Triterpenoids in Echinoderms: Fundamental Differences in Diversity and Biosynthetic Pathways
Abstract
1. Introduction
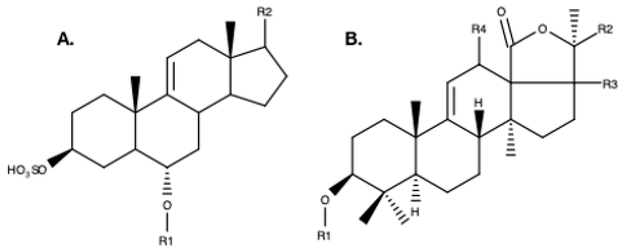
2. Sterol Occurrence and Diversity in Echinoderms
3. Saponin Occurrence and Diversity in Echinoderms
4. Triterpenoid Biosynthesis
5. Conclusions
Supplementary Materials
Conflicts of Interest
References
- Bourlat, S.J.; Juliusdottir, T.; Lowe, C.J.; Freeman, R.; Aronowicz, J.; Kirschner, M.; Lander, E.S.; Thorndyke, M.; Nakano, H.; Kohn, A.B.; et al. Deuterostome phylogeny reveals monophyletic chordates and the new phylum Xenoturbellida. Nature 2006, 444, 85–88. [Google Scholar] [CrossRef]
- Brusca, R.; Brusca, G. Invertebrates; Sinauer Associates: Sunderland, MA, USA, 2003. [Google Scholar]
- Coulon, P.; Jangoux, M. Feeding rate and sediment reworking by the holothuroid Holothuria tubulosa (Echinodermata) in a Mediterranean seagrass bed off Ischia Island, Italy. Mar. Ecol. Prog. Ser. 1993, 92, 201–204. [Google Scholar] [CrossRef]
- MacTavish, T.; Stenton-Dozey, J.; Vopel, K.; Savage, C. Deposit-Feeding Sea Cucumbers Enhance Mineralization and Nutrient Cycling in Organically-Enriched Coastal Sediments. PLoS ONE 2012, 7, e50031. [Google Scholar] [CrossRef]
- Purcell, S.; Conand, C.; Uthicke, S.; Byrne, M. Ecological Roles of Exploited Sea Cucumbers. Oceanogr. Mar. Biol. 2016, 54, 367–386. [Google Scholar]
- Haefner, B. Drugs from the deep: Marine natural products as drug candidates. Drug Discov. Today 2003, 8, 536–544. [Google Scholar] [CrossRef]
- Bordbar, S.; Anwar, F.; Saari, N. High-value components and bioactives from sea cucumbers for functional foods—A review. Marine Drugs 2011, 9, 1761–1805. [Google Scholar] [CrossRef]
- Kornprobst, J.-M. Substances Naturelles D’origine Marine: Chimiodiversité, Pharmacodiversité, Biotechnologies; Éditions Tec & Doc: Paris, France, 2005; Volume 1. [Google Scholar]
- Brasseur, L.; Hennebert, E.; Fievez, L.; Caulier, G.; Bureau, F.; Tafforeau, L.; Flammang, P.; Gerbaux, P.; Eeckhaut, I. The Roles of Spinochromes in Four Shallow Water Tropical Sea Urchins and Their Potential as Bioactive Pharmacological Agents. Marine Drugs 2017, 15, 179. [Google Scholar] [CrossRef]
- Brasseur, L.; Demeyer, M.; Decroo, C.; Caulier, G.; Flammang, P.; Gerbaux, P.; Eeckhaut, I. Identification and quantification of spinochromes in body compartments of Echinometra mathaei’s coloured types. R. Soc. Open Sci. 2018, 5, 171213. [Google Scholar] [CrossRef]
- Brasseur, L.; Caulier, G.; Flammang, P.; Gerbaux, P.; Eeckhaut, I. Mapping of Spinochromes in the Body of Three Tropical Shallow Water Sea Urchins. Nat. Prod. Commun. 2018, 13. [Google Scholar] [CrossRef]
- Bartolini, G.L.; Erdman, T.; Scheuer, P. Anthraquinone pigments from the crinoid Comanthus bennetti. Tetrahedron 1973, 29, 3699–3702. [Google Scholar] [CrossRef]
- Caulier, G.; Van Dyck, S.; Gerbaux, P.; Eeckhaut, I.; Flammang, P. Review of saponin diversity in sea cucumbers belonging to the family Holothuriidae. SPC Beche-de-mer Inf. Bull 2011, 31, 48–54. [Google Scholar]
