Next Article in Journal
Recombinant Expression of a Modified Shrimp Anti-Lipopolysaccharide Factor Gene in Pichia pastoris GS115 and Its Characteristic Analysis
Previous Article in Journal
Anti-Dengue Virus Constituents from Formosan Zoanthid Palythoa mutuki
 
 
Font Type:
Arial Georgia Verdana
Font Size:
Aa Aa Aa
Line Spacing:
Column Width:
Background:
Article

Cubitanoids and Cembranoids from the Soft Coral Sinularia nanolobata

1
School of Pharmacy, China Medical University, Taichung 404, Taiwan
2
Chinese Medicine Research and Development Center, China Medical University Hospital, Taichung 404, Taiwan
3
Department of Marine Biotechnology and Resources, National Sun Yat-sen University, Kaohsiung 804, Taiwan
4
Ph.D. Program in Translational Medicine, College of Medicine and Ph.D. Program in Toxicology, College of Pharmacy, Kaohsiung Medical University, Kaohsiung 807, Taiwan
5
Graduate Institute of Natural Products, Kaohsiung Medical University, Kaohsiung 807, Taiwan
6
Institute of Oceanography, National Taiwan University, Taipei 112, Taiwan
7
Center for Molecular Medicine, China Medical University Hospital, Taichung 404, Taiwan
8
Department of Medical Research, China Medical University Hospital, China Medical University, Taichung 404, Taiwan
9
Frontier Center for Ocean Science and Technology, National Sun Yat-sen University, Kaohsiung 804, Taiwan
*
Author to whom correspondence should be addressed.
These authors contributed equally to this work.
Mar. Drugs 2016, 14(8), 150; https://doi.org/10.3390/md14080150
Submission received: 21 June 2016 / Revised: 19 July 2016 / Accepted: 29 July 2016 / Published: 9 August 2016

Abstract

:
Two new cubitanoids, nanoculones A and B (1 and 2), and three new cembranoids, nanolobols A–C (35), as well as six known compounds, calyculone I (6), sinulariuol A (7), sinulariols C, D, H, and J (811), were isolated from the soft coral Sinularia nanolobata, collected off the coast of the eastern region of Taiwan. Their structures were elucidated on the basis of extensive spectroscopic analysis. Cytotoxicity of compounds 111 was evaluated. The nitric oxide (NO) inhibitory activity of selected compounds was further measured by assay of lipopolysaccharide (LPS)-stimulated NO production in activated RAW264.7 cells. The results showed that none of 111 exhibited cytotoxicity against the tested cancer cell lines, whereas compound 8 was found to significantly reduce NO production.

Graphical Abstract

1. Introduction

Cubitane-type diterpenoids are a rare group of compounds that are isolated from termites, soft corals, and plants [1]. The first cubitanoid, (+)-cubitene, was discovered from the secretion gland of the termite Cubitermes umbratus [2]. Afterward, an array of cubitanoids, namely, calyculones A–I, were found from soft corals of genus Eunicea [3,4,5]. In some plants, cubitene was detected by gas chromatography–mass spectrometry (GC/MS) from their volatile oils [6]. In the aforementioned three sources, cubitanoids were usually found in company with cembranoids [1], which represent a large group of compounds in soft coral [7,8,9,10]. The origin of cubitanoids was speculated to be associated with the co-occurring cembranoids based on a photochemical interconversion [4].
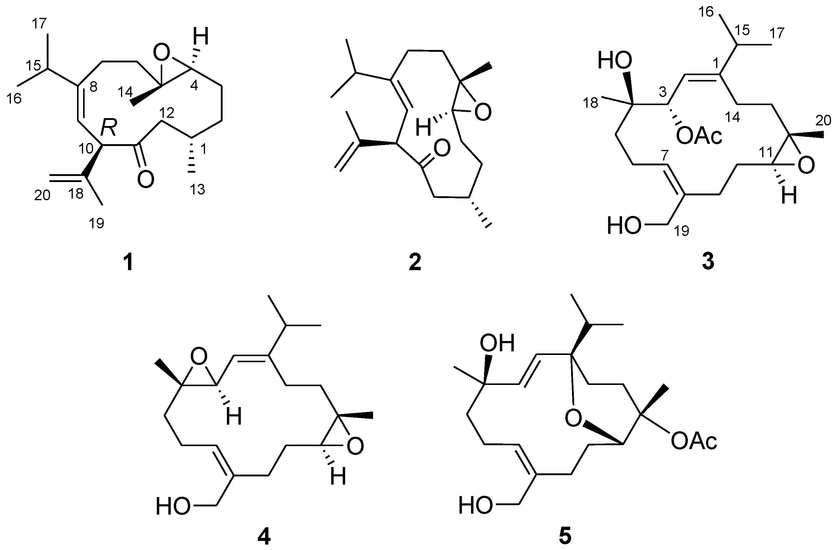
Our previous study on the soft coral Sinularia nanolobata (Verseveldt), collected off the coast of the most southern tip of Taiwan, resulted in the characterization of caryophyllane- and xeniaphyllane-type terpenoids [11]. Another collection of the same species off the coast of northern region of Taiwan led to the isolation of a novel C18 terpenoid [12]. Herein, we report the investigation on the chemical constituents of S. nanolobata, collected off the coast of the eastern region of Taiwan, which led to the isolation of two new cubitanoids, nanoculones A and B (1 and 2), three new cembranoids, nanolobols A–C (35) (Figure 1), as well as six known compounds (611). The cytotoxicity of compounds 111 against cancer cell lines P388 (murine leukemia), K562 (human erythromyeloblastoid leukemia), and HT-29 (human colon adenocarcinoma) was evaluated. In addition, the nitric oxide inhibitory activities of compounds 14, 68, 10, and 11 were further evaluated by assay of lipopolysaccharide (LPS)-stimulated NO production in activated RAW264.7 cells.

