11β,20β-Epoxybriaranes from the Gorgonian Coral Junceella fragilis (Ellisellidae)
Abstract
1. Introduction
2. Results and Discussion
3. Materials and Methods
3.1. General Experimental Procedures
3.2. Animal Material
3.3. Extraction and Isolation
3.4. Single-Crystal X-ray Crystallography of Juncenolide K (1)
3.5. In Vitro Inflammatory Assay
4. Conclusions
Supplementary Materials
Author Contributions
Funding
Conflicts of Interest
References
- Bayer, F.M. Key to the genera of octocorallia exclusive of Pennatulacea (Coelenterata: Anthozoa), with diagnoses of new taxa. Proc. Biol. Soc. Wash. 1981, 94, 902–947. [Google Scholar]
- Bayer, F.M.; Grasshoff, M. The genus group taxa of the family Ellisellidae, with clarification of the genera established by J.E. Gray (Cnidaria: Octocorallia). Senckenb. Biol. 1994, 74, 21–45. [Google Scholar]
- Chen, C.-C.; Chang, K.-H. Gorgonacea (Coelenterata: Anthozoa: Octocorallia) of Southern Taiwan. Bull. Inst. Zool. Acad. Sin. 1991, 30, 149–181. [Google Scholar]
- Chung, H.-M.; Wang, Y.-C.; Tseng, C.-C.; Chen, N.-F.; Wen, Z.-H.; Fang, L.-S.; Hwang, T.-L.; Wu, Y.-C.; Sung, P.-J. Natural product chemistry of gorgonian corals of genus Junceella–Part III. Mar. Drugs 2018, 16, 339, and review articles in this series. [Google Scholar] [CrossRef] [PubMed]
- Su, Y.-M.; Fan, T.-Y.; Sung, P.-J. 11,20-Epoxybriaranes from the gorgonian coral Ellisella robusta (Ellisellidae). Nat. Prod. Res. 2007, 21, 1085–1090. [Google Scholar] [CrossRef] [PubMed]
- Shin, J.; Park, M.; Fenical, W. The junceellolides, new anti-inflammatory diterpenoids of the briarane class from the Chinese gorgonian Junceella fragilis. Tetrahedron 1989, 45, 1633–1638. [Google Scholar] [CrossRef]
- Sheu, J.-H.; Chen, Y.-P.; Hwang, T.-L.; Chiang, M.Y.; Fang, L.-S.; Sung, P.-J. Junceellolides J–L, 11,20-epoxybriaranes from the gorgonian coral Junceella fragilis. J. Nat. Prod. 2006, 69, 269–273. [Google Scholar] [CrossRef] [PubMed]
- Shen, Y.-C.; Chen, Y.-H.; Hwang, T.-L.; Guh, J.-H.; Khalil, A.T. Four new briarane diterpenoids from the gorgonian coral Junceella fragilis. Helv. Chim. Acta 2007, 90, 1391–1398. [Google Scholar] [CrossRef]