- Demeyer, M.; De Winter, J.; Caulier, G.; Eeckhaut, I.; Flammang, P.; Gerbaux, P. Molecular diversity and body distribution of saponins in the sea star Asterias rubens by mass spectrometry. Comp. Biochem. Physiol. Part B Biochem. Mol. Biol. 2014, 168, 1–11. [Google Scholar] [CrossRef]
- Riccio, R.; D’Auria, M.V.; Minale, L. Unusual sulfated marine steroids from the ophiuroid Ophioderma longicaudum. Tetrahedron 1985, 41, 6041–6046. [Google Scholar] [CrossRef]
- Rideout, J.A.; Smith, N.B.; Sutherland, M.D. Chemical defense of crinoids by polyketide sulphates. Experientia 1979, 35, 1273–1274. [Google Scholar] [CrossRef]
- Van Dyck, S.; Caulier, G.; Todesco, M.; Gerbaux, P.; Fournier, I.; Wisztorski, M.; Flammang, P. The triterpene glycosides of Holothuria forskali: Usefulness and efficiency as a chemical defense mechanism against predatory fish. J. Exp. Biol. 2011, 214, 1347–1356. [Google Scholar] [CrossRef]
- Popov, A.A.; Kalinovskaia, N.I.; Kuznetsova, T.A.; Agafonova, I.G.; Anisimov, M.M. Role of sterols in the membranotropic activity of triterpene glycosides. Antibiotiki 1983, 28, 656–659. [Google Scholar]
- Claereboudt, E.; Eeckhaut, I.; Lins, L.; Deleu, M. How different sterols contribute to saponin tolerant plasma membranes in sea cucumbers. Sci. Rep. 2018, 8, 10845. [Google Scholar] [CrossRef]
- Goad, L.J. Sterol biosynthesis and metabolism in marine invertebrates. Pure Appl. Chem. 1981, 53, 837. [Google Scholar] [CrossRef]
- London, E. Insights into lipid raft structure and formation from experiments in membranes. Curr. Opin. Struct. Biol. 2002, 12, 480–486. [Google Scholar] [CrossRef]
- Tyler, K.M.; Fridberg, A.; Toriello, K.M.; Olson, C.L.; Cieslak, J.A.; Hazlett, T.L.; Engman, D.M. Flagellar membrane localization via association with lipid rafts. J. Cell Sci. 2009, 122, 859–866. [Google Scholar] [CrossRef]
- Jacobson, K.; Dietrich, C. Looking at lipid rafts? Trends Cell Biol. 1999, 9, 87–91. [Google Scholar] [CrossRef]
- Brown, D.A.; London, E. Structure and function of sphingolipid- and cholesterol-rich membrane rafts. J. Biol. Chem. 2000, 275, 17221–17224. [Google Scholar] [CrossRef] [PubMed]
- Anderson, R.G.; Jacobson, K. A role for lipid shells in targeting proteins to caveolae, rafts, and other lipid domains. Science 2002, 296, 1821–1825. [Google Scholar] [CrossRef]
- Desmond, E.; Gribaldo, S. Phylogenomics of sterol synthesis: Insights into the origin, evolution, and diversity of a key eukaryotic feature. Genome Biol. Evolut. 2009, 1, 364–381. [Google Scholar] [CrossRef] [PubMed]
- Weete, J.D.; Abril, M.; Blackwell, M. Phylogenetic Distribution of Fungal Sterols. PLoS ONE 2010, 5, e10899. [Google Scholar] [CrossRef]
- Bergmann, W.; McLean, M.J.; Lester, D. Contributions to the study of marine products. Xiii. Sterols from various marine invertebrates. J. Org. Chem. 1943, 8, 271–282. [Google Scholar] [CrossRef]
- Ikekawa, N. Chapter 8 Structures, Biosynthesis and Function of Sterols in Invertebrates. In New Comprehensive Biochemistry; Danielsson, H., Sjövall, J., Eds.; Elsevier: Amsterdam, The Netherlands, 1985; Volume 12, pp. 199–230. [Google Scholar]
- Bergmann, W. Comparative biochemical studies on the lipids of marine invertebrates, with special reference to the sterols. J. Mar. Res 1949, 8, 137–176. [Google Scholar]