2. Results and Discussion

The EtOH extract of S. nanolobata was concentrated and partitioned with EtOAc, successively. The resulting EtOAc layer was separated repeatedly by column chromatography and High-performance liquid chromatography (HPLC) to afford five new diterpenoids (15) (Figure 1) and six known compounds (611). The known compounds were identified as calyculone I (6) [5], sinulariuol A (7) [13], sinulariols C, D, H, and J (811) [13], by comparison of their spectroscopic data with those reported in the literature. A single-crystal X-ray analysis was performed on 6, which led to the establishment of the absolute configuration of 6 (Figure 2).
Inspection of the high resolution electrospray ionization mass spectroscopy (HRESIMS) (Supplementary Materials, Figure S1) and 13C nuclear magnetic resonance (NMR) spectroscopic data allowed the establishment of a molecular formula of C20H32O2 for 1, requiring five degrees of unsaturation. The IR spectrum showed the presence of carbonyl group (1710 cm−1). The NMR spectra of 1 (Figures S2 and S3) displayed signals attributable to a ketone [δC 209.7 (qC)], a trisubstituted double bond [δC 147.1 (qC), δC 120.4 (CH); δH 5.45 (1H, d, J = 10.0 Hz)], a disubstituted double bond [δC 143.0 (qC), δC 112.6 (CH2); δH 4.85 and 4.80 (each 1H, s)], and a trisubstituted epoxide [δC 62.3 (qC), δC 62.5 (CH); δH 2.77 (1H, dd, J = 9.2, 3.6 Hz)] (Table 1), which accounted for four degrees of unsaturation and two oxygen atoms in the molecular formula. Thus, the structure of 1 should contain an additional ring. The above data, in conjunction with a highly deshielded proton at δH 4.21 (1H, d, J = 10.0 Hz, H-10) coupled by the olefinic H-9, were reminiscent of a cubitane skeleton [1,2,3,4,5].
On the basis of H–H correlation spectroscopy (COSY) correlations of H2-12/H-1/H2-2/H2-3/H-4, H-1/H3-13, H2-6/H2-7, H3-16/H-15/H3-17, and H-9/H-10, the spin systems were established as shown in Figure 3. An isopropyl was deduced to be attached at C-8 according to the heteronuclear multiple bond correlation (HMBC) correlations from H3-16 (or H3-17) to C-15, C-17 (or C-16), and C-8. A propen-2-yl fragment was assigned at C-10 based on the HMBC correlations from H3-19 to C-10, C-18, and C-20. The methyl-substituted epoxide was assigned according to the HMBC correlations from H3-14 to C-4, C-5, and C-6. Accordingly, the planar structure of 1 was established and found to be the same as that of calyculone I (6) [5].
The nuclear Overhauser effect spectroscopy (NOESY) experiment was performed and its correlations were interpreted for the elucidation of the relative configuration of 1 (Figure 4). An NOE correlation between H-9 and H3-16 suggested an E geometry for C-8/C-9 double bond. The absence of an NOE cross peak between H3-14 and H-4 along with the presence of a correlation between H-4 and H-6b conducted to assign a trans geometry for 4,5-epoxide. The observed NOE correlations of H-10/H-4, H-4/H-7a and H-10/H-7a suggested the same orientation of H-10 and H-4 in the molecule, whereas a correlation of H3-14/H-1 disclosed that H-1 is oriented opposite H-10. Thus, 1 was deduced as a C-10 epimer of calyculone I (6).
Analysis of the 13C NMR and HRESIMS spectral data of 2 reveal the same molecular formula as that of 1 (Figures S4 and S6). The interpretation of NMR data and COSY and HMBC correlations (Figure 3) again showed that it is possibly a diastereomer or geometrical isomer of 1. The NOE experiment allowed the relative configuration of 2 to be defined. As shown in Figure 4, the NOE correlation of H-10/H-15 as well as correlations of H-4/H3-16 and H3-16/H-7a conducted to assign an 8Z olefin and a trans epoxide. Moreover, correlations of H-1/H3-14 and H3-14/H-9 suggested that H-1 and H3-14 were oriented on opposite face to H-10. Consequently, 2 was determined as an 8Z epimer of 1.
The HRESIMS of 3 displayed a sodiated molecular ion peak at m/z 403.2456 [M + Na]+ (Figure S7), indicative of a molecular formula of C22H36O5, suggesting five degrees of unsaturation. Its IR spectrum showed characteristic absorptions due to the presence of hydroxy (3437 cm−1) and ester carbonyl (1732 cm−1) groups. The latter was determined as an acetoxy functionality based on the NMR resonances at δC 170.9 (C), δC 21.4 (CH3), and δH 2.07 (Table 2). The 13C NMR spectrum (Figure S9) also showed characteristic signals composed of two olefins [δC 151.8 (C), 137.7 (C), 131.7 (CH), and 118.2 (CH)], an epoxide [δC 62.2 (CH) and 61.6 (C)], and three oxygen-bearing carbons [δC 74.8 (CH), 74.0 (C), and 59.5 (CH2)]. The above functionalities accounted for four of the five degrees of unsaturation, implying 3 to be monocyclic. Except for the acetyl group, its NMR data resemble those of sinulariol L [13], while 2D NMR interpretation revealed that 3 was a 3-O-acetyl analogue of sinulariol L. Analysis of NOE correlations of 3 ascertained that they shared the same relative configurations at C-3, C-4, C-11, and C-12, as well as the same geometries of C-1 and C-7 double bonds.
The molecular formula of 4 was determined as C20H32O3 by the analysis of its HRESIMS and 13C NMR spectrum (Figures S10 and S12). Its NMR spectroscopic data (Table 2) also were found to be mostly similar to those of sinulariol L [13]. Inspection of 1H and 13C NMR data of 4 suggested the presence of two epoxides [δC 61.9 (CH), 61.3 (C × 2), and 59.5 (CH); δH 3.33 (1H, d, J = 6.8 Hz) and 2.73 (1H, dd, J = 10.0, 4.0 Hz)]. These data suggested 4 to be a 3,4-epoxide analogue of sinulariol L, which was corroborated by the HMBC correlations from H3-18 to C-3, C-4, and C-5 as well as COSY correlation between H-2 and H-3. The 1E and 7Z geometries were inferred according to the NOE correlations of H-2/H-15 and H2-19/H-6a, while correlations of H3-18/H-2 and H-11/H-13b suggested the trans geometries for both epoxides (Figure 5). The relative configurations at C-3, C-4, C-11, and C-12 were determined by further analysis of NOE correlations. The NOE correlations of H-3/H-6a, H-3/H-7, H-3/H-13b, and H-11/H-13b indicated the spatial proximity among these protons and, thus, a 3S*, 4S*, 11S*, 12S*-configuration was determined.
Compound 5 has a molecular formula of C22H36O5 as determined by HRESIMS and 13C NMR spectrum (Figures S13 and S15). The NMR data of 5 (Table 2) substantially resemble those of sinulariol J [13], except for the presence of an additional acetyl group featured resonances at δC 170.2 (C), δC 22.4 (CH3), and δH 1.98 (3H, s), suggesting 5 to be an O-acetyl analogue of sinulariol J. The downfield-shifted C-12 (δC 81.9 (C) and H3-20 (δH 1.44) and the HMBC correlations from H3-20 to C-11, C-12, and C-13 evidenced that this acetoxy group should be attached at C-12. The 2E and 7Z geometries were determined to be the same as those of sinulariol J according to the large coupling constant (J = 16.0 Hz) between H-2 and H-3, as well as NOE correlations of H2-19/H2-6 (Figure 5). In addition, NOE correlations of H-3/H-11 and H-3/H3-18 suggested they were oriented on the same face, and arbitrarily assigned as α-orientation. The isopropyl group and H3-20 were, thus, assigned as β-orientation based on the correlations of H-2/H3-16 and H3-17/H3-20. Consequently, an 1R*,4R*,11R*,12S*-configuration was assigned for 5. Moreover, the NMR spectroscopic data of six known compounds 611 (Figure 6) were found to be identical to those of known compounds based on the comparison of their physical and spectroscopic data with those reported in the literature [5,13].
Compounds 111 were evaluated for cytotoxicity activities against P388, K562, and HT-29 cell lines using the Alamar Blue assay. The result showed that they are not cytotoxic against the above three cancer cell lines. In addition, the nitric oxide (NO) inhibitory activities of compounds 14, 68, 10, and 11 were further evaluated by assay of LPS-stimulated NO production in activated RAW264.7 cells, as shown in Figure 7. The results indicated that compounds 2, 6, and 8 could effectively reduce the levels of NO to 32.6%, 8.0%, and 2.3%, respectively, at a concentration of 100 μM. Moreover, compound 8 at a concentration of 50 μM exhibited good inhibitory activity compared to the positive control aminoguanidine (AG), and the level of NO was also reduced significantly to 19.6%, while giving a 104.6% retention of cell viability. Thus, compound 8 is a promising metabolite which may become a lead compound in the future anti-inflammatory drug development.

