Chromone Derivatives and Other Constituents from Cultures of the Marine Sponge-Associated Fungus Penicillium erubescens KUFA0220 and Their Antibacterial Activity
Abstract
1. Introduction
2. Results and Discussion
3. Experimental Section
3.1. General Experimental Procedures
3.2. Fungal Material
3.3. Extraction and Isolation
3.3.1. 1-Hydroxy-12-methoxycitromycin (1c)
3.3.2. Erubescenschromone A [(3S)-6,7-Dihydroxy-5′-methyl-3′H,4H-spiro[chromene-3,2′-furan]-3′,4-dione (4)]
3.3.3. 7-Hydroxy-6-methoxy-4-oxo-3-[(1E)-3-oxobut-1-en-1-yl]-4H-chromene-5-carboxylic Acid (5)
3.3.4. Erubescenschromone B (6)
3.3.5. SPF-3059-30 (7)
3.4. Electronic Circular Dichroism (ECD)
Electronic Circular Dichroism (ECD) of 3a and 6
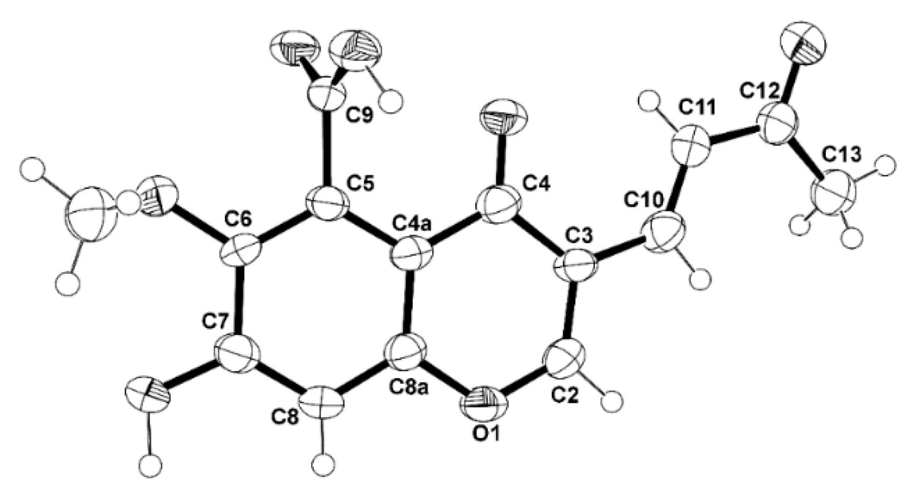
3.5. X-ray Crystal Structures
3.5.1. X-ray Crystal Structure of 4
3.5.2. X-ray Crystal Structure of 5
3.6. Antibacterial Activity Bioassays
3.6.1. Bacterial Strains and Growth Conditions
3.6.2. Antimicrobial Susceptibility Testing
3.6.3. Biofilm Formation Inhibition Assay
3.6.4. Antibiotic Synergy Testing
4. Conclusions
Reference
Supplementary Materials
Author Contributions
Funding
Acknowledgments
Conflicts of Interest
References
- Visagle, C.M.; Houbraken, J.; Frisvad, J.C.; Hong, S.B.; Klaassen, C.H.W.; Perrone, G.; Seifert, K.A.; Vatga, J.; Yaguchi, T.; Samson, R.A. Identification and nomenclature of the genus Penicillium. Sud. Mycol. 2014, 78, 343–371. [Google Scholar] [CrossRef] [PubMed]
- Ma, H.-G.; Liu, Q.; Zhu, G.-L.; Liu, H.-S.; Zhu, W.-M. Marine Natural Products sources from marine-derived Penicillium fungi. J. Asian Nat. Prod. Res. 2016, 18, 92–115. [Google Scholar] [CrossRef] [PubMed]
- Kumla, D.; Aung, T.S.; Buttachon, S.; Dethoup, T.; Gales, L.; Pereira, J.A.; Inácio, A.; Costa, P.M.; Lee, M.; Sekeroglu, N.; et al. A New Dihydrochromone Dimer and Other Secondary Metabolites from Cultures of the Marine Sponge-Associated Fungi Neosartorya fennelliae KUFA 0811 and Neosartorya tsunodae KUFC 9213. Mar. Drugs 2017, 15, 375. [Google Scholar] [CrossRef] [PubMed]
