Efficient Total Synthesis of Lissodendrin B, 2-Aminoimidazole Marine Alkaloids Isolated from Lissodendoryx (Acanthodoryx) fibrosa
Abstract
1. Introduction
2. Results and Discussion
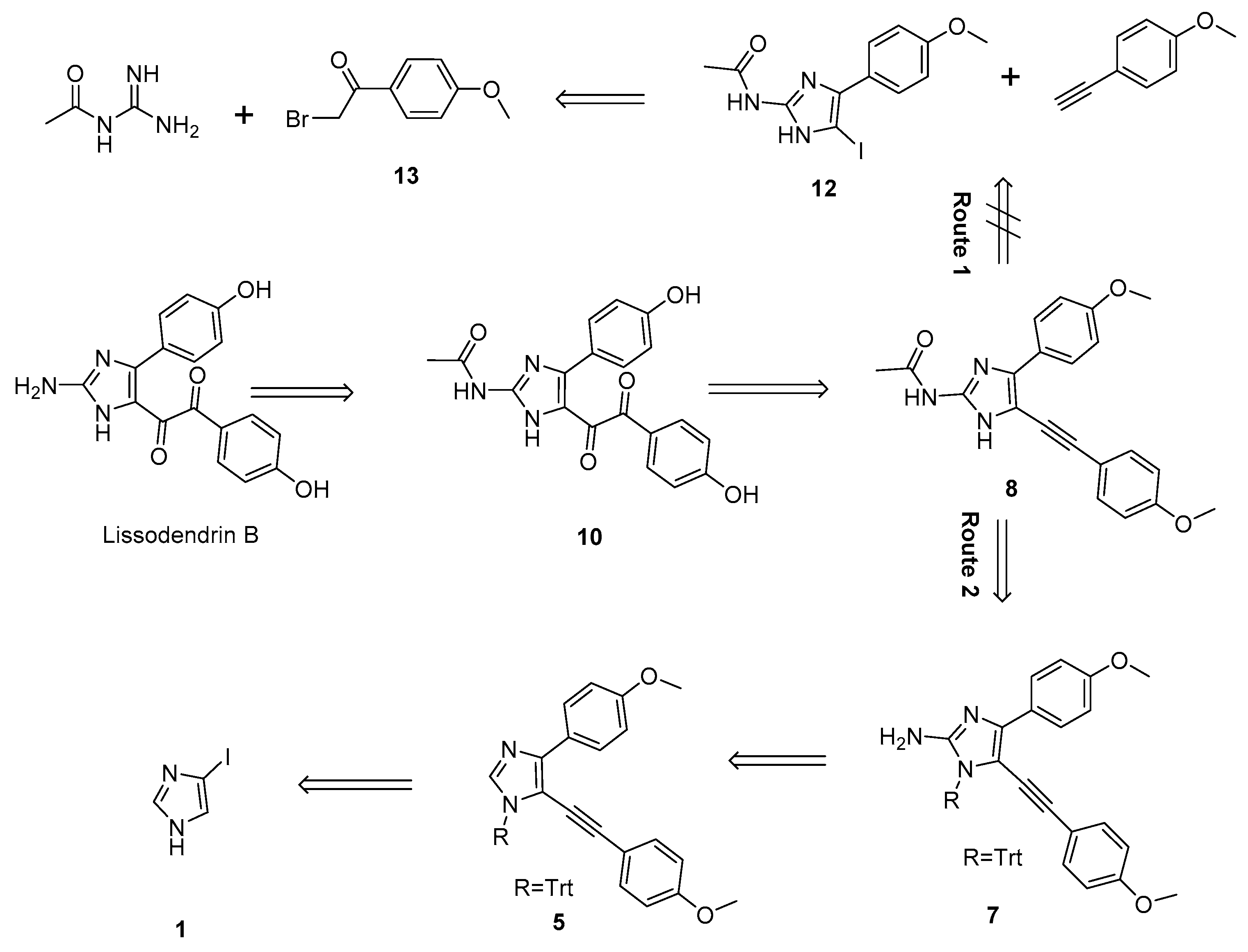
2.1. Retrosynthetic Analysis of Lissodendrin B
2.2. Synthesis of Lissodendrin B
3. Materials and Methods
3.1. General Information
3.2. Methods
3.2.1. Synthesis of 4-(4-Methoxyphenyl)-1H-imidazole (2)
3.2.2. Synthesis of 5-Iodo-4-(4-methoxyphenyl)-1H-imidazole (3)
3.2.3. Synthesis of 5-(4-Methoxyphenyl)-4-((4-methoxyphenyl)ethynyl)-1H-imidazole (4)
3.2.4. Synthesis of 5-(4-Methoxyphenyl)-4-((4-methoxyphenyl)ethynyl)-1-trityl-1H-imidazole (5)
3.2.5. Synthesis of 2-Azido-5-(4-methoxyphenyl)-4-((4-methoxyphenyl)ethynyl)-1-trityl-1H-imidazole (6)
3.2.6. Synthesis of 5-(4-Methoxyphenyl)-4-((4-methoxyphenyl)ethynyl)-1-trityl-1H-imidazol-2-amine (7)
3.2.7. Synthesis of N-(5-(4-Methoxyphenyl)-4-((4-methoxyphenyl)ethynyl)-1H-imidazol-2-yl) Acetamide (8)
3.2.8. Synthesis of N-(5-(4-Methoxyphenyl)-4-(2-(4-methoxyphenyl)-2-oxoacetyl)-1H-imidazol-2-yl) Acetamide (9)
3.2.9. Synthesis of N-(5-(4-Hydroxyphenyl)-4-(2-(4-hydroxyphenyl)-2-oxoacetyl)-1H-imidazol-2-yl) Acetamide (10)
3.2.10. Synthesis of Lissodendrin B (11)
4. Conclusions
Supplementary Materials
Author Contributions
Funding
Acknowledgments
Conflicts of Interest
Abbreviations
| P-gp | P-glycoprotein |
| MDR | multidrug resistance |
| DMF | N,N-Dimethylformamide |
| TEA | Triethylamine |
| Ac2O | Acetic anhydride |
| DMSO | Dimethyl sulfoxide |
| THF | Tetrahydrofuran |
| TsN3 | p-toluenesulfonyl azide |
| CsF | cesium fluoride |
| NIS | N-iodosuccinimide |
| CuI | copper(I) iodide |
| THF | Tetrahydrofuran |
| UV | ultraviolet |
References
- Gerwick, W.H.; Moore, B.S. Lessons from the Past and Charting the Future of Marine Natural Products Drug Discovery and Chemical Biology. Chem. Biol. 2012, 19, 85–98. [Google Scholar] [CrossRef]
- Roué, M.; Domart-Coulon, I.; Ereskovsky, A.; Djediat, C.; Perez, T.; Bourguet-Kondracki, M. Cellular localization of clathridimine, an antimicrobial 2-aminoimidazole alkaloid produced by the Mediterranean calcareous sponge Clathrina clathrus. J. Nat. Prod. 2010, 73, 1277–1282. [Google Scholar] [CrossRef]