3. Experimental Section

3.1. General Experimental Procedures

Optical rotations were measured on a JASCO P-1020 digital polarimeter (JASCO Corporation, Tokyo, Japan). IR spectra were recorded on a JASCO FT/IR-4100 infrared spectrophotometer (JASCO Corporation). The 1H NMR and 13C NMR spectra were recorded on a Varian 400MR NMR (400 MHz for 1H and 100 MHz for 13C) and a Varian Unity INOVA500 FT-NMR (500 MHz for 1H and 125 MHz for 13C) instruments (Varian Inc., Palo Alto, CA, USA). The chemical shifts were referenced to the solvent residue of CDCl3H 7.265 ppm and δC 77.0 ppm). The high-resolution mass spectra were acquired via a Bruker APEX II mass spectrometer with an ESI ionization source (Bruker, Bremen, Germany). Silica gel 60 (40−63 μm, Merck, Darmstadt, Germany), C18 gel (LiChroprep RP-18, 40−63 μm, Merck), and Sephadex LH-20 (GE Healthcare, Uppsala, Sweden) were used for column chromatography. Thin-layer chromatography (TLC) analysis was performed on a precoated silica gel plates (Kieselgel 60 F254, 0.25 mm, Merck). High-performance liquid chromatography (HPLC) was performed using a Shimadzu LC-10ATVP series pump equipped with a UV detector (Shimadzu, Milan, Italy) and a semipreparative RP-18 column (5 µm, 250 × 10 mm, Hibar Purospher RP-18e, Merck).