- Sung, P.-J.; Chen, Y.-P.; Su, Y.-M.; Hwang, T.-L.; Hu, W.-P.; Fan, T.-Y.; Wang, W.-H. Fragilide B: A novel briarane-type diterpenoid with a S-cis diene moiety. Bull. Chem. Soc. Jpn. 2007, 80, 1205–1207. [Google Scholar] [CrossRef]
- Sung, P.-J.; Lin, M.-R.; Su, Y.-D.; Chiang, M.Y.; Hu, W.-P.; Su, J.-H.; Cheng, M.-C.; Hwang, T.-L.; Sheu, J.-H. New briaranes from the octocorals Briareum excavatum (Briareidae) and Junceella fragilis (Ellisellidae). Tetrahedron 2008, 64, 2596–2604. [Google Scholar] [CrossRef]
- Sung, P.-J.; Pai, C.-H.; Su, Y.-D.; Hwang, T.-L.; Kuo, F.-W.; Fan, T.-Y.; Li, J.-J. New 8-hydroxybriarane diterpenoids from the gorgonians Junceella juncea and Junceella fragilis (Ellisellidae). Tetrahedron 2008, 64, 4224–4232. [Google Scholar] [CrossRef]
- Hwang, T.-L.; Lin, M.-R.; Tsai, W.-T.; Yeh, H.-C.; Hu, W.-P.; Sheu, J.-H.; Sung, P.-J. New polyoxygenated briaranes from octocorals Briareum excavatum and Ellisella robusta. Bull. Chem. Soc. Jpn. 2008, 81, 1638–1646. [Google Scholar] [CrossRef]
- Wang, S.-S.; Chen, Y.-H.; Chang, J.-Y.; Hwang, T.-L.; Chen, C.-H.; Khalil, A.T.; Shen, Y.-C. Juncenolides H–K, new briarane diterpenoids from Junceella juncea. Helv. Chim. Acta 2009, 92, 2092–2100. [Google Scholar] [CrossRef]
- Chang, Y.-C.; Hwang, T.-L.; Huang, S.-K.; Huang, L.-W.; Lin, M.-R.; Sung, P.-J. 12-epi-Fragilide G, a new briarane-type diterpenoid from the gorgonian coral Ellisella robusta. Heterocycles 2010, 81, 991–996. [Google Scholar] [CrossRef]
- Wang, S.-H.; Chang, Y.-C.; Chiang, M.Y.; Chen, Y.-H.; Hwang, T.-L.; Weng, C.-F.; Sung, P.-J. Chlorinated briarane diterpenoids from the sea whip gorgonian corals Junceella fragilis and Ellisella robusta (Ellisellidae). Chem. Pharm. Bull. 2010, 58, 928–933. [Google Scholar] [CrossRef]
- Chang, J.-Y.; Liaw, C.-C.; Fazary, A.E.; Hwang, T.-L.; Shen, Y.-C. New briarane diterpenoids from the gorgonian coral Junceella juncea. Mar. Drugs 2012, 10, 1321–1330. [Google Scholar] [CrossRef]
- Cheng, W.; Li, X.; Yin, F.; van Ofwegen, L.; Lin, W. Halogenated briarane diterpenes with acetyl migration from the gorgonian coral Junceella fragilis. Chem. Biodivers. 2017, 14, e1700053. [Google Scholar] [CrossRef]
