Next Article in Journal
Immunomodulatory Effects of the Mycosporine-Like Amino Acids Shinorine and Porphyra-334
Next Article in Special Issue
Synthesis and Antitumor Activity of New Thiazole Nortopsentin Analogs
Previous Article in Journal
Phallusiasterol C, A New Disulfated Steroid from the Mediterranean Tunicate Phallusia fumigata
Previous Article in Special Issue
Novel Azetidine-Containing TZT-1027 Analogues as Antitumor Agents
 
 
Font Type:
Arial Georgia Verdana
Font Size:
Aa Aa Aa
Line Spacing:
Column Width:
Background:
Article

Synthesis of Pelorol and Its Analogs and Their Inhibitory Effects on Phosphatidylinositol 3-Kinase

1
Institute of Medicinal Chemistry, School of Pharmaceutical Sciences, Sun Yat-sen University, Guangzhou 510006, China
2
Institute of Human Virology, Sun Yat-sen University, Guangzhou 510080, China
*
Author to whom correspondence should be addressed.
Mar. Drugs 2016, 14(6), 118; https://doi.org/10.3390/md14060118
Submission received: 16 April 2016 / Revised: 13 May 2016 / Accepted: 18 May 2016 / Published: 21 June 2016
(This article belongs to the Special Issue Synthesis of Antitumor Marine Alkaloids and Related Analogues)

Abstract

:
There are numerous biologically active substances with novel structures and unique physiological functions in marine organisms. These substances are important sources of new lead compounds. Pelorol is a natural product isolated from marine organisms that possesses a novel structure with high bioactivity. In this paper, the synthesis of pelorol has been completed, and the synthesis of some intermediates has been optimized and scaled up. Five pelorol analogs have also been prepared. Preliminary biological activity testing demonstrated that compounds 5 and 6 might be potential lead compounds for cancer therapy.

Graphical Abstract

1. Introduction

Natural products play significant roles in drug discovery and development [1]. Marine organisms have been extensively investigated because they produce natural substances; for instance, 245 furanosesterterpenoids from marine organisms were described in at least 133 articles from 1996 to 2006 [2]. The number of publications may be higher if halogenated monoterpenes, sesquiterpenes, and polyterpenes extracted from the sponges are considered [3]. Labdane-type diterpenes are excellent examples of natural products with important pharmaceutical activities (Figure 1). Most of these derivatives possess significant biological properties such as anti-tumor, anti-HIV, anti-inflammatory, antifungal, and antibacterial activities [4,5,6,7,8].
Pelorol is a labdane-type diterpene isolated from the sponge [9,10]. It exhibits promising activity against trypanosome and Plasmodium. In vitro tests and mouse models reveals that pelorol is a src homology 2-containing inositol 5-phosphatase (SHIP) activators.
Phosphatidylinositol 3-kinases (PI3Ks) are a family of lipid kinases involved in cellular functions such as cell growth, proliferation, differentiation, motility, survival, and intracellular trafficking. The targeting of the PI3K pathway is one of the most promising approaches for the treatment of cancers. Moreover, SHIP can negatively regulate the PI3K pathway. The increased activity of SHIP can reduce the anti-apoptotic effect of the PI3K-Akt signaling pathway [11,12]. Thus, pelorol might also be a potential PI3K inhibitor.
However, natural pelorol is difficult to extract, and the synthetic of pelorol is rarely described. As far as we know, Andersen and co-workers [13] described a new strategy to synthesize pelorol with 5% overall yield in 2005. Their route is difficult to scale up because of numerous reaction steps and strict reaction conditions. In 2012, Baran and co-workers [14] developed another efficient method for the synthesis of pelorol, and they realized the gram-scale preparation of the key intermediate “borono-sclareolide”. Hence, new methods and technologies are still highly desirable for the synthesis, semi-synthesis, chemical modification and bioactivity assay of pelorol and related marine natural products, in order to provide technical support for the development of marine drug.