3.2. Animal Material

The soft coral Sinularia nanolobata was collected off the coast of Jihui Fishing Port, Taitung county, Taiwan (latitude: 23°07′ N; longitude: 121°23′ E) in March 2013. The material was frozen at −20 °C until extraction in the laboratory. Species identification of this coral was performed by Prof. C.-F. Dai (National Taiwan University, Taiwan), while the voucher specimen (JiH-201303) was deposited at the Department of Marine Biotechnology and Resources, National Sun Yat-sen University.

3.3. Extraction and Isolation

The minced, wet tissues of S. nanolobata (3.1 kg) were extracted with EtOH (3L × 2). The extract was concentrated under reduced pressure and the residue was partitioned between EtOAc and H2O. The EtOAc layer was dried over Na2SO4 and the resulting residue (27.9 g) was subjected to a silica gel column with a gradient of acetone and hexane in an increasing polarity (acetone-hexane, 2% to 100%), and then a gradient of MeOH and acetone (MeOH-acetone, 2% to 100%) to yield 18 fractions. Fraction 7 was chromatographed on a silica gel column with acetone/hexane (6%) to yield two subfractions 7a and 7b. Subfraction 7a was purified by a C18 gel column (MeOH-H2O, 90%), followed by semipreparative HPLC (MeOH-H2O, 78%) to yield compounds 1 (34.3 mg), 2 (12.0 mg) and 6 (12.6 mg). Fraction 10 was purified by a Sephadex LH-20 column using acetone as eluent to obtain a mixture, which was further separated by silica gel column chromatography (acetone-hexane, 10% to 100%), C18 column chromatography (MeOH-H2O, 90%), and semipreparative HPLC (MeOH-H2O, 83%) to yield compounds 4 (2.6 mg) and 8 (5.5 mg). Fraction 14 was purified by a Sephadex LH-20 column (acetone, 100%) and semipreparative HPLC (MeOH-H2O, 80%) to yield compounds 3 (5.2 mg) and 5 (1.2 mg), and (MeOH-H2O, 67%) to yield compounds 7 (3.8 mg) and 9 (6.4 mg). Fraction 15 was purified by a Sephadex LH-20 column using acetone as eluent to obtain a mixture, which was further separated by silica gel column chromatography (acetone-hexane, 20% to 100%), C18 column chromatography (MeOH-H2O, 90%), and semipreparative HPLC (MeOH-H2O, 66%) to yield compounds 10 (2.9 mg) and 11 (2.6 mg).
Nanoculone A (1): colorless oil; [ α ] D 25 +6 (c 1.20, CHCl3); IR (neat) νmax 2962, 1710, 1644, 1457, 1379, and 895 cm−1; 13C and 1H NMR data, see Table 1; ESIMS m/z 327 [M + Na]+; HRESIMS m/z 327.2298 [M + Na]+ (calcd. for C20H32O2Na, 327.2300).
Nanoculone B (2): colorless oil; [ α ] D 25 +175 (c 0.49, CHCl3); IR (neat) νmax 2957, 2866, 1705, 1455, 1105, and 895 cm−1; 13C and 1H NMR data, see Table 1; ESIMS m/z 327 [M + Na]+; HRESIMS m/z 327.2297 [M + Na]+ (calcd. for C20H32O2Na, 327.2300).
Nanolobol A (3): colorless oil; [ α ] D 25 +3 (c 1.30, CHCl3); IR (neat) νmax 3437, 2957, 2960, 1732, 1459, 1372, 1246, 1020, and 756 cm−1; 13C and 1H NMR data, see Table 2; ESIMS m/z 403 [M + Na]+; HRESIMS m/z 403.2456 [M + Na]+ (calcd. for C22H36O5Na, 403.2455).
Nanolobol B (4): colorless oil; [ α ] D 25 −67 (c 0.65, CHCl3); IR (neat) νmax 3441, 2923, 2960, 1731, 1462, 1024, and 856 cm−1; 13C and 1H NMR data, see Table 2; ESIMS m/z 343 [M + Na]+; HRESIMS m/z 343.2244 [M + Na]+ (calcd. for C20H32O3Na, 343.2244).
Nanolobol C (5): colorless oil; [ α ] D 25 −86 (c 0.20, CHCl3); IR (neat) νmax 3384, 2959, 2874, 1724, 1601, 1438, 1367, 1256, and 1095 cm−1; 13C and 1H NMR data, see Table 2; ESIMS m/z 403 [M + Na]+; HRESIMS m/z 403.2456 [M + Na]+ (calcd. for C22H36O5Na, 403.2455).
Calyculone I (6): colorless needles; [ α ] D 25 +41 (c 1.09, CHCl3); lit. [ α ] D 20 +52.1 (c 1.0, CHCl3) [5]; IR (neat) νmax 2959, 1708, 1463, 1385 and 897 cm−1; ESIMS m/z 455 [M + Na]+ (calcd. for C20H32O2Na).
Sinulariol A (7): colorless oil; [ α ] D 21 +47 (c 0.95, CHCl3); lit. [ α ] D 24 +17.1 (c 0.79, CHCl3) [13]; IR (neat) νmax 3369, 2959, 2871, 1447, 1379 and 756 cm−1; ESIMS m/z 345 [M + Na]+ (calcd. for C20H34O3Na).
Sinulariol C (8): colorless oil; [ α ] D 25 −30 (c 0.31, CHCl3); lit. [ α ] D 22 −8.8 (c 0.15, CHCl3) [13]; IR (neat) νmax 3421, 2960, 1671, 1458, 1384, 1021, 857, 755 and 669 cm−1; ESIMS m/z 327 [M + Na]+ (calcd. for C20H32O2Na).
Sinulariol D (9): colorless oil; [ α ] D 25 +13 (c 0.46, CHCl3); lit. [ α ] D 24 +7.5 (c 1.35, CHCl3) [13]; IR (neat) νmax 3355, 2963, 2873, 1653, 1455, 1367, 1077 and 756 cm−1; ESIMS m/z 361 [M + Na]+ (calcd. for C20H34O4Na).
Sinulariol H (10): colorless oil; [ α ] D 21 −78 (c 0.73, CHCl3); lit. [ α ] D 24 −71.3 (c 0.28, CHCl3) [13]; IR (neat) νmax 3371, 2963, 2933, 1444, 1374 and 756 cm−1; ESIMS m/z 361 [M + Na]+ (calcd. for C20H34O4Na).
Sinulariol J (11): colorless oil; [ α ] D 21 −77 (c 0.65, CHCl3); lit. [ α ] D 23 −40.5 (c 0.15, CHCl3) [13]; IR (neat) νmax 3350, 2959, 2871, 1447, 1379 and 756 cm−1; ESIMS m/z 361 [M + Na]+ (calcd. for C20H34O4Na).

