Plakinamine P, A Steroidal Alkaloid with Bactericidal Activity against Mycobacterium tuberculosis
Abstract
1. Introduction
2. Results
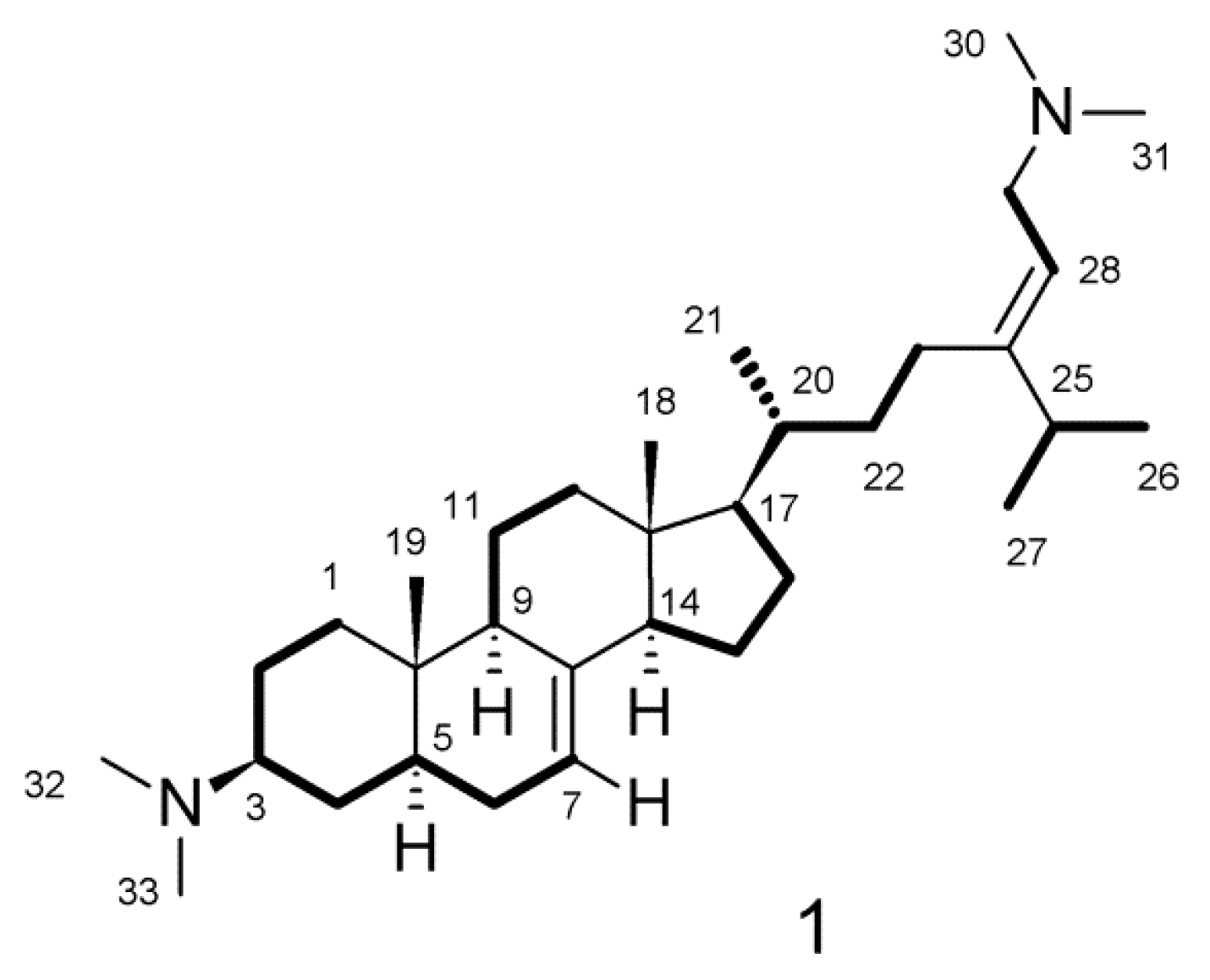
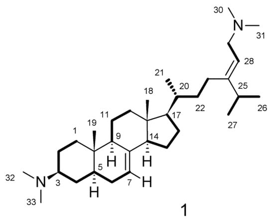
2.1. Chemical Analysis
2.2. Biological Activity
3. Discussion
4. Materials and Methods
4.1. Chemical Ananlysis
4.1.1. Biological Material
4.1.2. Extraction and Isolation
4.2. Biological Activity
Supplementary Materials
Author Contributions
Funding
Conflicts of Interest
References
- World Health Organization. Global Tuberculosis Report; World Health Organization: Geneva, Switzerland, 2019. [Google Scholar]
- D’Ambrosio, L.; Centis, R.; Sotgiu, G.; Pontali, E.; Spanevello, A.; Migliori, G.B. New anti-tuberculosis drugs and regimens: 2015 update. ERJ Open Res. 2015, 1. [Google Scholar] [CrossRef] [PubMed]
- Rodrigues Felix, C.; Gupta, R.; Geden, S.; Roberts, J.; Winder, P.; Pomponi, S.A.; Diaz, M.C.; Reed, J.K.; Wright, A.E.; Rohde, K.H. Selective Killing Of Dormant Mycobacterium tuberculosis By Marine Natural Products. Antimicrob. Agents Chemother. 2017. [Google Scholar] [CrossRef]
- Pandey, A.K.; Sassetti, C.M. Mycobacterial persistence requires the utilization of host cholesterol. Proc. Natl. Acad. Sci. USA 2008, 105, 4376–4380. [Google Scholar] [CrossRef] [PubMed]
- Rosser, R.M.; Faulkner, D.J. Two steroidal alkaloids from a marine sponge, Plakina sp. J. Org. Chem. 1984, 49, 5157–5160. [Google Scholar] [CrossRef]
- Jurek, J.; Scheuer, P.J.; Kelly-Borges, M. Two steroidal alkaloids from a sponge, Corticium sp. J. Nat. Prod. 1994, 57, 1004–1007. [Google Scholar] [CrossRef] [PubMed]
- De Marino, S.; Iorizzi, M.; Zollo, F.; Roussakis, C.; Debitus, C. Plakinamines C and D and three other new steroidal alkaloids from the sponge Corticium sp. Eur. J. Org. Chem. 1999, 3, 697–701. [Google Scholar] [CrossRef]
- Lee, H.-S.; Seo, Y.; Rho, J.-R.; Shin, J.; Paul, V.J. New steroidal alkaloids from an undescribed sponge of the genus Corticium. J. Nat. Prod. 2001, 64, 1474–1476. [Google Scholar] [CrossRef] [PubMed]
