Preparation of Chito-Oligomers by Hydrolysis of Chitosan in the Presence of Zeolite as Adsorbent
Abstract
:1. Introduction
2. Results and Discussion
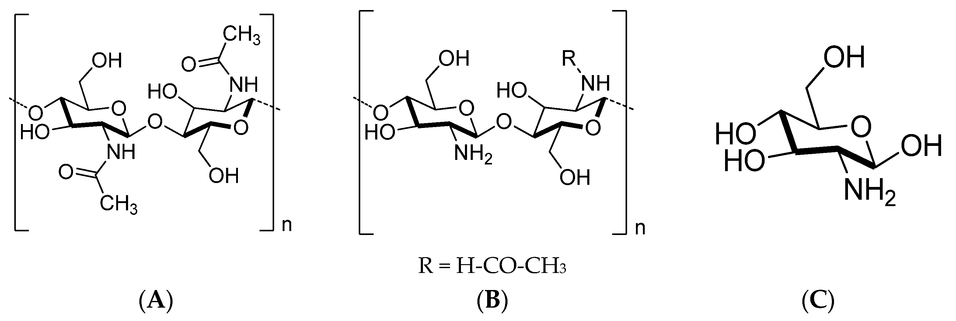
2.1. Hydrolysis of Chitosan to Its Chito-Oligomers
2.2 Characterization of Chito-Oligomers
2.2.1. DSC Study
2.2.2. Mass Spectra
2.2.3 Recrystallization of Chito-Oligomers
3. Experimental Section
3.1. Materials
3.2. Methods
3.2.1. Hydrolysis of Chitosan
3.2.2. The Ninhydrin Test
3.2.3. The % Loss upon Ignition Measurement
3.2.4. DSC Measurements
3.2.5. Mass Spectra
3.2.6. Recrystallization Using Ammonia
3.2.7. Recrystallization Using Ethanol and Ammonia
4. Conclusions
Acknowledgments
Author Contributions
Conflicts of Interest
References
- Gopalakrishnan, L.; Ramana, L.N.; Sethuraman, S.; Krishnan, U.M. Ellagic acid encapsulated chitosan nanoparticles as anti-hemorrhagic agent. Carbohydr. Polym. 2014, 111, 215–221. [Google Scholar] [CrossRef] [PubMed]
- Ferris, C.; Casas, M.; Lucero, M.J.; de Paz, M.V.; Jimenez-Castellanos, M.R. Synthesis and characterization of a novel chitosan-N-acetyl-homocysteine thiolactone polymer using MES buffer. Carbohydr. Polym. 2014, 111, 125–132. [Google Scholar] [CrossRef] [PubMed]
- Thakur, V.K.; Thakur, M.K.; Gupta, R.K. Rapid synthesis of graft copolymers from natural cellulose fibers. Carbohydr. Polym. 2013, 98, 820–828. [Google Scholar] [CrossRef] [PubMed]
- Stefan, J.; Lorkowska-Zawicka, B.; Kaminski, K.; Szczubialka, K.; Nowakowska, M.; Korbut, R. The current view on biological potency of cationically modified chitosan. J. Physiol. Pharmacol. 2014, 65, 341–347. [Google Scholar] [PubMed]
- Jiang, T.; Deng, M.; James, R.; Nair, L.S.; Laurencin, C.T. Micro- and nanofabrication of chitosan structures for regenerative engineering. Acta Biomater. 2014, 10, 1632–1645. [Google Scholar] [CrossRef] [PubMed]
- Lai, G.J.; Shalumon, K.T.; Chen, S.H.; Chen, J.P. Composite chitosan/silk fibroin nanofibers for modulation of osteogenic differentiation and proliferation of human mesenchymal stem cells. Carbohydr. Polym. 2014, 111, 288–297. [Google Scholar] [CrossRef] [PubMed]
- Lai, P.; Daear, W.; Lobenberg, R.; Prenner, E.J. Overview of the preparation of organic polymeric nanoparticles for drug delivery based on gelatine, chitosan, poly(d,l-lactide-co-glycolic acid) and polyalkylcyanoacrylate. Colloids Surf. B Biointerfaces 2014, 118, 154–163. [Google Scholar] [CrossRef] [PubMed]
- Chen, X.; Chew, S.L.; Kerton, F.M.; Yan, N. Direct conversion of chitin into a N-containing furan derivative. Green Chem. 2014, 16, 2204–2212. [Google Scholar] [CrossRef]
- Chen, X.; Liu, Y.; Kerton, F.M.; Yan, N. Conversion of chitin and N-acetyl-d-glucosamine into a N-containing furan derivative in ionic liquids. RSC Adv. 2015, 5, 20073–20080. [Google Scholar] [CrossRef]
