Abstract
In the current study, an NMR spectroscopic pattern-based procedure for probing scalarane derivatives was performed and four new 24-homoscalaranes, lendenfeldaranes A–D (1– 4), along with three known compounds, 12α-acetoxy-22-hydroxy-24-methyl-24-oxoscalar-16-en- 25-al (5), felixin F (6), and 24-methyl-12,24,25-trioxoscalar-16-en-22-oic acid (7) were isolated from the sponge Lendenfeldia sp. The structures of scalaranes 1–7 were elucidated on the basis of spectroscopic analysis. Scalaranes 1–7 were further evaluated for their cytotoxicity toward a series of human cancer cell lines and the results suggested that 5 and 7 dominated in the anti- proliferative activity of the extract. The 18-aldehyde functionality was found to play a key role in their activity.
1. Introduction
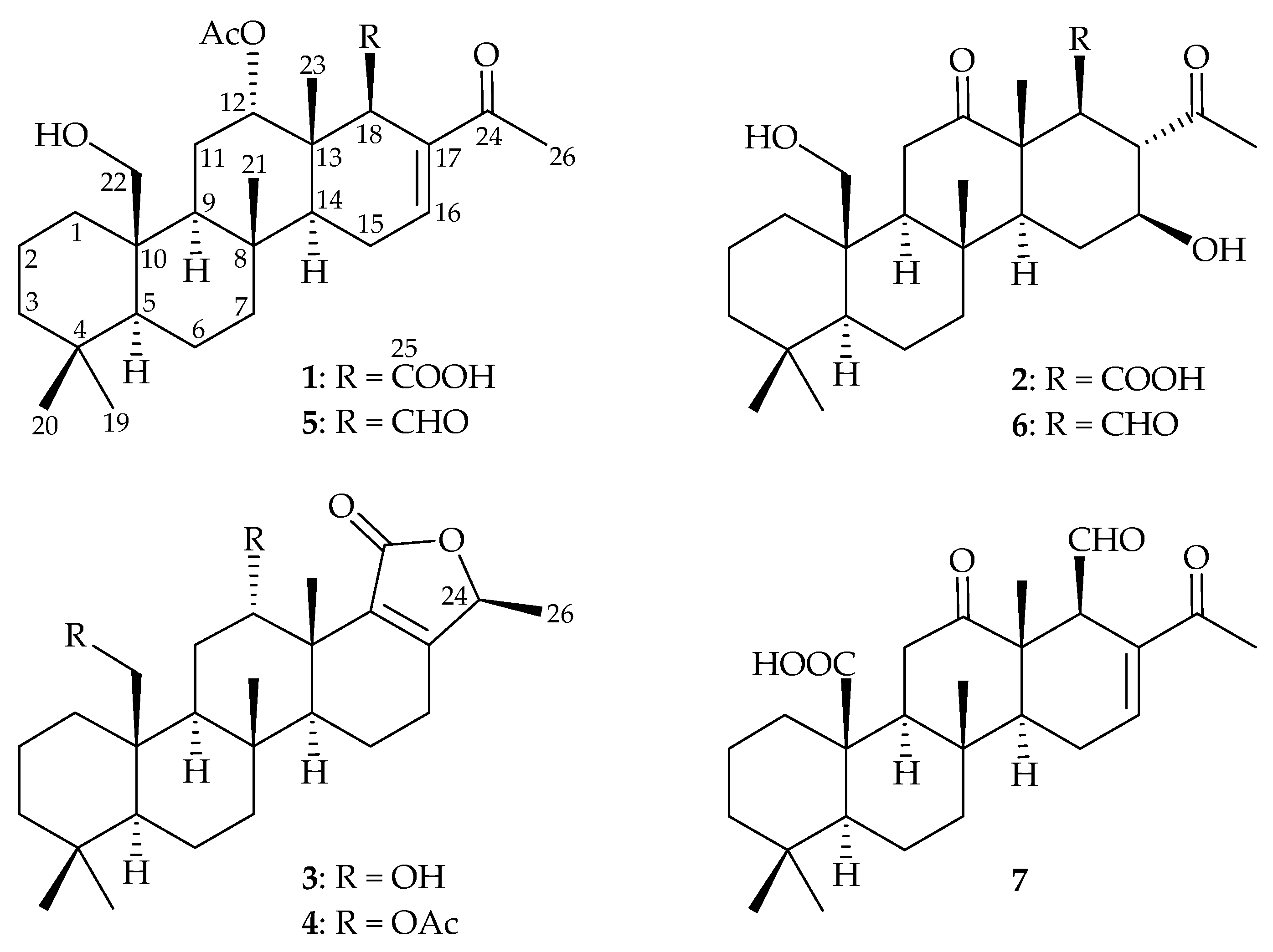
Since the first scalarane-type derivative, scalarin, was originally isolated from Cocaspongia scalaris [1], more than three hundred scalarane sesterterpenoids have been obtained from cyanobacteria and marine organisms [2,3]. Compounds of this type demonstrate a wide spectrum of interesting biological properties, such as anti-inflammation [4], cytotoxicity [5,6,7], anti-feedant [8,9,10], anti-microbial activity [11,12], ichthyotoxicity [13], anti-tubercular activity [14], anti-HIV [15], and inhibition of the nuclear hormone receptor [16]. In order to seek novel anti-proliferative substances from marine organisms, a chemical and bioactive investigation was carried out on the organic extracts of a marine sponge identified as Lendenfeldia sp. (family—Thorectidae). The ethyl acetate (EtOAc) extract of Lendenfeldia sp. was found to exhibit anti-proliferative activity against human cancer cell lines, including human acute lymphoblastic leukemia (MOLT-4), human chronic myelogenous leukemia (K-562), human histiocytic lymphoma (U-937), and human T-cell lymphoblastic lymphoma (SUP-T1) with IC50 values < 0.625 μg/mL. The bioassay-guided isolation, combined with an NMR spectroscopic pattern-based procedure, was used to explore the anti- proliferative scalarane substances, and