New Cyclotetrapeptides and a New Diketopiperzine Derivative from the Marine Sponge-Associated Fungus Neosartorya glabra KUFA 0702
Abstract
:1. Introduction
2. Results and Discussion
3. Experimental Section
3.1. General Procedure
3.2. Extraction and Isolation
3.2.1. Satoryglabramide A (5)
3.2.2. Satoryglabramide B (6)
3.2.3. Fellutanine A Epoxide (8)
3.3. X-ray Crystal Structure of Sartoryglabramide A (5)
3.4. Amino Acids Analysis of Acidic Hydrolysate of Sartoryglabramide A (5) and Sartoryglabramide B (6)
3.4.1. Acid Hydrolysis
3.4.2. Chiral HPLC Analysis
3.4.3. Molecular Mechanics Conformation Analysis of Fellutanine A Epoxide (8)
4. Conclusions
Supplementary Materials
Acknowledgments
Author Contributions
Conflicts of Interest
References
- Zin, W.W.; Prompanya, C.; Buttachon, S.; Kijjoa, A. Bioactive secondary metabolites from a Thai collection of soil and marine-derived fungi of the genera Neosartorya and Aspergillus. Curr. Drug Deliv. 2016, 13, 378–388. [Google Scholar] [PubMed]
- Jayasuriya, H.; Zink, D.; Basilio, A.; Vicente, F.; Collado, J.; Bills, G.; Goldman, M.L.; Motyl, M.; Huber, J.; Dezeny, G.; et al. Discovery and antibacterial activity of glabramycin A–C from Neosartorya glabra by an antisense strategy. J. Antibiot. 2009, 62, 265–269. [Google Scholar] [CrossRef] [PubMed]
- Ishigami, K.; Yamamoto, M.; Watanabe, H. Synthesis and revision of the relative configuration of glabramycin B. Tetrahedron Lett. 2016, 56, 6290–6293. [Google Scholar] [CrossRef]
- Kijjoa, A.; Santos, S.; Dethoup, T.; Manoch, L.; Almeida, A.P.; Vasconcelos, M.H.; Silva, A.; Gales, L.; Herz, W. Sartoryglabrins, analogs of ardeemins, from Neosartorya glabra. Nat. Prod. Comm. 2011, 6, 1–6. [Google Scholar]
- Liu, W.-H.; Zhao, H.; Li, R.-Q.; Zheng, H.-B.; Yu, Q. Polyketides and meroterpenoids from Neosartorya glabra. Helv. Chim. Acta 2015, 98, 515–519. [Google Scholar] [CrossRef]
- Kobayashi, M.; Krishna, M.M.; Ishida, K.; Anjaneyulu, V. Marine sterols. XXII. Occurrence of 3-oxo-4,6,8(14)-triunsaturated steroids in the sponge Dysidea herbacea. Chem. Pharm. Bull. 1992, 40, 72–74. [Google Scholar] [CrossRef]
- Cantrell, C.L.; Franzblau, S.G.; Fischer, N.H. Antimycobacterial plant terpenoids. Planta Med. 2001, 67, 685–694. [Google Scholar] [CrossRef] [PubMed]
- Fujimoto, H.; Negishi, E.; Yamaguchi, K.; Nishi, N.; Yamazaki, M. Isolation of new tremorgenic metabolites from an ascomycete Corynascus setosus. Chem. Pharm. Bull. 1996, 44, 1843–1848. [Google Scholar] [CrossRef]
- Eamvijarn, A.; Gomes, N.M.; Dethoup, T.; Buaruang, J.; Manoch, L.; Silva, A.; Pedro, M.; Marini, I.; Roussis, V.; Kijjoa, A. Bioactive meroditerpenes and indole alkaloids from the soil fungus Neosartorya fischeri (KUFC 6344), and the marine-derived fungi Neosartorya laciniosa (KUFC 7896) and Neosartorya tsunodae (KUFC 9213). Tetrahedron 2013, 69, 8583–8591. [Google Scholar] [CrossRef]