- Bobbink, F.D.; Zhang, J.; Pierson, Y.; Chen, X.; Yan, N. Conversion of chitin derived N-acetyl-d-glucosamine (NAG) into polyols over transition metal catalysts and hydrogen in water. Green Chem. 2015, 17, 1024–1031. [Google Scholar] [CrossRef]
- Pierson, Y.; Chen, X.; Bobbink, F.D.; Zhang, J.; Yan, N. Acid-catalyzed chitin liquefaction in ethylene glycol. ACS Sustain. Chem. Eng. 2014, 2, 2081–2089. [Google Scholar] [CrossRef]
- Gao, Y.; Chen, X.; Zhang, J.; Yan, N. Chitin-derived mesoporous, nitrogen-containing carbon for heavy-metal removal and styrene epoxidation. ChemPlusChem 2015, 80, 1556–1564. [Google Scholar] [CrossRef]
- Yan, N.; Chen, X. Don’t waste seafood waste. Nature 2015, 524, 155–157. [Google Scholar] [CrossRef] [PubMed]
- Jayakumar, R.; Menon, D.; Manzoor, K.; Nair, S.V.; Tamura, H. Biomedical applications of chitin and chitosan based nanomaterials—A short review. Carbohydr. Polym. 2010, 82, 227–232. [Google Scholar] [CrossRef]
- Aam, B.B.; Heggset, E.B.; Norberg, A.L.; Sorlie, M.; Varum, K.M.; Eijsink, V.G. Production of chitooligosaccharides and their potential applications in medicine. Mar. Drugs 2010, 8, 1482–1517. [Google Scholar] [CrossRef] [PubMed]
- Trombotto, S.; Ladaviere, C.; Delolme, F.; Domard, A. Chemical preparation and structural characterization of a homogeneous series of chitin/chitosan oligomers. Biomacromolecules 2008, 9, 1731–1738. [Google Scholar] [CrossRef] [PubMed]
- Muzzarelli, R.A.A. Chitins and chitosans for the repair of wounded skin, nerve, cartilage and bone. Carbohydr. Polym. 2009, 76, 167–182. [Google Scholar] [CrossRef]
- Xia, W.; Liu, P.; Zhang, J.; Chen, J. Biological activities of chitosan and chitooligosaccharides. Food Hydrocoll. 2011, 25, 170–179. [Google Scholar] [CrossRef]
- Li, K.; Xing, R.; Liu, S.; Qin, Y.; Li, B.; Wang, X.; Li, P. Separation and scavenging superoxide radical activity of chitooligomers with degree of polymerization 6–16. Int. J. Biol. Macromol. 2012, 51, 826–830. [Google Scholar] [CrossRef] [PubMed]
- Einbu, A.; Varum, K.M. Depolymerization and de-N-acetylation of chitin oligomers in hydrochloric acid. Biomacromolecules 2007, 8, 309–314. [Google Scholar] [CrossRef] [PubMed]
- Tian, M.; Chen, F.; Ren, D.; Yu, X.; Zhang, X.; Zhong, R.; Wan, C. Preparation of a series of chitooligomers and their effect on hepatocytes. Carbohydr. Polym. 2010, 79, 137–144. [Google Scholar] [CrossRef]
- Cabrera, J.C.; Van Cutsem, P. Preparation of chitooligosaccharides with degree of polymerization higher than 6 by acid or enzymatic degradation of chitosan. Biochem. Eng. J. 2005, 25, 165–172. [Google Scholar] [CrossRef]
- Domard, A.; Cartier, N. Glucosamine oligomers: 1. Preparation and characterization. Int. J. Biol. Macromol. 1989, 11, 297–302. [Google Scholar] [CrossRef]