led to the isolation four new 24-homoscalaranes, lendenfeldaranes A–D (1–4), along with three known metabolites, 12α-acetoxy-22-hydroxy-24- methyl-24-oxoscalar-16-en-25-al (5) [17], felixin F (6) [18], and 24-methyl-12,24,25-trioxoscalar-16- en-22-oic acid (7) [17]. In the current study, the comprehensive workflow of isolation, structure elucidation and an anti-proliferative evaluation were implemented on scalaranes 1–7 (Figure 1).
Figure 1.
The structures of lendenfeldaranes A–D (1–4), 12α-acetoxy-22-hydroxy-24-methyl-24-oxo- scalar-16-en-25-al (5), felixin F (6), and 24-methyl-12,24,25-trioxoscalar-16-en-22-oic acid (7).
2. Results and Discussion
Lendenfeldarane A (1) was obtained as an amorphous powder and assigned the molecular formula C28H42O6 (eight degrees of unsaturation) from its (+)-HRESIMS at m/z 497.28736 [M + Na]+ (calcd. for C28H42O6 + Na, 497.28712). The 1H NMR data of 1 (Table 1), showed six singlet methyls at δH 0.75, 0.86, 0.96, 1.16, 2.14, and 2.29, one olefinic proton at δH 6.90 (1H, br s), and one oxymethine proton at δH 4.77 (1H, br s). The diastereotopic geminal protons at δH 3.85 (1H, d, J = 11.6 Hz) and 4.02 (1H, d, J = 11.6 Hz) were assumed to be an oxymethylene group. Analyses of the 13C and distortionless enhancement by polarization transfer (DEPT) spectra of 1 (Table 1) revealed the existence of 28 carbon resonances, including six methyls, eight sp3 methylenes (including one oxymethylene), five sp3 methines (including one oxymethine), four sp3 quaternary carbons, one sp2 methine, and four sp2 quaternary carbons (including three carbonyls). Based on the 1H and 13C NMR spectra, 1 was found to possess an acetoxy group (δH 2.14, 3H, s; δC 170.4, C; 21.5, CH3). An additional unsaturated functionality was indicated by 13C resonances at δC 139.7 (CH-16) and 137.9 (C-17), suggesting the presence of a trisubstituted olefin. Thus, four degrees of unsaturation were accounted for, and the above NMR data—as well as the unassigned degrees of unsaturation of 1—implied a tetracyclic analogue.
Table 1.
The 1H and 13C NMR data for 24-homoscalaranes 1 and 2 (CDCl3).