- Yin, W.B.; Grundmann, A.; Cheng, J.; Li, S.M. Acetylaszonalenin biosynthesis in Neosartorya fischeri: Identification of the biosynthetic gene cluster by genomic mining and functional proof of the genes by biochemical investigation. J. Biochem. Chem. 2009, 284, 100–109. [Google Scholar] [CrossRef] [PubMed]
- Zin, W.W.; Buttachon, S.; Buaruang, J.; Gales, L.; Pereira, J.A.; Pinto, M.M.; Silva, A.M.S.; Kijjoa, A. A new meroditerpene and a new tryptoquivaline analog from the algicolous fungus Neosartorya takakii KUFC 7898. Mar. Drugs 2015, 13, 3776–3790. [Google Scholar] [CrossRef] [PubMed]
- Sorra, K.; Chang, C.-F.; Pusuluri, S.; Mukkanti, K.; Laiu, M.-C.; Bao, B.-Y.; Su, C.-H.; Chuang, T.-H. Synthesis and cytotoxicity testing of new amido-substituted triazolopyrrol[2,1-c][1,4]benzodiazepine (PBDT) derivatives. Molecules 2012, 17, 8762–8772. [Google Scholar] [CrossRef] [PubMed]
- Kozlovsky, N.G.; Vinokurova, N.G.; Adanin, V.M.; Burkhardt, G.; Hans-Martin Dahse, H.-M.; Gräfe, U. New diketopiperazine alkaloids from Penicillium fellutanum. J. Nat. Prod. 2000, 63, 698–700. [Google Scholar] [CrossRef] [PubMed]
- Qureshi, A.; Salvá, J.; Harper, M.K.; Faulkner, D.J. New cyclic peroxides from the Philippine sponge Plakinastrella sp. J. Nat. Prod. 2001, 64, 553–554. [Google Scholar] [CrossRef]
- Prompanya, C.; Fernandes, C.; Cravo, S.; Pinto, M.M.M.; Dethoup, T.; Silva, A.M.S.; Kijjoa, A. A new cyclic hexapeptide and a new isocoumarin derivative from the marine sponge-associated fungus Aspergillus similanensis KUFA 0013. Mar. Drugs 2015, 13, 1432–1450. [Google Scholar] [CrossRef] [PubMed]
- Berthod, A.; Liu, Y.; Bagwill, C.; Armstrong, D.W. Facile liquid chromatographic enantioresolution of native amino acids and peptides using a teicoplanin chiral stationary phase. J. Chromatogr. A 1996, 731, 123–127. [Google Scholar] [CrossRef]
- Bodanszky, M. Principles of Peptide Synthesis. In Reactivity and Structure: Concepts in Organic Chemistry; Springer Science & Business Media: New York, NY, USA, 2012; Volume 16, p. 218. [Google Scholar]
- Jabs, A.; Weiss, M.S.; Hilgenfeld, R. Non-proline cis peptide bonds in proteins. J. Mol. Biol. 1999, 286, 291–304. [Google Scholar] [CrossRef] [PubMed]
- Gomes, N.M.; Bessa, L.J.; Buttachon, S.; Costa, P.M.; Buaruang, J.; Dethoup, T.; Silva, A.M.S.; Kijjoa, A. Antibacterial and antibiofilm activities of tryptoquivalines and meroditerpenes isolated from the marine-derived fungi Neosartorya paulistensis, N. laciniosa, N. tsunodae, and the soil fungi N. fischeri and N. siamensis. Mar. Drugs 2014, 12, 822–839. [Google Scholar] [CrossRef] [PubMed]
