Ecdysonelactones, Ecdysteroids from the Tropical Eastern Pacific Zoantharian Antipathozoanthus hickmani
Abstract
:1. Introduction
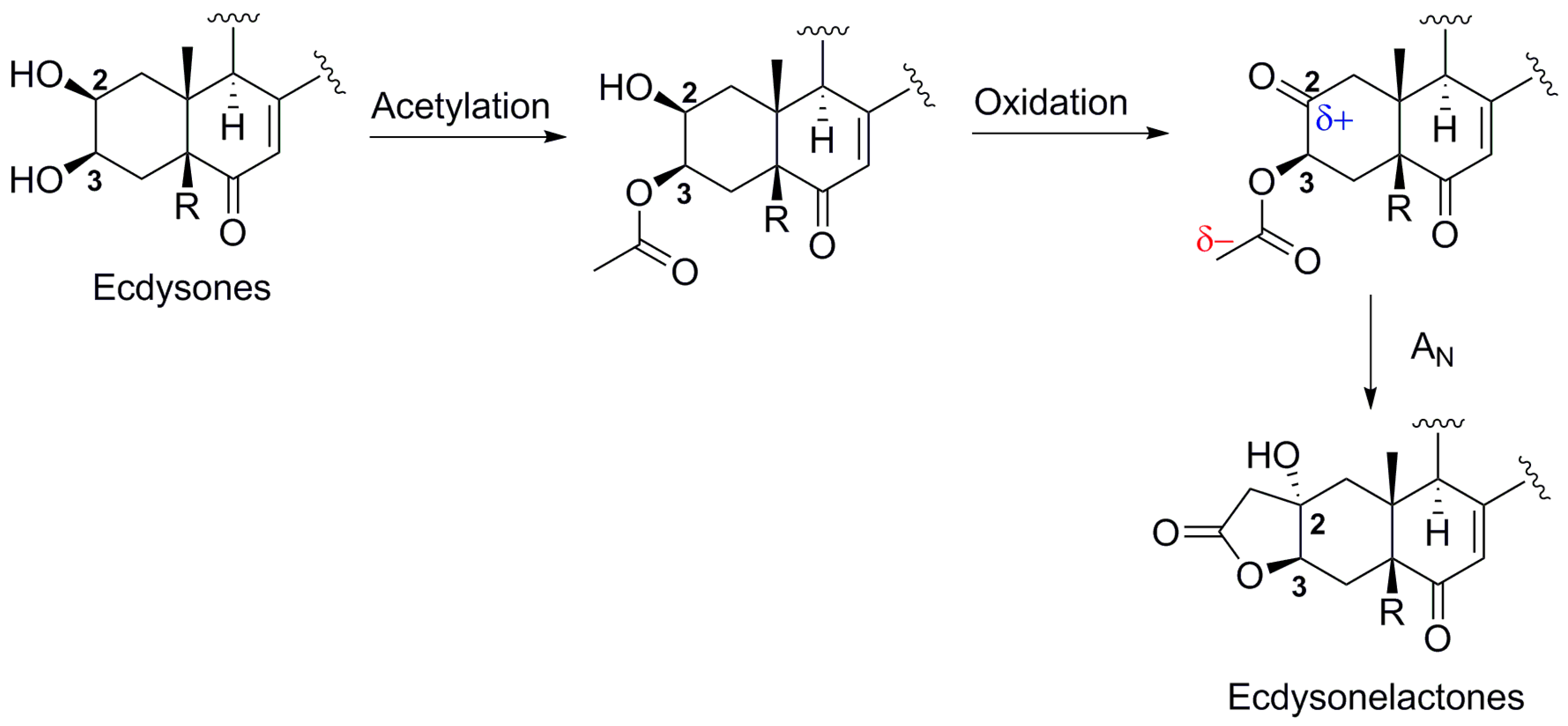
2. Results and Discussion
3. Materials and Methods
3.1. General Experimental Procedures
3.2. Biological Material
3.3. Extraction and Isolation
3.4. Compound Characterization
3.4.1. Ecdysonelactone A
3.4.2. Ecdysonelactone B
3.4.3. Ecdysonelactone C
3.4.4. Ecdysonelactone D
3.5. Computational Analyses
4. Conclusions
Supplementary Materials
Acknowledgments
Author Contributions
Conflicts of Interest
References
- Burnett, W.J.; Benzie, J.A.H.; Beardmore, J.A.; Ryland, J.S. Zoanthids (Anthozoa, Hexacorallia) from the Great Barrier Reef and Torres Strait, Australia: Systematics, evolution and a key to species. Coral Reefs 1997, 16, 55–68. [Google Scholar] [CrossRef]
 - Reimer, J.D.; Foord, C.; Irei, Y. Species Diversity of Shallow Water Zoanthids (Cnidaria: Anthozoa: Hexacorallia) in Florida. J. Mar. Biol. 2012, 2012, 856079. [Google Scholar] [CrossRef]
 - Behenna, D.C.; Stockdill, J.; Stoltz, B.M. The Biology and Chemistry of the Zoanthamine Alkaloids. Angew. Chem. Int. Ed. 2008, 47, 2365–2386. [Google Scholar] [CrossRef] [PubMed]
 - Rao, C.B.; Anjaneyula, A.S.R.; Sarma, S.S.; Venkatateswarlu, Y.; Chen, M.; Clardy, J.; Rosser, R.; Faulkner, J. Zoanthamine: A Novel Alkaloid from a Marine Zoanthid. J. Am. Chem. Soc. 1984, 106, 7983–7984. [Google Scholar] [CrossRef]
 - Fukuzawa, S.; Hayashi, Y.; Uemura, D. The Isolation and Structures of Five New Alkaloids, Norzoanthamine, Oxyzoanthamine, Norzoanthamine, Cyclozoanthamine and Epinorzoanthamine. Heterocycl. Commun. 1995, 1, 207–214. [Google Scholar] [CrossRef]
 - Cen-Pacheco, F.; Martín, M.N.; Fernández, J.J.; Daranas, A.H. New Oxidized Zoanthamines from a Canary Islands Zoanthus sp. Mar. Drugs 2014, 12, 5188–5196. [Google Scholar] [CrossRef] [PubMed]
 - Cheng, Y.-B.; Lo, I.-W.; Shyur, L.-F.; Yang, C.-C.; Hsu, Y.-M.; Su, J.-H.; Lu, M.-C.; Chiou, S.-F.; Lan, C.-C.; Wu, Y.-C.; et al. New alkaloids from Formosan zoanthid Zoanthus kuroshio. Tetrahedron 2015, 71, 8601–8606. [Google Scholar] [CrossRef]
 - Rosser, R.M.; Faulkner, D.J. Alkaloids from a Marine Zoanthid. J. Org. Chem. 1985, 50, 3757–3760. [Google Scholar]