The gross structure of 1 was further established from its 2D NMR spectra. From the coupling information in the COSY spectrum of 1 (Figure 2), it was possible to establish four partial structure units between H2-1/H2-2/H2-3, H-5/H2-6/H2-7, H-9/H2-11/H-12, and H-14/H2-15/H2-16. The heteronuclear multiple bond correlation (HMBC) spectrum connected these substructures by the connectivity between H-5/C-10; H-16/C-17; H3-20/C-3, C-4, C-5, C-19; H3-21/C-7, C-8, C-9, C-14; H2-22/C-1, C-9, C-10; H3-23/C-12, C-13, C-14, C-18; and H3-26/C-17, C-24, indicating a scalarane-type sesterterpenoid structure (Figure 2). Furthermore, the acetoxy and carboxylic acid groups positioned at C-12 and C-18 were determined by the HMBC, from H-12 to the acetate carbonyl at δC 170.4 and from H-18 to C-25 (δC 175.1), respectively.
Figure 2.
The key COSY correlations (
) and heteronuclear multiple bond correlation (HMBC) (
) of 1–4.
) and heteronuclear multiple bond correlation (HMBC) (
) of 1–4.
The relative stereochemistry of 1 was elucidated by correlations in the NOESY experiment. Using the conventional method for analyzing the stereochemistry, the α- and β-configurations were assigned at H-5 and C-10-hydroxymethyl, respectively, to anchor the stereochemical analysis. In the NOESY spectrum of 1 (Figure 3), H-9 correlated with H-5, but not with H3-21 and H2-22, suggesting that these two protons (H-5 and H-9) were situated on the same face and were α-oriented, and that the Me-21 and C-10-hydroxymethyl groups were β-oriented at C-8 and C-10, respectively. H-14 exhibited correlations with H-9 and H-18, but not with H3-21 and H3-23, demonstrating that H-14 and H-18 were α-oriented. Additionally, the proton signal of a methyl group at δH 0.96 (H3-23) displayed a correlation with H-12 (δH 4.77), which indicated the β-orientations of Me-23 and H-12. The NOESY spectrum showed a correlation between H3-26 and H-16, revealing the E geometry of the C-16/17 carbon–carbon double bond. It was found that the NMR data of 1 were similar to those of a known scalarane analogue, 12α-acetoxy-22-hydroxy-24-methyl-24-oxoscalar-16-en-25-al (5), from an Australian sponge, Lendenfeldia sp. [17], except that the aldehyde group in 5 was replaced by a carboxylic acid group in 1. Based on the above findings, the structure of 1 was accordingly assigned, as shown in Figure 1, and named lendenfeldarane A (Supplementary Materials, Figures S1–S8).
Figure 3.
The selected NOESY correlations (
) of 1–4.
) of 1–4.
Compound 2 (lendenfeldarane B) was obtained as an amorphous powder and its molecular formula was determined as C26H40O6, based on a sodiated adduct ion peak [M + Na]+ at m/z 471.27171 in (+)-HRESIMS (calcd. for C26H40O6 + Na, 471.27142). The 1H NMR data of 2 (Table 1) showed five singlet methyls at δH 0.76, 0.87, 1.30, 1.34, and 2.40 and one oxymethine proton at δH 3.53 (1H, ddd, J = 10.8, 10.8, 4.8 Hz). The diastereotopic geminal protons at δH 3.93 (1H, dd, J = 11.4, 1.2 Hz) and 4.08 (1H, d, J = 11.4 Hz) were assumed to be an oxygenated methylene group. The 13C and DEPT data of 2 suggested the presence of 26 carbons that were similar to those of a known scalarane, felixin F (6) [18], including a carboxylic carbon at δC 172.4, two ketone carbons at δC 212.6 and 221.9, an oxymethine carbon at δC 72.7, and an oxymethylene carbon at δC 62.7. Analysis of these NMR data suggested that compounds 2 and 6 are closely related, with the only difference being that the β- aldehyde group at C-18 in 6 was replaced by a β-carboxylic acid group in 2. Based on the analyses of the COSY, HMBC, and NOESY spectra, as well as the specific rotation data (2: [α] +49 (c 0.99, CHCl3), 6: [α] +55 (c 0.04, CHCl3); ref [18] 6: [α] +54 (c 0.4, CHCl3)), Compound 2 was finally assigned, as shown in Figure 1, and named as lendenfeldarane B (Supplementary Materials, Figures S9–S16).