3.4. Crystallographic Data of 6

The colorless crystal size of 0.15 × 0.10 × 0.10 mm was obtained at 4 °C in a refrigerator by slow evaporation in an acetone solution. Diffraction intensity data were acquired with a CCD area detector with graphite-monochromated Cu Kα radiation (λ = 1.54178 Å). Crystal data for 6: C20H32O2, M = 304.45, monoclinic, a = 8.4794 (6) Å, b = 11.0386 (8) Å, c = 10.2704 (7) Å, α = 90°, β = 104.094 (3)°, γ = 90°, V = 932.38 (11) Å3, T = 100 (2) K, space group P21, Z = 2, μ (CuKα) = 0.521 mm−1, 6301 reflections collected, 3100 independent reflections (Rint = 0.0201). The final R1 values were 0.0275 (I > 2σ(I)). The final wR (F2) values were 0.0733 (I > 2σ(I)). The final R1 values were 0.0276 (all data). The final wR (F2) values were 0.0734 (all data). The goodness of fit on F2 was 1.050. Flack parameter = 0.1 (2). Crystallographic data for 6 have been deposited with the Cambridge Crystallographic Data Centre (deposition number CCDC 1482769). Copies of the data can be obtained, free of charge, on application to the Director, CCDC, 12 Union Road, Cambridge CB21EZ, UK.

3.5. Cytotoxicity Assay

The Alamar Blue assay were performed as previous reported [14,15]. After the cell lines (P388, K562, and HT-29) were cultured for 15 h according to the published procedure [16], the tested compounds in DMSO solutions were added and cultured for 72 h. The attached cells were incubated with Alamar Blue (10 μL/well, 4 h) and the absorbance was measured at wavelength of 595 nm using a microplate reader.

3.6. Nitric Oxide Inhibitory Activity

The nitrite concentration in the culture medium was measured as an indicator of NO production according to the Griess reaction [17]. Briefly, 80 μL of cell culture supernatant was reacted with 100 μL of Griess reagent (1:1 mixture of 0.1% N-(1-naphthyl)ethylenediamine dihydrochloride in water and 1% sulfanilamide in 5% phosphoric acid) in a 96-well plate and incubated at room temperature for 10 min. The absorbance at 550 nm was recorded using the ELISA reader [18,19]. Fresh medium was used as the blank. The results are expressed as the percentage of inhibition calculated relative to the cells treated with vehicle and LPS.

4. Conclusions

The prior studies demonstrated that the cubitanoids originating from marine organisms were elaborated as a minor group in certain species, such as gorgonian corals, Eunicea calyculata [3,4] and E. laciniata [20], and soft corals, Sinularia triangula [21,22] and S. crassa [23]. Our present study discovered new cubitanoids from the S. nanolobata, collected off the coast of the eastern region of Taiwan. Considering our prior work on the same species collected in different locations of Taiwan water [11,12], it is noteworthy that the metabolites from soft corals, even the skeletons, might vary with their geographical location.

Supplementary Materials

HRESIMS, 1H, and 13C spectra of new compounds 15 are available online at www.mdpi.com/1660-3397/14/8/150/s1. Figure S1: HRESIMS spectrum of 1, Figure S2: 1H NMR spectrum of 1 in CDCl3 at 400 MHz, Figure S3: 13C NMR spectrum of 1 in CDCl3 at 100 MHz, Figure S4: HRESIMS spectrum of 2, Figure S5: 1H NMR spectrum of 2 in CDCl3 at 400 MHz, Figure S6: 13C NMR spectrum of 2 in CDCl3 at 100 MHz, Figure S7: HRESIMS spectrum of 3, Figure S8: 1H NMR spectrum of 3 in CDCl3 at 400 MHz, Figure S9: 13C NMR spectrum of 3 in CDCl3 at 100 MHz, Figure S10: HRESIMS spectrum of 4, Figure S11: 1H NMR spectrum of 4 in CDCl3 at 400 MHz, Figure S12: 13C NMR spectrum of 4 in CDCl3 at 100 MHz, Figure S13: HRESIMS spectrum of 5, Figure S14: 1H NMR spectrum of 5 in CDCl3 at 500 MHz, Figure S15: 13C NMR spectrum of 5 in CDCl3 at 125 MHz.

