Bioactive Ascochlorin Analogues from the Marine-Derived Fungus Stilbella fimetaria
Abstract
1. Introduction
2. Results and Discussion
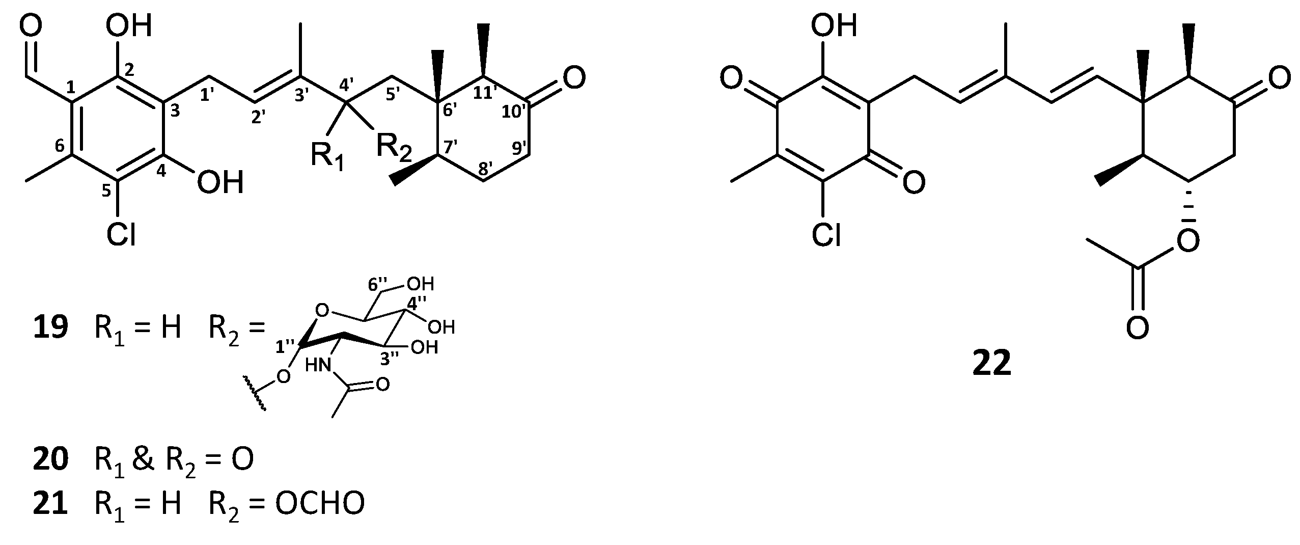
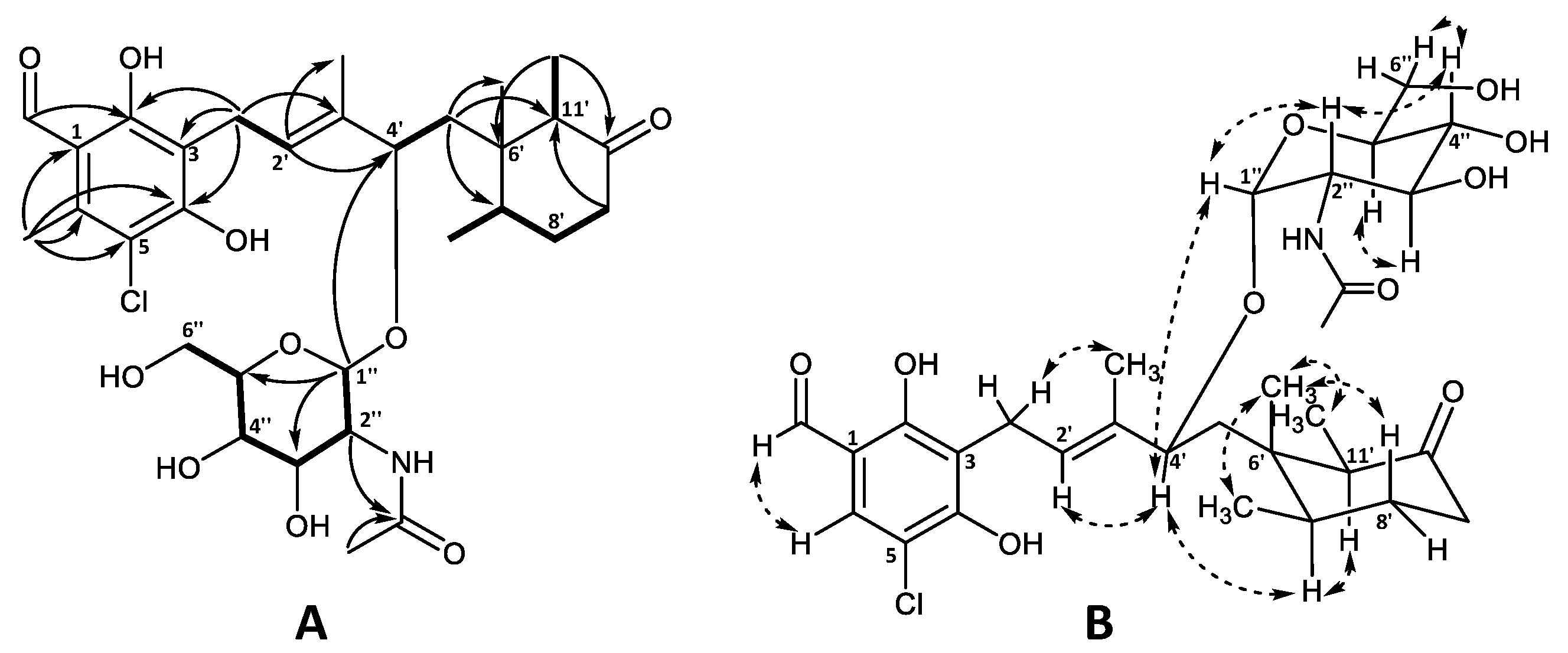
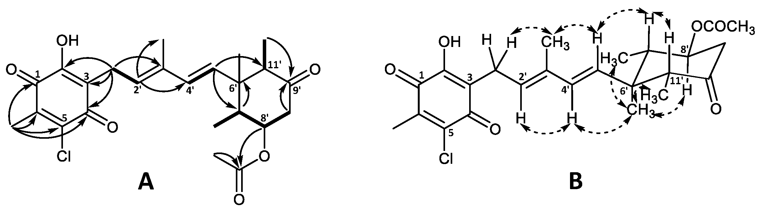
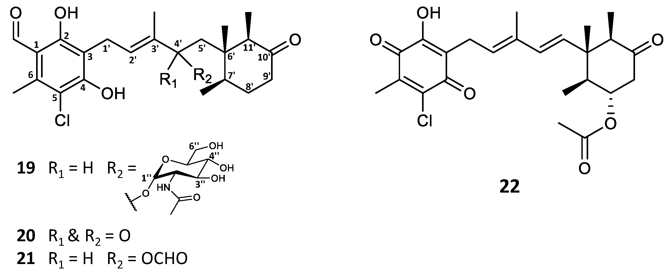
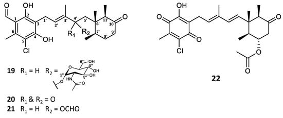
2.1. Dereplication and Structural Elucidation of New Analogues
2.2. UV-VIS- and MS-Based Dereplication of Fimetarin A Analogues
2.3. Biological Structure-Activity Relationship of Ascochlorin Analogues
3. Materials and Methods
3.1. General Experimental Procedures
3.2. Fungal Strain and Cultivation
3.3. Extraction and Isolation
3.4. Antibacterial and Antifungal Assays
4. Conclusions
Supplementary Materials
Author Contributions
Funding
Data Availability Statement
Acknowledgments
Conflicts of Interest
References
- Seephonkai, P.; Isaka, M.; Kittakoop, P.; Boonudomlap, U.; Thebtaranonth, Y. A novel ascochlorin glycoside from the insect pathogenic fungus Verticillium hemipterigenum BCC 2370. J. Antibiot. 2004, 57, 10–16. [Google Scholar] [CrossRef] [PubMed][Green Version]
- Tamura, G.; Suzuki, S.; Takatsuki, A.; Ando, K.; Arima, K. Ascochlorin, a new antibiotic, found by paper-disc agar-diffusion method. I. J. Antibiot. 2012, 21, 539–544. [Google Scholar] [CrossRef] [PubMed]
- Hijikawa, Y.; Matsuzaki, M.; Suzuki, S.; Inaoka, D.K.; Tatsumi, R.; Kido, Y.; Kita, K. Re-identification of the ascofuranone-producing fungus Ascochyta viciae as Acremonium sclerotigenum. J. Antibiot. 2016, 70, 304–307. [Google Scholar] [CrossRef]
- Nawata, Y.; Ando, K.; Tamura, G.; Arima, K.; Iitaka, Y. The molecular structure of ascochlorin. J. Antibiot. 2012, 22, 511–512. [Google Scholar] [CrossRef]
- Sasaki, H.; Hosokawa, T.; Sawada, M.; Ando, K. Isolation and structure of ascofuranone and ascofranol, antibiotics with hypolipidemic activity. J. Antibiot. 1973, 26, 676–680. [Google Scholar] [CrossRef] [PubMed]
