Innovative Approach to Sustainable Marine Invertebrate Chemistry and a Scale-Up Technology for Open Marine Ecosystems
Abstract
:1. Introduction
2. Results
2.1. From the Observation to the Proof of Concept
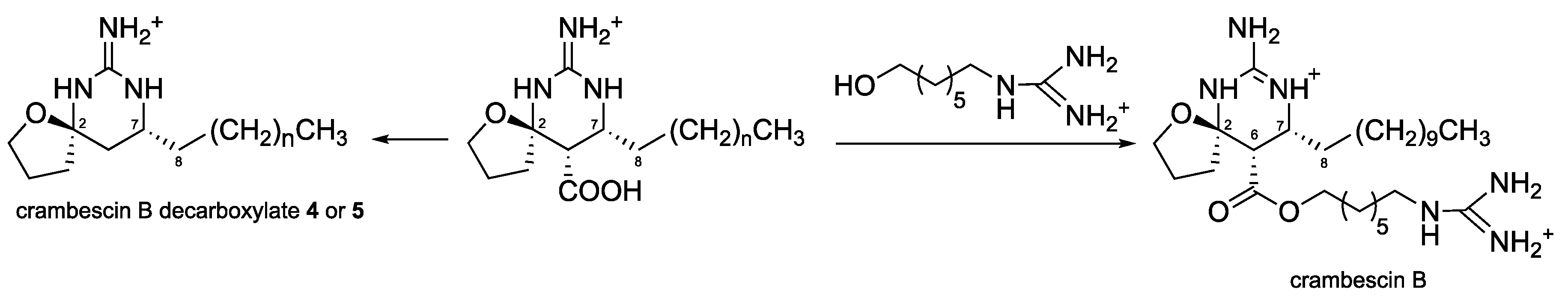
2.2. Isolation and Structural Elucidation
2.3. Building Innovative Equipement for Open Sea Investigation
3. Discussion
4. Materials and Methods
4.1. General Experimental Procedures
4.2. Invertebrate Collection, Transport and Experimental Design
- Aquarium 1: was a control without invertebrates,
- Aquarium 2: contained 20 Anemonia sulcata
- Aquarium 3: contained Crambe crambe individuals covering in total an average surface of 250 to 300 cm2.
- Aquarium 4: contained 20 Anemonia sulcata and Crambe crambe individuals covering in total 250 to 300 cm2.
4.3. Isolation of Compounds and Struture Elucidation
5. Patents
Supplementary Materials
Author Contributions
Acknowledgments
Conflicts of Interest
References
- Newman, D.J.; Cragg, G.M. Drugs and drug candidates from Marine sources: An assessment of the current “State of Play”. Planta Med. 2016, 82, 775–789. [Google Scholar] [CrossRef] [PubMed]
- Schippers, K.J.; Sipkema, D.; Osinga, R.; Smidt, H.; Pomponi, S.A.; Martens, D.E.; Wijffels, R.H. Chapter six—Cultivation of sponges, sponge cells and symbionts: Achievements and future prospects. Adv. Mar. Biol. 2012, 62, 273–337. [Google Scholar] [CrossRef] [PubMed]
- Duckworth, A. Farming sponges to supply bioactive metabolites and bath sponges. Mar. Biotechnol. 2009, 11, 669–679. [Google Scholar] [CrossRef] [PubMed]
- Duckworth, A.R.; Battershill, C.N. Developing farming structures for production of biologically active sponge metabolites. Aquaculture 2003, 217, 139–156. [Google Scholar] [CrossRef]
- Adelin, E.; Servy, C.; Martin, M.-T.; Arcile, G.; Bogdan, I.I.; Retailleau, P.; Bonfill, M.; Ouazzani, J. Bicyclic and tetracyclic diterpenes from a Trichoderma symbiont of Taxus baccata. Phytochemistry 2014, 97, 55–61. [Google Scholar] [CrossRef] [PubMed]
- Le Goff, G.; Martin, M.-T.; Bogdan, I.I.; Adelin, E.; Servy, C.; Cortial, S.; Ouazzani, J. Isolation and characterization of unusual hydrazides from Streptomyces sp. Impact of the cultivation support and extraction procedure. J. Nat. Prod. 2013, 76, 142–149. [Google Scholar] [CrossRef] [PubMed]
- Braekman, J.C.; Daloze, D.; Tavares, R.; Hajdu, E.; Van Soest, R.W.M. Novel polycyclic guanidine alkaloids from two Marine sponges of the genus. Monanchora. J. Nat. Prod. 2000, 63, 193–196. [Google Scholar] [CrossRef] [PubMed]
- Meragelman, K.M.; McKee, T.C.; McMahon, J.B. Monanchorin, a bicyclic alkaloid from the sponge Monanchora ungiculata. J. Nat. Prod. 2004, 67, 1165–1167. [Google Scholar] [CrossRef] [PubMed]
- Aron, Z.D.; Overman, L.E. Total synthesis and properties of the crambescidin core zwitterionic acid and crambescidin 359. J. Am. Chem. Soc. 2005, 127, 3380–3390. [Google Scholar] [CrossRef] [PubMed]
