang, W., Chin, J., Lee, J., Rho, B. J., Choi, H., Nam, S.-J., Hahn, D., & Kang, H. (2021). Antibacterial Bicyclic Fatty Acids from a Korean Colonial Tunicate Didemnum sp. Marine Drugs, 19(9), 521. https://doi.org/10.3390/md19090521