- Zheng, L.-G.; Chang, Y.-C.; Hu, C.-C.; Wen, Z.-H.; Wu, Y.-C.; Sung, P.-J. Fragilides K and L, new briaranes from the gorgonian coral Junceella fragilis. Molecules 2018, 23, 1510. [Google Scholar] [CrossRef]
- Su, T.-P.; Yuan, C.-H.; Jhu, Y.-M.; Peng, B.-R.; Wen, Z.-H.; Wu, Y.-J.; Wu, T.-Y.; Liu, H.-W.; Sung, P.-J. Fragilides U–W: New 11,20-epoxybriaranes from the sea whip gorgonian coral Junceella fragilis. Mar. Drugs 2019, 17, 706. [Google Scholar] [CrossRef]
- Zheng, L.-G.; Chang, Y.-C.; Chen, J.-J.; Wen, Z.-H.; Hwang, T.-L.; Sung, P.-J. (+)-12-epi-Fragilide G, a new chlorinated briarane from the sea whip gorgonian coral Junceella fragilis. Heterocycles 2019, 96, 1601–1609. [Google Scholar]
- Hamann, M.T.; Harrison, K.N.; Carroll, A.R.; Scheuer, P.J. Briarane diterpenes from Micronesian gorgonians. Heterocycles 1999, 42, 325–331. [Google Scholar]
- El Sayed, K.A.; Dunbar, D.C.; Perry, T.L.; Wilkins, S.P.; Hamann, M.T.; Greenplate, J.T.; Wideman, M.A. Marine natural products as prototype insecticidal agents. J. Agric. Food Chem. 1997, 45, 2735–2739. [Google Scholar] [CrossRef]
- Shen, Y.-C.; Lin, Y.-C.; Chiang, M.Y. Juncenolide A, a new briarane from the Taiwanese gorgonian Junceella juncea. J. Nat. Prod. 2002, 65, 54–56. [Google Scholar] [CrossRef] [PubMed]
- Shen, Y.-C.; Lin, Y.-C.; Ko, C.-L.; Wang, L.-T. New briaranes from the Taiwanese gorgonian Junceella juncea. J. Nat. Prod. 2003, 66, 302–305. [Google Scholar] [CrossRef] [PubMed]
- Tanaka, C.; Yamamoto, Y.; Otsuka, M.; Tanaka, J.; Ichiba, T.; Marriott, G.; Rachmat, R.; Higa, T. Briarane diterpenes from two species of octocorals, Ellisella sp. and Pteroeides sp. J. Nat. Prod. 2004, 67, 1368–1373. [Google Scholar] [CrossRef] [PubMed]
- Qi, S.-H.; Zhang, S.; Wen, Y.-M.; Xiao, Z.-H.; Li, Q.-X. New briaranes from the South China Sea gorgonian Junceella fragilis. Helv. Chim. Acta 2005, 88, 2349–2354. [Google Scholar] [CrossRef]
- Sun, J.-F.; Huang, H.; Chai, X.-Y.; Yang, X.-W.; Meng, L.; Huang, C.-G.; Zhou, X.-F.; Yang, B.; Hu, J.; Chen, X.-Q.; et al. Dichotellides A–E, five new iodine-containing briarane type diterpenoids from Dichotella gemmacea. Tetrahedron 2011, 67, 1245–1250. [Google Scholar] [CrossRef]