- May Zin, W.W.; Buttachon, S.; Dethoup, T.; Pereira, J.A.; Gales, L.; Inácio, A.; Costa, P.M.; Lee, M.; Sekeroglu, N.; Silva, A.M.S.; et al. Antibacterial and antibiofilm activities of the metabolites isolated from the culture of the mangrove-derived endophytic fungus Eurotium chevalieri KUFA0006. Phytochemistry 2017, 141, 86–97. [Google Scholar] [CrossRef] [PubMed]
- Capon, R.J.; Stewart, M.; Ratnayake, R.; Lacey, E.; Gill, J.H. Citromycetins and Bilains A–C: Newaromatic polyketides and diketopiperazines from Australian Marine-Derived and Terrestrial Penicillium spp. J. Nat. Prod. 2007, 70, 1746–1752. [Google Scholar] [CrossRef] [PubMed]
- Yuan, C.; Wang, H.-Y.; Wu, C.-S.; Jiao, Y.; Li, M.; Wang, Y.-Y.; Wang, S.-Q.; Zhao, Z.-T.; Lou, H.-X. Austdiol, fulvic acid and citromycetin derivative from an endolichenic fungus, Myxotrichum sp. Phytochem. Lett. 2013, 6, 662–666. [Google Scholar] [CrossRef]
- Fujita, K.-I.; Nagamine, Y.; Ping, X.; Taniguchi, M. Mode of Action of anhydrofulvic acid against Candida utilis ATCC 42402 under acid condition. J. Antibiot. 1999, 52, 628–634. [Google Scholar] [CrossRef] [PubMed]
- Lee, D.-S.; Jang, J.-H.; Ko, W.; Kim, K.-S.; Sohn, J.H.; Kang, M.-S.; Ahn, J.S.; Kim, Y.-C.; On, H. PTP1B inhibitory and anti-inflamatory effects of secondary metabolites isolated from the marine-derived fungus Penicillium sp. JF-55. Mar. Drugs 2013, 11, 1409–1429. [Google Scholar] [CrossRef] [PubMed]
- Cheng, X.; Yu, L.; Wang, Q.; Ding, W.; Chen, Z.; Ma, Z. New brefeldins and penialidins from marine fungus Penicillium janthinellum DT-F29. Nat. Prod. Res. 2018, 32, 282–286. [Google Scholar] [CrossRef] [PubMed]
- Jouda, J.B.; Kusari, S.; Lamshoft, M.; Moufo Taontsi, F.; Douala Meli, C.; Wandji, J.; Spitteller, M. Penialidins A–C with strong bacterial acivity from Penicillium sp., an endophytic fungus harboring leaves of Garcinia nobilis. Fitoterapia 2014, 98, 209–214. [Google Scholar] [CrossRef] [PubMed]
- Kimura, T.; Kikuchi, K.; Kumagai, K.; Hosotani, N.; Kishino, A. Nerve Regeneration Promoters Containing Semaphorin Inhibitor as the Active Ingredient. European Patent EP 1 306 093 B1. Date of Publication and Mention of the Grant of the Patent 03.10. 2007. Bulletin 2007/40. Available online: https://data.epo.org/publication-server/rest/v1.0/publication-dates/20071003/patents/EP1306093NWB1/document.html (accessed on 7 July 2018).