- Wattanadilok, R.; Sawangwong, P.; Rodrigues, C.; Cidade, H.; Pinto, M.; Pinto, E.; Silva, A.; Kijjoa, A. Antifungal activity evaluation of the constituents of Haliclona baeri and H. cymaeformis, collected from the Gulf of Thailand. Mar. Drugs 2007, 5, 40–51. [Google Scholar] [CrossRef] [PubMed]
- Matsuzawa, T.; Horie, Y.; Abliz, P.; Gonoi, T.; Yaguchi, T. Aspergillus huiyaniae sp. nov., a new teleomorphic species in Aspergillus section Fumigati isolated from desert soil in China, and described using polyphasic approach. Mycoscience 2014, 55, 213–220. [Google Scholar] [CrossRef]
- Sheldrick, G.M. A short history of SHELX. Acta Cryst. 2008, 64, 112–122. [Google Scholar] [CrossRef] [PubMed]
- Xu, L.; Meng, W.; Cao, C.; Wang, J.; Shan, W.; Wang, Q. Antibacterial and antifungal compounds from marine fungi. Mar. Drugs 2015, 13, 3497–3515. [Google Scholar] [CrossRef] [PubMed]







| Position | δC, Type | δH, (J in Hz) | COSY | HMBC | |
|---|---|---|---|---|---|
| Anthranilic acid | 1 | 166.5, C | - | ||
| 2 | 124.8, C | - | |||
| 3 | 126.6, CH | 7.55, dd (7.7, 1.3) | H-4 | C-1, 5, 7 | |
| 4 | 122.4, CH | 7.16, dd (7.9, 7.7) | H-3, 5 | C-2, 6 | |
| 5 | 130.4, CH | 7.48, ddd (7.9, 7.9, 1.4) | H-4, 6 | C-3, 7 | |
| 6 | 120.4, CH | 8.31, dd (7.9, 0.5) | H-5 | C-2, 4 | |
| 7 | 136.5, C | - | |||
| NH-8 | - | 9.40, s | - | C-2, 6, 9 | |
| Phe-I | 9 | 168.8, CO | - | ||
| 10 | 55.2, CH | 4.36, ddd (8.4, 7.8, 5.3) | H-11, NH-21 | C-9, 11, 12 | |
| 11a | 34.7, CH2 | 2.97, dd (13.9, 8.4) | H-10, 11b | C-9, 10, 12, 13, 17 | |
| b | 3.23, dd (13.9, 5.3) | H-10, 11a | C-9, 10, 12, 13, 17 | ||
| 12 | 138.3, C | - | |||
| 13 | 129.6, CH | 7.08, dd (7.4, 1.4) | H-14 | C-11, 15, 17 | |
| 14 | 128.0, CH | 7.19, dd (7.4, 7.4) | H-14, 15 | C-12, 16 | |
| 15 | 126.0, CH | 7.18, dd (7.4, 7.4) | H-14, 16 | C-13, 17 | |
| 16 | 128.0, CH | 7.19, dd (7.4, 7.4) | H-15, 17 | C-12, 14 | |
| 17 | 129.6, CH | 7.08, dd (7.4, 1.4) | H-16 | C-11, 13, 15 | |
| NH-18 | - | 8.49, d (7.8) | H-20 | C-10, 19 | |
| Phe-II | 19 | 169.9, CO | - | ||
| 20 | 54.4, CH | 4.58, ddd (9.8, 8.9, 7.3) | H-21a, b | C-19, 21, 22 | |
| 21a | 37.1, CH2 | 2.71, dd (13.5, 8.9) | H-21b, 20 | C-19, 20, 22, 23, 27 | |
| b | 2.94, dd (13.5, 7.3) | H-21a, 20 | C-19, 20, 22, 23, 27 | ||
| 22 | 137.3, C | - | |||
| 23 | 129.1, CH | 7.14, dd (7.4, 1.4) | H-24 | C-25, 27 | |
| 24 | 128.1, CH | 7.27, dd (7.4, 7.4) | H-23, 25 | C-22, 26 | |
| 25 | 126.3, CH | 7.23, dd (7.4, 7.4) | H-24, 26 | C-23, 27 | |
| 26 | 128.1, CH | 7.27, dd (7.4, 7.4) | H-25, 27 | C-22, 24 | |
| 27 | 129.1, CH | 7.14, dd (7.4, 1.4) | H-26 | C-23, 25 | |
| NH-28 | - | 7.41, d (9.8) | H-20 | C-19, 20, 29 | |
| Pro | 29 | 170.2, CO | - | ||
| 30 | 62.2, CH | 4.20, dd (9.8, 2.3) | H-31a, b | C-29, 31, 32 | |
| 31a | 28.3, CH2 | 1.54, m | H-30, 31b | - | |
| b | 2.12, m | H-30, 31a | C-29, 30 | ||
| 32 | 24.6, CH2 | 1.89, m | H-31a, b, 32a, b | ||