- Hassan, W.; Edrada, R.A.; Ebel, R.; Wray, V.; Berg, A.; Soest, R.V.; Wiryowidagdo, S.; Proksch, P. New Imidazole Alkaloids from the Indonesian Sponge Leucetta chagosensis. J. Nat. Prod. 2004, 67, 817–822. [Google Scholar] [CrossRef]
- Tang, W.Z.; Yang, Z.Z.; Wu, W.; Tang, J.; Sun, F.; Wang, S.P.; Cheng, C.W.; Yang, F.; Lin, H.W. Imidazole Alkaloids and Their Zinc Complexes from the Calcareous Marine Sponge Leucetta chagosensis. J. Nat. Prod. 2018, 81, 894–900. [Google Scholar] [CrossRef] [PubMed]
- An, B.; Yin, F.Y.; Voogd, N.J.; Chen, X.G.; Cheng, W.; Lin, W.H. Chagosendines A-C, New Metal Complexes of Imidazole Alkaloids from the Calcareous Sponge Leucetta chagosensis. Chem. Biodivers. 2018, 15. [Google Scholar] [CrossRef] [PubMed]
- Ali, A.A.; Hassanean, H.A.; Elkhayat, E.S.; Edrada, R.A.; Ebel, R.; Proksch, P. Imidazole alkaloids from the indopacific sponge Pericharax heteroraphis. Bull. Pharm. Sci. 2007, 30, 149–157. [Google Scholar] [CrossRef]
- Gong, K.K.; Tang, X.L.; Liu, Y.S.; Li, P.L.; Li, G.Q. Imidazole Alkaloids from the South China Sea Sponge Pericharax heteroraphis and Their Cytotoxic and Antiviral Activities. Molecules 2016, 21, 150. [Google Scholar] [CrossRef]
- Li, G.; Guo, J.; Wang, Z.; Liu, Y.; Song, H.; Wang, Q. Marine Natural Products for Drug Discovery: First Discovery of Kealiinines A−C and Their Derivatives as Novel Antiviral and Antiphytopathogenic Fungus Agents. J. Agric. Food Chem. 2018, 66, 7310–7318. [Google Scholar] [CrossRef]
- Zhang, N.; Zhang, Z.; Wong, I.K.; Wan, S.; Chow, L.C.; Jiang, T. 4, 5-Di-substituted benzyl-imidazol-2-substituted amines as the structure template for the design and synthesis of reversal agents against P-gp-mediated multidrug resistance breast cancer cells. Eur. J. Med. Chem. 2014, 83, 74–83. [Google Scholar] [CrossRef]
- Chan, G.W.; Mong, S.; Hemling, M.E.; Freyer, A.J.; Offen, P.H.; DeBrosse, C.W.; Sarau, H.M.; Westley, J.W. New leukotriene B4 receptor antagonist: Leucettamine A and related imidazole alkaloids from the marine sponge Leucetta microraphis. J. Nat. Prod. 1993, 56, 116–121. [Google Scholar] [CrossRef]
- Copp, B.R.; Fairchild, C.R.; Cornell, L.; Casazza, A.M.; Robinson, S.; Ireland, C.M. Naamidine A Is an Antagonist of the Epidermal Growth Factor Receptor and an in vivo Active Antitumor Agent. J. Med. Chem. 1998, 41, 3909–3911. [Google Scholar] [CrossRef] [PubMed]