Acknowledgments

This work was supported by grants from Ministry of Science and Technology (MOST 104-2320-B-110-001-MY2 and MOST 104-2113-M-110-006), NSYSU-KMU Joint Research Project (NSYSUKMU 105-I008) and Aim for the TOP University Program (04C030205) from Ministry of Education of Taiwan awarded to Jyh-Horng Sheu.

Author Contributions

Jyh-Horng Sheu designed and guided the whole experiment. Chih-Hua Chao contributed to structure elucidation and manuscript preparation. Chia-Yun Wu isolated the compounds and performed data acquisition and structure elucidation. Chiung-Yao Huang and Yang-Chang Wu performed the cytotoxicity assay, structure elucidation, and data analysis. Hui-Chun Wang performed the nitric oxide inhibitory assay. Chang-Feng Dai contributed to the collection of soft coral and species identification.

Conflicts of Interest

The authors declare no conflict of interest.

References

  1. Wefer, J.; Simon, K.; Lindel, T. Cubitane: A rare diterpenoid skeleton. Phytochem. Rev. 2013, 12, 95–105. [Google Scholar] [CrossRef]
  2. Prestwich, G.D.; Wiemer, D.F.; Meinwald, J.; Clardy, J. Cubitene: An irregular twelve-membered-ring diterpene from a termite soldier. J. Am. Chem. Soc. 1978, 100, 2560–2561. [Google Scholar] [CrossRef]
  3. Look, S.A.; Fenical, W.; Zheng, Q.T.; Clardy, J. Calyculones, new cubitane diterpenoids from the Caribbean gorgonian octocoral Eunicea calyculata. J. Org. Chem. 1984, 49, 1417–1423. [Google Scholar] [CrossRef]
  4. Shin, J.; Fenical, W. New diterpenoids from the Caribbean gorgonian Eunicea calyculata. Photochemical interconversion of the cembrene and cubitene skeletons. J. Org. Chem. 1991, 56, 1227–1233. [Google Scholar] [CrossRef]
  5. Wei, X.; Nieves, K.; Rodríguez, A.D. Bioactive cubitane diterpenoids from a Colombian gorgonian species of the genus Eunicea. Pure Appl. Chem. 2012, 84, 1847–1855. [Google Scholar] [CrossRef]
  6. Stojković, D.; Soković, M.; Glamoćlija, J.; Džamić, A.; Ćirić, A.; Ristić, M.; Grubišić, D. Chemical composition and antimicrobial activity of Vitex agnus-castus L. fruits and leaves essential oils. Food Chem. 2011, 128, 1017–1022. [Google Scholar] [CrossRef]
  7. Huang, C.Y.; Sung, P.J.; Uvarani, C.; Su, J.H.; Lu, M.C.; Hwang, T.L.; Dai, C.F.; Wu, S.L.; Sheu, J.H. Glaucumolides A and B, biscembranoids with new structural type from a cultured soft coral Sarcophyton glaucum. Sci. Rep. 2015, 5, 15624–15632. [Google Scholar] [CrossRef] [PubMed]
  8. Tsai, T.C.; Chen, H.Y.; Sheu, J.H.; Chiang, M.Y.; Wen, Z.H.; Dai, C.F.; Su, J.H. Structural elucidation and structure-anti-inflammatory activity relationships of cembranoids from cultured soft coral Sinularia sandensis and Sinularia flexibilis. J. Agric. Food Chem. 2015, 63, 7211–7218. [Google Scholar] [CrossRef] [PubMed]
  9. Fang, H.F.; Hsu, C.H.; Chao, C.H.; Wen, Z.H.; Wu, Y.C.; Dai, C.F.; Sheu, J.H. Cytotoxic and anti-inflammatory metabolites from the soft coral Scleronephthya gracillimum. Mar. Drugs 2013, 11, 1853–1865. [Google Scholar] [CrossRef] [PubMed]
  10. Chao, C.H.; Chou, K.J.; Huang, C.Y.; Wen, Z.H.; Hsu, C.H.; Wu, Y.C.; Dai, C.F.; Sheu, J.H. Bioactive cembranoids from the soft coral Sinularia crassa. Mar. Drugs 2011, 9, 1955–1968. [Google Scholar] [CrossRef] [PubMed]
  11. Atallah, F.A.; Su, J.H.; Shiue, R.T.; Pan, X.J.; Dai, C.F.; Kuo, Y.H.; Sheu, J.H. New β-caryophyllene-derived terpenoids from the soft coral Sinularia nanolobata. J. Nat. Prod. 2004, 67, 592–597. [Google Scholar]
  12. Tseng, Y.J.; Wen, Z.H.; Dai, C.F.; Chiang, M.Y.; Sheu, J.H. Nanolobatolide, a new C18 metabolite from the Formosan soft coral Sinularia nanolobata. Org. Lett. 2009, 11, 5030–5032. [Google Scholar] [CrossRef] [PubMed]
  13. Lai, D.; Li, Y.; Xu, M.; Deng, Z.; van Ofwegen, L.; Qian, P.; Proksch, P.; Lin, W. Sinulariols A–S, 19-oxygenated cembranoids from the Chinese soft coral Sinularia rigida. Tetrahedron 2011, 67, 6018–6029. [Google Scholar] [CrossRef]
  14. O’Brien, J.; Wilson, I.; Orton, T.; Pognan, F. Investigation of the Alamar Blue (resazurin) fluorescent dye for the assessment of mammalian cell cytotoxicity. Eur. J. Biochem. 2000, 267, 5421–5426. [Google Scholar] [CrossRef] [PubMed]
  15. Nakayama, G.R.; Caton, M.C.; Nova, M.P.; Parandoosh, Z. Assessment of the Alamar Blue assay for cellular growth and viability in vitro. J. Immunol. Methods 1997, 204, 205–208. [Google Scholar] [CrossRef]
  16. Chao, C.H.; Huang, T.Z.; Wu, C.Y.; Chen, B.W.; Huang, C.Y.; Hwang, T.L.; Dai, C.F.; Sheu, J.H. Steroidal and α-tocopherylhydroquinone glycosides from two soft corals Cladiella hirsuta and Sinularia nanolobata. RSC Adv. 2015, 5, 74256–74262. [Google Scholar] [CrossRef]
  17. Kim, H.K.; Cheon, B.S.; Kim, Y.H.; Kim, S.Y.; Kim, H.P. Effects of naturally occurring flavonoids on nitric oxide production in the macrophage cell line RAW 264.7 and their structure–activity relationships. Biochem. Pharmacol. 1999, 58, 759–765. [Google Scholar] [CrossRef]
