Toward the Identification of Novel Antimicrobial Agents: One-Pot Synthesis of Lipophilic Conjugates of N-Alkyl d- and l-Iminosugars
Abstract
1. Introduction
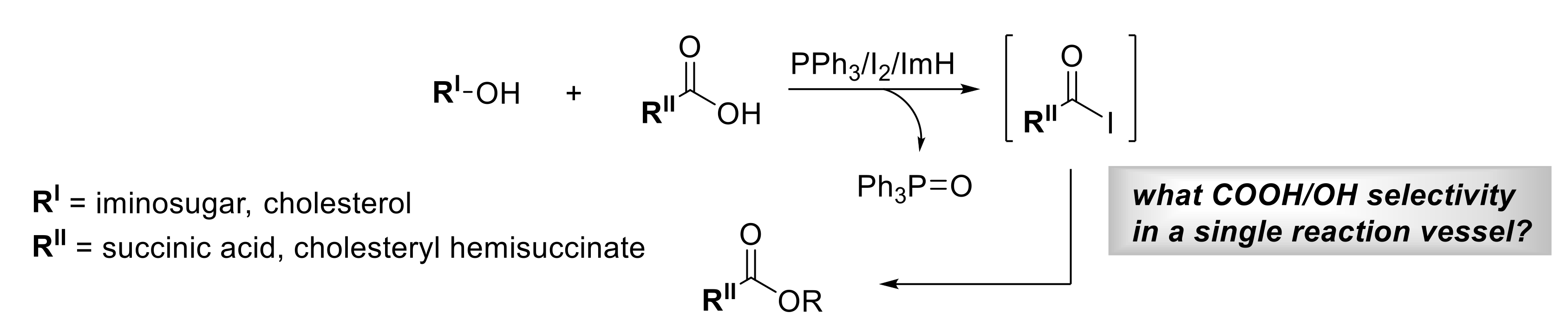
2. Results and Discussion
Chemistry
3. Materials and Methods
3.1. Chemistry
3.1.1. Procedure for the Synthesis of 10–11 through a Stepwise Route
Step 1: preparation of cholesteryl hemisuccinate 13
Step 2: preparation of iminosugar conjugate 10a
3.1.2. General Procedure for the Synthesis of 10a–b and 11a–b through a One-Pot Route
3.2. Evaluation of Antibacterial Activity In Vitro
4. Conclusions
Supplementary Materials
Author Contributions
Funding
Conflicts of Interest
References
- Compain, P.; Martin, O.R. Iminosugars: From Synthesis to Therapeutic Applications; Compain, P., Martin, O.R., Eds.; John Wiley & Sons, Ltd.: Chichester, UK, 2007; ISBN 9780470517437. [Google Scholar]
- D’Alonzo, D.; Guaragna, A.; Palumbo, G. Glycomimetics at the mirror: Medicinal chemistry of L-iminosugars. Curr. Med. Chem. 2009, 16, 473–505. [Google Scholar] [CrossRef] [PubMed]
- Nash, R.J.; Kato, A.; Yu, C.Y.; Fleet, G.W. Iminosugars as therapeutic agents: Recent advances and promising trends. Future Med. Chem. 2011, 3, 1513–1521. [Google Scholar] [CrossRef] [PubMed]
- Chen, X.; Wong, C.-H.; Ma, C. Targeting the bacterial transglycosylase: Antibiotic development from a structural perspective. ACS Infect. Dis. 2019, 5, 1493–1504. [Google Scholar] [CrossRef] [PubMed]
- Hayes, J.M.; Kantsadi, A.L.; Leonidas, D.D. Natural products and their derivatives as inhibitors of glycogen phosphorylase: Potential treatment for type 2 diabetes. Phytochem. Rev. 2014, 13, 471–498. [Google Scholar] [CrossRef]
- Skyler, J.S. Diabetes mellitus: Pathogenesis and treatment strategies. J. Med. Chem. 2004, 47, 4113–4117. [Google Scholar] [CrossRef] [PubMed]
- Platt, F.M.; Jeyakumar, M. Substrate reduction therapy. Acta Paediatr. 2008, 97, 88–93. [Google Scholar] [CrossRef]
- Cox, T.; Lachmann, R.; Hollak, C.; Aerts, J.; van Weely, S.; Hrebícek, M.; Platt, F.; Butters, T.; Dwek, R.; Moyses, C.; et al. Novel oral treatment of Gaucher’s disease with N-butyldeoxynojirimycin (OGT 918) to decrease substrate biosynthesis. Lancet 2000, 355, 1481–1485. [Google Scholar] [CrossRef]
- Coutinho, M.F.; Santos, J.I.; Alves, S. Less is more: Substrate reduction therapy for lysosomal storage disorders. Int. J. Mol. Sci. 2016, 17, 1065. [Google Scholar] [CrossRef]
- Benjamin, E.R.; Della-Valle, M.C.; Wu, X.; Katz, E.; Pruthi, F.; Bond, S.; Bronfin, B.; Williams, H.; Yu, J.; Bichet, D.G.; et al. The validation of pharmacogenetics for the identification of Fabry patients to be treated with migalastat. Genet. Med. 2017, 19, 430–438. [Google Scholar] [CrossRef]
- Markham, A. Migalastat: First global approval. Drugs 2016, 76, 1147–1152. [Google Scholar] [CrossRef]