The molecular formula of lendenfeldarane C (3) was determined as C26H40O4 from an [M + Na]+ ion at m/z 439.28188 (calcd. for C26H40O4 + Na, 439.28174) and NMR data (Table 2), indicating seven degrees of unsaturation. The 1H NMR data of 3 showed four singlet methyls at δH 0.78, 0.86, 1.08, 1.13, one doublet methyl at δH 1.37 (J = 6.5 Hz), and two oxymethine protons at δH 4.60 (1H, br s) and 4.79 (1H, q, J = 6.5 Hz). The diastereotopic geminal protons at δH 3.92 (1H, d, J = 11.5 Hz) and 4.05 (1H, d, J = 11.5 Hz) were assumed to be an oxymethylene group. Analyses of the 13C NMR and DEPT spectrum of 3 revealed the existence of 26 carbon resonances, including five methyls, nine sp3 methylenes (including one oxymethylene), five sp3 methines (including two oxymethines), four sp3 quaternary carbons, and three sp2 quaternary carbons (including one ester carbonyl). Based on the 13C spectrum, 3 was found to possess an ester carbonyl (δC 172.6) and an unsaturated degree was indicated by the 13C chemical shifts at δC 133.5 (C-18) and 165.2 (C-17), suggesting the presence of a tetrasubstituted olefin. Thus, the above NMR data and the remaining five unsaturated degrees of 3 required a pentacyclic analogue.
Table 2.
The 1H and 13C NMR data for 24-homoscalaranes 3 and 4 (CDCl3).
The gross structure of 3 was constructed from its 2D NMR spectra. From the COSY spectrum (Figure 2), five partial structure units between H2-1/H2-2/H2-3, H-5/H2-6/H2-7, H-9/H2-11/H-12, H-14/ H2-15/H2-16, and H-24/H3-26 were established. The HMBC spectrum connected these fractional structures by the key correlations between H-5/C-10; H2-15/C-17; H3-20/C-3, C-4, C-5, C-19; H3-21/ C-7, C-8, C-9, C-14; H2-22/C-1, C-9, C-10; and H3-23/C-12, C-13, C-14, C-18, indicating a scalarane skeleton. The COSY correlation between H3-26/H-24 and the HMBC from H-24 to C-17, C-18, and C-25 allowed the establishment of a 5-methyl-2(5H)-furanone. In the NOESY experiement of 3 (Figure 3), H3-23 correlated with H3-21 and H-12, indicating the β-orientation of Me-23 and H-12, respectively. The orientation of Me-26 was determined to be β-oriented, based on the comparison of the NMR chemical shifts of Me-26 (δH 1.37, 3H, d, J = 6.5 Hz; δC 18.5) in 3 with those of previous reported scalarane analogues, phyllactones A (δH 1.51, 3H, d, J = 6.5 Hz; δC 19.6) and B (δH 1.38, 3H, d, J = 6.5 Hz; δC 18.5) (Figure 4) [5]. Hence, the structure of 3 was determined to be a new sesterterpenoid and this metabolite was found to be the 12-epi-compound of a known 24- homoscalarane, 23-hydroxy-20-methylscalarolide [19,20], and should be named lendenfeldarane C (Supplementary Materials, Figures S17–S24).
Figure 4.
The 1H and 13C NMR chemical shifts in the methyl group in the α,β-unsaturated-γ-lactone moiety in phyllactones A and B and lendenfeldaranes C (3) and D (4).
Compound 4 (lendenfeldarane D) has a molecular formula of C30H44O6, as established by (+)- HRESIMS at m/z 523.30301 (calcd. for C30H44O6 + Na, 523.30307). The 1H and 13C NMR data indicated that 4 possessed a structural skeleton similar to that of 3 (Table 2). Comparison of the 1H and 13C NMR spectra of 4 with those of 3 revealed that the C-12 oxymethine resonance at δC 69.9 observed in 3 was moved to δC 73.8 in 4, and the C-22 oxymethene resonance at δC 63.0 observed in 3 was moved to δC 64.7 in 4. Similarly, the 1H NMR spectrum of 4 displayed two additional acetate methyl signals at δH 1.97 and 2.07 (both 3H × s), relative to 3. Therefore, the differences between compounds 3 and 4 are that the hydroxy groups at C-12 and C-22 in 3 were replaced by acetoxy groups in 4. The gross structure of 4 is supported by the HMBC and COSY correlations (Figure 2). The stereochemical configuration was identical to that of other scalarane sesterterpenes based on the NOESY cross- peaks at H-5/H-9, H-9/H-14, H3-20/H-22, H-22/H3-21, H3-21/H3-23, and H3-23/H-12 (Figure 3). Thus, the structure of 4 was determined and named as lendenfeldarane D (Supplementary Materials, Figures S25–S32).