2. Results and Discussion

2.1. Chemistry

In this paper, the synthesis of pelorol has been completed, optimized and scaled up based on Baran’s method (Scheme 1). Five pelorol analogs 26 have also been prepared (Figure 2).
Commercially available terpenoid (+)-sclareolide (7), which exhibits the same absolute configurations at C-5, C-9, and C-10 with pelorol (1), was used as starting material. 7 was reduced to a mixture of 8 and 9 (8/9 = 4.59) with an excellent yield (99%); this mixture was used for the subsequent transformation without additional separation. Benzene is commonly used for iodination. Considering its toxicity, we replaced benzene with toluene and obtained product 10 with 78% yield. A sequential dehydroiodination/hydrolysis reaction (AgF in pyridine followed by K2CO3 in methanol) produced intermediate 11 with 89% overall yield. AgF is a precious metal salt and 1.5 equiv. of fresh AgF was essential in this reaction. To reduce the production costs, recycled AgF catalyst can be used, and in this case, 2.0 equiv. of catalyst was needed to ensure complete conversion. Hydroboration of 11 resulted in a mixture of diastereomers in 95% combined yield, and borono-sclareolide (12) can be separated by column chromatography in 50% yield.
At first, we followed Baran’s method and used aryl bromide with ethyl substituent (18) to couple with 12, but the subsequent oxidation of intermediate 20 suffered from low yield. We have tried several different oxidants, such as DCC, PDC, ethylene oxide and potassium permanganate, but failed to improve the yield. Furthermore, subsequent reaction systems were quite complicated. Considering these problems, we changed the aryl bromide substrate to vinyl-substituted 13, and found that the coupling reaction proceeded smoothly with up to 81% yield. What is more, this modification could remove two steps for the total synthesis of pelorol. The subsequent cyclization of 14 was performed at −78 °C to avoid the secondary reaction of the vinyl functional group. This cyclization provided the tetracyclic intermediate 15 in high yield (78%). Compounds 14 and 15 can also be prepared in gram-scale with comparable yields.
The oxidation of 15 via TBHP can generate 16 [15]. The synthesis of pelorol (1) was completed by the esterification of 16 with MeI and the selective cleavage of aryl methyl ether with BI3. The total yield of this route was 4.4%, which was similar to that of Andersen et al. [13]. The direct demethylation of 16 afforded compound 2 in 62% yield.
As we mentioned before, borono-sclareolide (12) could couple with ethyl-substituted 18 under Suzuki Coupling conditions developed by Buchwald [16]. A favorable yield of the coupling product 19 (73%) was obtained. The subsequent cyclization afforded 20 in excellent yield (92%). 20 was then oxidized by PCC to produce 21 in 27% yield; here the low yield might be due to the existence of two electron-donating methoxy groups on the phenyl ring of 20. The demethylation of 20 and 21 provided 4 (95% yield) and 3 (75% yield), respectively (Scheme 2). The low yield in the latter reaction might be due to side reactions between ketone and BI3.
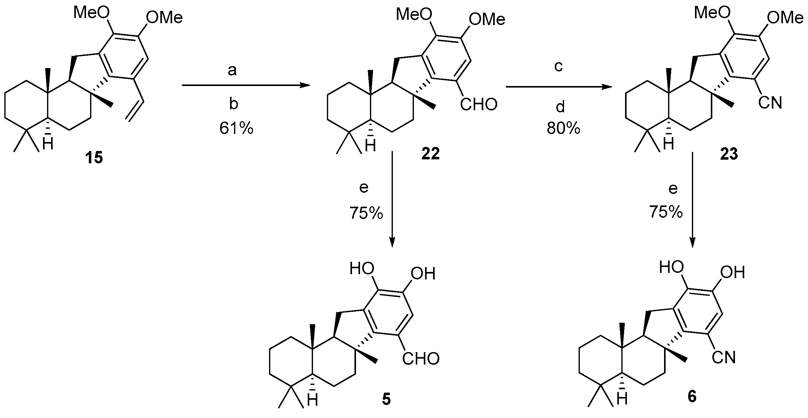
Intermediate 15 can be further oxidized to aryl aldehyde 22 under mild conditions [17,18]. Subsequent transformation of 22 via the formation of oxime and dehydration could yield 23 (80%) [19,20]. The demethylation of 22 and 23 afforded 5 (75% yield) and 6 (75% yield), respectively (Scheme 3). In this way, we have obtained five pelorol analogs 26.