- Borbone, N.; De Marino, S.; Iorizzi, M.; Zollo, F.; Debitus, C.; Esposito, G.; Iuvone, T. Minor steroidal alkaloids from the marine sponge Corticium sp. J. Nat. Prod. 2002, 65, 1206–1209. [Google Scholar] [CrossRef]
- Ridley, C.P.; Faulkner, D.J. New cytotoxic steroidal alkaloids from the Philippine sponge Corticium niger. J. Nat. Prod. 2003, 66, 1536–1539. [Google Scholar] [CrossRef] [PubMed]
- Zampella, A.; D’Orsi, R.; Sepe, V.; De Marino, S.; Borbone, N.; Valentin, A.; Debitus, C.; Zollo, F.; D’Auria, M.V. Isolation of plakinamine I: A new steroidal alkaloid from the marine sponge Corticium sp. and synthesis of an analogue model compound. Eur. J. Org. Chem. 2005, 20, 4359–4363. [Google Scholar] [CrossRef]
- Langjae, R.; Bussarawit, S.; Yuenyongsawad, S.; Ingkaninan, K.; Plubrukarn, A. Acetylcholinesterase-inhibiting steroidal alkaloid from the sponge Corticium sp. Steroids 2007, 72, 682–685. [Google Scholar] [CrossRef] [PubMed]
- Sunassee, S.N.; Ransom, T.; Henrich, C.J.; Beutler, J.A.; Covell, D.G.; McMahon, J.B.; Gustafson, K.R. Steroidal Alkaloids from the Marine Sponge Corticium niger That Inhibit Growth of Human Colon Carcinoma Cells. J. Nat. Prod. 2014, 77, 2475–2480. [Google Scholar] [CrossRef] [PubMed]
- Aknin, M.; Rudi, A.; Kashman, Y.; Vacelet, J.; Gaydou, E.M. Plakinamine L: A new steroidal alkaloid from the marine sponge Corticium sp. Nat. Prod. Commun. 2010, 5, 33–34. [Google Scholar] [CrossRef] [PubMed]
- Lu, Z.; Koch, M.; Harper, M.K.; Matainaho, T.K.; Barrows, L.R.; Van Wagoner, R.M.; Ireland, C.M. Plakinamine M, a Steroidal Alkaloid from the Marine Sponge Corticium sp. J. Nat. Prod. 2013, 76, 2150–2152. [Google Scholar] [CrossRef] [PubMed][Green Version]
- Vandroux, D.; Chanareille, P.; Delmas, B.; Gauzere, B.A.; Allou, N.; Raffray, L.; Jaffar-Bandjee, M.C.; Martinet, O.; Ferdynus, C.; Jabot, J. Acute respiratory distress syndrome in leptospirosis. J. Crit. Care 2019, 51, 165–169. [Google Scholar] [CrossRef] [PubMed]