- Sasaki, H.; Hosokawa, T.; Nawata, Y.; Ando, K. Isolation and Structure of ascochlorin and its analogs. Agric. Biol. Chem. 1974, 38, 1463–1466. [Google Scholar] [CrossRef]
- Hayakawa, S.; Minato, H.; Katagiri, K. The ilicicolins, antibiotics from Cylindrocladium ilicicola. J. Antibiot. 1971, 24, 653–654. [Google Scholar] [CrossRef]
- Gutiérrez, M.; Theoduloz, C.; Rodríguez, J.; Lolas, M.; Schmeda-Hirschmann, G. Bioactive metabolites from the fungus Nectria galligena, the main apple canker agent in Chile. J. Agric. Food Chem. 2005, 53, 7701–7708. [Google Scholar] [CrossRef]
- Ellestad, G.A.; Evans, R.H.; Kunstmann, M.P. Some new terpenoid metabolites from an unidentified Fusarium species. Tetrahedron 1969, 25, 1323–1334. [Google Scholar] [CrossRef]
- Zhang, P.; Bao, Q.; Dang, H.T.; Hong, J.; Lee, H.J.; Yoo, E.S.; Bae, K.S.; Jung, J.H. Anti-inflammatory sesquiterpenoids from a sponge-derived fungus Acremonium sp. J. Nat. Prod. 2009, 72, 270–275. [Google Scholar] [CrossRef]
- Wu, B.; Oesker, V.; Wiese, J.; Malien, S.; Schmaljohann, R.; Imhoff, J.F. Spirocyclic drimanes from the marine fungus Stachybotrys sp. Strain MF347. Mar. Drugs 2014, 12, 1924–1938. [Google Scholar] [CrossRef] [PubMed]
- Aldridge, D.C.; Borrow, A.; Foster, R.G.; Large, M.S.; Spencer, H.; Turner, W.B. Metabolites of Nectria coccinea. J. Chem. Soc. Perkin Trans. 1 1972, 17, 2136–2141. [Google Scholar] [CrossRef] [PubMed]
- Hosono, K.; Ogihara, J.; Ohdake, T.; Masuda, S. LL-Z1272α epoxide, a precursor of ascochlorin produced by a mutant of Ascochyta viciae. J. Antibiot. 2009, 62, 571–574. [Google Scholar] [CrossRef] [PubMed][Green Version]
- Kosuge, Y.; Suzuki, A.; Hirata, S.; Tamura, S. Structure of colletochlorin from Colletotrichum nicotianae. Agric. Biol. Chem. 1973, 37, 455–456. [Google Scholar] [CrossRef]
- Kosuge, Y.; Suzuki, A.; Tamura, S. Structure of colletochlorin D from Colletotrichum nicotianae. Agric. Biol. Chem. 1974, 38, 1553–1554. [Google Scholar] [CrossRef]