2.2. PI3K Enzymatic Activity Assay

All the newly prepared pelorol and analogs have been assessed in vitro in terms of biological activity against PI3Kα kinase, and the results are summarized in Table 1. Under the assay condition, IC50 value of pelorol was 38.17 μM. The carboxylic acid-substituted compound 2 showed slightly increased activity (20.70 μM). Among all these analogs, 3 (with acetyl substituent) and 5 (with aldehyde substituent) were the best PI3K inhibitors with IC50 of 8.76 μM and 5.06 μM, respectively [13]. Cyano-substituted compound 6 showed a significant decrease in activity (IC50 = 49.51 μM), while compound 4 with ethyl substituent on the phenyl ring exhibited poor performance (IC50 = 83.69 μM). We assumed that electronic effects might influence the inhibitory activity of compounds against PI3Kα. We have also found that dimethoxy-substituted compound 20 displayed weaker inhibitory activity when comparing with corresponding phenolic hydroxy-substituted compound 4. The most efficient compound 5 was also subjected to PI3Kβ, PI3Kγ, PI3Kδ tests, and it exhibited significant inhibitory activity against PI3Kβ (IC50 = 8.90 μM).

2.3. Antiproliferative Assays in Vitro

Eight human cancer cell lines were used in the antiproliferative bioassay of pelorol and its analogs, the results were summarized in Table 2. The inhibitory activities of pelorol were poor. Compounds 2 and 4 also exhibited poor antiproliferative activities in these cancer cells, albeit 2 showed reasonable activity against PI3Kα. In contrast, compound 5 displayed the highest inhibitory activities and suppressed most of the cancer cells, especially MOLT-4 (leukemia cell), U937 (leukemia cell), and DU145 (prostate cancer cell), with IC50 at micromolar concentration levels. Although cyano-substituted compound 6 demonstrated moderate activity in kinase test, 6 could efficiently suppress a few tumor cells, especially MOLT-4 and DU145. Based on the above analysis, pelorol analogs 5 and 6 might be potential lead compounds for cancer therapy.

3. Materials and Methods

All commercial reagents and anhydrous solvents were obtained from commercial sources and were distilled from standard drying agents unless otherwise specified. 1H NMR spectra were recorded on a Bruker AVANCE III 400 spectrometer (Bruker Corp., Billerica, MA, USA) and referenced to tetramethylsilane in appropriate organic solutions. Chemical shifts were expressed as δ units using tetramethylsilane as internal standard (in NMR description: s, singlet; d, doublet; t, triplet; q, quartet; m, multiplet; bs, broad signal; J, joules; Hz, hertz). Mass spectra were measured with an Agilent 6120 spectrometer (Agilent Tech., Santa Clara, CA, USA) using an ESI+APCI source coupled to an Agilent 1200 HPLC system (Agilent Tech.) operating in reverse mode. High-resolution mass spectra were recorded on an ESI-ion trap mass spectrometer (Shimadzu LCMS-IT-TOF, Shimadzu, Kyoto, Japan), and the results agreed with the theoretical values to within 5 ppm. Purity of all biologically evaluated compounds was greater than 95%.

