An Anti-Inflammatory 2,4-Cyclized-3,4-Secospongian Diterpenoid and Furanoterpene-Related Metabolites of a Marine Sponge Spongia sp. from the Red Sea
Abstract
1. Introduction
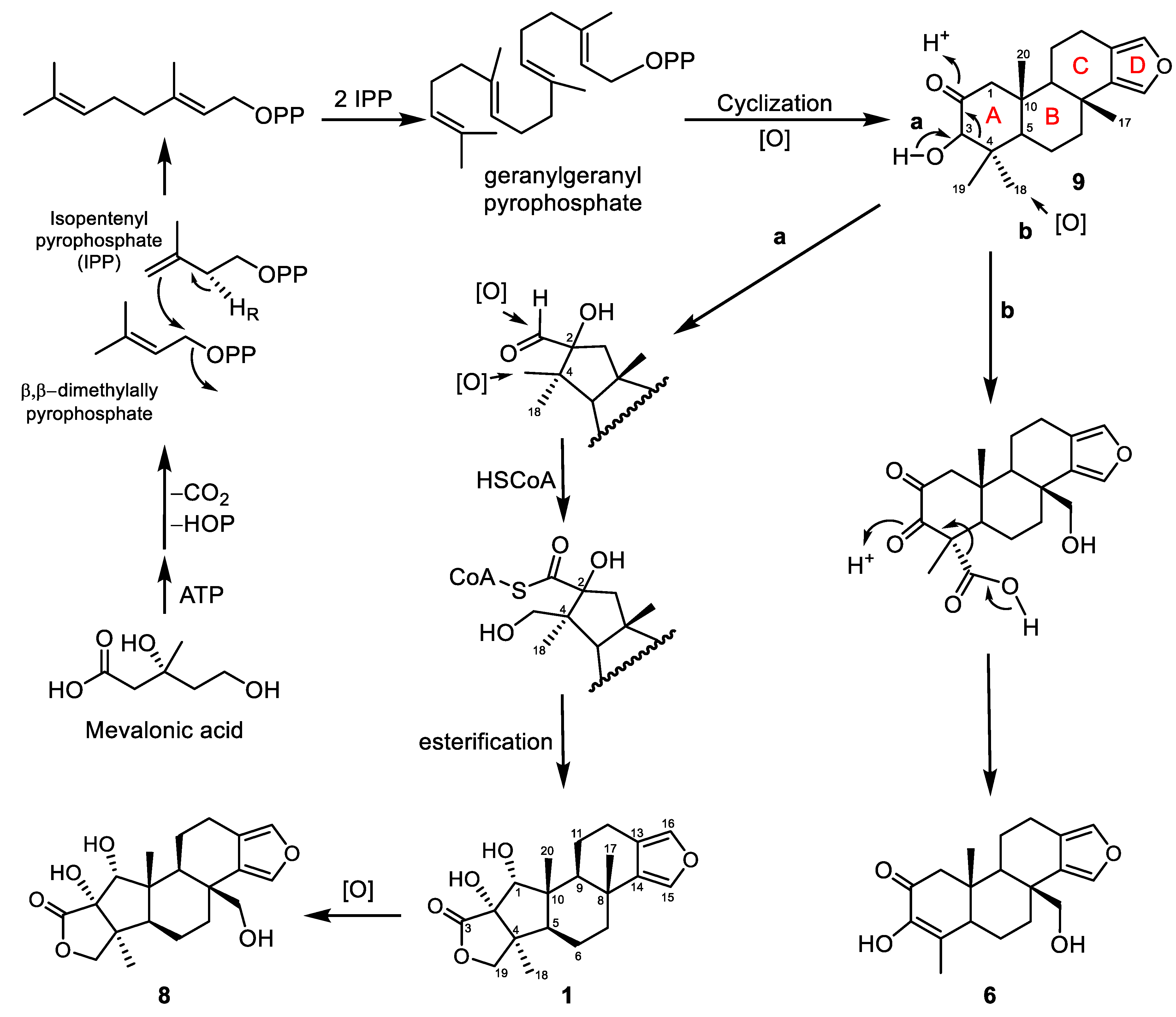
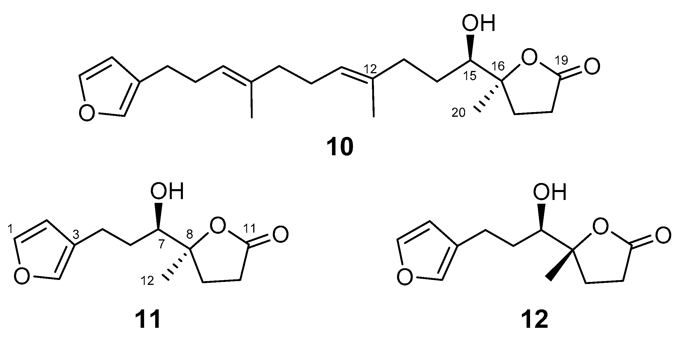
2. Results and Discussion
3. Materials and Methods
3.1. General Procedures
3.2. Animal Material
3.3. Extraction and Separation
3.3.1. 17-Dehydroxysponalactone (1)
3.3.2. Spongiafuranic Acid A (2)
3.3.3. Spongiafuranohydroxamic Acid A (3)
3.3.4. 16-Epi-Irciformonin G (4)
3.3.5. Preparation of (S)- and (R)-MTPA Esters of 4
3.4. In Vitro Bioassays
3.4.1. Anti-Inflammatory Activity
Superoxide Anion Generation
Elastase Release
3.4.2. Cytotoxic Activity
3.4.3. Statistical Analysis
4. Conclusions
Supplementary Materials
Author Contributions
Funding
Institutional Review Board Statement
Informed Consent Statement
Data Availability Statement
Conflicts of Interest
References
- Carroll, A.R.; Copp, B.R.; Davis, R.A.; Keyzers, R.A.; Prinsep, M.R. Marine natural products. Nat. Prod. Rep. 2019, 36, 122–173. [Google Scholar] [CrossRef] [PubMed]
- Keffer, J.L.; Plaza, A.; Bewley, C.A. Motualevic acids A-F, antimicrobial acids from the sponge Siliquariaspongia sp. Org. Lett. 2009, 11, 1087–1090. [Google Scholar] [CrossRef] [PubMed]
- Hagiwara, K.; Garcia Hernandez, J.E.; Harper, M.K.; Carroll, A.; Motti, C.A.; Awaya, J.; Nguyen, H.Y.; Wright, A.D. Puupehenol, a potent antioxidant antimicrobial meroterpenoid from a Hawaiian deep-water Dactylospongia sp. sponge. J. Nat. Prod. 2015, 78, 325–329. [Google Scholar] [CrossRef] [PubMed]
- Gotsbacher, M.P.; Karuso, P. New antimicrobial bromotyrosine analogues from the sponge Pseudoceratina purpurea and its predator Tylodina corticalis. Mar. Drugs 2015, 13, 1389–1409. [Google Scholar] [CrossRef] [PubMed]
- Cariello, L.; Zanetti, L.; Cuomo, V.; Vanzanella, F. Antimicrobial activity of avarol, a sesquiterpenoid hydroquinone from the marine sponge, Dysidea avara. Comp. Biochem. Physiol. B. 1982, 71, 281–283. [Google Scholar] [CrossRef]
- Gong, K.K.; Tang, X.L.; Liu, Y.S.; Li, P.L.; Li, G.Q. Imidazole alkaloids from the South China Sea sponge Pericharax heteroraphis and their cytotoxic and antiviral activities. Molecules 2016, 21, 150. [Google Scholar] [CrossRef]
- Bastos, J.C.; Kohn, L.K.; Fantinatti-Garboggini, F.; Padilla, M.A.; Flores, E.F.; da Silva, B.P.; de Menezes, C.B.; Arns, C.W. Antiviral activity of Bacillus sp. isolated from the marine sponge Petromica citrina against bovine viral diarrhea virus, a surrogate model of the hepatitis C virus. Viruses 2013, 5, 1219–1230. [Google Scholar] [CrossRef]