Based on the cytotoxicity that was demonstrated by the EtOAc extract of Lendenfeldia sp., all of the isolates 1–7 were assessed for their cytotoxicity toward the cancer cell lines MOLT-4, K-562, U-937, and SUP-T1 (Table 3). Compound 5 showed the most potent cytotoxicity toward MOLT-4 cells (IC50 = 0.31 μM). Since both compounds 5 and 7 were the major components, it was suggested that the cytotoxicity of the extract from Lendenfeldia sp. was attributed to these two scalaranes and the aldehyde groups in 5 and 7 played a significant role in their cytotoxicity.
Table 3.
The anti-proliferative effects of scalaranes 1–7.
3. Material and Methods
3.1. General Experimental Procedures
The optical rotation values were measured using a Jasco P-1010 digital polarimeter (Jasco, Tokyo, Japan). The IR spectra were obtained with a Thermo Scientific Nicolet iS5 FT-IR spectrophotometer (Thermo Fisher Scientific, Waltham, MA, USA). The NMR spectra were recorded on a 600 or a 400 MHz Jeol ECZ NMR (Jeol, Tokyo, Japan) and a 500 MHz Varian Unity INOVA NMR spectrometer (Varian, Palo Alto, CA, USA), using the residual CHCl3 signals (δH 7.26 ppm) and CDCl3 (δC 77.0 ppm) as the internal standards for 1H and 13C NMR, respectively. The coupling constants (J) are presented in Hz. ESIMS and HRESIMS were recorded using a Bruker 7 Tesla solariX FTMS system (Bruker, Bremen, Germany). The column chromatography was carried out with silica gel (230–400 mesh; Merck, Darmstadt, Germany). The TLC was performed on plates that were precoated with Kieselgel 60 F254 (0.25 mm thick, Merck, Darmstadt, Germany), then sprayed with 10% H2SO4 solution, followed by heating to visualize the spots. The normal-phase HPLC (NP-HPLC) was performed using a system comprising a pump (L-7110; Hitachi, Tokyo, Japan), an injection port (Rheodyne, 7725; Rohnert Park, CA, USA), and a semi-preparative normal-phase column (YMC- Pack SIL, 250 × 20 mm, 5 μm; Sigma-Aldrich, St. Louis, MO, USA). The reverse-phase HPLC (RP- HPLC) was performed using a system comprising a pump (L-2130; Hitachi), a photodiode array detector (L-2455; Hitachi), an injection port (Rheodyne; 7725), and a reverse-phase column (Luna 5 μm, C18(2) 100Å AXIA Packed, 250 × 21.2 mm; Phenomenex, Torrance, CA, USA).
3.2. Animal Material
The specimens of the marine sponge Lendenfeldia sp. were collected by hand, using self-contained underwater breathing apparatus (SCUBA), while diving off the coast of Southern Taiwan on 5 September 2012, and stored in a freezer until extraction. The sponge material was identified by Dr. Yusheng M. Huang, Department of Marine Recreation, National Penghu University of Science and Technology, Taiwan, by comparison—as described in a previous publication [21]. A voucher specimen (NMMBA-TWSP-12006) was deposited in the National Museum of Marine Biology and Aquarium, Pingtung, Taiwan.
3.3. Extraction and Isolation
The sliced bodies of Lendenfeldia sp. (wet weight 1.21 kg) were extracted with EtOAc. The EtOAc layer (5.09 g) was separated on silica gel and eluted using a mixture of n-hexane and EtOAc (stepwise, 100:1–pure EtOAc) to yield 11 fractions A–K. Fraction F was separated by NP-HPLC, using a mixture of n-hexane and EtOAc (3:1, flow rate: 3.0 mL/min) to afford seven fractions F1–F7. Fraction F3 was separated by RP-HPLC using a mixture of MeOH and H2O (7:3, flow rate: 5 mL/min) to afford 4 (1.2 mg). Fraction G was chromatographed on silica gel and eluted using n-hexane/ acetone (8:1—pure acetone) to afford eight fractions G1–G8. Fraction G3 was separated by NP-HPLC using a mixture of n-hexane and acetone (2.5:1, flow rate: 3.0 mL/min) to afford 10 fractions G3A– G3J, including Compound 7 (fraction G3C, 57.5 mg). Fraction G3D was separated by RP-HPLC using a mixture of MeOH and H2O (8:2, flow rate: 5 mL/min) to afford 3 (0.8 mg). Fraction H was separated on silica gel and eluted using a mixture of n-hexane and acetone (6:1–2:1) to obtain 14 fractions H1–H14. Fraction H5 was re-purified by NP-HPLC, using a mixture of n-hexane and acetone (5:1, flow rate: 3.0 mL/min) to afford 5 (49.2 mg) and 6 (2.0 mg), respectively. Fraction K was separated by NP-HPLC using a mixture of n-hexane and acetone (2:1, flow rate: 3.0 mL/min) to afford 1 (11.4 mg) and 2 (7.6 mg).