- Cox, T.M.; Platt, F.M.; Aerts, J.M.F.G. Medicinal use of iminosugars. In Iminosugars; John Wiley & Sons, Ltd: Chichester, UK, 2008; pp. 295–326. ISBN 9780470033913. [Google Scholar]
- Chang, J.; Block, T.M.; Guo, J.-T. Antiviral therapies targeting host ER alpha-glucosidases: Current status and future directions. Antivir. Res. 2013, 99, 251–260. [Google Scholar] [CrossRef] [PubMed]
- Alonzi, D.S.; Scott, K.A.; Dwek, R.A.; Zitzmann, N. Iminosugar antivirals: The therapeutic sweet spot. Biochem. Soc. Trans. 2017, 45, 571–582. [Google Scholar] [CrossRef] [PubMed]
- de Fenza, M.; D’Alonzo, D.; Esposito, A.; Munari, S.; Loberto, N.; Santangelo, A.; Lampronti, I.; Tamanini, A.; Rossi, A.; Ranucci, S.; et al. Exploring the effect of chirality on the therapeutic potential of N-alkyl-deoxyiminosugars: Anti-inflammatory response to Pseudomonas aeruginosa infections for application in CF lung disease. Eur. J. Med. Chem. 2019, 175, 63–71. [Google Scholar] [CrossRef] [PubMed]
- Esposito, A.; D’Alonzo, D.; de Fenza, M.; de Gregorio, E.; Tamanini, A.; Lippi, G.; Dechecchi, M.C.; Guaragna, A. Synthesis and therapeutic applications of iminosugars in cystic fibrosis. Int. J. Mol. Sci. 2020, 21, 3353. [Google Scholar] [CrossRef]
- Greimel, P.; Spreitz, J.; Stutz, A.; Wrodnigg, T. Iminosugars and relatives as antiviral and potential anti-infective agents. Curr. Top. Med. Chem. 2005, 3, 513–523. [Google Scholar] [CrossRef]
- Islam, B.; Khan, S.N.; Haque, I.; Alam, M.; Mushfiq, M.; Khan, A.U. Novel anti-adherence activity of mulberry leaves: Inhibition of Streptococcus mutans biofilm by 1-deoxynojirimycin isolated from Morus alba. J. Antimicrob. Chemother. 2008, 62, 751–757. [Google Scholar] [CrossRef]
- Hasan, S.; Singh, K.; Danisuddin, M.; Verma, P.K.; Khan, A.U. Inhibition of major virulence pathways of Streptococcus mutans by Quercitrin and Deoxynojirimycin: A synergistic approach of infection control. PLoS ONE 2014, 9, e91736. [Google Scholar] [CrossRef]
- Segraves, N.L.; Crews, P. A Madagascar sponge Batzella sp. as a source of alkylated iminosugars. J. Nat. Prod. 2005, 68, 118–121. [Google Scholar] [CrossRef]
- Vasconcelos, A.; Pomin, V. Marine carbohydrate-based compounds with medicinal properties. Mar. Drugs 2018, 16, 233. [Google Scholar] [CrossRef]
- Guaragna, A.; D’Errico, S.; D’Alonzo, D.; Pedatella, S.; Palumbo, G. A general approach to the synthesis of 1-deoxy-L-iminosugars. Org. Lett. 2007, 9, 3473–3476. [Google Scholar] [CrossRef]
- Guaragna, A.; D’Alonzo, D.; Paolella, C.; Palumbo, G. Synthesis of 1-deoxy-L-gulonojirimycin and 1-deoxy-L-talonojirimycin. Tetrahedron Lett. 2009, 50, 2045–2047. [Google Scholar] [CrossRef]
- D’Alonzo, D.; de Fenza, M.; Porto, C.; Iacono, R.; Huebecker, M.; Cobucci-Ponzano, B.; Priestman, D.A.; Platt, F.; Parenti, G.; Moracci, M.; et al. N-Butyl-l-deoxynojirimycin (L-NBDNJ): Synthesis of an allosteric enhancer of α-glucosidase activity for the treatment of pompe disease. J. Med. Chem. 2017, 60, 9462–9469. [Google Scholar] [CrossRef] [PubMed]