- Ishii, N.; Takahashi, A.; Kusano, G.; Nozoe, S. Studies on the constituents of Polyporus dispansus and P. confluens. Chem. Pharm. Bull. 1988, 36, 2918–2924. [Google Scholar] [CrossRef]
- Kawaguchi, M.; Fukuda, T.; Uchida, R.; Nonaka, K.; Masuma, R.; Tomoda, H. A new ascochlorin derivative from Cylindrocarpon sp. FKI-4602. J. Antibiot. 2012, 66, 23–29. [Google Scholar] [CrossRef]
- Takatsuki, A.; Tamura, G.; Arima, K. Antiviral and antitumor antibiotics. XIV. Effects of ascochlorin and other respiration inhibitors on multiplication of newcastle disease virus in cultured cells. Appl. Microbiol. 1969, 17, 825–829. [Google Scholar] [CrossRef]
- Lee, S.-H.; Kwak, C.-H.; Lee, S.-K.; Ha, S.-H.; Park, J.; Chung, T.-W.; Ha, K.-T.; Suh, S.-J.; Chang, Y.-C.; Chang, H.W.; et al. Anti-Inflammatory effect of ascochlorin in LPS-stimulated RAW 264.7 macrophage cells is accompanied with the down-regulation of iNOS, COX-2 and proinflammatory cytokines through NF-κB, ERK1/2, and p38 signaling pathway. J. Cell. Biochem. 2016, 117, 978–987. [Google Scholar] [CrossRef]
- Park, J.; Kim, H.-D.; Lee, S.-H.; Kwak, C.-H.; Chang, Y.-C.; Lee, Y.-C.; Chung, T.-W.; Magae, J.; Kim, C.-H. Ascochlorin induces caspase-independent necroptosis in LPS-stimulated RAW 264.7 macrophages. J. Ethnopharmacol. 2019, 239, 111898. [Google Scholar] [CrossRef]
- Hosokawa, T.; Sawada, M.; Ando, K.; Tamura, G. Alteration of cholesterol metabolism and hypocholesterolemic properties of 4-O-methylascochlorin in controlled reverse-phase feeding rats. Agric. Biol. Chem. 1982, 46, 775–781. [Google Scholar] [CrossRef]
- Hosokawa, T.; Ando, K.; Tamura, G. An ascochlorin derivative, AS-6, reduces insulin resistance in the genetically obese diabetic mouse, db/db. Diabetes 1985, 34, 267–274. [Google Scholar] [CrossRef] [PubMed]
- Yabu, Y.; Yoshida, A.; Suzuki, T.; Nihei, C.-I.; Kawai, K.; Minagawa, N.; Hosokawa, T.; Nagai, K.; Kita, K.; Ohta, N. The efficacy of ascofuranone in a consecutive treatment on Trypanosoma brucei brucei in mice. Parasitol. Int. 2003, 52, 155–164. [Google Scholar] [CrossRef]