- Song, T.; Chen, M.; Chai, W.; Zhang, Z.; Lian, X.-Y. New bioactive pyrrospirones C-I from a marine-derived fungus Penicillium sp. ZZ380. Tetrahedron 2018, 74, 884–891. [Google Scholar] [CrossRef]
- Rukachaisirikul, V.; Satpradit, S.; Klaiklay, S.; Phongpaichit, S.; Borwornwiriyapan, K.; Sakayaroj, J. Polyketide anthraquinone, diphenyl ether, and xanthone derivatives from the soil fungus Penicillium sp. PSU-RSPG99. Tetrahedron 2014, 70, 5148–5152. [Google Scholar] [CrossRef]
- Pastre, R.; Marinho, A.M.R.; Rodrigues-Filho, E.; Souza, A.Q.L.; Pereira, J.O. Diversity of polyketides produced by Penicillium species isolated from Melia azedarach and Murraya paniculata. Quim. Nova 2007, 30, 1867–1871. [Google Scholar] [CrossRef]
- Noinart, J.; Buttachon, S.; Dethoup, T.; Gales, L.; Pereira, J.A.; Urbatzka, R.; Freitas, S.; Lee, M.; Silva, A.M.S.; Pinto, M.M.M.; et al. A new ergosterol analog, a new bis-anthraquinone and anti-obesity activity of anthraquinones from the marine sponge-associated fungus Talaromyces stipitatus KUFA 0207. Mar. Drugs 2017, 15, 139. [Google Scholar] [CrossRef] [PubMed]
- Arai, K.; Miyajima, H.; Mushiroda, T.; Yamamoto, Y. Metabolites of Penicillium italicum Wehmer. Isolation and structures of new metabolites including naturally occurring 4-ylidene-acyltetronic acids, italicinic acid and italicic acid. Chem. Pharm. Bull. 1989, 37, 3229–3235. [Google Scholar] [CrossRef]
- Lu, K.; Zhang, Y.; Li, L.; Wang, X.; Ding, G. Chaetochromones A and B, two new polyketides from the fungus Chaetomium indicum (CBS.860.68). Molecules 2013, 18, 10944–10952. [Google Scholar] [CrossRef] [PubMed]
- Kumagai, K.; Hosotani, N.; Kikuchi, K.; Kimuran, T.; Saji, I. Xanthofulvin, a novel semaphorin inhibitor produced by a strain of Penicillium. J. Antibiot. 2003, 56, 610–616. [Google Scholar] [CrossRef] [PubMed]
- Stepanović, S.; Vuković, D.; Dakic, I.; Savić, B.; Švabic-Vlahović, M. A modified -plate test for quantification of staphylococcal biofilm formation. J. Microbiol. Methods 2000, 40, 175–179. [Google Scholar] [CrossRef]
- Stepanović, S.; Vuković, D.; Hola, V.; Di Bonaventura, G.; Djukić, S.; Ćirković, I.; Ruzicka, F. Quantification of biofilm in microtiter plates: Overview of testing conditions and practical recommendations for assessment of biofilm production by staphylococci. Apmis 2007, 115, 891–899. [Google Scholar] [CrossRef] [PubMed]
- Tacconelli, E.; Carrara, E.; Savoldi, A.; Harbarth, S.; Mendelson, M.; Monnet, D.L.; Pulcini, C.; Kahlmeter, G.; Kluytmans, J.; Carmeli, Y.; et al. Discovery, research, and development of new antibiotics: The WHO priority list of antibiotic-resistant bacteria and tuberculosis. Lancet Infect. Dis. 2017, 18, 318–327. [Google Scholar] [CrossRef]
- Murray, M.G.; Thompson, W.F. Rapid isolation of high molecular weight plant DNA. Nucleic Acids Res. 1980, 8, 4321–4325. [Google Scholar] [CrossRef] [PubMed]