- Bergmann, W. Sterols: Their structure and distribution. Comp. Biochem. 1962, 103–162. [Google Scholar]
- Toyama, Y. Die Sterine der fetten Öle von wirbellosen Wassertieren. Fette Seifen Anstrich. 1958, 60, 909–915. [Google Scholar] [CrossRef]
- Austin, J. The Sterols of Marine Invertebrates and Plants. In Advances in Steroid Biochemistry and Pharmacology; Briggs, M.H., Ed.; Academic Press: London, UK; New York, NY, USA, 1970; Volume 1, pp. 73–96. [Google Scholar]
- Gupta, K.C.; Scheuer, P.J. Echinoderm sterols. Tetrahedron 1968, 24, 5831–5837. [Google Scholar] [CrossRef]
- Stonik, V.A.; Elyakov, G.B. Secondary Metabolites from Echinoderms as Chemotaxonomic Markers. In Bioorganic Marine Chemistry; Springer: Berlin/Heidelberg, Germany, 1988; pp. 43–86. [Google Scholar]
- Stonik, V.A.; Ponomarenko, L.P.; Makarieva, T.N.; Boguslavsky, V.M.; Dmitrenok, A.S.; Fedorov, S.N.; Strobikin, S.A. Free sterol compositions from the sea cucumbers Pseudostichopus trachus, Holothuria (Microtele) nobilis, Holothuria scabra, Trochostoma orientale and Bathyplotes natans. Comp. Biochem. Physiol. Part B Biochem. Mol. Biol. 1998, 120, 337–347. [Google Scholar] [CrossRef]
- Brasseur, L.; Parmentier, E.; Caulier, G.; Vanderplanck, M.; Michez, D.; Flammang, P.; Gerbaux, P.; Lognay, G.; Eeckhaut, I. Mechanisms involved in pearlfish resistance to holothuroid toxins. Mar. Biol. 2016, 163, 129. [Google Scholar] [CrossRef]
- Popov, A.M. Comparative Study of Effects of Various Sterols and Triterpenoids on Permeability of Model Lipid Membranes. J. Evolut. Biochem. Physiol. 2003, 39, 314–320. [Google Scholar] [CrossRef]
- Li, R.; Zhou, Y.; Wu, Z.; Ding, L. ESI-QqTOF-MS/MS and APCI-IT-MS/MS analysis of steroid saponins from the rhizomes of Dioscorea panthaica. J. Mass Spectrom. 2006, 41, 1–22. [Google Scholar] [CrossRef] [PubMed]
- Burnell, D.J.; ApSimon, J.W. Echinoderm saponins. Mar. Nat. Prod. Chem. Biol. Perspect. 1983, 5, 287–389. [Google Scholar]
- Genta-Jouve, G.; Boughanem, C.; Ocaña, O.; Pérez, T.; Thomas, O.P. Eryloside W, a triterpenoid saponin from the sponge Dictyonella marsilii. Phytochem. Lett. 2015, 13, 252–255. [Google Scholar] [CrossRef]
- Kubanek, J.; Whalen, K.E.; Engel, S.; R Kelly, S.; Henkel, T.; Fenical, W.; Pawlik, J. Multiple defensive roles for triterpene glycosides from two Caribbean sponges. Oecologia 2002, 131, 125–136. [Google Scholar] [CrossRef] [PubMed]
- Calabro, K.; Kalahroodi, E.L.; Rodrigues, D.; Diaz, C.; Cruz, M.; Cautain, B.; Laville, R.; Reyes, F.; Perez, T.; Soussi, B.; et al. Poecillastrosides, Steroidal Saponins from the Mediterranean Deep-Sea Sponge Poecillastra compressa (Bowerbank, 1866). Mar. Drugs 2017, 15. [Google Scholar] [CrossRef]
- Nigrelli, R. The effects of holothurin on fish, and mice with sarcoma 180. Zoologica 1952, 37, 89–90. [Google Scholar]
- Yamanouchi, T. On the poisonous substance contained in holothurians. Publ. Seto Mar. Biol. Lab. 1955, 4, 183–203. [Google Scholar] [CrossRef]
- Mackie, A.M.; Turner, A.B. Partial characterization of a biologically active steroid glycoside isolated from the starfish Marthasterias glacialis. Biochem. J. 1970, 117, 543–550. [Google Scholar] [CrossRef] [PubMed][Green Version]