- Little, T.L.; Webber, S.E. A Simple and Practical Synthesis of 2-Aminoimidazoles. J. Org. Chem. 1994, 59, 7299–7305. [Google Scholar] [CrossRef]
- Worthington, R.J.; Bunders, C.A.; Reed, C.S.; Melander, C. Small Molecule Suppression of Carbapenem Resistance in NDM-1 Producing Klebsiella pneumoniae. ACS Med. Chem. Lett. 2012, 3, 357–361. [Google Scholar] [CrossRef] [PubMed]
- Mukherjee, S.; Sivappa, R.; Yousufuddin, M.; Lovely, C.J. Asymmetric Total Synthesis of ent-Cyclooroidin. Org. Lett. 2010, 12, 4940–4943. [Google Scholar] [CrossRef]
- Bhandari, M.R.; Sivappa, R.; Lovely, C. Total Synthesis of the Putative Structure of Nagelamide D. Org. Lett. 2009, 11, 1535–1538. [Google Scholar] [CrossRef]
- Mokhlesi, A.; Hartmann, R.; Achten, E.; Chaidir, C.; Hartmann, T.; Lin, W.; Daletos, G.; Proksch, P. Lissodendrins A and B: 2-Amino-imidazole Alkaloids from the Marine Sponge Lissodendoryx (Acanthodoryx) fibrosa. Eur. J. Org. Chem. 2016, 4, 639–643. [Google Scholar] [CrossRef]
- Soh, C.H.; Chui, W.K.; Lam, Y. An Efficient and Expeditious Synthesis of Di- and Monosubstituted 2-Aminoimidazoles. J. Comb. Chem. 2008, 10, 118–122. [Google Scholar] [CrossRef]
- Takagi, K.; Kusafuka, K.; Ito, Y.; Yamauchi, K.; Ito, K.; Fukuda, R.; Ehara, M. Synthesis and optical properties of imidazole-and benzimidazole-based fused π-conjugated compounds: Influence of substituent, counteranion, and π-conjugated system. J. Org. Chem. 2015, 80, 7172–7183. [Google Scholar] [CrossRef]
- Jung, M.E.; Deng, G. Synthesis of α-Diketones from Alkylaryl- and Diarylalkynes Using Mercuric Salts. Org. Lett. 2014, 16, 2142–2145. [Google Scholar] [CrossRef]
- Morinaka, B.I.; Masuno, M.N.; Pawlik, J.R.; Molinski, T.F. Amaranzole A, a New N-Imidazolyl Steroid from Phorbas amaranthus. Org. Lett. 2007, 9, 5219–5222. [Google Scholar] [CrossRef]
- Cízková, M.; Saman, D.; Koval, D.; Kasicka, V.; Klepetárová, B.; Císarová, I.; Teplý, F. Modular Synthesis of Helicene-Like Compounds Based on the Imidazolium Motif. Eur. J. Org. Chem. 2014, 26, 5681–5685. [Google Scholar] [CrossRef]
- Pöverlein, C.; Jacobi, N.; Mayer, P.; Lindel, T. Synthesis of 4(5)-Acyl-2-aminoimidazoles and Vinylogues. Synthesis 2007, 23, 3620–3626. [Google Scholar]