| 33a | 49.4, CH2 | 3.70, dd (17.6, 9.6) | H-32, 33b | C-30, 32 | |
| b | 3.63, m | H-32, 33a | |||
| N-34 | - | - |
| Position | δC, Type | δH, (J in Hz) | COSY | HMBC | |
|---|---|---|---|---|---|
| Anthranilic acid | 1 | 166.4, CO | - | ||
| 2 | 125.2, C | - | |||
| 3 | 126.5, CH | 7.53, d (7.6) | H-4 | C-1, 5, 7 | |
| 4 | 122.6, CH | 7.16, dd (7.6, 7.6) | H-3, 5 | C-2, 6 | |
| 5 | 130.4, CH | 7.48, ddd (8.3, 7.6) | H-4, 6 | C-3, 7 | |
| 6 | 120.7, CH | 8.27, d (8.3) | H-5 | C-2, 4 | |
| 7 | 136.3, C | - | |||
| NH-8 | - | 9.25, s | C-2, 6, 9 | ||
| Trp | 9 | 169.0, CO | - | ||
| 10 | 54.3, CH | 4.52, ddd (7.9, 6.7, 5.9) | H-11, NH-21 | C-9, 11, 12, 22 | |
| 11a | 24.9, CH2 | 3.32, dd (14.7, 5.9) | H-10, 11b | C-9, 10, 12, 13, 20 | |
| b | 3.14, dd (14.7, 6.7) | H-10, 11a | C-9, 10, 12, 13, 20 | ||
| 12 | 110.2, C | - | |||
| 13 | 127.7, C | - | |||
| 14 | 118.5, CH | 7.58, d (7.9) | H-15 | C-16, 18 | |
| 15 | 118.2, CH | 6.98, dd (7.9, 7.5) | H-14, 16 | C-13, 17 | |
| 16 | 120.8, CH | 7.06, dd (8.0, 7.5) | H-15, 17 | C-14, 18 | |
| 17 | 111.3, CH | 7.34, d (8.0) | H-16 | C-13, 15 | |
| 18 | 136.0, C | - | |||
| NH-19 | - | 10.82, brs | H-20 | C-12, 13, 18, 20 | |
| 20 | 124.0, CH | 7.04, d (1.8) | NH-19 | C-13 | |
| NH-21 | - | 8.42, d (7.9) | H-10 | C-9, 22 | |
| Phe | 22 | 170.1, CO | - | ||
| 23 | 54.6, CH | 4.61, ddd (10.0, 10.0, 6.4) | H-24a, b | C-24, 32 | |
| 24a | 37.0, CH2 | 2.66, dd (13.6, 10.0) | H-23, 24b | C-22, 23, 25, 26, 30 | |
| b | 2.92, dd (13.6, 6.4) | H-23, 24a | C-22, 23, 25, 26, 30 | ||
| 25 | 134.4, C | - | |||
| 26 | 129.0, CH | 7.10, dd (7.7, 1.0) | H-27 | C-25 | |
| 27 | 128.1, CH | 7.20, m | H-26, 28 | C-25 | |
| 28 | 126.3, CH | 7.18, m | H-27, 29 | ||
| 29 | 128.1, CH | 7.20, m | H-28, 30 | C-28 | |
| 30 | 129.0, CH | 7.10, dd (7.7, 1.0) | H-29 | C-25 | |
| NH-31 | - | 7.38, d (10.0) | H-23 | C-32 | |
| Pro | 32 | 170.2, CO | - | ||
| 33 | 62.1, CH | 4.15, dd (9.0, 1.2) | H-34a, b | C-32 | |
| 34a | 28.3, CH2 | 1.45, m | H-33, 34b | ||
| b | 2.09, m | H-33, 34a | |||
| 35 | 24.6, CH2 | 1.86, m | H-34a,b, 36a, b | ||
| 36a | 49.4, CH2 | 3.55, m | H-35, 36b | ||
| b | 3.67, m | H-35, 36a | |||
| N-37 | - | - |
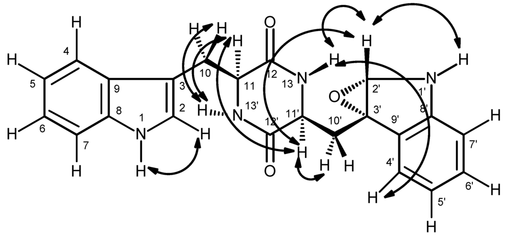
| Position | δC, type | δH, (J in Hz) | COSY | HMBC | NOESY |
|---|---|---|---|---|---|
| 2 | 124.1, CH | 7.25, d (2.3) | NH-1 | C-3, 9 | H-10a, 11 (str), NH-13′ |
| 3 | 109.5, C | - | |||
| 4 | 118.5, CH | 7.60, d (7.9) | H-5 | C-3, 6, 8 | H-10a, 11 (str) |
| 5 | 118.3, CH | 6.99, ddd (7.9, 7.9, 0.5) | H-4, 6 | C-7, 9 | |
| 6 | 120.9, CH | 7.07, ddd (7.9, 7.9, 1.1) | H-5, 7 | C-4, 8 | |
| 7 | 111.3, CH | 7.33, d (7.9) | H-6 | C-5, 9 | |
| 8 | 136.0, C | - | |||
| 9 | 127.4, C | - | |||
| 10a | 24.7, CH2 | 3.06, dd (15.7, 6.5) | H-10b, 11 | C-3, 9, 11, 12 | H-4, 10b, 11, NH-13′ |