- Kitagawa, I.; Kobayashi, M. On the structure of the major saponin from the starfish Acanthaster planci. Tetrahedron Lett. 1977, 18, 859–862. [Google Scholar] [CrossRef]
- Kubanek, J.; Pawlik, J.; Eve, T.; Fenical, W. Triterpene glycosides defend the Caribbean reef sponge Erylus formosus from predatory fishes. Mar. Ecol. Prog. Series 2000, 207, 69–77. [Google Scholar] [CrossRef]
- Van Dyck, S.; Gerbaux, P.; Flammang, P. Elucidation of molecular diversity and body distribution of saponins in the sea cucumber Holothuria forskali (Echinodermata) by mass spectrometry. Compar. Biochem. Physiol. Part B Biochem. Mol. Biol. 2009, 152, 124–134. [Google Scholar] [CrossRef]
- Demeyer, M.; Wisztorski, M.; Decroo, C.; De Winter, J.; Caulier, G.; Hennebert, E.; Eeckhaut, I.; Fournier, I.; Flammang, P.; Gerbaux, P. Inter- and intra-organ spatial distributions of sea star saponins by MALDI imaging. Anal. Bioanal. Chem. 2015, 407, 8813–8824. [Google Scholar] [CrossRef]
- Mitu, S.A.; Bose, U.; Suwansa-Ard, S.; Turner, L.H.; Zhao, M.; Elizur, A.; Ogbourne, S.M.; Shaw, P.N.; Cummins, S.F. Evidence for a Saponin Biosynthesis Pathway in the Body Wall of the Commercially Significant Sea Cucumber Holothuria scabra. Mar. Drugs 2017, 15, 349. [Google Scholar] [CrossRef]
- Moses, T.; Pollier, J.; Almagro, L.; Buyst, D.; Van Montagu, M.; Pedreno, M.A.; Martins, J.C.; Thevelein, J.M.; Goossens, A. Combinatorial biosynthesis of sapogenins and saponins in Saccharomyces cerevisiae using a C-16alpha hydroxylase from Bupleurum falcatum. Proc. Natl. Acad. Sci. USA 2014, 111, 1634–1639. [Google Scholar] [CrossRef]
- Kalinin, V.; Silchenko, A.; Avilov, S.; Stonik, V.A.; Smirnov, A. Sea Cucumbers Triterpene Glycosides, the Recent Progress in Structural Elucidation and Chemotaxonomy. Phytochem. Rev. 2005, 4, 221–236. [Google Scholar] [CrossRef]
- Bahrami, Y.; Franco, C.M. Structure elucidation of new acetylated saponins, Lessoniosides A, B, C, D, and E, and non-acetylated saponins, Lessoniosides F and G, from the viscera of the sea cucumber Holothuria lessoni. Mar. Drugs 2015, 13, 597–617. [Google Scholar] [CrossRef]
- Caulier, G.; Mezali, K.; Soualili, D.L.; Decroo, C.; Demeyer, M.; Eeckhaut, I.; Gerbaux, P.; Flammang, P. Chemical characterization of saponins contained in the body wall and the Cuvierian tubules of the sea cucumber Holothuria (Platyperona) sanctori (Delle Chiaje, 1823). Biochem. Syst. Ecol. 2016, 68, 119–127. [Google Scholar] [CrossRef]
- Decroo, C.; Colson, E.; Demeyer, M.; Lemaur, V.; Caulier, G.; Eeckhaut, I.; Cornil, J.; Flammang, P.; Gerbaux, P. Tackling saponin diversity in marine animals by mass spectrometry: Data acquisition and integration. Anal. Bioanal. Chem. 2017, 409, 3115–3126. [Google Scholar] [CrossRef] [PubMed]
- Kobayashi, M.; Hori, M.; Kan, K.; Yasuzawa, T.; Matsui, M.; Suzuki, S.; Kitagawa, I. Marine Natural Products. XXVII. Distribution of Lanostane-Type Triterpene Oligoglycosides in Ten Kinds of Okinawan Sea Cucumbers. Chem. Pharm. Bull. 1991, 39, 2282–2287. [Google Scholar] [CrossRef]