- White, T.J.; Bruns, T.; Lee, S.; Taylor, J. Amplification and direct sequencing of fungal ribosomal RNA genes for phylogenetics. In PCR Protocols: A Guide to Methods and Applications; Innis, M.A., Gelfand, D.H., Sninsky, J.J., White, T.J., Eds.; Academic Press: New York, NY, USA, 1990; pp. 315–322. [Google Scholar]
- Sanger, F.; Nicklen, S.; Coulson, A.R. DNA sequencing with chain-terminating inhibitors. Proc. Natl. Acad. Sci. USA 1977, 72, 5463–5467. [Google Scholar] [CrossRef]
- Austin, A.; Petersson, G.A.; Frisch, M.J.; Dobek, F.J.; Scalmani, G.; Throssel, K. A density functional with Spherical atom dispersion terms. J. Chem. Theory Comput. 2012, 8, 4989–5007. [Google Scholar] [CrossRef] [PubMed]
- Stephens, P.J.; Harada, N. ECD Cotton effect approximated by the Gaussian curve and other methods. Chirality 2010, 22, 229–233. [Google Scholar] [CrossRef] [PubMed]
- Sheldrick, G.M. A short story of SHELX. Acta Cryst. 2008, A64, 112–122. [Google Scholar] [CrossRef] [PubMed]
- Simões, R.R.; Aires-de-Sousa, M.; Conceicao, T.; Antunes, F.; da Costa, P.M.; de Lencastre, H. High prevalence of EMRSA-15 in Portuguese public buses: A worrisome finding. PLoS ONE 2011, 6, e17630. [Google Scholar] [CrossRef] [PubMed]
- Bessa, L.J.; Barbosa-Vasconcelos, A.; Mendes, A.; Vaz-Pires, P.; Martins da Costa, P. High prevalence of multidrug-resistant Escherichia coli and Enterococcus spp. in river water, upstream and downstream of a wastewater treatment plant. J. Water Health 2014, 12, 426–435. [Google Scholar] [CrossRef] [PubMed]
- Clinical and Laboratory Standards Institute (CLSI). Performance Standards for Antimicrobial Susceptibility Testing, 27th ed.; CLSI Supplement M100; Clinical and Laboratory Standards Institute: Wayne, PA, USA, 2017. [Google Scholar]
- Clinical and Laboratory Standards Institute (CLSI). Performance Standards for Antimicrobial Disk Susceptibility Tests; Approved Standard-11th ed., CLSI Document M02-A11; Clinical and Laboratory Standards Institute: Wayne, PA, USA, 2012. [Google Scholar]
- Clinical and Laboratory Standards Institute (CLSI). Methods for Dilution Antimicrobial Susceptibility Tests for Bacteria That Grow Aerobically; Approved Standard-10th ed., CLSI Document M07-A10; Clinical and Laboratory Standards Institute: Wayne, PA, USA, 2015. [Google Scholar]
- Clinical and Laboratory Standards Institute (CLSI). Methods for Determining Bactericidal Activity of Antimicrobial Agents; Approved Guideline; Clinical and Laboratory Standards Institute: Wayne, PA, USA, 1999. [Google Scholar]
- Gomes, N.M.; Bessa, L.J.; Buttachon, S.; Costa, P.M.; Buaruang, J.; Dethoup, T.; Silva, A.M.S.; Kijjoa, A. Antibacterial and antibiofilm activities of tryptoquivalines and meroditerpenes isolated from the marine-derived fungi Neosartorya paulistensis, N. laciniosa, N. tsunodae, and the soil fungi N. fischeri and N. siamensis. Mar. Drugs 2014, 12, 822–839. [Google Scholar] [CrossRef] [PubMed]