- Shiba, T.; Kido, Y.; Sakamoto, K.; Inaoka, D.K.; Tsuge, C.; Tatsumi, R.; Takahashi, G.; Balogun, E.O.; Nara, T.; Aoki, T.; et al. Structure of the trypanosome cyanide-insensitive alternative oxidase. Proc. Natl. Acad. Sci. USA 2013, 110, 4580–4585. [Google Scholar] [CrossRef]
- Summerbell, R.C.; Gueidan, C.; Guarro, J.; Eskalen, A.; Crous, P.; Gupta, A.K.; Gené, J.; Cano-Lira, J.F.; van Iperen, A.; Starink, M.; et al. The protean Acremonium. A. sclerotigenum/egyptiacum: Revision, Food Contaminant, and Human Disease. Microorganisms 2018, 6, 88. [Google Scholar] [CrossRef]
- Quan, Z.; Awakawa, T.; Wang, D.; Hu, Y.; Abe, I. Multidomain P450 Epoxidase and a terpene cyclase from the ascochlorin biosynthetic pathway in Fusarium sp. Org. Lett. 2019, 21, 2330–2334. [Google Scholar] [CrossRef]
- Araki, Y.; Awakawa, T.; Matsuzaki, M.; Cho, R.; Matsuda, Y.; Hoshino, S.; Shinohara, Y.; Yamamoto, M.; Kido, Y.; Inaoka, D.K.; et al. Complete biosynthetic pathways of ascofuranone and ascochlorin in Acremonium egyptiacum. Proc. Natl. Acad. Sci. USA 2019, 116, 8269–8274. [Google Scholar] [CrossRef]
- Kildgaard, S.; Subko, K.; Phillips, E.; Goidts, V.; De La Cruz, M.; Diaz, C.; Gotfredsen, C.H.; Andersen, B.; Frisvad, J.C.; Nielsen, K.F.; et al. A dereplication and bioguided discovery approach to reveal new compounds from a marine-derived fungus Stilbella fimetaria. Mar. Drugs 2017, 15, 253. [Google Scholar] [CrossRef]
- Kildgaard, S.; Mansson, M.; Dosen, I.; Klitgaard, A.; Frisvad, J.C.; Larsen, T.O.; Nielsen, K.F. Accurate dereplication of bioactive secondary metabolites from marine-derived fungi by UHPLC-DAD-QTOFMS and a MS/HRMS Library. Mar. Drugs 2014, 12, 3681–3705. [Google Scholar] [CrossRef]
- Takamatsu, S.; Rho, M.-C.; Masuma, R.; Hayashi, M.; Komiyama, K.; Tanaka, H.; Omura, S. A Novel testosterone 5.ALPHA.-reductase inhibitor, 8′,9′-dehydroascochlorin produced by Verticillium sp. FO-2787. Chem. Pharm. Bull. 1994, 42, 953–956. [Google Scholar] [CrossRef][Green Version]