- Li, C.; La, M.-P.; Sun, P.; Kurtan, T.; Mandi, A.; Tang, H.; Liu, B.-S.; Yi, Y.-H.; Li, L.; Zhang, W. Bioactive (3Z,5E)-11,20-epoxybriara-3,5-dien-7,18-olide diterpenoids from the South China Sea gorgonian Dichotella gemmacea. Mar. Drugs 2011, 9, 1403–1418. [Google Scholar] [CrossRef]
- Li, C.; La, M.-P.; Tang, H.; Pan, W.-H.; Sun, P.; Krohn, K.; Yi, Y.-H.; Li, L.; Zhang, W. Bioactive briarane diterpenoids from the South China Sea gorgonian Dichotella gemmacea. Bioorg. Med. Chem. Lett. 2012, 22, 4368–4372. [Google Scholar] [CrossRef]
- Li, C.; Jiang, M.; La, M.-P.; Li, T.-J.; Tang, H.; Sun, P.; Liu, B.-S.; Yi, Y.-H.; Liu, Z.; Zhang, W. Chemistry and tumor cell growth inhibitory activity of 11,20-epoxy-3Z,5(6)E-diene briaranes from the South China Sea gorgonian Dichotella gemmacea. Mar. Drugs 2013, 11, 1565–1582. [Google Scholar] [CrossRef]
- La, M.-P.; Li, J.; Li, C.; Tang, H.; Liu, B.-S.; Sun, P.; Zhuang, C.-L.; Li, T.-J.; Zhang, W. Briarane diterpenoids from the gorgonian Dichotella gemmacea. Mar. Drugs 2014, 12, 6178–6189. [Google Scholar] [CrossRef] [PubMed]
- Li, C.; La, M.-P.; Tang, H.; Sun, P.; Liu, B.-S.; Zhuang, C.-L.; Yi, Y.-H.; Zhang, W. Chemistry and bioactivity of briaranes from the South China Sea gorgonian Dichotella gemmacea. Mar. Drugs 2016, 14, 201. [Google Scholar] [CrossRef] [PubMed]
- Cheng, W.; Ji, M.; Li, X.; Ren, J.; Yin, F.; van Ofwegen, L.; Yu, S.; Chen, X.; Lin, W. Fragilolides A–Q, norditerpenoid and briarane diterpenoids from the gorgonian coral Junceella fragilis. Tetrahedron 2017, 73, 2518–2528. [Google Scholar] [CrossRef]
- Qi, S.-H.; Zhang, S.; Qian, P.-Y.; Xiao, Z.-H.; Li, M.-Y. Ten new antifouling briarane diterpenoids from the South China Sea gorgonian Junceella juncea. Tetrahedron 2006, 62, 9123–9130. [Google Scholar] [CrossRef]
- Qi, S.H.; Zhang, S.; Qian, P.Y.; Xu, H.H. Antifeedant and antifouling briaranes from the South China Sea gorgonian Junceella juncea. Chem. Nat. Compd. 2009, 45, 49–54. [Google Scholar] [CrossRef]
- Sun, J.-F.; Han, Z.; Zhou, X.-F.; Yang, B.; Lin, X.; Liu, J.; Peng, Y.; Yang, X.-W.; Liu, Y. Antifouling briarane type diterpenoids from South China Sea gorgonians Dichotella gemmacea. Tetrahedron 2013, 69, 871–880. [Google Scholar] [CrossRef]