- Buttachon, S.; Ramos, A.A.; Inácio, Â.; Dethoup, T.; Gales, L.; Lee, M.; Costa, P.M.; Silva, A.M.S.; Sekeroglu, N.; Rocha, E.; et al. Bis-indolyl benzenoids, hydroxypyrrolidine derivatives and other constituents from cultures of the marine sponge-associated fungus Aspergillus candidus KUFA0062. Mar. Drugs 2018, 16, 119. [Google Scholar] [CrossRef] [PubMed]
- Odds, F.C. Synergy, antagonism, and what the chequerboard puts between them. J. Antimicrob. Chemother. 2003, 52. [Google Scholar] [CrossRef] [PubMed]








| Position | δC, Type | δH, (J in Hz) | HMBC |
|---|---|---|---|
| 1 | 59.5, CH2 | 4.41, brs | C-2, 5 |
| 2 | 167.3, C | - | - |
| 3 | 104.1, CH | 6.25, s | C-1, 2, 5 |
| 4 | 174.8, CO | - | - |
| 5 | 111.2, C | - | - |
| 6 | 62.6, CH2 | 5.02, s | C-4, 5, 7, 9 |
| 7 | 155.2, C | - | - |
| 8 | 105.9, C | - | - |
| 9 | 152.2, C | - | |
| 10 | 106.5, CH | 6.44, s | C-7, 8, 9, 11, 12 |
| 11 | 151.9, C | - | - |
| 12 | 143.6, C | - | - |
| 13 | 110.7, CH | 7.15, s | C-7, 8, 9, 11, 12 |
| OCH3-12 | 56.4, CH3 | 3.80 | C-12 |
| 3a | 3b | |||
|---|---|---|---|---|
| Position | δC, Type | δH, (J in Hz) | δC, Type | δH, (J in Hz) |
| 1 | 28.4, CH3 | 1.45, s | 22.4, CH3 | 1.44, s |
| 2 | 94.2, C | - | 97.7, C | - |
| 3 | 37.5, CH2 | 2.55, d (17.5) | 37.1, CH2 | 2.63, dd (17.6, 2.6) |
| 2.87, d (17.5) | 2.96, dd (17.6, 2.6) | |||
| 4 | 158.7, C | - | 157.9, C | - |
| 5 | 113.5, C | - | 113.0, C | - |
| 6 | 56.3, CH2 | 4.45, s | 52.7, CH2 | 4.22, dt (14.9, 0.9) |
| - | 4.52, dd (14.9, 2.1) | |||
| 7 | 173.4, CO | - | 173.2, CO | - |
| 8 | 115.4, C | - | 115.4, C | - |
| 9 | 152.1, C | - | 152.1, C | - |
| 10 | 102.7, CH | 6.83, s | 102.7, CH | 6.83, s |
| 11 | 150.8, C | - | 150.8, C | - |
| 12 | 144.3, C | - | 144.4, C | - |
| 13 | 107.4, CH | 7.26, s | 107.4, CH | 7.26, s |
| OCH3 | - | - | 48.3, CH3 | 3.21, s |
| Position | Δc, Type | δH, (J in Hz) | COSY | HMBC |
|---|---|---|---|---|
| 2a | 69.8, CH2 | 4.49, d (12.4) | 2b | C-4, 4′, 8a |
| 2b | 4.63, d (12.4) | 2a | C-3, 4, 4′, 8a- | |
| 3 | 86.3, C | - | - | - |
| 4 | 181.6, CO | - | - | - |
| 4a | 111.1, C | - | - | - |
| 5 | 110.3, CH | 7.05, s | - | C-4, 6, 7, 8a |
| 6 | 141.9, C | - | - | - |
| 7 | 155.9, C | - | - | - |
| 8 | 103.2, CH | 6.41, s | - | C-4, 4a, 6, 7, 8a |
| 8a | 156.9, C | - | - | - |
| 2′ | 191.4, C | - | - | - |
| 3′ | 103.8, CH | 5.68, d (0.8) | 5′ | C-2′, 3, 4′ |
| 4′ | 198.3, CO | - | - | - |
| 5′ | 16.4, CH3 | 2.31, s | 3′ | C-2′, 3′ |
| OH | - | 10.01, brs | - | - |
| Position | δC, Type | δH, (J in Hz) | HMBC |
|---|---|---|---|
| 2 | 158.9, CH | 8.73, s | C-3, 4, 8a, 10 |
| 3 | 117.4, C | - | - |
| 4 | 173.4, CO | - | - |
| 4a | 112.0, C | - | - |
| 5 | * | - | - |
| 6 | 143.2, C | - | - |
| 7 | 157.1 | - | - |
| 8 | 104.0, CH | 7.03, s | - |
| 8a | 152.8, C | - | - |
| 9 | 167.1, CO | - | - |
| 10 | 134.9, CH | 7.35, s | 2, 4, 12 |
| 11 | 128.7, CH | 7.35, s | 3 |
| 12 | 198.2, CO | - | - |
| 13 | 17.5, CH3 | 2.29, s | 11, 12 |