- Feng, P.; Shang, Y.; Cen, K.; Wang, C. Fungal biosynthesis of the bibenzoquinone oosporein to evade insect immunity. Proc. Natl. Acad. Sci. USA 2015, 112, 11365–11370. [Google Scholar] [CrossRef] [PubMed]
- Monteiro, M.C.; De La Cruz, M.; Cantizani, J.; Moreno, C.; Tormo, J.R.; Mellado, E.; De Lucas, J.R.; Asensio, F.; Valiante, V.; Brakhage, A.A.; et al. A new approach to drug discovery. J. Biomol. Screen. 2012, 17, 542–549. [Google Scholar] [CrossRef] [PubMed]
- Martin, J.; Da Sousa, T.S.; Crespo, G.; Palomo, S.; González, I.; Tormo, R.J.; De La Cruz, M.; Anderson, M.; Hill, R.T.; Vicente, F.; et al. Kocurin, the true structure of PM181104, an anti-methicillin-resistant Staphylococcus aureus (MRSA) thiazolyl peptide from the marine-derived bacterium Kocuria palustris. Mar. Drugs 2013, 11, 387–398. [Google Scholar] [CrossRef] [PubMed]
- Zhang, L.; Ravipati, A.S.; Koyyalamudi, S.R.; Jeong, S.C.; Reddy, N.; Bartlett, J.; Smith, P.T.; de La Cruz, M.; Monteiro, M.C.; Melguizo, A.; et al. Anti-fungal and anti-bacterial activities of ethanol extracts of selected traditional Chinese medicinal herbs. Asian Pac. J. Trop. Med. 2013, 6, 673–681. [Google Scholar] [CrossRef]
- Zhang, J.-H.; Chung, T.D.Y.; Oldenburg, K.R. A Simple statistical parameter for use in evaluation and validation of high throughput screening assays. J. Biomol. Screen. 1999, 4, 67–73. [Google Scholar] [CrossRef]







| Pos. | 19 a | 20 b | 21 b | 22 a | ||||
|---|---|---|---|---|---|---|---|---|
| δC | δH, mult (J) | δC | δH, mult (J) | δC | δH, mult (J) | δC | δH, mult (J) | |
| 1 | 112.9 | 113.7 | 112.9 | 182.6 | ||||
| 1CHO | 193.5 | 9.90, s | 193.2 | 10.17, s | 193.2 | 10.12, s | ||
| 2 | 163.3 | 162.2 | 162.0 | 154.9 | ||||
| 2OH | 12.76, s | 12.67, s | ||||||
| 3 | 114.4 | 111.7 | 112.9 | 120.6 | ||||
| 4 | 163.3 | 156.1 | 160.2 | 181.1 | ||||
| 4OH | 6.44, brs | 6.38, brs | ||||||
| 5 | 117.2 | 113.1 | 112.9 | 139.9 | ||||
| 6 | 139.6 | 138.5 | 137.9 | 142.5 | ||||