- Van Dyck, S.; Flammang, P.; Meriaux, C.; Bonnel, D.; Salzet, M.; Fournier, I.; Wisztorski, M. Localization of Secondary Metabolites in Marine Invertebrates: Contribution of MALDI MSI for the Study of Saponins in Cuvierian Tubules of H. forskali. PLoS ONE 2010, 5, e13923. [Google Scholar] [CrossRef] [PubMed]
- Iyengar, E.V.; Harvell, C.D. Predator deterrence of early developmental stages of temperate lecithotrophic asteroids and holothuroids. J. Exp. Mar. Biol. Ecol. 2001, 264, 171–188. [Google Scholar] [CrossRef]
- Kalinin, V.I.; Silchenko, A.S.; Avilov, S.A.; Stonik, V.A. Non-holostane aglycones of sea cucumber triterpene glycosides. Structure, biosynthesis, evolution. Steroids 2018. [Google Scholar] [CrossRef] [PubMed]
- Bondoc, K.G.; Lee, H.; Cruz, L.J.; Lebrilla, C.B.; Juinio-Menez, M.A. Chemical fingerprinting and phylogenetic mapping of saponin congeners from three tropical holothurian sea cucumbers. Compar. Biochem. Physiol. Part B Biochem. Mol. Biol. 2013, 166, 182–193. [Google Scholar] [CrossRef] [PubMed]
- Honey-Escandón, M.; Arreguín-Espinosa, R.; Solís-Marín, F.A.; Samyn, Y. Biological and taxonomic perspective of triterpenoid glycosides of sea cucumbers of the family Holothuriidae (Echinodermata, Holothuroidea). Compar. Biochem. Physiol. Part B Biochem. Mol. Biol. 2015, 180, 16–39. [Google Scholar] [CrossRef] [PubMed]
- Bahrami, Y.; Zhang, W.; Chataway, T.; Franco, C. Structure elucidation of five novel isomeric saponins from the viscera of the sea cucumber Holothuria lessoni. Mar. Drugs 2014, 12, 4439–4473. [Google Scholar] [CrossRef]
- Bahrami, Y.; Franco, C. Acetylated triterpene glycosides and their biological activity from holothuroidea reported in the past six decades. Mar. Drugs 2016, 14, 147. [Google Scholar] [CrossRef]
- D’Auria, M.V.; Minale, L.; Riccio, R. Polyoxygenated steroids of marine origin. Chem. Rev. 1993, 93, 1839–1895. [Google Scholar] [CrossRef]
- Maier, M.S. Biological Activities of Sulfated Glycosides from Echinoderms. In Studies in Natural Products Chemistry; Atta ur, R., Ed.; Elsevier: Amsterdam, The Netherlands, 2008; Volume 35, pp. 311–354. [Google Scholar]
- Ivanchina, N.V.; Kicha, A.A.; Stonik, V.A. Steroid glycosides from marine organisms. Steroids 2011, 76, 425–454. [Google Scholar] [CrossRef] [PubMed]
- Xiao, G.; Yu, B. Total synthesis of starfish saponin goniopectenoside B. Chemistry 2013, 19, 7708–7712. [Google Scholar] [CrossRef] [PubMed]
- Iorrizzi, M.; Marino, S.; Zollo, F. Steroidal oligoglycosides from the Asteroidea. Curr. Org. Chem. 2001, 5, 951–973. [Google Scholar] [CrossRef]
- Kicha, A.A.; Ivanchina, N.; Kalinovsky, A.; Dmitrenok, P.S.; Stonik, V.A. Sulfated Steroid Compounds from the Starfish Aphelasterias japonica of the Kuril Population. Russ. Chem. Bull. 2001, 50, 724–727. [Google Scholar] [CrossRef]
- Caulier, G.; Flammang, P.; Gerbaux, P.; Eeckhaut, I. When a repellent becomes an attractant: Harmful saponins are kairomones attracting the symbiotic Harlequin crab. Sci. Rep. 2013, 3, 2639. [Google Scholar] [CrossRef] [PubMed]
- Garneau, F.-X.; Harvey, C.; Simard, J.-L.; Apsimon, J.W.; Burnell, D.J.; Himmelman, J.H. The distribution of asterosaponins in various body components of the starfish Leptasterias polaris. Compar. Biochem. Physiol. Part B Compar. Biochem. 1989, 92, 411–416. [Google Scholar] [CrossRef]