| OCH3-6 | 61.0, CH3 | 3.75, s | 6 |
| Position | δC, Type | δH, (J in Hz) | COSY | HMBC |
|---|---|---|---|---|
| 2 | 161.3, C | - | - | - |
| 3 | 112.3, C | - | - | - |
| 4 | 172.2, CO | - | - | - |
| 4a | 115.1, C | - | - | - |
| 5 | 108.0, CH | 7.26, s | - | C-4, 6, 7, 8a |
| 6 | 144.7, C | - | - | - |
| 7 | 150.2, C | - | - | - |
| 8 | 102.8, CH | 6.84, s | - | C-4, 4a, 6, 7, 8a |
| 8a | 152.5, C | - | - | |
| 9α | 33.4 CH2 | 3.47, d (19.2) | H-9β | C-2, 3, 10, 13, 15 |
| 9β | 2.98, d (19.2) | H-9α | C-2, 3, 10, 13, 15 | |
| 10 | 78.2, C | - | - | - |
| 12 | 71.4, CH | 5.41, s | - | C-2, 3, 3′,4, 4′, 10, 14 |
| 13 | 29.3, CH3 | 1.51, s | - | C-2, 9, 10, 14, 15 |
| 14 | 200.9, CO | - | - | - |
| 15 | 69.8, CH | 5.23, s | H-17 | C-9, 10, 13, 14, 16 |
| 16 | 204.6, CO | - | - | - |
| 17 | 32.7, CH3 | 2.16, s | H-15 | C-15, 16 |
| 2′α | 67.7, CH2 | 4.36, d (12.8) | H-2′β | C-3′, 4, 8′a, 12, 14 |
| 2′β | 3.59, d (12.8) | H-2′α, 15 | C-3′, 4, 8′a, 12, 14 | |
| 3′ | 61.9, C | - | - | - |
| 4′ | 185.3, CO | - | - | - |
| 4′a | 109.8, C | - | - | - |
| 5′ | 111.1, CH | 7.17, s | - | C-4′, 6′, 7′, 8′a |
| 6′ | 141.1, C | - | - | - |
| 7′ | 155.4, C | - | - | - |
| 8′ | 102.6, CH | 6.37, s | - | C-4′, 4′a, 6′, 8′a |
| 8′a | 156.0, C | - | - | - |
| Position | δC, Type | δH, (J in Hz) | HMBC |
|---|---|---|---|
| 1 | 125.7, CH | 8.00, s | C-3, 4a, 9′ |
| 2 | 129.5, C | - | - |
| 3 | 138.0, C | - | - |
| 4 | 132.2, C | - | - |
| 4a | 152.1, C | - | - |
| 5 | 103.1, CH | 6.93, s | C-7, 8a, 10a |
| 6 | 150.9, C | - | - |
| 7 | 144.3, C | - | - |
| 8 | 108.7, C | 7.45, s | C-6, 7, 9, 10a |
| 8a | 113.5, C | - | - |
| 9 | 173.5, CO | - | - |
| 9a | 118.6, C | - | - |
| 10a | 154.2, C | - | - |
| 11 | 16.6, CH3 | 2.32, s | C-2, 3, 4 |
| 12 | 202.8, CO | - | - |
| 13 | 32.4, CH3 | 2.71, s | C-12 |
| 2′ | 66.2, CH2 | 4.67, s | C-3′, 4′, 8′a, 9′ |
| 3′ | 103.9, C | - | - |
| 4′ | 183.6, CO | - | - |
| 4′a | 111.9, C | - | - |
| 5′ | 110.5, CH | 7.19, s | C-4′, 6′, 7′, 8′a |
| 6′ | 155.9, C | - | - |
| 7′ | 141.6, C | - | - |
| 8′ | 103.3, CH | 6.34, s | C-4′a, 6′, 7, 8′a |
| 8′a | 154.9, C | - | - |
| 9′ | 172.6, C | - | - |
| Strains | E. faecalis ATCC29212 | E. faecium ATCC19434 | S. aureus ATCC29213 | E. faecalis B3/101 (VRE) | E. faecium 1/6/63 (VRE) | S. aureus 66/1 (MRSA) |
|---|---|---|---|---|---|---|
| Disc diffusion | + | + | + | + | + | + |
| MIC | 8 | 16 | 32 | 8 | 32 | >64 |
| MBC | >64 | >64 | 64 | >64 | >64 | >64 |
| Compound | Concentration (mg/L) | OD ± SD | Classification |
|---|---|---|---|
| 1a | 64 | 1.205 ± 0.025 | strong |
| 1b | 64 | 1.547 ± 0.218 | strong |
| 1c | 64 | 1.673 ± 0.308 | strong |
| 1d | 64 | 1.522 ± 0.308 | strong |
| 1e | 32 | 1.378 ± 0.378 | strong |
| 2a | 64 | 1.136 ± 0.138 | strong |
| 3a | 64 | 2.128 ± 0.248 | strong |
| 4 | 64 | 0.867 ± 0.280 | strong |
| 7 | 64 | 1.192 ± 0.239 | strong |
| 8 | 16 (2 × MIC) | 0.089 ± 0.002 | weak |
| 8 | 8 (MIC) | 0.099 ± 0.006 | weak |