  18. Schmidt, H.H.W.; Kelm, M. Determination of nitrite and nitrate by the Griess reaction. In Methods in Nitric Oxide Research; Feelisch, M., Stamler, J., Eds.; Wiley: Chichester, UK, 1996; pp. 491–497. [Google Scholar]
  19. Hsieh, Y.H.; Kuo, P.M.; Chien, S.C.; Shyur, L.F.; Wang, S.Y. Effects of Chamaecyparis formosensis Matasumura extractives on lipopolysaccharide-induced release of nitric oxide. Phytomedicine 2007, 14, 675–680. [Google Scholar] [CrossRef] [PubMed]
  20. Marville, K.I.; Reynolds, W.F.; Sealy, R.L.; Tinto, W.F. Terpenoid metabolites of the marine octocoral Eunicea laciniata. Heterocycles 2004, 63, 107–113. [Google Scholar] [CrossRef]
  21. Lu, M.C.; Lee, N.L.; Tseng, S.W.; Su, J.H. Sinutriangulin A, a novel diterpenoid from the soft coral Sinularia triangula. Tetrahderon Lett. 2011, 52, 5869–5871. [Google Scholar] [CrossRef]
  22. Su, H.J.; Lee, N.L.; Lu, M.C.; Su, J.H. Triangulene C, a new cubitane-based Diterpenoid from the Soft Coral Sinularia triangula. Nat. Prod. Commun. 2012, 7, 479–480. [Google Scholar] [PubMed]
  23. Cheng, C.H.; Lin, Y.S.; Wen, Z.H.; Su, J.H. A new cubitane diterpenoid from the soft coral Sinularia crassa. Molecules 2012, 17, 10072–10078. [Google Scholar] [CrossRef] [PubMed]
Figure 1. Structures of compounds 15.
Figure 1. Structures of compounds 15.
Marinedrugs 14 00150 g001
Figure 2. X-ray structure of 6.
Figure 2. X-ray structure of 6.
Marinedrugs 14 00150 g002
Figure 3. Selected 1H–1H COSY and HMBC correlations of 1 and 2.
Figure 3. Selected 1H–1H COSY and HMBC correlations of 1 and 2.
Marinedrugs 14 00150 g003
Figure 4. Selected NOE correlations of compounds 1 and 2.
Figure 4. Selected NOE correlations of compounds 1 and 2.
Marinedrugs 14 00150 g004
Figure 5. Selected NOE correlations of 4 and 5.
Figure 5. Selected NOE correlations of 4 and 5.
Marinedrugs 14 00150 g005
Figure 6. Structures of compounds 611.
Figure 6. Structures of compounds 611.
Marinedrugs 14 00150 g006
Figure 7. Nitric oxide (NO) production and cell viabilities of compounds 14, 68, 10, and 11 in LPS-stimulated RAW264.7 cells (A) at 100 μM (B) at 50 μM. aAG: aminoguanidine is used as a positive control.
Figure 7. Nitric oxide (NO) production and cell viabilities of compounds 14, 68, 10, and 11 in LPS-stimulated RAW264.7 cells (A) at 100 μM (B) at 50 μM. aAG: aminoguanidine is used as a positive control.
Marinedrugs 14 00150 g007
Table 1. 1H and 13C NMR spectroscopic data of compounds 1 and 2.
Table 1. 1H and 13C NMR spectroscopic data of compounds 1 and 2.
Position12
δH (J in Hz) aδC (mult.) bδH (J in Hz) aδC (mult.) b
11.95 m27.8, CH2.06 m29.2, CH
21.54 m33.9, CH21.48 m30.3, CH2
1.24 m
31.98 m25.9, CH21.93 m24.9, CH2
1.30 m 1.24 m
42.77 dd (9.2, 3.6)62.5, CH2.61 dd (10.0, 2.8)64.6, CH
5 62.3, C 60.2, C
62.30 m35.7, CH22.06 m35.1, CH2
1.39 m 1.62 m
72.58 m25.9, CH22.21 m27.5, CH2
2.10 m 2.09 m
8 147.1, C 147.7, C
95.45 d (10.0)120.4, CH5.20 d (10.8)119.3, CH
104.21 d (10.0)57.7, CH4.08 d (10.8)60.5, CH
11 209.7, C 208.7, C
122.63 dd (14.8, 6.4)52.6, CH22.54 dd (11.6, 2.8)48.4, CH2
2.28 m 1.68 m
130.89 d (6.4)20.6, CH30.95 d (6.4)20.7, CH3
141.16 s19.0, CH31.31, s18.0, CH3
152.40 m30.3, CH2.87 m29.6, CH
161.08 d (6.4)20.5, CH31.07 d (7.0)21.7, CH3
170.98 d (6.4)23.0, CH31.01 d (7.0)21.4, CH3
18 143.0, C 147.7, C
191.70 s21.2, CH31.75 s22.2, CH3
204.85 s112.6, CH24.99 s112.7, CH2
4.80 s 4.90 s
a Spectra recorded at 400 MHz in CDCl3; b Spectra recorded at 100 MHz in CDCl3.
Table 2. 1H and 13C NMR spectroscopic data of 35.
Table 2. 1H and 13C NMR spectroscopic data of 35.
Position345
δH (J in Hz) aδC (mult.) bδH (J in Hz) aδC (mult.) bδH (J in Hz) cδC (mult.) d
1 151.8, C 151.8, C 78.3, C
25.09 d (10.0)118.2, CH4.99 d (6.8)119.2, CH5.67 d (16.0)126.8, CH
35.49 d (10.0)74.8, CH3.33 d (6.8)59.5, CH6.01 d (16.0)140.8, CH
4 74.0, C 61.3, C 73.5, C
51.70 m36.6, CH22.08 m38.0, CH21.96 m43.6, CH2
1.59 m 1.47 m 1.68 m
62.61 m23.6, CH22.31 m22.0, CH22.35 m23.6, CH2
2.12 m 2.09 m 2.21 m
75.47 t (7.6)131.7, CH5.48 t (7.6)129.9, CH5.32 t (7.5)134.2, CH
8 137.7, C 137.6, C 135.0, C
92.34 m34.7, CH22.61 m32.6, CH22.33 m34.6, CH2
2.23 m 2.05 m 2.12 m
102.15 m24.6, CH22.14 m24.8, CH21.66 m27.3, CH2
1.44 m 1.37 m 1.52 m
113.20 dd (9.6, 2.8)62.2, CH2.73 dd (10.0, 4.0)61.9, CH3.61 dd (8.0, 1.5)72.6, CH
12 61.6, C 61.3, C 81.9, C
132.10 m40.1, CH22.17 m38.3, CH22.46 dt (11.5, 3.5)31.5, CH2
0.98 m 1.19 m 1.91 m
142.30 m27.0, CH22.17 m27.4, CH21.86 m26.4, CH2
1.97 m 1.49 m
152.34 m35.3, CH2.27 m34.0, CH1.85 m39.1, CH
161.03 d (6.8)21.8, CH31.03 d (6.8)21.8, CH30.77 d (7.0)17.2, CH3
171.03 d (6.8)22.1, CH31.04 d (6.8)22.3, CH30.92 d (7.0)16.5, CH3
181.13 s23.9, CH31.25 s18.0, CH31.30 s29.4, CH3
194.36 d (12.8)59.5, CH24.29 d (12.0)58.8, CH24.24 d (12.0)60.2, CH2
4.01 d (12.8) 4.18 d (12.0) 4.10 d (12.0)
201.28 s16.3 CH31.29 s16.5 CH31.44 s16.8 CH3
OAc 170.9, C 170.2, C
2.07 s21.4, CH3 1.98 s22.4, CH3
a Spectra recorded at 400 MHz in CDCl3; b Spectra recorded at 100 MHz in CDCl3; c Spectra recorded at 500 MHz in CDCl3; d Spectra recorded at 125 MHz in CDCl3.