 - Cariello, L.; Crescenzi, S.; Prota, G.; Giordano, F.; Mazzarella, L. Zoanthoxanthin, a Heteroaromatic Base from Parazoanthus cfr. axinellae (Zoantharia): Structure Confirmation by X-ray Crystallography. J. Chem. Soc. Chem. Commun. 1973, 99–100. [Google Scholar] [CrossRef]
 - D’Ambrosio, M.; Roussis, V.; Fenical, W. Zoamides A–D: New Marine Zoanthoxanthin Class Alkaloids from an Encrusting Philippine Parazoanthus sp. Tetrahedron Lett. 1997, 38, 717–720. [Google Scholar] [CrossRef]
 - Cachet, N.; Genta-Jouve, G.; Regalado, E.L.; Mokrini, R.; Amade, P.; Culioli, G.; Thomas, O.P. Parazoanthines A–E, Hydantoin Alkaloids from the Mediterranean Sea Anemone Parazoanthus axinellae. J. Nat. Prod. 2009, 72, 1612–1615. [Google Scholar] [CrossRef] [PubMed]
 - Rocha, C.D. Bioactive compounds from Zoanthids (Cnidaria:Anthozoa): A brief review with emphasis on alkaloids. Int. Res. J. Biochem. Bioinform. 2013, 3, 1–6. [Google Scholar]
 - Deeds, J.R.; Handy, S.M.; White, K.D.; Reimer, J.D. Palytoxin Found in Palythoa sp. Zoanthids (Anthozoa, Hexacorallia) Sold in the Home Aquarium Trade. PLoS ONE 2011, 6, e18235. [Google Scholar] [CrossRef] [PubMed]
 - Babu, U.V.; Bhandari, S.P.S.; Garg, H.S. Hariamide, a Novel Sulfated Sphingolipid from a Zoanthus sp. of the Indian Coast. J. Nat. Prod. 1997, 60, 1307–1309. [Google Scholar] [CrossRef]
 - Kelecom, A. Zoanthosterol, a New Sterol from the Zoanthid Zoanthus sociatus (Hexacorallia, Zoanthidea). Bull. Soc. Chim. Belg. 1981, 90, 971–976. [Google Scholar] [CrossRef]
 - Suksamrarn, A.; Jankam, A.; Tarnchompoo, B.; Putchakarn, S. Ecdysteroids from a Zoanthus sp. J. Nat. Prod. 2002, 65, 1194–1197. [Google Scholar] [CrossRef] [PubMed]
 - Bo, M.; Lavorato, A.; Camillo, C.G.D.; Poliseno, A.; Baquero, A.; Bavestrello, G.; Irei, Y.; Reimer, J.D. Black Coral Assemblages from Machalilla National Park (Ecuador). Pac. Sci. 2012, 66, 63–81. [Google Scholar] [CrossRef]
 - Reimer, J.D.; Sinniger, F.; Hickman, C.P., Jr. Zoanthid diversity (Anthozoa: Hexacorallia) in the Galapagos Islands: A molecular examination. Coral Reefs 2008, 27, 641–654. [Google Scholar] [CrossRef]
 - Reimer, J.D.; Fujii, T. Four new species and one new genus of zoanthids (Cnidaria, Hexacorallia) from the Galápagos Islands. ZooKeys 2010, 42, 1–36. [Google Scholar] [CrossRef]