| 6CH3 | 14.8 | 2.51, s | 14.5 | 2.63, s | 14.4 | 2.59, s | 13.3 | 2.15, s |
| 1′a | 22.7 | 3.53, dd(13.6, 9.0) | 23.0 | 3.62, d(7.1) | 21.5 | 3.41, q(7.9) | 23.5 | 3.30, d(7.6) |
| 1′b | 22.7 | 3.34, dd(13.6, 9.0) | 21.5 | 3.39, q(7.0) | ||||
| 2′ | 130.8 | 5.70, t(7.3) | 137.9 | 6.62, t(7.2) | 125.9 | 5.61, t (7.4) | 128.6 | 5.45, m |
| 3′ | 134.7 | - | 138.0 | 134.7 | 135.5 | |||
| 3′CH3 | 11.2 | 1.74, s | 11.3 | 1.93, s | 11.6 | 1.82, s | 13.0 | 1.89, s |
| 4′ | 78.9 | 4.31, dd(8.4, 4.2) | 200.9 | 75.9 | 5.49, dd(7.0, 4.6) | 135.4 | 5.95, d(16.0) | |
| 4′OCHO | 160.2 | 8.03, s | ||||||
| 5′a | 40.5 | 1.74, m | 41.3 | 2.74, d(17.8) | 39.1 | 1.83, dd(15.8, 7.2) | 136.0 | 5.44, d(16.0) |
| 5′b | 40.5 | 1.60, dd(15.6, 4.2) | 41.3 | 2.51, d(17.8) | 39.1 | 1.59, dd(15.8, 4.5) | ||
| 6′ | 44.9 | 44.1 | 43.8 | 46.8 | ||||
| 6′CH3 | 16.5 | 0.49, s | 15.5 | 0.59, s | 15.4 | 0.55, s | 11.9 | 0.74 s |
| 7′ | 37.2 | 2.14, m | 35.4 | 2.59, m | 36.4 | 1.95, m | 46.2 | 2.09, dq(11.5, 6.7) |
| 7′CH3 | 16.2 | 0.96, d(6.6) | 15.6 | 0.81, d (6.8) | 15.4 | 0.95, d(6.7) | 12.8 | 0.87, d(6.7) |
| 8′a | 32.2 | 1.45, dq(13.1, 4.9) | 30.7 | 1.80, m | 30.9 | 1.79, m | 75.2 | 4.84, m |
| 8′b | 32.2 | 1.75, m | 30.7 | 1.56, qd(13.4, 5.2) | 30.9 | 1.54, qd(13.7, 4.8) | ||
| 8′CO | 172.2 | |||||||
| 8′COCH3 | 21.1 | 2.05, s | ||||||
| 9′a | 42.6 | 2.02, ddd(13.4, 4.9, 2.1) | 41.5 | 2.42, td(13.5, 7.3) | 41.3 | 2.26, ddd(13.6, 4.8, 1.9) | 48.1 | 2.74, dd(13.2, 5.6) |
| 9′b | 42.6 | 1.96, dt(13.4, 6.8) | 41.5 | 2.32, ddd(13.6, 4.8, 1.5) | 41.3 | 2.16, tdd(13.7, 7.1, 1.0) | 2.58, m | |
| 10′ | 216.7 | 216.1 | 216.7 | 210.4 | ||||
| 11′ | 51.5 | 2.49, q(6.6) | 50.1 | 3.32, q(6.7) | 50.3 | 2.51, q(6.7) | 54.6 | 2.62, m |
| 11′CH3 | 8.9 | 0.67, d(6.6) | 8.1 | 0.86, d(6.5) | 7.9 | 0.79, d(6.7) | 9.3 | 0.82, d(6.7) |
| 1″ | 94.0 | 4.77, d(3.8) | ||||||
| 2″ | 55.3 | 3.87, dd(10.8,3.8) | ||||||
| 2″CO | 173.6 | |||||||
| 2″CH3 | 22.8 | 2.00, s | ||||||
| 3″ | 72.9 | 3.68, m | ||||||
| 4″ | 72.6 | 3.34, t(9.2) | ||||||
| 5″ | 74.5 | 3.66, m | ||||||