| 8 | 4 (1/2 MIC) | 1.884 ± 0.220 | strong |
| 8 | 2 (1/4MIC) | 2.358 ± 0.416 | strong |
| 9 | 64 | 0.263 ± 0.014 | moderate |
| None | 0 | 0.080 ± 0.002 | strong |
| Compound | E. coli SA/2 | E. faecalis B3/101 | E. faecium 1/6/63 | S. aureus 66/1 | ||||
|---|---|---|---|---|---|---|---|---|
| CTX | VAN | VAN | OXA | |||||
| Disc Diffusion | MIC | Disc Diffusion | MIC | Disc Diffusion | MIC | Disc Diffusion | MIC | |
| Antibiotic | + | 512 | - | 1024 | - | 1024 | - | 64 |
| Antibiotic + 1a | - | 512 | - | 1024 | - | 1024 | - | 64 |
| Antibiotic + 1b | + | 512 | - | 1024 | - | 1024 | - | 64 |
| Antibiotic + 1c | - | >512 | - | 1024 | - | 1024 | - | 64 |
| Antibiotic + 1d | - | 512 | - | 512 | - | 1024 | - | 64 |
| Antibiotic + 1e | - | 512 | - | 1024 | - | >1024 | - | 64 |
| Antibiotic + 2a | - | 512 | - | 1024 | - | 1024 | - | 64 |
| Antibiotic + 3a | - | 512 | - | 512 | - | 1024 | - | 64 |
| Antibiotic + 4 | - | 512 | - | 1024 | - | 1024 | - | 64 |
| Antibiotic + 7 | - | >512 | - | 1024 | - | 1024 | - | 64 |
| Antibiotic + 8 | - | 512 | + | * | - | * | - | 64 |
| Antibiotic + 9 | - | 512 | - | 512 | - | 512 | - | 64 |
© 2018 by the authors. Licensee MDPI, Basel, Switzerland. This article is an open access article distributed under the terms and conditions of the Creative Commons Attribution (CC BY) license (http://creativecommons.org/licenses/by/4.0/).
Share and Cite
Kumla, D.; Pereira, J.A.; Dethoup, T.; Gales, L.; Freitas-Silva, J.; Costa, P.M.; Lee, M.; Silva, A.M.S.; Sekeroglu, N.; Pinto, M.M.M.; et al. Chromone Derivatives and Other Constituents from Cultures of the Marine Sponge-Associated Fungus Penicillium erubescens KUFA0220 and Their Antibacterial Activity. Mar. Drugs 2018, 16, 289. https://doi.org/10.3390/md16080289
Kumla D, Pereira JA, Dethoup T, Gales L, Freitas-Silva J, Costa PM, Lee M, Silva AMS, Sekeroglu N, Pinto MMM, et al. Chromone Derivatives and Other Constituents from Cultures of the Marine Sponge-Associated Fungus Penicillium erubescens KUFA0220 and Their Antibacterial Activity. Marine Drugs. 2018; 16(8):289. https://doi.org/10.3390/md16080289
Chicago/Turabian StyleKumla, Decha, José A. Pereira, Tida Dethoup, Luis Gales, Joana Freitas-Silva, Paulo M. Costa, Michael Lee, Artur M. S. Silva, Nazim Sekeroglu, Madalena M. M. Pinto, and et al. 2018. "Chromone Derivatives and Other Constituents from Cultures of the Marine Sponge-Associated Fungus Penicillium erubescens KUFA0220 and Their Antibacterial Activity" Marine Drugs 16, no. 8: 289. https://doi.org/10.3390/md16080289
APA StyleKumla, D., Pereira, J. A., Dethoup, T., Gales, L., Freitas-Silva, J., Costa, P. M., Lee, M., Silva, A. M. S., Sekeroglu, N., Pinto, M. M. M., & Kijjoa, A. (2018). Chromone Derivatives and Other Constituents from Cultures of the Marine Sponge-Associated Fungus Penicillium erubescens KUFA0220 and Their Antibacterial Activity. Marine Drugs, 16(8), 289. https://doi.org/10.3390/md16080289