- Tommeraas, K.; Varum, K.M.; Christensen, B.E.; Smidsrod, O. Preparation and characterisation of oligosaccharides produced by nitrous acid depolymerisation of chitosans. Carbohydr. Res. 2001, 333, 137–144. [Google Scholar] [CrossRef]
- Defaye, J.; Garcia Fernandez, J.M. Protonic reactivity of sucrose in anhydrous hydrogen fluoride. Carbohydr. Res. 1994, 251, 17–31. [Google Scholar] [CrossRef]
- Nordtveit, R.J.; Vårum, K.M.; Smidsrød, O. Degradation of fully water-soluble, partially N-acetylated chitosans with lysozyme. Carbohydr. Polym. 1994, 23, 253–260. [Google Scholar] [CrossRef]
- Aly, M.R.; Ibrahim, E.S.; El Ashry, E.S.; Schmidt, R.R. Synthesis of chitotetraose and chitohexaose based on dimethylmaleoyl protection. Carbohydr. Res. 2001, 331, 129–142. [Google Scholar] [CrossRef]
- Kuyama, H.; Nakahara, Y.; Nukada, T.; Ito, Y.; Nakahara, Y.; Ogawa, T. Stereocontrolled synthesis of chitosan dodecamer. Carbohydr. Res. 1993, 243, C1–C7. [Google Scholar] [CrossRef]
- Yin, H.; Du, Y.; Zhang, J. Low molecular weight and oligomeric chitosans and their bioactivities. Curr. Top. Med. Chem. 2009, 9, 1546–1559. [Google Scholar] [CrossRef] [PubMed]
- Jung, W.; Park, R. Bioproduction of chitooligosaccharides: Present and perspectives. Mar. Drugs 2014, 12, 5328–5356. [Google Scholar] [CrossRef] [PubMed]
- Roth, W.J. Chapter 7 Synthesis of delaminated and pillared zeolitic materials. Stud. Surf. Sci. Catal. 2007, 168, 221–239. [Google Scholar]
- Sebastián, V.; Casado, C.; Coronas, J. Special Applications of Zeolites. In Zeolites and Catalysis; Wiley-VCH Verlag: Weinheim, Germany, 2010; pp. 389–410. [Google Scholar]
- Corma, A. Inorganic solid acids and their use in acid-catalyzed hydrocarbon reactions. Chem. Rev. 1995, 95, 559–614. [Google Scholar] [CrossRef]
- Bejblova, M.; Prochazkova, D.; Cejka, J. Acylation reactions over zeolites and mesoporous catalysts. ChemSusChem 2009, 2, 486–499. [Google Scholar] [CrossRef] [PubMed]
- Čejka, J.; Wichterlová, B. Acid-catalyzed synthesis of mono- and dialkyl benzenes over zeolites: Active sites, zeolite topology, and reaction mechanisms. Catal. Rev. 2002, 44, 375–421. [Google Scholar] [CrossRef]
- Perego, C.; Ingallina, P. Combining alkylation and transalkylation for alkylaromatic production. Green Chem. 2004, 6, 274–279. [Google Scholar] [CrossRef]
- Zones, S.I. Translating new materials discoveries in zeolite research to commercial manufacture. Micropor. Mesopor. Mater. 2011, 144, 1–8. [Google Scholar] [CrossRef]
- Domard, A.; Cartier, N. Glucosamine oligomers: 4. Solid state-crystallization and sustained dissolution. Int. J. Biol. Macromol. 1992, 14, 100–106. [Google Scholar] [CrossRef]
- Lu, R.; Tangbo, H.; Wang, Q.; Xiang, S. Properties and characterization of modified HZSM-5 zeolites. J. Nat. Gas Chem. 2003, 12, 56–62. [Google Scholar]