 - Guillen, P.O.; Jaramillo, K.B.; Genta-Jouve, G.; Sinniger, F.; Rodriguez, J.; Thomas, O.P. Terrazoanthines, 2-Aminoimidazole Alkaloids from the Tropical Eastern Pacific Zoantharian Terrazoanthus onoi. Org. Lett. 2017, 19, 1558–1561. [Google Scholar] [CrossRef] [PubMed]
 - Low, M.E.Y.; Sinniger, F.; Reimer, J.D. The order Zoantharia Rafinesque, 1815 (Cnidaria, Anthozoa: Hexacorallia): Supraspecific classification and nomenclature. ZooKeys 2016, 641, 1–80. [Google Scholar] [CrossRef] [PubMed]
 - Sinniger, F.; Reimer, J.D.; Pawlowski, J. The Parazoanthidae (Hexacorallia: Zoantharia) DNA taxonomy: Description of two new genera. Mar. Biodivers. 2009, 40, 57–70. [Google Scholar] [CrossRef]
 - Li, C.-J.; Schmitz, F.J.; Kelly-Borges, M. A New Lysine Derivative and New 3-Bromopyrrole Carboxylic Acid Derivative from Two Marine Sponges. J. Nat. Prod. 1998, 61, 387–389. [Google Scholar] [CrossRef] [PubMed]
 - Bathory, M.; Toth, I.; Szendrei, K.; Reisch, J. Ecdysteroids in Spinacia oleracea and Chenopodium bonus-henricus. Phytochemistry 1982, 21, 236–238. [Google Scholar] [CrossRef]
 - Jizba, J.; Herout, V.; Sorm, F. Polypodine B/A novel ecdysone-like substances from plant material. Tetrahedron Lett. 1967, 8, 5139–5143. [Google Scholar] [CrossRef]
 - Shigemori, H.; Sato, Y.; Kagata, T.; Kobayashi, J.I. Palythoalones A and B, New Ecdysteroids from the Marine Zoanthid Palythoa australiae. J. Nat. Prod. 1999, 62, 372–374. [Google Scholar] [CrossRef] [PubMed]
 - Searle, P.A.; Molinski, T.F. 4-Dehydroecdysterone, a New Ecdysteroid from the Zoanthid Parazoanthus sp. J. Nat. Prod. 1995, 58, 264–268. [Google Scholar] [CrossRef] [PubMed]
 - Ohta, S.; Guo, J.-R.; Hiraga, Y.; Suga, T. 24-Epi-pterosterone: A novel phytoecdysone from the roots of Athyrium yokoscense. Phytochemistry 1996, 41, 745–747. [Google Scholar] [CrossRef]
 - Chappell, G.S. Stereochemistry of some .DELTA.1-butenolide syntheses. J. Org. Chem. 1973, 38, 240–245. [Google Scholar] [CrossRef]
 - Cachet, N.; Genta-Jouve, G.; Ivanisevic, J.; Chevaldonne, P.; Sinniger, F.; Culioli, G.; Perez, T.; Thomas, O.P. Metabolomic profiling reveals deep chemical divergence between two morphotypes of the zoanthid Parazoanthus axinellae. Sci. Rep. 2015, 5, 8282. [Google Scholar] [CrossRef] [PubMed]