- Zhang, M.-Q.; Zhao, J.; Liu, H.-Y.; Cao, F.; Wang, C.-Y. Briarane diterpenoids from gorgonian Dichotella gemmacea collected from the South China Sea. Chem. Nat. Compd. 2016, 52, 945–947. [Google Scholar] [CrossRef]
- Li, C.; La, M.-P.; Li, L.; Li, X.-B.; Tang, H.; Liu, B.-S.; Krohn, K.; Sun, P.; Yi, Y.-H.; Zhang, W. Bioactive 11,20-epoxy-3,5(16)-diene briarane diterpenoids from the South China Sea gorgonian Dichotella gemmacea. J. Nat. Prod. 2011, 74, 1658–1662. [Google Scholar] [CrossRef]
- Murthy, Y.L.N.; Mallika, D.; Rajack, A.; Reddy, G.D. A new antifungal briarane diterpenoid from the gorgonian Junceella juncea Pallas. Bioorg. Med. Chem. Lett. 2011, 21, 7522–7525. [Google Scholar] [CrossRef]
- Kapustina, I.I.; Kalinovskii, A.I.; Dmitrenok, P.S.; Kuz´mich, A.S.; Nedashkovskaya, O.I.; Grebnev, B.B. Diterpenoids and other metabolites from the Vietnamese gorgonians Lophogorgia sp. and Junceella sp. Chem. Nat. Compd. 2014, 50, 1140–1142. [Google Scholar] [CrossRef]
- Sheldrick, G.M. SHELXT-Integrated space-group and crystal-structure determination. Acta Crystallogr. 2015, A71, 3–8. [Google Scholar] [CrossRef] [PubMed]
- Sheldrick, G.M. Crystal structure refinement with SHELXL. Acta Crystallogr. 2015, C71, 3–8. [Google Scholar]
- Flack, H.D. On enantiomorph-polarity estimation. Acta Crystallogr. 1983, A39, 876–881. [Google Scholar] [CrossRef]
- Flack, H.D.; Bernardinelli, G. Absolute structure and absolute configuration. Acta Crystallogr. 1999, A55, 908–915. [Google Scholar] [CrossRef] [PubMed]
- CCDC homepage. Available online: http://www.ccdc.cam.ac.uk/conts/retrieving.html.
- Chen, C.-H.; Chen, N.-F.; Feng, C.-W.; Cheng, S.-Y.; Hung, H.-C.; Tsui, K.-H.; Hsu, C.-H.; Sung, P.-J.; Chen, W.-F.; Wen, Z.-H. A coral-derived compound improves functional recovery after spinal cord injury through its antiapoptotic and anti-inflammatory effects. Mar. Drugs 2016, 14, 160. [Google Scholar] [CrossRef]


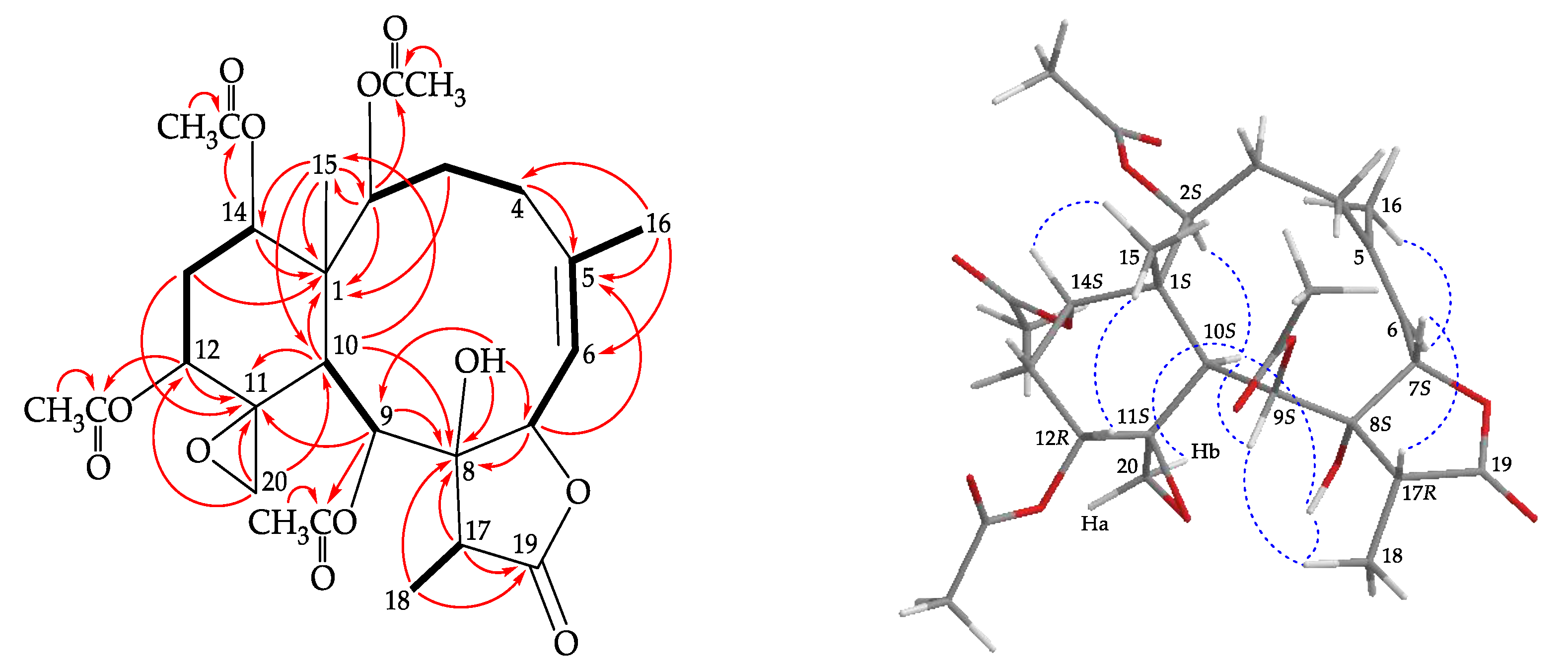
) correlations, selective HMBC correlations (
), and selective protons with key NOESY (
) correlations of 1.
) correlations, selective HMBC correlations (
), and selective protons with key NOESY (
) correlations of 1.