Share and Cite

MDPI and ACS Style

Chao, C.-H.; Wu, C.-Y.; Huang, C.-Y.; Wang, H.-C.; Dai, C.-F.; Wu, Y.-C.; Sheu, J.-H. Cubitanoids and Cembranoids from the Soft Coral Sinularia nanolobata. Mar. Drugs 2016, 14, 150. https://doi.org/10.3390/md14080150

AMA Style

Chao C-H, Wu C-Y, Huang C-Y, Wang H-C, Dai C-F, Wu Y-C, Sheu J-H. Cubitanoids and Cembranoids from the Soft Coral Sinularia nanolobata. Marine Drugs. 2016; 14(8):150. https://doi.org/10.3390/md14080150

Chicago/Turabian Style

Chao, Chih-Hua, Chia-Yun Wu, Chiung-Yao Huang, Hui-Chun Wang, Chang-Feng Dai, Yang-Chang Wu, and Jyh-Horng Sheu. 2016. "Cubitanoids and Cembranoids from the Soft Coral Sinularia nanolobata" Marine Drugs 14, no. 8: 150. https://doi.org/10.3390/md14080150

APA Style

Chao, C.-H., Wu, C.-Y., Huang, C.-Y., Wang, H.-C., Dai, C.-F., Wu, Y.-C., & Sheu, J.-H. (2016). Cubitanoids and Cembranoids from the Soft Coral Sinularia nanolobata. Marine Drugs, 14(8), 150. https://doi.org/10.3390/md14080150

Note that from the first issue of 2016, this journal uses article numbers instead of page numbers. See further details here.

Article Metrics

Back to TopTop