- Zhu, X.; Lobban, L.; Mallinson, R.; Resasco, D. Tailoring the mesopore structure of HZSM-5 to control product distribution in the conversion of propanal. J. Catal. 2010, 271, 88–98. [Google Scholar] [CrossRef]
- Al-Dughaither, A.; de Lasa, H. HZSM-5 Zeolites with different SiO2/Al2O3 ratios: Characterization and NH3 desorption kinetics. Ind. Eng. Chem. Res. 2014, 53, 15303–15316. [Google Scholar] [CrossRef]
- Gayubo, A.; Alonso, A.; Valle, B.; Aguayo, A.; Bilbao, J. Selective production of olefins from bioethanol on HZSM-5 zeolites catalysts treated with NaOH. Appl. Catal. B Environ. 2010, 97, 299–306. [Google Scholar] [CrossRef]
- Zhou, C.; Zhu, J. Adsorption of nitrosamines in acidic solution by zeolites. Chemosphere 2005, 58, 109–114. [Google Scholar] [CrossRef] [PubMed]
- Beyer, H. Dealumination techniques for zeolites. In Molecular Sieves; Springer-Verlag: Berlin, Germany, 2002; Volume 3, pp. 203–255. [Google Scholar]
- Ravenelle, R.; Schübler, F.; D’Amico, A.; Danilina, N.; van Bokhoven, J.; Lercher, J.; Jones, C.; Sievers, C. Stability of zeolites in hot liquid water. J. Phys. Chem. 2010, 114, 19582–19595. [Google Scholar] [CrossRef]
- Mourya, V.K.; Inamdar, N.N.; Tiwari, A. Carboxymethyl chitosan and its applications. Adv. Mater. Lett. 2010, 1, 11–33. [Google Scholar] [CrossRef]





| DA of Starting Chitosan | Reaction Conditions | Final Product | Characterization | Reference |
|---|---|---|---|---|
| DA ~0% | 72 °C, 1.5 h | DP = 2–12 | Mass spectroscopy | [16] |
| DA < 10% | 70 °C, 4 h | DP = 6–16 | HPLC-light scattering detector | [19] |
| DA = 12% | 72 °C, 0.5 h | DP = 3–16 | Mass spectroscopy | [22] |
| DA ~0% | 72 °C, 0.5–3 h | DP < 40 | Size exclusion chromatography-refractive index detector | [23] |
| Property | HZSM-5 * | Molecular Sieves ** Beads 0.3 nm | Molecular Sieves ** Beads 1.0 nm |
|---|---|---|---|
| Pore diameter (Å) | 5 | 3 | 10 |
| Composition | Aluminosilicate | Potassium sodium aluminum silicate | Sodium aluminum silicate |
| Na < 700 ppm | |||
| Main application | Petroleum industry-hydrocarbon isomerization | Water adsorption | Chloroform, carbon tetrachloride, benzene adsorption |
| SiO2/Al2O3 molar ratio | 400–570 | 2 | 3 |
| 50 [39] | |||
| 76 [40] | |||
| Total acid density | 0.2–0.26 [40] | - | - |
| 0.11–0.64 [41] | |||
| BET total surface area (m2/g) | 300 | 800 | |
| 364 [42] | |||
| 389 [39] | |||
| 392 [40] | |||
| 826–1142 [41] | |||
| Micropore surface area (m2/g) | 303 [39] | - | - |
| 359 [40] | |||
| 728–1036 [41] | |||
| Mesopore surface area (m2/g) | 85 [39] | - | - |
| 33 [40] | |||
| 98–106 [41] | |||
| Total pore volume (cm3/g) | 0.22 [40] | 0.30 | |
| 0.19–0.25 [41] | |||
| Micropore volume (cm3/g) | 0.09 [42] | - | - |
| 0.12 [39] | |||
| 0.16 [40] | |||
| 0.10–0.14 [41] | |||
| Mesopore volume (cm3/g) | 0.12 [42] | - | - |
| 0.04 [39] | |||
| 0.06 [40] | |||