- Andreu, N.; Zelmer, A.; Fletcher, T.; Elkington, P.T.; Ward, T.H.; Ripoll, J.; Parish, T.; Bancroft, G.J.; Schaible, U.; Robertson, B.D.; et al. Optimisation of bioluminescent reporters for use with mycobacteria. PLoS ONE 2010, 5, e10777. [Google Scholar] [CrossRef] [PubMed]
- Prevots, D.R.; Marras, T.K. Epidemiology of human pulmonary infection with nontuberculous mycobacteria: A review. Clin. Chest Med. 2015, 36, 13–34. [Google Scholar] [CrossRef]
- Nessar, R.; Cambau, E.; Reyrat, J.M.; Murray, A.; Gicquel, B. Mycobacterium abscessus: A new antibiotic nightmare. J. Antimicrob. Chemother. 2012, 67, 810–818. [Google Scholar] [CrossRef] [PubMed]
- Peddireddy, V.; Doddam, S.N.; Ahmed, N. Mycobacterial Dormancy Systems and Host Responses in Tuberculosis. Front. Immunol. 2017, 8, 84. [Google Scholar] [CrossRef] [PubMed]
- Gold, B.; Nathan, C. Targeting Phenotypically Tolerant Mycobacterium tuberculosis. Microbiol. Spectr. 2017, 5. [Google Scholar] [CrossRef]
- Nathan, C.; Barry, C.E. TB drug development: Immunology at the table. Immunol. Rev. 2015, 264, 308–318. [Google Scholar] [CrossRef] [PubMed]
- VanderVen, B.C.; Fahey, R.J.; Lee, W.; Liu, Y.; Abramovitch, R.B.; Memmott, C.; Crowe, A.M.; Eltis, L.D.; Perola, E.; Deininger, D.D.; et al. Novel inhibitors of cholesterol degradation in Mycobacterium tuberculosis reveal how the bacterium’s metabolism is constrained by the intracellular environment. PLoS Pathog. 2015, 11, e1004679. [Google Scholar] [CrossRef] [PubMed]
- Frank, D.J.; Zhao, Y.; Wong, S.H.; Basudhar, D.; De Voss, J.J.; Ortiz de Montellano, P.R. Cholesterol Analogs with Degradation-resistant Alkyl Side Chains Are Effective Mycobacterium tuberculosis Growth Inhibitors. J. Biol. Chem. 2016, 291, 7325–7333. [Google Scholar] [CrossRef]
- Ruiz, C.; Muricy, G.; Lage, A.; Domingos, C.; Chenesseau, S.; Pérez, T. Descriptions of new sponge species and genus, including aspiculate Plakinidae, overturn the Homoscleromorpha classification. Zool. J. Linn. Soc. 2017, 179, 707–724. [Google Scholar] [CrossRef]