Lendenfeldarane A (1): amorphous powder; [α] +17 (c 0.99, CHCl3); IR (ATR) νmax 3552–2420 (broad), 3467, 1716, 1667 cm−1; 1H (CDCl3, 400 MHz) and 13C (CDCl3, 100 MHz) NMR data, see Table 1; ESIMS: m/z 497 [M + Na]+; HRESIMS: m/z 497.28736 (calcd. for C28H42O6 + Na, 497.28712).
Lendenfeldarane B (2): amorphous powder; [α] +49 (c 0.99, CHCl3); IR (ATR) νmax 3444–2309 (broad), 3399, 1740, 1730 cm−1; 1H (CDCl3, 600 MHz) and 13C (CDCl3, 150 MHz) NMR data, see Table 1; ESIMS: m/z 471 [M + Na]+; HRESIMS: m/z 471.27171 (calcd. for C26H40O6 + Na, 471.27142).
Lendenfeldarane C (3): amorphous powder; [α] +56 (c 0.04, CHCl3); IR (ATR) νmax 3436, 1731 cm−1; 1H (CDCl3, 500 MHz) and 13C (CDCl3, 125 MHz) NMR data, see Table 2; ESIMS: m/z 439 [M + Na]+; HRESIMS: m/z 439.28188 (calcd. for C26H40O4 + Na, 439.28174).
Lendenfeldarane D (4): amorphous powder; [α] +38 (c 0.05, CHCl3); IR (ATR) νmax 1738, 1672 cm−1; 1H (CDCl3, 600 MHz) and 13C (CDCl3, 150 MHz) NMR data, see Table 2; ESIMS: m/z 523 [M + Na]+; HRESIMS: m/z 523.30301 (calcd. for C30H44O6 + Na, 523.30307).
12α-Acetoxy-22-hydroxy-24-methyl-24-oxoscalar-16-en-25-al (5): amorphous powder; [α] +24 (c 2.46, CHCl3); IR (ATR) νmax 1732, 1702, 1662 cm−1; 1H (CDCl3, 400 MHz) and 13C (CDCl3, 100 MHz) NMR data were found to be in complete agreement with previous report [17]; ESIMS: m/z 481 [M + Na]+.
Felixin F (6): amorphous powder; [α] +55 (c 0.04, CHCl3) (ref. [18] [α] +54 (c 0.4, CHCl3)); IR (ATR) νmax 3430, 1701 cm−1; 1H (CDCl3, 400 MHz) and 13C (CDCl3, 100 MHz) NMR data were found to be in complete agreement with previous report [18]; ESIMS: m/z 455 [M + Na]+.
24-Methyl-12,24,25-trioxoscalar-16-en-22-oic acid (7): amorphous powder; [α] +68 (c 0.04, CHCl3) (ref. [17] [α] +33.5 (c 1, CHCl3)); IR (ATR) νmax 3468–2388 (broad), 1732, 1702, 1662 cm–1; 1H (CDCl3, 400 MHz) and 13C (CDCl3, 100 MHz) NMR data were found to be in complete agreement with previous report [17]; ESIMS: m/z 451 [M + Na]+.
3.4. MTT Cell Proliferative Assay
The anti-proliferative properties of the metabolites against a limited panel of human tumor cell lines, including MOLT-4, K-562, U-937, and SUP-T1, were assayed. The cell lines were purchased from the American Type Culture Collection (ATCC). The cells were seeding at 2 × 104 and were cultured in 96-well plates. The cytotoxic effect of the tested compounds was determined by the (3- (4,5-dimethylthiazol-2-yl)-2,5-diphenyltetrazolium bromide (MTT)-cell proliferation assay (Sigma- M2128; Sigma-Aldrich, St. Louis, MO, USA) after 72 h. A total of 50 μL of MTT solution was added to each well for 1 h and an ELISA reader (Anthoslabtec Instrument, Salzburg, Austria) was used (OD = OD570 − OD620) for the IC50 value, calculated with CalcuSyn software.