| 0.09–0.1 [41] | |||
| Sample | Product Number | Solubility | Absorbance of Ninhydrin Test | % Loss Upon Ignition | DSC Peaks (°C) |
|---|---|---|---|---|---|
| Glucosamine | + | 2.6 | 68 | 210–220 | |
| Chitosan | − | 0.003 | 75 | 350 | |
| HCl(5Å-Z)-Acid retrieval | 1 (S3) | + | 2.9 | 68 | 200–230 |
| 230–250 | |||||
| HCl(5Å-Z)-Base retrieval | 1 (S2) | + | 0.004 | 13 | No peaks were detected |
| HCl(5Å-Z)-First filtrate | 1 (S1) | − | 0.014 | 30 | Not determined |
| HCl(10Å-Z)-Acid retrieval | 2 (S3) | + | 2.3 | 67 | 110–120 |
| 180–190 | |||||
| 230–250 | |||||
| HCl(10Å-Z)-Base retrieval | 2 (S2) | + | 0.011 | 21 | No peaks were detected |
| HCl(3Å-Z)-Acid retrieval | 3 (S3) | + | 2.4 | 81 | 110–140 |
| 150–160 | |||||
| 180 | |||||
| 220–250 | |||||
| HCl(3Å-Z)-Base retrieval | 3 (S2) | + | 0.006 | 10 | No peaks were detected |
| HCl-Acid retrieval | 4 (S3) | + | 240–250 |
| Sample | Recrystallization Reagents | Solubility | % Yield | DSC Peaks (°C) |
|---|---|---|---|---|
| 1 (S3/5 Å-Zeolite) | NH3 | + | 47 | |
| 1 (S3/5 Å-Zeolite) | Ethanol-NH3 | + | 38 | 220, 240, 280 |
| 2 (S3/10 Å-Zeolite) | NH3 | + | 80 | 200–210 (NH4Cl) |
| 2 (S3/10 Å-Zeolite) | Ethanol-NH3 | + | 96 | 220 |
| 3 (S3/3 Å-Zeolite) | NH3 | + | 68 | 180–200 (NH4Cl) |
| 3 (S3/3 Å-Zeolite) | Ethanol-NH3 | + | 56 | 220 |
| 4 (S3 No zeolite) | NH3 | + | 12 | NH4Cl |
| 4 (S3 No zeolite) | Ethanol-NH3 | + | 6.0 | NH4Cl |
© 2016 by the authors; licensee MDPI, Basel, Switzerland. This article is an open access article distributed under the terms and conditions of the Creative Commons Attribution (CC-BY) license (http://creativecommons.org/licenses/by/4.0/).
Share and Cite
Ibrahim, K.A.; El-Eswed, B.I.; Abu-Sbeih, K.A.; Arafat, T.A.; Al Omari, M.M.H.; Darras, F.H.; Badwan, A.A. Preparation of Chito-Oligomers by Hydrolysis of Chitosan in the Presence of Zeolite as Adsorbent. Mar. Drugs 2016, 14, 43. https://doi.org/10.3390/md14080043
Ibrahim KA, El-Eswed BI, Abu-Sbeih KA, Arafat TA, Al Omari MMH, Darras FH, Badwan AA. Preparation of Chito-Oligomers by Hydrolysis of Chitosan in the Presence of Zeolite as Adsorbent. Marine Drugs. 2016; 14(8):43. https://doi.org/10.3390/md14080043
Chicago/Turabian StyleIbrahim, Khalid A., Bassam I. El-Eswed, Khaleel A. Abu-Sbeih, Tawfeeq A. Arafat, Mahmoud M. H. Al Omari, Fouad H. Darras, and Adnan A. Badwan. 2016. "Preparation of Chito-Oligomers by Hydrolysis of Chitosan in the Presence of Zeolite as Adsorbent" Marine Drugs 14, no. 8: 43. https://doi.org/10.3390/md14080043
APA StyleIbrahim, K. A., El-Eswed, B. I., Abu-Sbeih, K. A., Arafat, T. A., Al Omari, M. M. H., Darras, F. H., & Badwan, A. A. (2016). Preparation of Chito-Oligomers by Hydrolysis of Chitosan in the Presence of Zeolite as Adsorbent. Marine Drugs, 14(8), 43. https://doi.org/10.3390/md14080043