3.1. Chemistry

(1R,2R,4aS,8aS)-1-(Iodoethyl)-2,5,5,8a-tetramethyldecahydronaphthalen-2-yl formate (10) [14]: To a solution of (+)-sclareolide (10.00 g, 40.0 mmol, 1.0 equiv.) in 200 mL CH2Cl2 was added 1.0 M solution of DIBAL in heptane (48.0 mL, 48.0 mmol, 1.2 equiv.) dropwise at −78 °C. The reaction mixture was then stirred for another 60 min. Water was slowly added, the reaction mixture was warmed to room temperature and stirred overnight, extracted with CH2Cl2 (4 × 50 mL), washed with saturated brine (50 mL), dried over Na2SO4. Evaporation of the solvent afforded a white solid, which was used immediately in the next step.
The white solid in 90 mL anhydrous toluene was treated with PIDA (18.04 g, 56 mmol, 1.4 equiv.) and I2 (12.18 g, 48 mmol, 1.2 equiv.). The purple reaction mixture was vigorously stirred at 74 °C for 60 min under the irradiation of flood lamp (150 W). The reaction mixture was cooled, concentrated under reduced pressure, diluted with saturated brine, and extracted with EtOAc. The organic layers were combined, washed with saturated Na2S2O3, dried over Na2SO4. The solution was filtered and concentrated under reduced pressure. The residue was quickly diluted with anhydrous MeOH, stirred and cooled at −78 °C. The resulting white solid 10 (7.87 g, 78% yield) was collected via filtration. 1H NMR (400 MHz, CDCl3) δ: 8.02 (s, 1H), 3.36 (dd, J = 10.7, 2.9 Hz, 1H), 3.13 (dd, J = 10.7, 4.6 Hz, 1H), 2.55 (d, J = 12.7 Hz, 1H), 2.46 (d, J = 2.0 Hz, 1H), 1.93–1.85 (m, 2H), 1.69 (d, J = 3.5 Hz, 1H), 1.57 (s, 3H), 1.47 (d, J = 1.0 Hz, 3H), 1.38 (s, 1H), 1.25 (s, 2H), 1.07 (d, J = 2.3 Hz, 1H), 0.88 (s, 3H), 0.85 (d, J = 0.8 Hz, 3H), 0.79 (s, 3H). 13C NMR (101 MHz, CDCl3) δ: 160.3, 88.3, 62.1, 55.3, 41.6, 40.8, 39.6, 38.9, 33.2, 33.1, 21.4, 20.4, 19.7, 18.4, 14.8, −3.2. (Figure S1).
(+)-Drim-9(11)-en-8-ol (11) [14]: A solution of compound 10 (2.32 g, 6.13 mmol, 1.0 equiv.) in anhydrous pyridine (20 mL) was treated with silver (I) fluoride (1.16 g, 9.2 mmol, 1.5 equiv.) at room temperature. The reaction flask was covered with aluminum foil to prevent light. The solution was stirred at room temperature for 12 h, then concentrated in vacuo, diluted with Et2O (20 mL), and filtered through celite pad. The dark grey solid (AgF) can be recycled. The filter cake was washed with Et2O (20 mL). The filtrate was combined, washed with saturated NaHCO3 and saturated Na2S2O3 ( V NaHCO 3 / V Na 2 S 2 O 3 = 5 : 1 , 45 mL), then washed with brine (50 mL), dried over Na2SO4. The solution was filtered and concentrated under reduced pressure to afford unstable pale yellow syrup which was used immediately in the next step.