- El Sayed, K.A.; Hamann, M.T.; Hashish, N.E.; Shier, W.T.; Kelly, M.; Khan, A.A. Antimalarial, antiviral, and antitoxoplasmosis norsesterterpene peroxide acids from the Red Sea sponge Diacarnus erythraeanus. J. Nat. Prod. 2001, 64, 522–524. [Google Scholar] [CrossRef]
- Chianese, G.; Silber, J.; Luciano, P.; Merten, C.; Erpenbeck, D.; Topaloglu, B.; Kaiser, M.; Tasdemir, D. Antiprotozoal linear furanosesterterpenoids from the marine sponge Ircinia oros. J. Nat. Prod. 2017, 80, 2566–2571. [Google Scholar] [CrossRef]
- Regalado, E.L.; Tasdemir, D.; Kaiser, M.; Cachet, N.; Amade, P.; Thomas, O.P. Antiprotozoal steroidal saponins from the marine sponge Pandaros acanthifolium. J. Nat. Prod. 2010, 73, 1404–1410. [Google Scholar] [CrossRef]
- Qin, G.F.; Tang, X.L.; de Voogd, N.J.; Li, P.L.; Li, G.Q. Cytotoxic components from the Xisha sponge Fascaplysinopsis reticulata. Nat. Prod. Res. 2018, 1–7. [Google Scholar] [CrossRef] [PubMed]
- Urda, C.; Fernández, R.; Rodríguez, J.; Peérez, M.; Jiménez, C.; Cuevas, C. Daedophamide, a cytotoxic cyclodepsipeptide from a Daedalopelta sp. sponge collected in Indonesia. J. Nat. Prod. 2017, 80, 3054–3059. [Google Scholar] [CrossRef] [PubMed]
- Jiao, W.H.; Shi, G.H.; Xu, T.T.; Chen, G.D.; Gu, B.B.; Wang, Z.; Peng, S.; Wang, S.P.; Li, J.; Han, B.N.; et al. Dysiherbols A-C and dysideanone E, cytotoxic and NF-kB inhibitory tetracyclic meroterpenes from a Dysidea sp. marine sponge. J. Nat. Prod. 2016, 79, 406–411. [Google Scholar] [CrossRef] [PubMed]
- Gui, Y.H.; Jiao, W.H.; Zhou, M.; Zhang, Y.; Zeng, D.Q.; Zhu, H.R.; Liu, K.C.; Sun, F.; Chen, H.F.; Lin, H.W. Septosones A-C, in vivo anti-inflammatory meroterpenoids with rearranged carbon skeletons from the marine sponge Dysidea septosa. Org. Lett. 2019, 21, 767–770. [Google Scholar] [CrossRef] [PubMed]
- Randazzo, A.; Bifulco, G.; Giannini, C.; Bucci, M.; Debitus, C.; Cirino, G.; Gomez-Paloma, L. Halipeptins A and B: Two novel potent anti-inflammatory cyclic depsipeptides from the Vanuatu marine sponge Haliclona species. J. Am. Chem. Soc. 2001, 123, 10870–10876. [Google Scholar] [CrossRef]
- Costantino, V.; Fattorusso, E.; Mangoni, A.; Perinu, C.; Cirino, G.; De Gruttola, L.; Roviezzo, F. Tedanol: A potent anti-inflammatory ent-pimarane diterpene from the Caribbean sponge Tedania ignis. Bioorg. Med. Chem. 2009, 17, 7542–7547. [Google Scholar] [CrossRef]
- Liu, Y.; Ji, H.; Dong, J.; Zhang, S.; Lee, K.J.; Matthew, S. Antioxidant alkaloid from the South China Sea marine sponge lotrochota sp. Z. Naturforsch. C 2008, 63, 636–638. [Google Scholar] [CrossRef]
- Utkina, N.K. Antioxidant activity of zyzzyanones and makaluvamines from the marine sponge Zyzzya fuliginosa. Nat. Prod. Commun. 2013, 8, 1551–1552. [Google Scholar] [CrossRef]