 - Pinheiro, M.L.B.; Filho, W.W.; Da Rocha, A.I.; Porter, B.; Wenkertt, E. Abutasterone, an ecdysone from abuta velutina. Phytochemistry 1983, 22, 2320–2321. [Google Scholar] [CrossRef]
 - Blunt, J.W.; Lane, G.A.; Munro, M.H.G.; Russell, G.B. The Absolute Configuration at C24 of the Ecdysteroids Dacrysterone, Pterosterone and Ponasterone C. Aust. J. Chem. 1979, 32, 779–782. [Google Scholar] [CrossRef]
 - Dinan, L. Studies in Natural Products Chemistry: Bioactive Natural Products (Part J); Atta-Ur_Rahman, Ed.; Elsevier B.V: Amsterdam, The Netherlands, 2003; Volume 29. [Google Scholar]
 - Dinan, L. Phytoecdysteroids: Biological aspects. Phytochemistry 2001, 57, 325–339. [Google Scholar] [CrossRef]
 - Okuzumi, K.; Hara, N.; Uekusa, H.; Fujimoto, Y. Structure elucidation of cyasterone stereoisomers isolated from Cyathula officinalis. Org. Biomol. Chem. 2005, 3, 1227–1232. [Google Scholar] [CrossRef] [PubMed]
 - Nakanishi, K.; Koreeda, M.; Goto, M. Insect hormones. XX. Ajugalactone, an insect-molting inhibitor, as tested by the Chilo dipping method. J. Am. Chem. Soc. 1970, 92, 7512–7513. [Google Scholar] [CrossRef]
 - Ványolós, A.; Simon, A.; Tóth, G.; Polgár, L.; Kele, Z.; Ilku, A.; Mátyus, P.; Báthori, M. C-29 Ecdysteroids from Ajuga reptans var. reptans. J. Nat. Prod. 2009, 72, 929–932. [Google Scholar] [CrossRef] [PubMed]
 - Riddiford, L.M. Biosynthesis, Metabolism and Mode of Action of Invertebrates Hormones; Hoffman, J.A., Porchet, M., Eds.; Springer: Berlin/Heidelberg, Germany; New York, NY, USA, 1984. [Google Scholar]
 - Báthori, M.; Girault, J.P.; Kalasz, H.; Mathé, I.; Dinan, L.N.; Lafont, R. Complex Phytoecdysteroid Cocktail of Silene otites (Caryophyllaceae). Arch. Insect Biochem. Physiol. 1999, 41, 1–8. [Google Scholar] [CrossRef]
 - Calcagno, M.P.; Camps, F.; Coll, J.; Melé, E.; Sánchez-Baeza, F. New phytoecdysteroids from roots of Ajuga reptans varieties. Tetrahedron 1996, 52, 10137–10146. [Google Scholar] [CrossRef]
 - Gao, F.; Yang, Z.-K.; Chen, Q.-H.; Chen, X.-G.; Wang, F.-P. A novel D-ring modified taxoid: Synthesis and biological evaluation of a [gamma]-lactone analogue of docetaxel. Org. Biomol. Chem. 2012, 10, 361–366. [Google Scholar] [CrossRef] [PubMed]