A solution of yellow syrup in 90 mL MeOH was treated with powdered, oven-dried K2CO3 (1.01 g, 7.35 mmol, 1.2 equiv.) at 0 °C. The reaction was warmed to room temperature and vigorously stirred for 2 h. The mixture was concentrated under reduced pressure, diluted with Et2O (20 mL), washed with H2O (60 mL), and extracted with Et2O (2 × 20 mL). The combined Et2O extracts were dried over Na2SO4, filtered and concentrated under reduced pressure to afford compound 11 as oyster white solid (1.18 g, 89% yield). 1H NMR (400 MHz, CDCl3) δ: 5.21 (s, 1H), 4.83 (s, 1H), 2.01 (d, J = 9.5 Hz, 1H), 1.79 (d, J = 12.6 Hz, 1H), 1.69 (t, J = 13.5 Hz, 2H), 1.53 (d, J = 14.8 Hz, 1H), 1.47 (s, 1H), 1.40 (s, 3H), 1.38–1.30 (m, 2H), 1.25 (s, 1H), 1.15 (d, J = 14.2 Hz, 1H), 1.08 (s, 3H), 0.98 (d, J = 11.0 Hz, 1H), 0.87 (s, 3H), 0.84 (s, 3H). 13C NMR (101 MHz, CDCl3) δ: 166.6, 103.7, 73.3, 53.5, 44.2, 41.8, 40.0, 39.0, 33.8, 33.2, 30.6, 29.68, 22.4, 21.6, 20.2, 19.1. (Figure S2).
Borono-sclareolide (12) [14]: Yield 50%, white solid. 1H NMR (400 MHz, CDCl3) δ: 6.62 (s, 1H), 1.95 (d, J = 11.6 Hz, 1H), 1.79–1.74 (m, 1H), 1.63 (d, J = 8.0 Hz, 2H), 1.56–1.50 (m, 1H), 1.42 (s, 3H), 1.38–1.34 (m, 1H), 1.33-1.23 (m, 1H), 1.17 (s, 4H), 0.98–0.90 (m, 2H), 0.85 (s, 3H), 0.82 (s, 3H), 0.80 (s, 3H), 0.75 (d, J = 7.6 Hz, 1H). 13C NMR (101 MHz, CDCl3) δ: 83.9, 61.6, 56.9, 42.5, 40.4, 39.5, 37.0, 33.3, 33.2, 23.1, 21.0, 20.9, 18.3, 14.6. (Figure S3).
(1R,2R,4aS,8aS)-1-(2,3-diMethoxy-5-vinylbenzyl)-2,5,5,8a-tetramethyldecahydronaphthalen-2-ol (14): To the borono-sclareolide 12 (1.00 g, 4.0 mmol, 1.0 equiv.) was added bromide 13 (1.94 g, 8 mmol, 2.0 equiv.), S-Phos (0.25 g, 0.6 mmol, 0.15 equiv.), CsF (1.82 g, 12 mmol, 3.0 equiv.) and 50 mL anhydrous dioxane. The solution was degassed for 20 min by bubbling N2 under sonication. Pd(OAc)2 (0.09 g, 0.4 mmol, 0.1 equiv.) was immediately added under N2, then the reaction mixture was heated at 50 °C for 18 h. The solution was cooled to room temperature and filtered through a celite pad, concentrated under reduced pressure. The crude product was purified by column chromatography on silica gel (petroleum ether/EtOAc = 30:1) to afford 14 (1.22 g, 80.5% yield) as colorless oil. 1H NMR (400 MHz, CDCl3) δ: 6.87 (d, J = 1.6 Hz, 1H), 6.81 (d, J = 1.7 Hz, 1H), 6.63 (dd, J = 17.5, 10.8 Hz, 1H), 5.63 (d, J = 17.5 Hz, 1H), 5.18 (d, J = 10.9 Hz, 1H), 3.86 (s, 3H), 3.85 (s, 3H), 2.84 (dd, J = 14.5, 5.1 Hz, 1H), 2.66 (s, 1H), 2.60 (d, J = 4.9 Hz, 1H), 1.86 (d, J = 12.5 Hz, 1H), 1.75 (d, J = 12.8 Hz, 1H), 1.62 (s, 3H), 1.41 (d, J = 14.0 Hz, 2H), 1.33 (d, J = 16.6 Hz, 2H), 1.28 (s, 3H), 1.10 (dd, J = 13.2, 3.6 Hz, 1H), 0.91 (s,3H), 0.85 (s, 3H), 0.83-0.81 (m, 1H), 0.80 (s, 3H). 13C NMR (101 MHz, CDCl3) δ: 152.6, 146.3, 138.1, 136.8, 133.5, 121.5, 112.9, 107.0, 73.7, 62.9, 60.7, 56.1, 55.7, 43.8, 41.8, 40.3, 39.5, 33.5, 33.3, 25.1, 24.2, 21.6, 20.3, 18.6, 15.5. (Figure S4).