- Bellina, F.; Guazzelli, N.; Lessi, M.; Manzini, C. Imidazole analogues of resveratrol: Synthesis and cancer cell growth evaluation. Tetrahedron 2015, 71, 2298–2305. [Google Scholar] [CrossRef]
- Liu, P.; Hamill, T.G.; Chioda, M.; Chobanian, H.; Fung, S.; Guo, Y.; Chang, L.; Bakshi, R.; Hong, Q.; Dellureficio, J.; et al. Discovery of MK-3168: A PET Tracer for Imaging Brain Fatty Acid Amide Hydrolase. ACS Med. Chem. Lett. 2013, 4, 509–513. [Google Scholar] [CrossRef] [PubMed]
- Kumar, S.; Jaller, D.; Patel, B.; LaLonde, J.M.; DuHadaway, J.B.; Malachowski, W.P.; Prendergast, G.C.; Muller, A.J. Structure Based Development of Phenylimidazole-Derived Inhibitors of Indoleamine 2,3-Dioxygenase. J. Med. Chem. 2008, 51, 4968–4977. [Google Scholar] [CrossRef]



| Catalyst (equiv.) | Base | Solvent | Temperature | Time (h) | Yield (%) |
|---|---|---|---|---|---|
| KMnO4 (2 equiv.) | NaHCO3 (1 equiv.) | Acetone | 0 °C -r.t. | 4 | 17 |
| KMnO4 (2 equiv.) | NaHCO3 (1 equiv.) | THF | 0 °C -r.t. | 8 | 10 |
| KMnO4 (4 equiv.) | NaHCO3 (2 equiv.) | Acetone | 0 °C -r.t. | 8 | 20 |
| Hg(NO3)2 (2 equiv.) | — | DMF | 0 °C -r.t. | 2 | 51 |
© 2019 by the authors. Licensee MDPI, Basel, Switzerland. This article is an open access article distributed under the terms and conditions of the Creative Commons Attribution (CC BY) license (http://creativecommons.org/licenses/by/4.0/).
Share and Cite
Wei, X.; Hu, X.; Yu, R.; Wan, S.; Jiang, T. Efficient Total Synthesis of Lissodendrin B, 2-Aminoimidazole Marine Alkaloids Isolated from Lissodendoryx (Acanthodoryx) fibrosa. Mar. Drugs 2020, 18, 36. https://doi.org/10.3390/md18010036
Wei X, Hu X, Yu R, Wan S, Jiang T. Efficient Total Synthesis of Lissodendrin B, 2-Aminoimidazole Marine Alkaloids Isolated from Lissodendoryx (Acanthodoryx) fibrosa. Marine Drugs. 2020; 18(1):36. https://doi.org/10.3390/md18010036
Chicago/Turabian StyleWei, Xianfeng, Xuelong Hu, Rilei Yu, Shengbiao Wan, and Tao Jiang. 2020. "Efficient Total Synthesis of Lissodendrin B, 2-Aminoimidazole Marine Alkaloids Isolated from Lissodendoryx (Acanthodoryx) fibrosa" Marine Drugs 18, no. 1: 36. https://doi.org/10.3390/md18010036
APA StyleWei, X., Hu, X., Yu, R., Wan, S., & Jiang, T. (2020). Efficient Total Synthesis of Lissodendrin B, 2-Aminoimidazole Marine Alkaloids Isolated from Lissodendoryx (Acanthodoryx) fibrosa. Marine Drugs, 18(1), 36. https://doi.org/10.3390/md18010036