- Costantino, V.; Fattorusso, E.; Mangoni, A.; Di Rosa, M.; Ianaro, A. Glycolipids from sponges. VII. Simplexides, novel immunosuppressive glycolipids from the Caribbean sponge Plakortis simplex. Bioorg. Med. Chem. Lett. 1999, 9, 271–276. [Google Scholar] [CrossRef]
- Gunasekera, S.P.; Cranick, S.; Longley, R.E. Immunosuppressive compounds from a deep water marine sponge, Agelas flabelliformis. J. Nat. Prod. 1989, 52, 757–761. [Google Scholar] [CrossRef]
- Kubanek, J.; Fenical, W.; Pawlik, J.R. New antifeedant triterpene glycosides from the Caribbean sponge Erylus formosus. Nat. Prod. Lett. 2001, 15, 275–285. [Google Scholar] [CrossRef] [PubMed]
- Assmann, M.; van Soest, R.W.; Kock, M. New antifeedant bromopyrrole alkaloid from the Caribbean sponge Stylissa caribica. J. Nat. Prod. 2001, 64, 1345–1347. [Google Scholar] [CrossRef] [PubMed]
- Albrizio, S.; Ciminiello, P.; Fattorusso, E.; Magno, S.; Pawlik, J.R. Amphitoxin, a new high molecular weight antifeedant pyridinium salt from the Caribbean sponge Amphimedon compressa. J. Nat. Prod. 1995, 58, 647–652. [Google Scholar] [CrossRef] [PubMed]
- Fattorusso, E.; Minale, L.; Sodano, G.; Trivellone, E. Isolation and structure of nitenin and dihydronitenin, new furanoterpenes from Spongia nitens. Tetrahedron 1971, 27, 3909–3917. [Google Scholar] [CrossRef]
- Abdjul, D.B.; Yamazaki, H.; Kanno, S.I.; Wewengkang, D.S.; Rotinsulu, H.; Sumilat, D.A.; Ukai, K.; Kapojos, M.M.; Namikoshi, M. Furanoterpenes, new types of protein tyrosine phosphatase 1B inhibitors, from two Indonesian marine sponges, Ircinia and Spongia spp. Bioorg. Med. Chem. Lett. 2017, 27, 1159–1161. [Google Scholar] [CrossRef]
- Bauvais, C.; Bonneau, N.; Blond, A.; Perez, T.; Bourguet-Kondracki, M.L.; Zirah, S. Furanoterpene diversity and variability in the marine sponge Spongia officinalis, from untargeted LC-MS/MS metabolomic profiling to furanolactam derivatives. Metabolites 2017, 7, 27. [Google Scholar] [CrossRef]
- Li, C.J.; Schmitz, F.J.; Kelly-Borges, M. Six new spongian diterpenes from the sponge Spongia matamata. J. Nat. Prod. 1999, 62, 287–290. [Google Scholar] [CrossRef]
- Gross, H.; Wright, A.D.; Reinscheid, U.; König, G.M. Three new spongian diterpenes from the Fijian marine sponge Spongia sp. Nat. Prod. Commun. 2009, 4, 315–322. [Google Scholar] [CrossRef]
- El-Desoky, A.H.; Kato, H.; Tsukamoto, S. Ceylonins G-I: Spongian diterpenes from the marine sponge Spongia ceylonensis. J. Nat. Prod. 2017, 71, 765–769. [Google Scholar] [CrossRef]
- Chen, Q.; Mao, Q.; Bao, M.; Mou, Y.; Fang, C.; Zhao, M.; Jiang, W.; Yu, X.; Wang, C.; Dai, L.; et al. Spongian diterpenes including one with a rearranged skeleton from the marine sponge Spongia officinalis. J. Nat. Prod. 2019, 82, 1714–1718. [Google Scholar] [CrossRef]