- Lambert, R.J.; Pearson, J. Susceptibility testing: Accurate and reproducible minimum inhibitory concentration (MIC) and non-inhibitory concentration (NIC) values. J. Appl. Microbiol. 2000, 88, 784–790. [Google Scholar] [CrossRef]



| Position. | δC, Type | δH (J in Hz) | COSY | HMBC a |
|---|---|---|---|---|
| 1a | 38.2, CH2 | 2.01 (ddd, 13.8, 4.1, 4.1) | 1b, 2ab | 3, 5, 10 |
| 1b | 1.21 (ddd, 13.8, 13.8, 3.4) | 1a, 2ab | 19 | |
| 2a | 23.7, CH2 | 1.95 (m) | 1ab, 2b, 3 | 1, 3, 4, 10 |
| 2b | 1.62 (m) | 1ab, 2a, 3 | 1, 3, 10 | |
| 3 | 66.8, CH | 3.21 (m) | 2ab, 4ab | |
| 4a | 29.7, CH2 | 1.84 (m) | 3, 4b, 5 | 2, 3, 10 |
| 4b | 1.51 (m) | 3, 4a, 5 | 3, 5 | |
| 5 | 41.9, CH | 1.51 (m) | 4ab, 6ab | 3 |
| 6a | 30.6, CH2 | 1.86 (m) | 5, 7 | 7, 8 |
| 6b | 1.30 (m) | 5, 7 | 4, 5 | |
| 7 | 118.4, CH | 5.20 (br d, 2.8) | 6ab | 5, 6, 9, 14 |
| 8 | 140.7, C | |||
| 9 | 50.5, CH | 1.73 (m) | 11ab | 8, 11 |
| 10 | 35.5, C | |||
| 11a | 22.7, CH2 | 1.63 (m) | 9, 11b, 12ab | 8, 9 |
| 11b | 1.52 (m) | 9, 11a, 12ab | 8, 9, 10, 13 | |
| 12a | 40.9, CH2 | 2.09 (m) | 11ab, 12b | 9, 11, 13, 14 |
| 12b | 1.28 (m) | 11ab, 12a | ||
| 13 | 44.7, C | |||
| 14 | 56.3, CH | 1.87 (m) | 15ab | 7, 8, 13 |
| 15a | 24.2, CH2 | 1.57 (m) | 14, 15b, 16ab | 16 |
| 15b | 1.46 (m) | 14, 15a, 16ab | ||
| 16a | 29.2, CH2 | 1.93 (m) | 15ab, 16b, 17 | 13, 15 |
| 16b | 1.33 (m) | 15ab, 16a, 17 | 15, 17, 20 | |
| 17 | 57.2, CH | 1.29 (m) | 16ab, 20 | 12, 13, 16, 18, 20, 21 |
| 18 | 12.4, CH3 | 0.59 (s) | 12, 13, 14, 17 | |
| 19 | 13.4, CH3 | 0.86 (s) | 1, 5, 9, 10 | |
| 20 | 38.2, CH | 1.45 (m) | 17, 21, 22ab | 22, 23 |
| 21 | 19.4, CH3 | 1.05 (d, 6.9) | 20 | 17, 20 |
| 22a | 36.8, CH2 | 1.46 (m) | 20, 22b, 23ab | |
| 22b | 1.17 (m) | 20, 22a, 23ab | 20, 21 | |
| 23a | 28.1, CH2 | 2.24 (ddd, 12.7, 12.7, 4.8) | 22ab, 23b | 22, 24, 25, 28 |
| 23b | 2.07 (m) | 22ab, 23a | 22, 24, 25, 28 | |
| 24 | 159.9, C | |||
| 25 | 36.1, CH | 2.38 (sep, 6.9) | 26, 27 | 23, 24, 26/27, 28 |
| 26 | 22.6, CH3 | 1.09 (d, 6.9) | 25 | 24, 25, 27 |
| 27 | 22.4, CH3 | 1.10 (d, 6.9) | 25 | 24, 25, 26 |
| 28 | 111.7, CH | 5.31 (t, 6.9) | 29ab | 23, 24, 25, 29 |
| 29 | 56.4, CH2 | 3.76 (dd, 7.6, 2.1) | 28, 29b | 24, 28, 30/31 |