| 6″a | 62.9 | 3.80, dd(11.4, 1.8) | ||||||
| 6″b | 62.9 | 3.69, m | ||||||
| Compound | MIC (μg/mL (μM)) | |||
|---|---|---|---|---|
| A. fumigatus | C. albicans | MRSA | E. coli | |
| 1 | 1.25–2.5 | 80 | >80 | >80 |
| 3 | 1.66–3.33 | 6.66–13.33 | >53.33 | >53.33 |
| 5 | >160 | >160 | 1.25–2.5 | >160 |
| 6 | >128 | >128 | >128 | >128 |
| 8 | >106.70 | >106.70 | 26.66 | >106.70 |
| 9 | 4.1 | 66.67–133.3 | >133.3 | >133.3 |
| 10 | >133.33 | >133.33 | 133.3 | >133.3 |
| 11 | >160 | >160 | 40 | >160 |
| 19 | >128 | >128 | >128 | >128 |
| 20 | >186.70 | >186.70 | 93.33 | >186.70 |
| 21 | >160 | >160 | 160 | >160 |
| 22 | 20 | 80 | >160 | >160 |
Publisher’s Note: MDPI stays neutral with regard to jurisdictional claims in published maps and institutional affiliations. |
© 2021 by the authors. Licensee MDPI, Basel, Switzerland. This article is an open access article distributed under the terms and conditions of the Creative Commons Attribution (CC BY) license (http://creativecommons.org/licenses/by/4.0/).
Share and Cite
Subko, K.; Kildgaard, S.; Vicente, F.; Reyes, F.; Genilloud, O.; Larsen, T.O. Bioactive Ascochlorin Analogues from the Marine-Derived Fungus Stilbella fimetaria. Mar. Drugs 2021, 19, 46. https://doi.org/10.3390/md19020046
Subko K, Kildgaard S, Vicente F, Reyes F, Genilloud O, Larsen TO. Bioactive Ascochlorin Analogues from the Marine-Derived Fungus Stilbella fimetaria. Marine Drugs. 2021; 19(2):46. https://doi.org/10.3390/md19020046
Chicago/Turabian StyleSubko, Karolina, Sara Kildgaard, Francisca Vicente, Fernando Reyes, Olga Genilloud, and Thomas O. Larsen. 2021. "Bioactive Ascochlorin Analogues from the Marine-Derived Fungus Stilbella fimetaria" Marine Drugs 19, no. 2: 46. https://doi.org/10.3390/md19020046
APA StyleSubko, K., Kildgaard, S., Vicente, F., Reyes, F., Genilloud, O., & Larsen, T. O. (2021). Bioactive Ascochlorin Analogues from the Marine-Derived Fungus Stilbella fimetaria. Marine Drugs, 19(2), 46. https://doi.org/10.3390/md19020046