- Kazlauskas, R.; Murphy, P.T.; Wells, R.J.; Noack, K.; Oberhansli, W.E.; SchonhoIzer, P. A new series of diterpenes from Australian Spongia species. Aust. J. Chem. 1979, 32, 867–880. [Google Scholar] [CrossRef]
- Searle, P.A.; Molinzki, T.F. Scalemic 12-hydroxyambliofuran and 12-acetoxyambliofuran, five tetracyclic furanoditerpenes and a furanosesterterpene from Spongia sp. Tetrahedron 1994, 50, 9893–9908. [Google Scholar] [CrossRef]
- Yang, I.; Lee, J.; Lee, J.; Hahn, D.; Chin, J.; Won, D.H.; Ko, J.; Choi, H.; Hong, A.; Nam, S.J.; et al. Scalalactams A-D, scalarane sesterterpenes with a γ-Lactam moiety from a Korean Spongia sp. marine sponge. Molecules 2018, 23, 3187. [Google Scholar] [CrossRef] [PubMed]
- Nam, S.J.; Ko, H.; Ju, M.K.; Hwang, H.; Chin, J.; Ham, J.; Lee, B.; Lee, J.; Won, D.H.; Choi, H.; et al. Scalarane sesterterpenes from a marine sponge of the genus Spongia and their FXR antagonistic activity. J. Nat. Prod. 2007, 70, 1691–1695. [Google Scholar] [CrossRef] [PubMed]
- Tsukamoto, S.; Miura, S.; van Soest, R.W.M.; Ohta, T. Three new cytotoxic sesterterpenes from a marine sponge Spongia sp. J. Nat. Prod. 2003, 66, 438–440. [Google Scholar] [CrossRef]
- Li, J.; Gu, B.B.; Sun, F.; Xu, J.R.; Jiao, W.H.; Yu, H.B.; Han, B.N.; Yang, F.; Zhang, X.C.; Lin, H.W. Sesquiterpene quinones/hydroquinones from the marine sponge Spongia pertusa Esper. J. Nat. Prod. 2017, 80, 1436–1445. [Google Scholar] [CrossRef]
- Ito, T.; Nguyen, H.M.; Win, N.N.; Vo, H.Q.; Nguyen, H.T.; Morita, H. Three new sesquiterpene aminoquinones from a Vietnamese Spongia sp. and their biological activities. J. Nat. Prod. 2018, 72, 298–303. [Google Scholar] [CrossRef]
- Migliuolo, A.; Piccialli, V.; Sica, D. Two new 9,11-secosterols from the marine sponge Spongia officinalis. Synthesis of 9,11-seco-3β,6α,11-trihydroxy-5α-cholest-7-en-9-one. Steroids 1992, 57, 344–347. [Google Scholar] [CrossRef]
- Migliuolo, A.; Piccialli, V.; Sica, D.; Giordano, F. New D8- and D8(14)-5α,6α-epoxysterols from the marine sponge Spongia officinalis. Steroids 1993, 58, 134–140. [Google Scholar] [CrossRef]
- Aiello, A.; Fattorusso, E.; Magno, S.; Menna, M. Isolation of five new 5α-hydroxy-6-keto-D7 sterols from the marine sponge Oscarella lobularis. Steroids 1991, 56, 337–340. [Google Scholar] [CrossRef]
- Grassia, A.; Bruno, I.; Debitus, C.; Marzocco, S.; Pinto, A.; Gomez-Paloma, L.; Riccio, R. Spongidepsin, a new cytotoxic macrolide from Spongia sp. Tetrahedron 2001, 57, 6257–6260. [Google Scholar] [CrossRef]
- Sun, D.Y.; Han, G.Y.; Yang, N.N.; Lan, L.F.; Li, X.W.; Guo, Y.W. Racemic trinorsesquiterpenoids from the Beihai sponge Spongia officinalis: Structure and biomimetic total synthesis. Org. Chem. Front. 2018, 5, 1022–1027. [Google Scholar] [CrossRef]