- D’Alonzo, D.; Guaragna, A.; van Aerschot, A.; Herdewijn, P.; Palumbo, G. L-Homo-DNA: Stereoselective de novo synthesis of β-L-erythro -hexopyranosyl nucleosides. J. Org. Chem. 2010, 75, 6402–6410. [Google Scholar] [CrossRef] [PubMed]
- D’Alonzo, D.; Amato, J.; Schepers, G.; Froeyen, M.; Van Aerschot, A.; Herdewijn, P.; Guaragna, A. Enantiomeric selection properties of β-homoDNA: Enhanced pairing for heterochiral complexes. Angew. Chem. Int. Ed. 2013, 52, 6662–6665. [Google Scholar] [CrossRef] [PubMed]
- Caso, M.F.; D’Alonzo, D.; D’Errico, S.; Palumbo, G.; Guaragna, A. Highly stereoselective synthesis of lamivudine (3TC) and emtricitabine (FTC) by a novel N-glycosidation procedure. Org. Lett. 2015, 17, 2626–2629. [Google Scholar] [CrossRef]
- Esposito, A.; Giovanni, C.; de Fenza, M.; Talarico, G.; Chino, M.; Palumbo, G.; Guaragna, A.; D’Alonzo, D. A stereoconvergent tsuji–trost reaction in the synthesis of cyclohexenyl nucleosides. Chem. Eur. J. 2020, 26, 2597–2601. [Google Scholar] [CrossRef] [PubMed]
- de Gregorio, E.; Esposito, A.; Vollaro, A.; de Fenza, M.; D’Alonzo, D.; Migliaccio, A.; Iula, V.D.; Zarrilli, R.; Guaragna, A. N-nonyloxypentyl-l-deoxynojirimycin inhibits growth, biofilm formation and virulence factors expression of Staphylococcus aureus. Antibiotics 2020, 9, 362. [Google Scholar] [CrossRef]
- Rautio, J.; Meanwell, N.A.; Di, L.; Hageman, M.J. The expanding role of prodrugs in contemporary drug design and development. Nat. Rev. Drug Discov. 2018, 17, 559–587. [Google Scholar] [CrossRef]
- Wichitnithad, W.; Nimmannit, U.; Wacharasindhu, S.; Rojsitthisak, P. Synthesis, characterization and biological evaluation of succinate prodrugs of curcuminoids for colon cancer treatment. Molecules 2011, 16, 1888–1900. [Google Scholar] [CrossRef]
- Capone, S.; Guaragna, A.; Palumbo, G.; Pedatella, S. Efficient synthesis of orthogonally protected anti-2,3-diamino acids. Tetrahedron 2005, 61, 6575–6579. [Google Scholar] [CrossRef]
- Guaragna, A.; de Nisco, M.; Pedatella, S.; Pinto, V.; Palumbo, G. An expeditious procedure for the synthesis of isotopically labelled fatty acids: Preparation of 2,2-d2-nonadecanoic acid. J. Label. Compd. Radiopharm. 2006, 49, 675–682. [Google Scholar] [CrossRef]
- Guaragna, A.; Amoresano, A.; Pinto, V.; Monti, G.; Mastrobuoni, G.; Marino, G.; Palumbo, G. Synthesis and proteomic activity evaluation of a new isotope-coded affinity tagging (ICAT) reagent. Bioconjug. Chem. 2008, 19, 1095–1104. [Google Scholar] [CrossRef] [PubMed]
- Caputo, R.; Kunz, H.; Mastroianni, D.; Palumbo, G.; Pedatella, S.; Solla, F. Mild synthesis of protected α-D-glycosyl iodides. Eur. J. Org. Chem. 1999, 1999, 3147–3150. [Google Scholar] [CrossRef]
- Caputo, R.; Guaragna, A.; Pedatella, S.; Palumbo, G. Mild and regiospecific phosphorylation of nucleosides. Synlett 1997, 1997, 917–918. [Google Scholar] [CrossRef]