- Patil, A.D.; Kumar, N.V.; Kokke, W.C.; Bean, M.F.; Freyer, A.J.; De Brosse, C.; Mai, S.; Truneh, A.; Faulkner, D.J.; Carte, B.; et al. Novel alkaloids from the sponge Batzella sp.: Inhibitors of HIV gp120-human CD4 binding. J. Org. Chem. 1995, 60, 1182–1188. [Google Scholar] [CrossRef]
- Berlinck, R.G.S.; Braekman, J.C.; Daloze, D.; Hallenga, K.; Ottinger, R.; Bruno, I.; Riccio, R. Two new guanidine alkaloids from the mediterranean sponge crambe crambe. Tetrahedron Lett. 1990, 31, 6531–6534. [Google Scholar] [CrossRef]
- Atsuo Nakazaki, A.; Nakane, Y.; Ishikawa, Y.; Yotsu-Yamashita, M.; Nishikawa, T. Asymmetric synthesis of crambescin A–C carboxylic acids and their inhibitory activity on voltage-gated sodium channels. Org. Biomol. Chem. 2016, 14, 5304–5309. [Google Scholar] [CrossRef] [PubMed]
- Ouazzani, J.; Le Goff, G. Somartex. Self Operating MARine trapping EXtractor. INPI Patent 1850669, 2018. [Google Scholar]
- Mohammad, F.; Mehbub, M.F.; Jason, E.; Tanner, J.E.; Stephen, J.; Barnett, S.J.; Franco, C.M.M.; Zhang, W. The role of sponge-bacteria interactions: the sponge Aplysilla rosea challenged by its associated bacterium Streptomyces ACT-52A in a controlled aquarium system. Appl. Microbiol. Biotechnol. 2016, 100, 10609–10626. [Google Scholar] [CrossRef]







| Crambescidin Acid (2) | Crambescidin 401 (3) | |||||
|---|---|---|---|---|---|---|
| position | δC, type | δH, mult, J in Hz | HMBC | δC, type | δH, mult, J in Hz | HMBC |
| 1 | 10.7, CH3 | 0.80; t (7.3) | 2, 3 | 10.9, CH3 | 0.88; t (7.4) | 2, 3 |
| 2 | 30.8, CH2 | 1.54, m; 1.47, m | - | 30.2, CH2 | 1.54, m; 1.46, m | - |
| 3 | 72.2, CH | 4.34, br m | - | 72.2, CH | 4.56, br m | - |
| 4 | 134.5, CH | 5.51, br d (11.2) | 2, 3, 6 | 134.3, CH | 5.54, br d (11.1) | 3, 6 |
| 5 | 131.7, CH | 5.72, br m | 3, 6, 7 | 131.4, CH | 5.76, br m | 3, 6, 7 |
| 6 | 24.6, CH2 | 2.15, m; 2.43, m | 4, 5, 7, 8 | 24.5, CH2 | 2.15, m; 2.43, m | 4, 5, 7, 8 |
| 7 | 37.4, CH2 | 2.02, m; 2.24 m | 5, 6, 8, 9 | 37.8, CH2 | 2.02, m; 2.61 br t (13.4) | 5, 6, 8, 9 |
| 8 | 85.2, C | - | - | 86.6, C | - | - |
| 9 | 37.8, CH2 | 1.50 m; 2.53 dd (12.9, 3.3) | 8, 10, 11 | 35.4, CH2 | 1.6 t (12.9); 2.81 dd (12.9, 3.3) | 8, 10, 11 |
| 10 | 55.8, CH | 4.00, m | 9 | 60.1, CH | 4.82, m | - |
| 11 | 30.9, CH2 | 1.74, m; 2.32, m | - | 30.5, CH2 | 2.06, m; 2.68, m | 12, 13 |
| 12 | 28.5, CH2 | 2.06, m; 2.25, m | 10, 11,13 | 31.4, CH2 | 3.38, m | 10, 11,13 |
| 13 | 54.9, CH | 4.21, m | 12, 14, 22 | 160.7, C | - | - |
| 14 | 54.1, CH | 2.68, d (4.7) | 13, 15, 16, 22 | 123.6, C | - | - |
| 15 | 82.8, C | - | - | 86.6, C | - | - |
| 16 | 32.8, CH2 | 1.27, m; 1.68, m | - | 37.4, CH2 | 3.01–3.08, br m | 14, 17, 18, 22 |
| 17 | 19.8, CH2 | 1.80, m; 1.87, m | 15, 16 | 25.1, CH2 | 1.80, m; 1.87, m | 16, 22 |
| 18 | 34.5, CH2 | 1.48, br m | - | 39.5, CH2 | 1.48, br m | - |