- Parrish, S.M.; Yoshida, W.Y.; Kondratyuk, T.P.; Park, E.J.; Pezzuto, J.M.; Kelly, M.; Williams, P.G. Spongiapyridine and related spongians isolated from an Indonesian Spongia sp. J. Nat. Prod. 2014, 77, 1644–1649. [Google Scholar] [CrossRef] [PubMed]
- Pech-Puch, D.; Rodriguez, J.; Cautain, B.; Sandoval-Castro, C.A.; Jimenez, C. Cytotoxic furanoditerpenes from the sponge Spongia tubulifera collected in the Mexican Caribbean. Mar. Drugs 2019, 17, 416. [Google Scholar] [CrossRef] [PubMed]
- Demarco, P.V.; Farkas, E.; Doddrell, D.; Mylari, B.L.; Wenkert, E. Pyridine-induced solvent shifts in the nuclear magnetic resonance spectra of hydoxylic compounds. J. Am. Chem. Soc. 1968, 90, 5480–5486. [Google Scholar] [CrossRef]
- Kalinowski, H.O.; Berger, S.; Braun, S. Carbon13 NMR Spectroscopy; John Wiley & Sons: Chichester, UK, 1988. [Google Scholar]
- Parker, K.A.; Johnson, W.S. Synthesis of dendrolasin. Tetrahedron Lett. 1969, 17, 1329–1332. [Google Scholar] [CrossRef]
- Brown, D.A.; Glass, W.K.; Mageswaran, R.; Mohammed, S.A. 1H and 13C NMR studies of isomerism in hydroxamic acids. Magn. Reson. Chem. 1991, 29, 40–45. [Google Scholar] [CrossRef]
- Trabulsi, H.; Guillot, R.; Rousseau, G. Preparation of imino lactones by electrophilic cyclization of β, γ-unsaturated hydroxamates: Formation of 3-cyanoprop-2-en-1-ones through fragmentation reactions. Eur. J. Org. Chem. 2010, 2010, 5884–5896. [Google Scholar] [CrossRef]
- Tiecco, M.; Testaferri, L.; Marini, F.; Sternativo, S.; Bagnoli, L.; Santi, C.; Temperini, A. A sulfur-containing diselenide as an efficient chiral reagent in asymmetric selenocyclization reactions. Tetrahedron: Asymmetry 2001, 12, 1493–1502. [Google Scholar] [CrossRef]
- Pretsch, E.; Clerc, T.; Seibl, J.; Simon, W. Tables of Spectral Data for Structure Determination of Organic Compounds; Springer-Verlag: Berlin Heidelberg, Germany, 1983. [Google Scholar]
- Shen, Y.C.; Shih, P.S.; Lin, Y.S.; Lin, Y.C.; Kuo, Y.H.; Kuo, Y.C.; Khalil, A.T. Irciformonins E – K, C22-trinorsesterterpenoids from the sponge Ircinia formosana. Helv. Chim. Acta 2009, 92, 2101–2110. [Google Scholar] [CrossRef]
- Ohtani, I.; Kusumi, T.; Kashman, Y.; Kakisawa, H. High-field FT NMR application of Mosher's method. The absolute configurations of marine terpenoids. J. Am. Chem. Soc. 1991, 113, 4092–4096. [Google Scholar] [CrossRef]
- Huang, H.C.; Ahmed, A.F.; Su, J.H.; Chao, C.H.; Wu, Y.C.; Chiang, M.Y.; Sheu, J.H. Crassolides A-F, cembranoids with a trans-fused lactone from the soft coral Sarcophyton crassocaule. J. Nat. Prod. 2006, 69, 1554–1559. [Google Scholar] [CrossRef] [PubMed]