4. Conclusions
The marine sponge belonging to the genus Lendenfeldia has proven to be a prolific producer of bioactive metabolites, especially sesterterpenoids with a scalarane skeleton. In the present study, seven 24-homoscalaranes were obtained from the Lendenfeldia sp. that was collected from the waters of Southern Taiwan, including four new 24-homoscalaranes, lendenfeldaranes A–D (1–4), along with three known analogues, 12α-acetoxy-22-hydroxy-24-methyl-24-oxo-scalar-16-en-25-al (5), felixin F (6), and 24-methyl-12,24,25-trioxoscalar-16-en-22-oic acid (7). The anti-cancer assessments indicated that 5–7 showed the most promising anti-proliferative activities against tumor cells. The structure-activity relationship (SAR) discussions also suggested the pivotal role of 18-aldehyde functionality in the activity against leukemia and lymphoma. Overall, these results can support the potential use of the marine sponge, genus Lendenfeldia, as a therapeutic agent in the treatment of cancer. We have therefore begun to culture this potentially useful sponge in tanks, using our highly developed aquaculture technology, for the extraction of natural products in order to establish a stable supply of bioactive materials, which will also protect the natural population and habitats from over-exploitation.
Supplementary Materials
The following are available online at https://www.mdpi.com/1660-3397/18/2/76/s1. HRESIMS, 1D, and 2D NMR spectra of compounds 1–4.
Author Contributions
B.-R.P., S.S.-F.Y., C.-Y.D., and P.-J.S. conceived and designed the experiments; B.-R.P., Y.-Y.C., J.-H.S., Y.M.H., and Y.-H.C. performed the sample collections, species identification, extraction, isolation, and structures determination; the pharmacological experiments were carried out by Y.-Y.C. and M.-C.L.; J.-H.S. and P.-J.S. contributed reagents and analysis tools; B.-R.P., K.-H.L. and P.-J.S. participated in data interpretation, wrote the manuscript and revised the paper. All authors have read and agreed to the published version of the manuscript
Acknowledgments
This research was supported by grants from the National Museum of Marine Biology and Aquarium; the National Dong Hwa University; and the Ministry of Science and Technology (Grant Nos: MOST 106-2320-B-291-001-MY3 and 107-2320-B-291-001-MY3), Taiwan, awarded to P.-J.S.
Conflicts of Interest
The authors declare no conflict of interest.
References
- Fattorusso, E.; Magno, S.; Santacroce, C.; Sica, D. Scalarin, a new pentacyclic C-25 terpenoid from the sponge Cacospongia scalaris. Tetrahedron 1972, 28, 5993–5997. [Google Scholar] [CrossRef]
- Mo, S.; Krunic, A.; Pegan, S.D.; Franzblau, S.G.; Orjala, J. An antimicrobial guanidine-bearing sesterterpene from the cultured cyanobacterium Scytonema sp. J. Nat. Prod. 2009, 72, 2043–2045. [Google Scholar] [CrossRef] [PubMed]
- González, M.A. Scalarane sesterterpenoids. Curr. Bioact. Compd. 2010, 6, 178–206. [Google Scholar] [CrossRef]
- Marshall, L.A.; Winkler, J.D.; Griswold, D.E.; Bolognese, B.; Roshak, A.; Sung, C.-M.; Webb, E.F.; Jacobs, R. Effects of scalaradial, a type II phospholipase A2 inhibitor, on human neutrophil arachidonic acid mobilization and lipid mediator formation. J. Pharmacol. Exp. Ther. 1994, 268, 709–717. [Google Scholar]
- Fu, X.; Zeng, L.M.; Su, J.Y.; Pais, M.; Potier, P. Scalarane-type bishomosesterterpenes from the sponge Phyllospongia foliascens. J. Nat. Prod. 1992, 55, 1607–1613. [Google Scholar] [CrossRef]