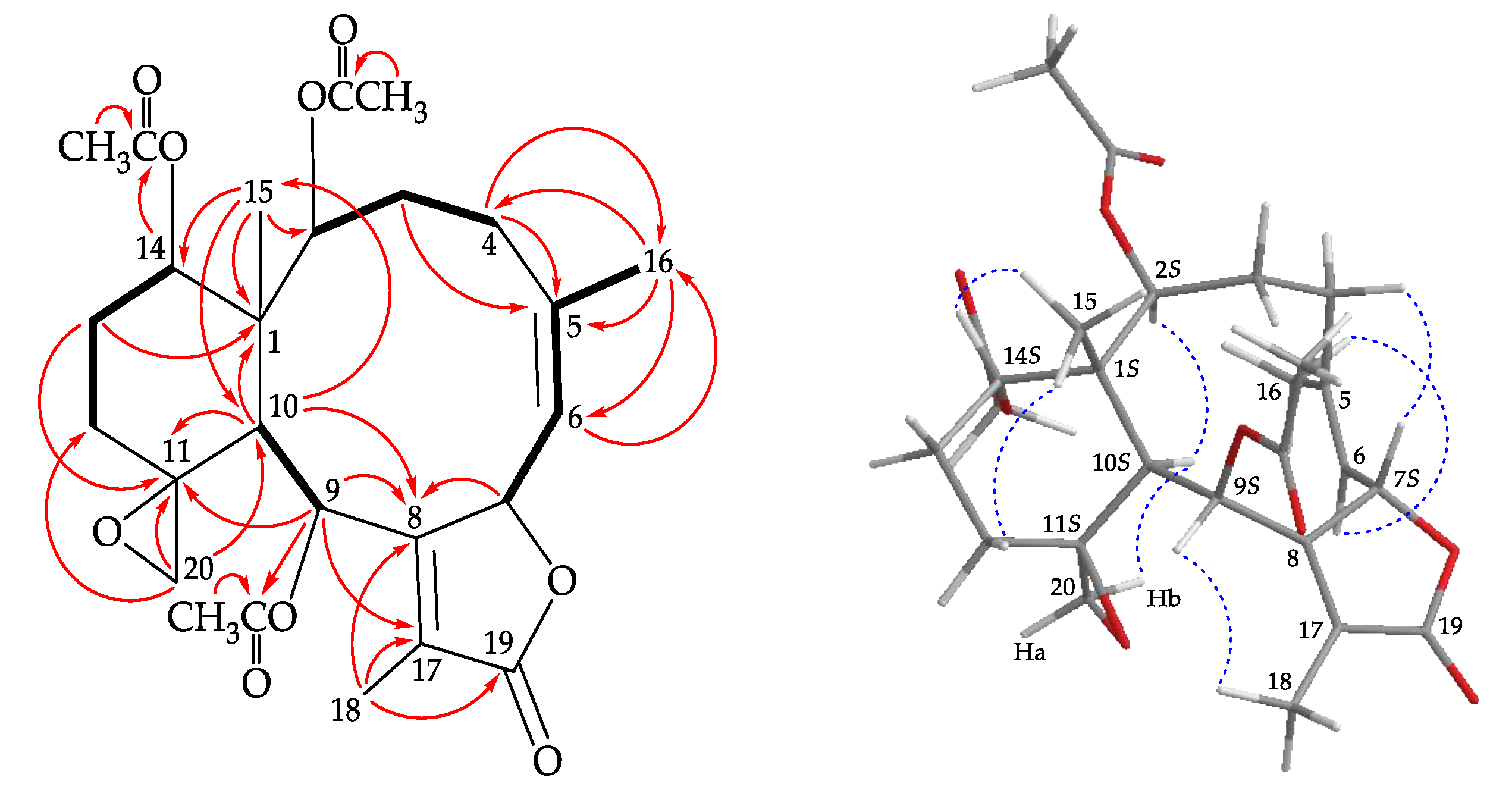
) correlations, selective HMBC correlations (
), and selective protons with key NOESY (
) correlations of 2.
) correlations, selective HMBC correlations (
), and selective protons with key NOESY (
) correlations of 2.

| Juncenolide K a | 1 | |||
|---|---|---|---|---|
| Position | δH (J in Hz) b | δC, c type | δH (J in Hz) d | δC, e type |
| 1 | 46.0, C | 46.0, C | ||
| 2 | 4.74 br s | 74.1, CH | 4.72 br s | 74.1, CH |
| 3 | 2.53–2.59 m; 1.74–1.80 m | 31.3, CH2 | 2.56 m; 1.74 m | 31.3, CH2 |
| 4 | 2.60–2.66 m; 2.20–2.26 m | 29.1, CH2 | 2.60 m; 2.22 m | 29.1, CH2 |
| 5 | 143.0, C | 143.0, C | ||
| 6 | 5.01 d (8.5) | 124.7, CH | 4.99 d (8.4) | 124.8, CH |
| 7 | 5.51 d (8.5) | 77.2, CH | 5.50 d (8.4) | 77.1, CH |
| 8 | 155.8, C | 155.8, C | ||
| 9 | 6.54 d (7.0) | 66.5, CH | 6.52 d (7.2) | 66.6, CH |
| 10 | 2.63–2.68 m | 40.5, CH | 2.64 br d (7.2) | 40.5, CH |
| 11 | 59.7, C | 59.7, C | ||
| 12 | 2.30–2.36 m; 1.10–1.16 m | 22.9, CH2 | 2.31 m; 1.12 m | 22.9, CH2 |
| 13 | 2.11–2.17 m; 1.80–1.86 m | 23.8, CH2 | 2.10 m; 1.82 m | 23.8, CH2 |
| 14 | 4.80 d (3.5) | 73.9, CH | 4.79 d (3.6) | 73.9, CH |
| 15 | 1.16 s | 15.8, CH3 | 1.15 s | 15.9, CH3 |
| 16 | 2.01 s | 27.0, CH3 | 1.99 s | 27.0, CH3 |
| 17 | 127.5, C | 127.4, C | ||
| 18 | 2.01 s | 9.3, CH3 | 1.99 s | 9.3, CH3 |
| 19 | 173.6, C | 173.6, C | ||
| 20a/b | 2.60–2.66 m; 2.46–2.52 m | 58.2, CH2 | 2.62 br s; 2.48 br s | 58.2, CH2 |
| OAc-2 | 170.7, C | 170.7, C | ||
| 2.01 s | 21.0, CH3 | 2.00 s | 21.0, CH3 | |
| OAc-9 | 168.9, C | 168.9, C | ||
| 2.12 s | 21.6, CH3 | 2.11 s | 21.7, CH3 | |
| OAc-14 | 169.8, C | 169.8, C | ||
| 1.96 s | 20.9, CH3 | 1.95 s | 20.9, CH3 | |
| Position | δH a (J in Hz) | δC, b type |
|---|---|---|
| 1 | 46.8, C | |
| 2 | 4.74 d (4.8) | 74.4, CH |
| 3α/β | 1.67 m; 2.43 ddd (16.0, 16.0, 4.4) | 32.1, CH2 |
| 4α/β | 2.52 br d (16.0); 2.07 m | 28.7, CH2 |
| 5 | 143.8, C | |
| 6 | 5.61 br d (10.0) | 120.8, CH |
| 7 | 5.14 dd (10.0, 1.2) | 77.7, CH |
| 8 | 80.2, C | |
| 9 | 5.67 d (5.6) | 67.3, CH |
| 10 | 2.58 d (5.6) | 39.9, CH |
| 11 | 62.3, C | |
| 12 | 5.40 dd (8.4, 8.4) | 62.0, CH |
| 13α/β | 1.58 m; 2.70 m | 32.6, CH2 |
| 14 | 4.85 d (4.4) | 73.6, CH |