- O’Brien, J.; Wilson, I.; Orton, T.; Pognan, F. Investigation of the Alamar Blue (resazurin) fluorescent dye for the assessment of mammalian cell cytotoxicity. Eur. J. Biochem. 2000, 267, 5421–5426. [Google Scholar] [CrossRef]
- Nakayama, G.R.; Caton, M.C.; Nova, M.P.; Parandoosh, Z. Assessment of the Alamar Blue assay for cellular growth and viability in vitro. J. Immunol. Methods 1997, 204, 205–208. [Google Scholar] [CrossRef]
- Yu, H.P.; Hsieh, P.W.; Chang, Y.J.; Chung, P.J.; Kuo, L.M.; Hwang, T.L. 2-(2-Fluorobenzamido)benzoate ethyl ester (EFB-1) inhibits superoxide production by human neutrophils and attenuates hemorrhagic shock-induced organ dysfunction in rats. Free Radic. Biol. Med. 2011, 50, 1737–1748. [Google Scholar] [CrossRef] [PubMed]
- Yang, S.C.; Chung, P.J.; Ho, C.M.; Kuo, C.Y.; Hung, M.F.; Huang, Y.T.; Chang, W.Y.; Chang, Y.W.; Chan, K.H.; Hwang, T.L. Propofol inhibits superoxide production, elastase release, and chemotaxis in formyl peptide-activated human neutrophils by blocking formyl peptide receptor 1. J. Immunol. 2013, 190, 6511–6519. [Google Scholar] [CrossRef]
- Hwang, T.L.; Su, Y.C.; Chang, H.L.; Leu, Y.L.; Chung, P.J.; Kuo, L.M.; Chang, Y.J. Suppression of superoxide anion and elastase release by C18 unsaturated fatty acids in human neutrophils. J. Lipid Res. 2009, 50, 1395–1408. [Google Scholar] [CrossRef]






| Position | δH, m (J in Hz) | δC, Type |
|---|---|---|
| 1 | 3.87, 1H, br s | 81.8, CH |
| 2 | - | 83.3, C |
| 3 | - | 180.6, C |
| 4 | - | 47.6, C |
| 5 | 1.90, 1H, d (11.5) | 56.0, CH |
| 6 | 1.63, 1H, br dd (10.5, 10.5) | 18.3, CH2 |
| 1.66, 1H, m | ||
| 7 | 1.64, 1H, m | 40.0, CH2 |
| 2.16, 1H, br d (10.5) | ||
| 8 | - | 34.4, C |
| 9 | 1.96, 1H, d (11.5) | 47.0, CH |
| 10 | - | 46.4, C |
| 11 | 1.68, 1H, m | 20.2, CH2 |
| 1.78, 1H, dq (12.5, 6.5) | ||
| 12 | 2.59, 1H, ddd (16.0, 12.5, 6.5) | 19.7, CH2 |
| 2.76, 1H, dd (16.0, 6.0) | ||
| 13 | - | 119.6, C |
| 14 | - | 136.8, C |
| 15 | 7.09, 1H, br s | 134.8, CH |
| 16 | 7.06, 1H, br s | 137.1, CH |
| 17 | 1.24, 3H, s | 26.9, CH3 |
| 18 | 1.14, 3H, s | 22.6, CH3 |
| 19 | 3.92, 1H, d (12.0) | 74.6, CH2 |
| 4.37, 1H, d (12.0) | ||
| 20 | 0.84, 3H, s | 14.0, CH3 |
| 2 | 3 | |||
|---|---|---|---|---|
| # | δH, m (J in Hz) a | δC b | δH, m (J in Hz) a | δC b |
| 1 | 7.34, 1H, brs | 142.5, CH | 7.35, 1H, brs | 142.9, CH |
| 2 | 6.27, 1H, brs | 111.0, CH | 6.27, 1H, brs | 111.2, CH |
| 3 | - | 124.7, C | - | 125.1, C |
| 4 | 7.20, 1H, s | 138.8, CH | 7.21, 1H, s | 139.1, CH |
| 5 | 2.45, 2H, dt (7.6, 7.6) | 24.8, CH2 | 2.40, 2H, dt (7.6, 7.6) | 24.4, CH2 |
| 6 | 2.25, 2H, dt (7.6, 7.2) | 28.3, CH2 | 2.25, 2H, dt (7.6, 7.6) | 28.1, CH2 |