- Jiménez, J.I.; Yoshida, W.Y.; Scheuer, P.J.; Lobkovsky, E.; Clardy, J.; Kelly, M. Honulactones: new bishomoscalarane sesterterpenes from the Indonesian sponge Strepsichordaia aliena. J. Org. Chem. 2000, 65, 6837–6840. [Google Scholar] [CrossRef]
- Chill, L.; Rudi, A.; Aknin, M.; Loya, S.; Hizi, A.; Kashman, Y. New sesterterpenes from Madagascan Lendenfeldia sponges. Tetrahedron 2004, 60, 10619–10626. [Google Scholar] [CrossRef]
- Cimino, G.; De Rosa, S.; De Stefano, S.; Sodano, G. The chemical defense of four Mediterranean nudibranchs. Comp. Biochem. Physiol. 1982, 73, 471–474. [Google Scholar] [CrossRef]
- Rogers, S.D.; Paul, V.J. Chemical defenses of three Glossodoris nudibranchs and their dietary Hyrtios sponges. Mar. Ecol. Prog. Ser. 1991, 77, 221–232. [Google Scholar] [CrossRef]
- Avila, C.; Paul, V.J. Chemical ecology of the nudibranch Glossodoris pallida: Is the location of diet-derived metabolites important for defense? Mar. Ecol. Prog. Ser. 1997, 150, 171–180. [Google Scholar] [CrossRef]
- Kamel, H.N.; Kim, Y.B.; Rimoldi, J.M.; Fronczek, F.R.; Ferreira, D.; Slattery, M. Scalarane sesterterpenoids: Semisynthesis and biological activity. J. Nat. Prod. 2009, 72, 1492–1496. [Google Scholar] [CrossRef]
- Bergquist, P.R.; Cambie, R.C.; Kernan, M.R. Scalarane sesterterpenes from Collospongia auris, a new thorectid sponge. Biochem. Syst. Ecol. 1990, 18, 349–357. [Google Scholar] [CrossRef]
- Gavagnin, M.; Mollo, E.; Docimo, T.; Guo, Y.-W.; Cimino, G. Scalarane metabolites of the nudibranch Glossodoris rufomarginata and its dietary sponge from the South China Sea. J. Nat. Prod. 2004, 67, 2104–2107. [Google Scholar] [CrossRef]
- Youssef, D.T.A.; Shaala, L.A.; Emara, S. Antimycobacterial scalarane-based sesterterpenes from the Red Sea sponge Hyrtios erecta. J. Nat. Prod. 2005, 68, 1782–1784. [Google Scholar] [CrossRef]
- Chang, L.C.; Otero-Quintero, S.; Nicholas, G.M.; Bewley, C.A. Phyllolactones A–E: New bishomoscalarane sesterterpenes from the marine sponge Phyllospongia lamellosa. Tetrahedron 2001, 57, 5731–5738. [Google Scholar] [CrossRef]
- Nam, S.-J.; Ko, H.; Shin, M.; Ham, J.; Chin, J.; Kim, Y.; Kim, H.; Shin, K.; Choi, H.; Kang, H. Farnesoid X- activated receptor antagonists from a marine sponge Spongia sp. Bioorg. Med. Chem. Lett. 2006, 16, 5398–5402. [Google Scholar] [CrossRef]
- Kazlauskas, R.; Murphy, P.T.; Wells, R.J. Five new C26 tetracyclic terpenes from a sponge (Lendenfeldia sp.). Aust. J. Chem. 1982, 35, 51–59. [Google Scholar] [CrossRef]
- Lai, Y.-Y.; Chen, L.-C.; Wu, C.-F.; Lu, M.-C.; Wen, Z.-H.; Wu, T.-Y.; Fang, L.-S.; Wang, L.-H.; Wu, Y.-C.; Sung, P.-J. New cytotoxic 24-homoscalarane sesterterpenoids from the sponge Ircinia felix. Int. J. Mol. Sci. 2015, 16, 21950–21958. [Google Scholar] [CrossRef]
- Hochlowski, J.E.; Faulkner, D.J.; Bass, L.S.; Clardy, J. Metabolites of the dorid nudibranch Chromodoris sedan. J. Org. Chem. 1983, 48, 1738–1740. [Google Scholar] [CrossRef]
- Harinantenaina, L.; Brodie, P.J.; Maharavo, J.; Bakary, G.; TenDyke, K.; Shen, Y.; Kingston, D.G.I. Antiproliferative homoscalarane sesterterpenes from two Madagascan sponges. Bioorg. Med. Chem. 2013, 21, 2912–2917. [Google Scholar] [CrossRef]
- Bergquist, P.R. A revision of the supraspecific classification of the orders Dictyoceratida, Dendroceratida, and Verongida (class Demospongiae). N. Z. J. Zool. 1980, 7, 443–503. [Google Scholar] [CrossRef]
© 2020 by the authors. Licensee MDPI, Basel, Switzerland. This article is an open access article distributed under the terms and conditions of the Creative Commons Attribution (CC BY) license (http://creativecommons.org/licenses/by/4.0/).