| 15 | 1.16 s | 15.3, CH3 |
| 16 | 2.03 d (1.2) | 28.1, CH3 |
| 17 | 2.35 q (7.2) | 42.3, CH |
| 18 | 1.15 d (7.2) | 6.7, CH3 |
| 19 | 176.2, C | |
| 20a/b | 3.20 d (4.4); 2.90 d (4.4) | 53.9, CH2 |
| OH-8 | 4.57 d (1.2) | |
| OAc-2 | 170.6, C | |
| 2.01 s | 21.0, CH3 c | |
| OAc-9 | 169.2, C | |
| 2.22 s | 21.6, CH3 | |
| OAc-12 | 169.4, C | |
| 1.98 s | 20.7, CH3 c | |
| OAc-14 | 169.8, C | |
| 2.02 s | 20.9, CH3 c |
| Compound | iNOS | COX-2 | β-Actin | ||
|---|---|---|---|---|---|
| Expression (% of LPS) | |||||
| Control | 2.59 ± 0.65 | 1.14 ± 0.34 | 100.15 ± 7.70 | ||
| LPS | 100.00 ± 0.00 | 100.00 ± 0.00 | 100.00 ± 0.00 | ||
| 1 | 94.81 ± 7.11 | 89.59 ± 5.45 | 101.09 ± 1.91 | ||
| 2 | 122.87 ± 10.53 | 113.65 ± 6.00 | 99.50 ± 1.64 | ||
| Dexamethasone | 26.99 ± 2.66 | 10.52 ± 5.23 | 99.02 ± 1.53 | ||
© 2020 by the authors. Licensee MDPI, Basel, Switzerland. This article is an open access article distributed under the terms and conditions of the Creative Commons Attribution (CC BY) license (http://creativecommons.org/licenses/by/4.0/).
Share and Cite
Su, T.-P.; Kuo, T.-J.; Yang, S.-N.; Lee, G.-H.; Lee, Y.-T.; Wang, Y.-C.; Chen, J.-J.; Wen, Z.-H.; Hwang, T.-L.; Sung, P.-J. 11β,20β-Epoxybriaranes from the Gorgonian Coral Junceella fragilis (Ellisellidae). Mar. Drugs 2020, 18, 183. https://doi.org/10.3390/md18040183
Su T-P, Kuo T-J, Yang S-N, Lee G-H, Lee Y-T, Wang Y-C, Chen J-J, Wen Z-H, Hwang T-L, Sung P-J. 11β,20β-Epoxybriaranes from the Gorgonian Coral Junceella fragilis (Ellisellidae). Marine Drugs. 2020; 18(4):183. https://doi.org/10.3390/md18040183
Chicago/Turabian StyleSu, Tung-Pin, Tsu-Jen Kuo, San-Nan Yang, Gene-Hsiang Lee, Yen-Tung Lee, Yi-Chen Wang, Jih-Jung Chen, Zhi-Hong Wen, Tsong-Long Hwang, and Ping-Jyun Sung. 2020. "11β,20β-Epoxybriaranes from the Gorgonian Coral Junceella fragilis (Ellisellidae)" Marine Drugs 18, no. 4: 183. https://doi.org/10.3390/md18040183
APA StyleSu, T.-P., Kuo, T.-J., Yang, S.-N., Lee, G.-H., Lee, Y.-T., Wang, Y.-C., Chen, J.-J., Wen, Z.-H., Hwang, T.-L., & Sung, P.-J. (2020). 11β,20β-Epoxybriaranes from the Gorgonian Coral Junceella fragilis (Ellisellidae). Marine Drugs, 18(4), 183. https://doi.org/10.3390/md18040183