| b | 3.40, m | H-10a, 11 | C-3, 9, 11, 12 | H-10a | |
| 11 | 55.1, CH | 4.46, t (5.1) | H-10a, 10b | C-3, 10, 12 | H-2, 4, 10a, 11′, NH-13′ |
| 12 | 167.7, CO | - | |||
| 2′ | 84.0, CH | 5.33, d (4.1) | NH-1′ | C-3′, 10′ | H-11, NH-13, NH-1′ (str) |
| 3′ | 85.9, C | - | |||
| 4′ | 122.5, CH | 7.18, d (7.4) | H-5′ | C-6′, 8′ | NH-13 |
| 5′ | 117.8, CH | 6.61, ddd (7.8, 7.4, 0.5) | H-4′, 6′ | C-7′, 9′ | |
| 6′ | 128.9, CH | 7.05, ddd (7.8, 7.8, 1.3) | H-5′, 7′ | C-4′, 8′ | |
| 7′ | 109.8, CH | 6.54, d (7.8) | H-6′ | C-5′, 9′ | |
| 8′ | 148.4, C | - | |||
| 9′ | 131.1, C | - | |||
| 10′a | 41.3, CH2 | 1.83, dd (13.0, 11.6) | H-10′b, 11 | C-11′, 12′ | H-10′b |
| b | 2.43, dd (13.6, 6.7) | H-10′a, 11 | C-3′ | H-10′a, 11′ | |
| 11′ | 58.6, CH | 4.66, dd (11.6, 6.7) | H-10′a, 10b | C-10′, 12′ | H-11, 2′, 10′b |
| 12′ | 169.8, CO | - | |||
| NH-1 | - | 10.88, brd (1.4) | H-2 | C-2, 3, 8, 9 | H-2, 4 |
| NH-1′ | - | 6.68, d (4.1) | H-2′ | C-3′, 9′ | |
| NH-13 | - | 6.05, s | - | C-10′ | H-2′, 4′ |
| NH-13′ | - | 7.72, brs | - | C-10, 11, 11′, 12 | H-10a (str), 11 (str), H-2 |
© 2016 by the authors; licensee MDPI, Basel, Switzerland. This article is an open access article distributed under the terms and conditions of the Creative Commons Attribution (CC-BY) license (http://creativecommons.org/licenses/by/4.0/).
Share and Cite
May Zin, W.W.; Buttachon, S.; Dethoup, T.; Fernandes, C.; Cravo, S.; Pinto, M.M.M.; Gales, L.; Pereira, J.A.; Silva, A.M.S.; Sekeroglu, N.; et al. New Cyclotetrapeptides and a New Diketopiperzine Derivative from the Marine Sponge-Associated Fungus Neosartorya glabra KUFA 0702. Mar. Drugs 2016, 14, 136. https://doi.org/10.3390/md14070136
May Zin WW, Buttachon S, Dethoup T, Fernandes C, Cravo S, Pinto MMM, Gales L, Pereira JA, Silva AMS, Sekeroglu N, et al. New Cyclotetrapeptides and a New Diketopiperzine Derivative from the Marine Sponge-Associated Fungus Neosartorya glabra KUFA 0702. Marine Drugs. 2016; 14(7):136. https://doi.org/10.3390/md14070136
Chicago/Turabian StyleMay Zin, War War, Suradet Buttachon, Tida Dethoup, Carla Fernandes, Sara Cravo, Madalena M. M. Pinto, Luís Gales, José A. Pereira, Artur M. S. Silva, Nazim Sekeroglu, and et al. 2016. "New Cyclotetrapeptides and a New Diketopiperzine Derivative from the Marine Sponge-Associated Fungus Neosartorya glabra KUFA 0702" Marine Drugs 14, no. 7: 136. https://doi.org/10.3390/md14070136
APA StyleMay Zin, W. W., Buttachon, S., Dethoup, T., Fernandes, C., Cravo, S., Pinto, M. M. M., Gales, L., Pereira, J. A., Silva, A. M. S., Sekeroglu, N., & Kijjoa, A. (2016). New Cyclotetrapeptides and a New Diketopiperzine Derivative from the Marine Sponge-Associated Fungus Neosartorya glabra KUFA 0702. Marine Drugs, 14(7), 136. https://doi.org/10.3390/md14070136