- Mackie, A.M.; Singh, H.T.; Owen, J.M. Studies on the distribution, biosynthesis and function of steroidal saponins in echinoderms. Compar. Biochem. Physiol. Part B Compar. Biochem. 1977, 56, 9–14. [Google Scholar] [CrossRef]
- Voogt, P.A.; Huiskamp, R. Sex-dependence and seasonal variation of saponins in the gonads of the starfish Asterias rubens: Their relation to reproduction. Compar. Biochem. Physiol. Part A Physiol. 1979, 62, 1049–1055. [Google Scholar] [CrossRef]
- Mayo, P.; Mackie, A.M. Studies of avoidance reactions in several species of Predatory British Seastars (Echinodermata: Asteroidea). Mar. Biol. 1976, 38, 41–49. [Google Scholar] [CrossRef]
- Harvey, C.; Garneau, F.-X.; Himmelman, J.H. Chemodetection of the predatory seastar Leptasterias polaris by the whelk Buccinum undatum. Mar. Ecol. Prog. Ser. 1987, 40, 79–86. [Google Scholar] [CrossRef]
- Mackie, A.M.; Lasker, R.; Grant, P.T. Avoidance reactions of a mollusc Buccinum undatum to saponin-like surface-active substances in extracts of the starfish Asterias rubens and Marthasterias glacialis. Compar. Biochem. Physiol. 1968, 26, 415–428. [Google Scholar] [CrossRef]
- Kerr, R.G.; Chen, Z. In vivo and in vitro biosynthesis of saponins in sea cucumbers. J. Nat. Prod. 1995, 58, 172–176. [Google Scholar] [CrossRef] [PubMed]
- Rohmer, M.; Knani, M.; Simonin, P.; Sutter, B.; Sahm, H. Isoprenoid biosynthesis in bacteria: A novel pathway for the early steps leading to isopentenyl diphosphate. Biochem. J. 1993, 295 Pt 2, 517–524. [Google Scholar] [CrossRef]
- Boucher, Y.; Kamekura, M.; Doolittle, W.F. Origins and evolution of isoprenoid lipid biosynthesis in archaea. Mol. Microbiol. 2004, 52, 515–527. [Google Scholar] [CrossRef] [PubMed]
- Volkman, J.K. Sterols and other triterpenoids: Source specificity and evolution of biosynthetic pathways. Org. Geochem. 2005, 36, 139–159. [Google Scholar] [CrossRef]
- Hemmerlin, A.; Harwood, J.L.; Bach, T.J. A raison d’etre for two distinct pathways in the early steps of plant isoprenoid biosynthesis? Prog. Lipid Res. 2012, 51, 95–148. [Google Scholar] [CrossRef]
- Thimmappa, R.; Geisler, K.; Louveau, T.; O’Maille, P.; Osbourn, A. Triterpene biosynthesis in plants. Ann. Rev. Plant Biol. 2014, 65, 225–257. [Google Scholar] [CrossRef]
- Santos, M.M.; Ruivo, R.; Lopes-Marques, M.; Torres, T.; De los Santos, C.; Castro, L.; Neuparth, T. Statins: An undesirable class of aquatic contaminants? Aquat. Toxicol. 2016, 174, 1–9. [Google Scholar] [CrossRef]
- Goad, L.J.; Rubinstein, I.; Smith, A.G. The sterols of echinoderms. Proc. R. Soc. Lon. Ser. B Biol. Sci. 1972, 180, 223–246. [Google Scholar] [CrossRef]
- Kanazawa, A.; Teshima, S.; Tomita, S. Sterol biosynthesis in some coelenterates and echinoderms. Nippon Suisan Gakkaishi 1974, 40, 1257–1260. [Google Scholar] [CrossRef][Green Version]
- Bose, U.; Wang, T.; Zhao, M.; Motti, C.A.; Hall, M.R.; Cummins, S.F. Multiomics analysis of the giant triton snail salivary gland, a crown-of-thorns starfish predator. Sci. Rep. 2017, 7, 6000. [Google Scholar] [CrossRef] [PubMed]