| 30 | 42.7, CH3 | 2.84 (s) | 29, 30/31 | |
| 31 | 42.7, CH3 | 2.84 (s) | 29, 30/31 | |
| 32 | 40.5, CH3 | 2.85 (s) | 3, 32/33 | |
| 33 | 40.5, CH3 | 2.85 (s) | 3, 32/33 |
| Plasmid | Source | ID | MIC (µg/mL) |
|---|---|---|---|
| pMV306hsp+LuxG13 | Addgene plasmid #26161 [17] | N/A | |
| Fast-growing mycobacteria | |||
| M. massilliense | Mma | 57.6 | |
| M. fortuitum | Mfo | 32.45 | |
| M. abscessus | Mab | 22.16 | |
| Slow-growing mycobacteria | |||
| M. tuberculosis | [3] | Mtb | 1.84 |
| M. avium | Mav | 27.28 | |
| M. intracellulare | Min | 49.53 | |
| M. simiae | Msi | 48.25 |
© 2019 by the authors. Licensee MDPI, Basel, Switzerland. This article is an open access article distributed under the terms and conditions of the Creative Commons Attribution (CC BY) license (http://creativecommons.org/licenses/by/4.0/).
Share and Cite
Rodrigues Felix, C.; Roberts, J.C.; Winder, P.L.; Gupta, R.; Diaz, M.C.; Pomponi, S.A.; Wright, A.E.; Rohde, K.H. Plakinamine P, A Steroidal Alkaloid with Bactericidal Activity against Mycobacterium tuberculosis. Mar. Drugs 2019, 17, 707. https://doi.org/10.3390/md17120707
Rodrigues Felix C, Roberts JC, Winder PL, Gupta R, Diaz MC, Pomponi SA, Wright AE, Rohde KH. Plakinamine P, A Steroidal Alkaloid with Bactericidal Activity against Mycobacterium tuberculosis. Marine Drugs. 2019; 17(12):707. https://doi.org/10.3390/md17120707
Chicago/Turabian StyleRodrigues Felix, Carolina, Jill C. Roberts, Priscilla L. Winder, Rashmi Gupta, M. Cristina Diaz, Shirley A. Pomponi, Amy E. Wright, and Kyle H. Rohde. 2019. "Plakinamine P, A Steroidal Alkaloid with Bactericidal Activity against Mycobacterium tuberculosis" Marine Drugs 17, no. 12: 707. https://doi.org/10.3390/md17120707
APA StyleRodrigues Felix, C., Roberts, J. C., Winder, P. L., Gupta, R., Diaz, M. C., Pomponi, S. A., Wright, A. E., & Rohde, K. H. (2019). Plakinamine P, A Steroidal Alkaloid with Bactericidal Activity against Mycobacterium tuberculosis. Marine Drugs, 17(12), 707. https://doi.org/10.3390/md17120707