| 19 | 67.8, CH | 3.81, m | 17, 18 | 68.0, CH | 3.74, m | 17 |
| 20 | 22.1, CH3 | 1.08, d (6.2) | 18, 19 | 21.9, CH3 | 1.14, d (6.2) | 18, 19 |
| 21 | 150.8, C | - | - | 151.3, C | - | - |
| 22 | 175.1, C | - | - | 179.5, C | - | - |
| 4 | 5 | |||||
|---|---|---|---|---|---|---|
| position | δC, type | δH, mult, J in Hz | HMBC | δC, type | δH, mult, J in Hz | HMBC |
| 1 | 154.4, C | - | - | 154.4, C | - | - |
| 2 | 88.0, C | - | - | 88.0, C | - | - |
| 3 | 67.3, CH2 | 3.86, 3.98; dd (12.8, 6.5) | 2, 4 | 67.3, CH2 | 3.86, 3.98; dd (12.8, 6.5) | 2, 4 |
| 4 | 54.7, CH2 | 1.97, 2.22; m | - | 54.7, CH2 | 1.97, 2.22; m | - |
| 5 | 36.8, CH2 | 1.91, 2.14; m | 2, 4 | 36.8, CH2 | 1.91, 2.14; m | 2, 4 |
| 6 | 37.7, CH2 | 1.62, 1.93; m | 2, 7, 8, 9 | 37.7, CH2 | 1.62, 1.93; m | 2, 7, 8, 9 |
| 7 | 47.1, CH | 3.59; m | - | 47.1, CH | 3.59; m | - |
| 8 | 34.9, CH2 | 1.49, 1.63; m | 7 | 34.9, CH2 | 1.49, 1.63; m | 7 |
| 9 | 25.1, CH2 | 1.22–1.14; m | - | 25.1, CH2 | 1.22–1.13; m | - |
| 10 | 29.5, CH2 | 1.22–1.14; m | 29.4, CH2 | 1.22–1.13; m | - | |
| 11 | 29.5, CH2 | 1.22–1.14; m | 29.2, CH2 | 1.22–1.13; m | - | |
| 12 | 29.4, CH2 | 1.22–1.14; m | - | 38.1, CH2 | 1.22–1.13; m | - |
| 13 | 29.3, CH2 | 1.22–1.14; m | - | 22.9, CH2 | 1.22–1.13; m | - |
| 14 | 38.1, CH2 | 1.22–1.14; m | - | 14.1, CH3 | 0.87; t (7.1) | 12, 13 |
| 15 | 22.9, CH2 | 1.22–1.14; m | - | |||
| 16 | 14.1, CH3 | 0.87; t (7.1) | 14, 15 | |||
© 2018 by the authors. Licensee MDPI, Basel, Switzerland. This article is an open access article distributed under the terms and conditions of the Creative Commons Attribution (CC BY) license (http://creativecommons.org/licenses/by/4.0/).
Share and Cite
Vlachou, P.; Le Goff, G.; Alonso, C.; Álvarez, P.A.; Gallard, J.-F.; Fokialakis, N.; Ouazzani, J. Innovative Approach to Sustainable Marine Invertebrate Chemistry and a Scale-Up Technology for Open Marine Ecosystems. Mar. Drugs 2018, 16, 152. https://doi.org/10.3390/md16050152
Vlachou P, Le Goff G, Alonso C, Álvarez PA, Gallard J-F, Fokialakis N, Ouazzani J. Innovative Approach to Sustainable Marine Invertebrate Chemistry and a Scale-Up Technology for Open Marine Ecosystems. Marine Drugs. 2018; 16(5):152. https://doi.org/10.3390/md16050152
Chicago/Turabian StyleVlachou, Pinelopi, Géraldine Le Goff, Carolina Alonso, Pedro A. Álvarez, Jean-François Gallard, Nikolas Fokialakis, and Jamal Ouazzani. 2018. "Innovative Approach to Sustainable Marine Invertebrate Chemistry and a Scale-Up Technology for Open Marine Ecosystems" Marine Drugs 16, no. 5: 152. https://doi.org/10.3390/md16050152
APA StyleVlachou, P., Le Goff, G., Alonso, C., Álvarez, P. A., Gallard, J.-F., Fokialakis, N., & Ouazzani, J. (2018). Innovative Approach to Sustainable Marine Invertebrate Chemistry and a Scale-Up Technology for Open Marine Ecosystems. Marine Drugs, 16(5), 152. https://doi.org/10.3390/md16050152