| 7 | 5.22, 1H, dd (7.2, 7.2) | 124.7, CH | 2.08, 2H, dd (7.2, 7.6) | 39.1, CH2 |
| 8 | - | 133.7, C | - | 139.7, C |
| 9 | 2.32, 2H, dd (7.6, 7.6) | 34.2, CH2 | 5.34, 1H, dd (6.0, 6.0) | 115.5, CH |
| 10 | 2.47, 2H, m | 32.9, CH2 | 3.10, 2H, d (6.8) | 33.2, CH2 |
| 11 | - | 180.0, C | - | 176.1, C |
| 12 | 1.61, 3H, s | 15.9, CH3 | 1.65, 3H, s | 16.5, CH3 |
| 4 | 5 | (‒)-Sponalisolide B | |||||
|---|---|---|---|---|---|---|---|
| # | δH, m (J in Hz) a | δC b | # | δH, m (J in Hz) a | δC b | δH, m (J in Hz) c | δC d |
| 1 | 7.34, 1H, brs | 142.5, CH | 1 | 7.34, 1H, brs | 142.6, CH | 7.33, 1H, t (1.6) | 142.7, CH |
| 2 | 6.28, 1H, brs | 111.1, CH | 2 | 6.27, 1H, brs | 111.0, CH | 6.26, 1H, brs | 111.1, CH |
| 3 | − | 124.9, C | 3 | − | 124.7, C | − | 124.9, C |
| 4 | 7.21, 1H, s | 138.8, CH | 4 | 7.20, 1H, s | 138.8, CH | 7.20, 1H, brs | 139.0, CH |
| 5 | 2.45, 2H, t (7.5) | 25.0, CH2 | 5 | 2.45, 2H, t (7.5) | 24.8, CH2 | 2.44, 2H, dd (7.7, 7.3) | 24.9, CH2 |
| 6 | 2.24, 2H, dt (7.5, 7.0) | 28.4, CH2 | 6 | 2.25, 2H, dt (7.5, 7.0) | 28.3, CH2 | 2.24, 2H, ddd (14.6, 7.3, 7.0) | 28.5, CH2 |
| 7 | 5.16, 1H, t, (6.0) | 123.9, CH | 7 | 5.23, 1H, t (7.0) | 125.1, CH | 5.22, 1H, t (7.0) | 125.2, CH |
| 8 | − | 135.5, C | 8 | − | 134.1, C | − | 134.2, C |
| 9 | 2.00, 2H, dd, (7.5, 7.0) | 39.5, CH2 | 9 | 1.61, 3H, s | 16.0, CH3 | 1.60, 3H, s | 16.1, CH3 |
| 10 | 2.08, 2H, m | 26.5, CH2 | 10 | 2.35, 2H, m | 34.7, CH2 | 2.33, 2H, m | 35.1, CH2 |
| 11 | 5.17, 1H, t, (6.0) | 125.4, CH | 11 | 2.34, 2H, m | 34.9, CH2 | 2.33, 2H, m | 34.9, CH2 |
| 12 | − | 134.3, C | 12 | − | 173.3, C | − | 173.5, C |
| 13 | 2.24, 1H, m; 2.07, 1H, m | 36.2, CH2 | 1’ | − | 175.4, C | − | 175.6, C |
| 14 | 1.50, 1H, m; 1.58, 1H, m | 28.9, CH2 | 2’ | 4.50, 1H, ddd, (11.5, 8.5, 5.5) | 49.3, CH | 4.52, 1H, ddd, (11.7, 8.6, 5.8) | 49.4, CH |
| 15 | 3.51, 1H, br d (10.5) | 76.7, CH | 3’ | 2.86, 1H, ddd, (12.0, 8.5, 6.0) 2.08, 1H, qd, (11.5, 9.0) | 30.7, CH2 | 2.82, 1H, ddd, (12.2, 8.6, 5.8); 2.08, 1H, qd, (11.7, 9.1) | 30.7, CH2 |
| 16 | − | 88.7, C | 4’ | 4.47, t (9.5) 4.27, 1H, ddd, (11.5, 9.5, 6.0) | 66.1, CH2 | 4.45, 1H, t, (9.5); 4.27, 1H, ddd, (11.3, 9.5, 5.8) | 66.2, CH2 |
| 17 | 2.63, 2H, dd (9.0, 7.5) | 29.2, CH2 | NH | 6.00 brs | − | 6.16 brs | − |
| 18 | 1.92, 1H, ddd (13.0, 8.0, 8.0); 2.20, 1H, m | 30.6, CH2 | |||||
| 19 | − | 176.7, C | |||||
| 20 | 1.37, 3H, s | 21.3, CH3 | |||||
| 21 | 1.61, 3H, s | 16.0, CH3 | |||||
| 22 | 1.61, 3H, s | 15.9, CH3 | |||||
| 4 a | 10 (15R,16S) b | C# | 11 (7R,8S) c | 12 (7R,8R) c | |
|---|---|---|---|---|---|
| C-15 | 76.7 | 75.5 | C-7 | 75.1 | 76.2 |
| C-16 | 88.7 | 88.9 | C-8 | 88.9 | 88.9 |
| C-17 | 29.2 | 27.8 | C-9 | 27.6 | 29.2 |