 - Audoin, C.; Bonhomme, D.; Ivanisevic, J.; de la Cruz, M.; Cautain, B.; Monteiro, M.C.; Reyes, F.; Rios, L.; Perez, T.; Thomas, O.P. Balibalosides, an original family of glycosylated sesterterpenes produced by the Mediterranean sponge Oscarella balibaloi. Mar. Drugs 2013, 11, 1477–1489. [Google Scholar] [CrossRef] [PubMed]
 



| No. | 1 | 2 | 3 | 4 | ||||
|---|---|---|---|---|---|---|---|---|
| δH, Mult. (J in Hz) | δC | δH, Mult. (J in Hz) | δC | δH, Mult. (J in Hz) | δC | δH, Mult. (J in Hz) | δC | |
| 1a 1b  | 1.87, d (15.0) | 38.4 | 1.85, d (15.0) | 38.4 | 2.11, m | 41.9 | 2.13, m | 41.9 | 
| 1.71, d (15.0) | 1.70, d (15.0) | 1.09, d (15.0) | 1.10, d (15.0) | |||||
| 2 | - | 74.2 | - | 74.2 | - | 74.0 | - | 74.0 | 
| 3 | 4.50, br d (4.5) | 82.5 | 4.49, br d (4.5) | 82.5 | 4.40, br s | 82.0 | 4.40, br s | 82.1 | 
| 4a 4b  | 2.35, dd (16.0, 4.5) | 31.9 | 2.35, m | 31.9 | 2.13, m | 25.1 | 2.11, m | 25.8 | 
| 1.91, m | 1.92, m | 1.93, m | 1.93, m | |||||
| 5 | - | 77.8 | - | 77.8 | 2.10, m | 52.1 | 2.11, m | 52.1 | 
| 6 | - | 203.9 | - | 203.9 | - | 205.3 | - | 203.7 | 
| 7 | 5.88, d (2.5) | 120.1 | 5.86, d (2.5) | 120.1 | 5.83, d (2.0) | 121.6 | 5.83, d (2.0) | 121.6 | 
| 8 | - | 169.2 | 169.2 | - | 169.3 | - | 169.2 | |
| 9 | 3.91, m | 39.2 | 3.90, m | 39.2 | 3.80, ddd (11.5, 6.5, 2.0) | 35.7 | 3.80, br dd (11.5, 6.5) | 35.7 | 
| 10 | - | 42.4 | - | 42.4 | - | 37.0 | - | 37.0 | 
| 11a 11b  | 1.93, m | 22.3 | 1.92, m | 22.3 | 1.93, m | 21.4 | 1.93, m | 21.4 | 
| 1.68, m | 1.68, m | 1.65, m | 1.64, m | |||||
| 12a 12b  | 2.14, td (13.0, 4.5) | 32.5 | 2.12, td (13.0, 4.5) | 32.6 | 2.15, m | 32.5 | 2.14, m | 32.5 | 
| 1.83, td (13.0, 4.5) | 1.81, m | 1.84, m | 1.84, dd (13.5, 3.5) | |||||
| 13 | - | 48.7 | - | 48.6 | - | 48.8 | - | 48.7 | 
| 14 | - | 84.9 | - | 84.9 | - | 85.1 | - | 85.0 | 
| 15a 15b  | 1.97 | 31.9 | 1.94, m | 31.9 | 1.98, m | 31.9 | 1.93, m | 31.9 | 
| 1.59, t (10.0) | 1.59, m | 1.59, t (10.0) | 1.61, m | |||||
| 16a 16b  | 1.98, m | 21.5 | 1.97, m | 21.5 | 1.98, m | 21.5 | 1.99, m | 21.5 | 
| 1.73, m | 1.69, m | 1.73, m | 1.71, m | |||||
| 17 | 2.39, m | 50.4 | 2.35, m | 50.4 | 2.39, t (8.6) | 50.5 | 2.34, m | 50.4 | 
| 18 | 0.90, s | 18.1 | 0.88, s | 18.1 | 0.89, s | 18.1 | 0.89, s | 18.1 | 
| 19 | 0.86, s | 16.7 | 0.85, s | 16.7 | 0.93, s | 24.1 | 0.93, s | 24.1 | 
| 20 | - | 77.9 | - | 77.9 | - | 77.9 | - | 77.8 | 