- Pedatella, S.; Guaragna, A.; D’Alonzo, D.; de Nisco, M.; Palumbo, G. Triphenylphosphine polymer-bound/iodine complex: A suitable reagent for the preparation of O-isopropylidene sugar derivatives. Synthesis 2006, 18, 305–308. [Google Scholar] [CrossRef]
- Esposito, A.; de Gregorio, E.; de Fenza, M.; D’Alonzo, D.; Satawani, A.; Guaragna, A. Expeditious synthesis and preliminary antimicrobial activity of deflazacort and its precursors. RSC Adv. 2019, 9, 21519–21524. [Google Scholar] [CrossRef]
- Garegg, P.J.; Regberg, T.; Stawiński, J.; Strömberg, R. A phosphorus nuclear magnetic resonance spectroscopic study of the conversion of hydroxy groups into iodo groups in carbohydrates using the iodine–triphenylphosphine–imidazole reagent. J. Chem. Soc. Perkin Trans. 1987, 2, 271–274. [Google Scholar] [CrossRef]
- Klumphu, P.; Lipshutz, B.H. “Nok”: A phytosterol-based amphiphile enabling transition-metal-catalyzed couplings in water at room temperature. J. Org. Chem. 2014, 79, 888–900. [Google Scholar] [CrossRef]
- Kimura, K.; Nagakura, S. n → σ* Absorption spectra of saturated organic compounds containing bromine and iodine. Spectrochim. Acta 1961, 17, 166–183. [Google Scholar] [CrossRef]
- Twibanire, J.K.; Grindley, T.B. Efficient and controllably selective preparation of esters using uronium-based coupling agents. Org. Lett. 2011, 13, 2988–2991. [Google Scholar] [CrossRef]





Publisher’s Note: MDPI stays neutral with regard to jurisdictional claims in published maps and institutional affiliations. |
© 2020 by the authors. Licensee MDPI, Basel, Switzerland. This article is an open access article distributed under the terms and conditions of the Creative Commons Attribution (CC BY) license (http://creativecommons.org/licenses/by/4.0/).
Share and Cite
Esposito, A.; D’Alonzo, D.; D’Errico, S.; De Gregorio, E.; Guaragna, A. Toward the Identification of Novel Antimicrobial Agents: One-Pot Synthesis of Lipophilic Conjugates of N-Alkyl d- and l-Iminosugars. Mar. Drugs 2020, 18, 572. https://doi.org/10.3390/md18110572
Esposito A, D’Alonzo D, D’Errico S, De Gregorio E, Guaragna A. Toward the Identification of Novel Antimicrobial Agents: One-Pot Synthesis of Lipophilic Conjugates of N-Alkyl d- and l-Iminosugars. Marine Drugs. 2020; 18(11):572. https://doi.org/10.3390/md18110572
Chicago/Turabian StyleEsposito, Anna, Daniele D’Alonzo, Stefano D’Errico, Eliana De Gregorio, and Annalisa Guaragna. 2020. "Toward the Identification of Novel Antimicrobial Agents: One-Pot Synthesis of Lipophilic Conjugates of N-Alkyl d- and l-Iminosugars" Marine Drugs 18, no. 11: 572. https://doi.org/10.3390/md18110572
APA StyleEsposito, A., D’Alonzo, D., D’Errico, S., De Gregorio, E., & Guaragna, A. (2020). Toward the Identification of Novel Antimicrobial Agents: One-Pot Synthesis of Lipophilic Conjugates of N-Alkyl d- and l-Iminosugars. Marine Drugs, 18(11), 572. https://doi.org/10.3390/md18110572