| C-18 | 30.6 | 29.5 | C-10 | 29.5 | 30.7 |
| C-19 | 176.7 | 177.3 | C-11 | 177.1 | 176.6 |
| C-20 | 21.3 | 23.0 | C-12 | 23.1 | 21.4 |
| Compound | Superoxide Anion | Elastase | ||||||||||||||
|---|---|---|---|---|---|---|---|---|---|---|---|---|---|---|---|---|
| IC50 (μM) a | Inh % | IC50 (μM) a | Inh % | |||||||||||||
| 1 | 3.37 | ± | 0.21 | 91.38 | ± | 2.91 | *** | 4.07 | ± | 0.60 | 90.29 | ± | 7.71 | *** | ||
| 2 | − b | 3.47 | ± | 0.68 | ** | − | 14.03 | ± | 3.28 | * | ||||||
| 3 | − | 8.85 | ± | 3.73 | − | 18.00 | ± | 6.08 | * | |||||||
| 4 | − | 2.61 | ± | 1.26 | − | -1.07 | ± | 7.93 | ||||||||
| 5 | 5.31 | ± | 1.52 | 67.12 | ± | 6.00 | *** | − | 35.18 | ± | 8.03 | ** | ||||
| 6 | − | 9.44 | ± | 5.04 | − | 19.24 | ± | 3.86 | ** | |||||||
| 7 | − | 12.79 | ± | 6.01 | − | 25.87 | ± | 4.18 | ** | |||||||
| LY294002 c | 1.88 | ± | 0.77 | 90.27 | ± | 3.87 | *** | 2.58 | ± | 0.67 | 77.59 | ± | 2.34 | *** | ||
Publisher’s Note: MDPI stays neutral with regard to jurisdictional claims in published maps and institutional affiliations. |
© 2021 by the authors. Licensee MDPI, Basel, Switzerland. This article is an open access article distributed under the terms and conditions of the Creative Commons Attribution (CC BY) license (http://creativecommons.org/licenses/by/4.0/).
Share and Cite
Tai, C.-J.; Huang, C.-Y.; Ahmed, A.F.; Orfali, R.S.; Alarif, W.M.; Huang, Y.M.; Wang, Y.-H.; Hwang, T.-L.; Sheu, J.-H. An Anti-Inflammatory 2,4-Cyclized-3,4-Secospongian Diterpenoid and Furanoterpene-Related Metabolites of a Marine Sponge Spongia sp. from the Red Sea. Mar. Drugs 2021, 19, 38. https://doi.org/10.3390/md19010038
Tai C-J, Huang C-Y, Ahmed AF, Orfali RS, Alarif WM, Huang YM, Wang Y-H, Hwang T-L, Sheu J-H. An Anti-Inflammatory 2,4-Cyclized-3,4-Secospongian Diterpenoid and Furanoterpene-Related Metabolites of a Marine Sponge Spongia sp. from the Red Sea. Marine Drugs. 2021; 19(1):38. https://doi.org/10.3390/md19010038
Chicago/Turabian StyleTai, Chi-Jen, Chiung-Yao Huang, Atallah F. Ahmed, Raha S. Orfali, Walied M. Alarif, Yusheng M. Huang, Yi-Hsuan Wang, Tsong-Long Hwang, and Jyh-Horng Sheu. 2021. "An Anti-Inflammatory 2,4-Cyclized-3,4-Secospongian Diterpenoid and Furanoterpene-Related Metabolites of a Marine Sponge Spongia sp. from the Red Sea" Marine Drugs 19, no. 1: 38. https://doi.org/10.3390/md19010038
APA StyleTai, C.-J., Huang, C.-Y., Ahmed, A. F., Orfali, R. S., Alarif, W. M., Huang, Y. M., Wang, Y.-H., Hwang, T.-L., & Sheu, J.-H. (2021). An Anti-Inflammatory 2,4-Cyclized-3,4-Secospongian Diterpenoid and Furanoterpene-Related Metabolites of a Marine Sponge Spongia sp. from the Red Sea. Marine Drugs, 19(1), 38. https://doi.org/10.3390/md19010038