| 21 | 1.19, s | 21.0 | 1.16, s | 21.0 | 1.19, s | 21.0 | 1.21, s | 20.9 | 
| 22 | 3.32, m | 78.4 | 3.33, m | 78.0 | 3.33, m | 78.4 | 3.59, m | 77.6 | 
| 23a 23b  | 1.67, m | 27.3 | 1.56, m | 30.5 | 1.66, m | 27.3 | 1.71, m | 35.7 | 
| 1.28, m | 1.21, m | 1.28, m | 1.34, m | |||||
| 24a 24b  | 1.80, m | 42.4 | 1.46, m | 37.7 | 1.80, td (12.5, 4.5) | 42.4 | 3.59, m | 77.5 | 
| 1.42, td (12.5, 4.5) | 1.22, m | 1.43, td (12.5, 4.5) | ||||||
| 25 | 71.3 | 1.56, m | 29.2 | 71.3 | 1.69, m | 34.1 | ||
| 26 | 1.19, s | 28.9 | 0.91, d (6.5) | 23.4 | 1.19, s | 28.9 | 0.95, d (7.0) | 19.4 | 
| 27 | 1.20, s | 29.7 | 0.90, d (6.5) | 22.8 | 1.20, s | 29.7 | 0.91, d (7.0) | 17.0 | 
| 1′ | 176.3 | 176.2 | 176.1 | 176.0 | ||||
| 2′a 2′b  | 2.74, d (17.0) | 47.5 | 2.72, d (17.0) | 47.5 | 2.71, d (16.5) | 47.1 | 2.70, d (16.5) | 47.4 | 
| 2.56, d (17.0) | 2.56, d (17.0) | 2.50, d (16.5) | 2.49, d (16.5) | |||||
© 2018 by the authors. Licensee MDPI, Basel, Switzerland. This article is an open access article distributed under the terms and conditions of the Creative Commons Attribution (CC BY) license (http://creativecommons.org/licenses/by/4.0/).
Share and Cite
Guillen, P.O.; Calabro, K.; Jaramillo, K.B.; Dominguez, C.; Genta-Jouve, G.; Rodriguez, J.; Thomas, O.P. Ecdysonelactones, Ecdysteroids from the Tropical Eastern Pacific Zoantharian Antipathozoanthus hickmani. Mar. Drugs 2018, 16, 58. https://doi.org/10.3390/md16020058
Guillen PO, Calabro K, Jaramillo KB, Dominguez C, Genta-Jouve G, Rodriguez J, Thomas OP. Ecdysonelactones, Ecdysteroids from the Tropical Eastern Pacific Zoantharian Antipathozoanthus hickmani. Marine Drugs. 2018; 16(2):58. https://doi.org/10.3390/md16020058
Chicago/Turabian StyleGuillen, Paul O., Kevin Calabro, Karla B. Jaramillo, Cristobal Dominguez, Grégory Genta-Jouve, Jenny Rodriguez, and Olivier P. Thomas. 2018. "Ecdysonelactones, Ecdysteroids from the Tropical Eastern Pacific Zoantharian Antipathozoanthus hickmani" Marine Drugs 16, no. 2: 58. https://doi.org/10.3390/md16020058
APA StyleGuillen, P. O., Calabro, K., Jaramillo, K. B., Dominguez, C., Genta-Jouve, G., Rodriguez, J., & Thomas, O. P. (2018). Ecdysonelactones, Ecdysteroids from the Tropical Eastern Pacific Zoantharian Antipathozoanthus hickmani. Marine Drugs, 16(2), 58. https://doi.org/10.3390/md16020058
        