- Liu, H.; Kong, X.; Chen, J.; Zhang, H. De novo sequencing and transcriptome analysis of Stichopus horrens to reveal genes related to biosynthesis of triterpenoids. Aquaculture 2018, 491, 358–367. [Google Scholar] [CrossRef]
- Li, Y.; Wang, R.; Xun, X.; Wang, J.; Bao, L.; Thimmappa, R.; Ding, J.; Jiang, J.; Zhang, L.; Li, T.; et al. Sea cucumber genome provides insights into saponin biosynthesis and aestivation regulation. Cell Discov. 2018, 4, 29. [Google Scholar] [CrossRef] [PubMed]
- Elyakov, G.B.; Kuznetsova, T.A.; Stonik, V.A.; Levin, V.S.; Albores, R. Glycosides of marine invertebrates. IV. A comparative study of the glycosides from Cuban sublittoral holothurians. Compar. Biochem. Physiol. Part B Compar. Biochem. 1975, 52, 413–417. [Google Scholar] [CrossRef]
- Kelecom, A.; Daloze, D.; Tursch, B. Chemical studies of marine invertebrates—XXI: Six triterpene genins artifacts from thelothurins A and B, toxic saponins of the sea cucumber Thelonota ananas Jaeger (echinodermata). Biosynthesis of the thelothurins. Tetrahedron 1976, 32, 2353–2359. [Google Scholar] [CrossRef]
- Cordeiro, M.L.; Djerassi, C. Biosynthetic studies of marine lipids. 25. Biosynthesis of.DELTA.9(11)- and.DELTA.7-sterols and saponins in sea cucumbers. J. Org. Chem. 1990, 55, 2806–2813. [Google Scholar] [CrossRef]
- Cordeiro, N.L.; Kerr, R.G.; Djerassi, C. Biosynthetic studies of marine lipids 15. Conversion of parkeol (lanosta-9(11),24-dien-3β-ol) to 14α-methylcholest-9(11)-en-3β-ol in the sea cucumber Holothuria arenicola. Tetrahedron Lett. 1988, 29, 2159–2162. [Google Scholar] [CrossRef]
- Voogt, P.A.; van Rheenen, J.W.A. On the origin of sterols in the seastar Asterias rubens. Compar. Biochem. Physiol. Part B Compar. Biochem. 1976, 54, 479–482. [Google Scholar] [CrossRef]
- Makarieva, T.N.; Stonik, V.A.; Kapustina, I.I.; Boguslavsky, V.M.; Dmitrenoik, A.S.; Kalinin, V.I.; Cordeiro, M.L.; Djerassi, C. Biosynthetic studies of marine lipids. 42. Biosynthesis of steroid and triterpenoid metabolites in the sea cucumber Eupentacta fraudatrix. Steroids 1993, 58, 508–517. [Google Scholar] [CrossRef]
- Stonik, V.A.; Kalinin, V.I.; Avilov, S.A. Toxins from sea cucumbers (holothuroids): Chemical structures, properties, taxonomic distribution, biosynthesis and evolution. J. Nat. Toxins 1999, 8, 235–248. [Google Scholar]
- Marijanovic, Z.; Laubner, D.; Möller, G.; Adamski, J.; Gege, C.; Husen, B.; Breitling, R. Closing the Gap: Identification of Human 3-Ketosteroid Reductase, the Last Unknown Enzyme of Mammalian Cholesterol Biosynthesis. Mol. Endocrinol. 2003, 17, 1715–1725. [Google Scholar] [CrossRef] [PubMed]
- Abe, I. Enzymatic synthesis of cyclic triterpenes. Nat. Prod. Rep. 2007, 24, 1311–1331. [Google Scholar] [CrossRef] [PubMed]
- Sheikh, Y.M.; Djerassi, C. Bioconversion of lanosterol into holotoxingonin, a triterpenoid from the sea cucumber Stichopus californicus. J. Chem. Soc. Chem. Commun. 1976, 1057–1058. [Google Scholar] [CrossRef]
- Silchenko, A.S.; Kalinovsky, A.I.; Avilov, S.A.; Andryjashchenko, P.V.; Dmitrenok, P.S.; Kalinin, V.I.; Stonik, V.A. 3β-O-Glycosylated 16β-acetoxy-9β-H-lanosta-7,24-diene-3β,18,20β-triol, an intermediate metabolite from the sea cucumber Eupentacta fraudatrix and its biosynthetic significance. Biochem. Syst. Ecol. 2012, 44, 53–60. [Google Scholar] [CrossRef]
- Ito, R.; Mori, K.; Hashimoto, I.; Nakano, C.; Sato, T.; Hoshino, T. Triterpene cyclases from Oryza sativa L.: Cycloartenol, parkeol and achilleol B synthases. Org. Lett. 2011, 13, 2678–2681. [Google Scholar] [CrossRef]
- Cuong, N.X.; Vien, L.T.; Hoang, L.; Hanh, T.T.H.; Thao, D.T.; Thanh, N.V.; Nam, N.H.; Thung, D.C.; Kiem, P.V.; Minh, C.V. Cytotoxic triterpene diglycosides from the sea cucumber Stichopus horrens. Bioorg. Med. Chem. Lett. 2017, 27, 2939–2942. [Google Scholar] [CrossRef] [PubMed]
- Svetashev, V.I.; Levin, V.S.; Cham Ngok, L.; Do Tuet, N. Lipid and fatty acid composition of holothurians from tropical and temperate waters. Compar. Biochem. Physiol. Part B Compar. Biochem. 1991, 98, 489–494. [Google Scholar] [CrossRef]
- Voogt, P. Biosynthesis and composition of 3β-sterols in the ophiuroids Ophiura albida and Ophioderma longicauda. Compar. Biochem. Physiol. Part B Compar. Biochem. 1973, 45, 593–601. [Google Scholar] [CrossRef]
- Drazen, J.C.; Phleger, C.F.; Guest, M.A.; Nichols, P.D. Lipid, sterols and fatty acid composition of abyssal holothurians and ophiuroids from the North-East Pacific Ocean: Food web implications. Compar. Biochem. Physiol. Part B Biochem. Mol. Biol. 2008, 151, 79–87. [Google Scholar] [CrossRef]
- Zhang, X.; Sun, L.; Yuan, J.; Sun, Y.; Gao, Y.; Zhang, L.; Li, S.; Dai, H.; Hamel, J.F.; Liu, C.; et al. The sea cucumber genome provides insights into morphological evolution and visceral regeneration. PLoS Biol. 2017, 15, e2003790. [Google Scholar] [CrossRef]








© 2019 by the authors. Licensee MDPI, Basel, Switzerland. This article is an open access article distributed under the terms and conditions of the Creative Commons Attribution (CC BY) license (http://creativecommons.org/licenses/by/4.0/).
Share and Cite
Claereboudt, E.J.S.; Caulier, G.; Decroo, C.; Colson, E.; Gerbaux, P.; Claereboudt, M.R.; Schaller, H.; Flammang, P.; Deleu, M.; Eeckhaut, I. Triterpenoids in Echinoderms: Fundamental Differences in Diversity and Biosynthetic Pathways. Mar. Drugs 2019, 17, 352. https://doi.org/10.3390/md17060352
Claereboudt EJS, Caulier G, Decroo C, Colson E, Gerbaux P, Claereboudt MR, Schaller H, Flammang P, Deleu M, Eeckhaut I. Triterpenoids in Echinoderms: Fundamental Differences in Diversity and Biosynthetic Pathways. Marine Drugs. 2019; 17(6):352. https://doi.org/10.3390/md17060352
Chicago/Turabian StyleClaereboudt, Emily J. S., Guillaume Caulier, Corentin Decroo, Emmanuel Colson, Pascal Gerbaux, Michel R. Claereboudt, Hubert Schaller, Patrick Flammang, Magali Deleu, and Igor Eeckhaut. 2019. "Triterpenoids in Echinoderms: Fundamental Differences in Diversity and Biosynthetic Pathways" Marine Drugs 17, no. 6: 352. https://doi.org/10.3390/md17060352
APA StyleClaereboudt, E. J. S., Caulier, G., Decroo, C., Colson, E., Gerbaux, P., Claereboudt, M. R., Schaller, H., Flammang, P., Deleu, M., & Eeckhaut, I. (2019). Triterpenoids in Echinoderms: Fundamental Differences in Diversity and Biosynthetic Pathways. Marine Drugs, 17(6), 352. https://doi.org/10.3390/md17060352