(4aS,6aR,11aR,11bS)-9,10-diMethoxy-4,4,6a,11b-tetramethyl-7-vinyl-2,3,4,4a,5,6,6a,11,11a,11b-decahydro-1H-benzo[a]fluorene (15): To a stirred solution of 14 (232 mg, 0.6 mmol, 1.0 equiv.) in CH2Cl2 (60 mL), SnCl4 (0.6 mL) was added dropwise at −78 °C under N2. The resulting mixture was stirred for an additional 1 h. Upon the completion of the reaction (monitored by TLC), the solution was diluted with CH2Cl2 (90 mL) and poured into ice. The aqueous phase was extracted with CH2Cl2 (2 × 20 mL), the combined CH2Cl2 extracts were dried over Na2SO4, filtered and concentrated under reduced pressure. The residue was purified by column chromatography on silica gel (petroleum ether/EtOAc = 15:1) to give 15 as yellow-green crystal (173 mg, 78.3% yield). 1H NMR (400 MHz, CDCl3) δ: 7.06 (dd, J = 17.4, 10.9 Hz, 1H), 6.81 (s, 1H), 5.49 (dd, J = 17.3, 1.3 Hz, 1H), 5.17 (dd, J = 10.9, 1.3 Hz, 1H), 3.86 (s, 3H), 3.84 (s, 3H), 2.72 (dd, J = 14.7, 6.2 Hz, 1H), 2.56–2.47 (m, 1H), 2.42–2.35 (m, 1H), 1.73 (s, 3H), 1.61 (s, 2H), 1.43 (s, 2H), 1.26 (s, 1H), 1.18 (d, J = 4.3 Hz, 1H), 1.11 (s, 3H), 1.04 (s, 3H), 1.01–0.95 (m, 2H), 0.87 (s, 6H). 13C NMR (101 MHz, CDCl3) δ: 150.6, 145.5, 145.3, 135.8, 134.3, 128.3, 113.6, 107.7, 64.2, 60.4, 57.0, 56.0, 47.9, 42.5, 40.1, 39.5, 37.1, 33.4, 33.1, 25.3, 21.6, 21.1, 19.7, 18.4, 16.1. (Figure S5).
(4aS,6aR,11aR,11bS)-Methyl-9,10-dimethoxy-4,4,6a,11b-tetramethyl-2,3,4,4a,5,6,6a,11,11a,11b-decahydro-1H-benzo[a]fluorene-7-carboxylate (17): To a mixture of 15 (100 mg, 0.27 mmol, 1.0 equiv.) and ferric chloride hexahydrate (40 mg) was added TBHP (1.2 mL, 70% aqueous solution), CTAB (2 g) and 8 mL water. NaOH (40 mg, 1.0 mmol) was added after 3 h, and the mixture was heated at 90 °C for 48 h. After the completion of the reaction, dilute HCl and crushed ice were added. The mixture was extracted with EtOAc (2 × 50 mL), washed with saturated brine, dried over Na2SO4, then concentrated to dryness. The residue was dissolved in 2 mL DMF, then potassium carbonate (350 mg) and MeI (0.4 mL) were added. The solution was stirred overnight, quenched with 10 mL brine. The mixture was extracted with Et2O (2 × 20 mL), washed with brine, dried over MgSO4, and evaporated to dryness. The residue was purified by column chromatography on silica gel (petroleum ether/EtOAc = 8:1) to give 17 as colorless oil (34 mg, 33.3% yield). 1H NMR (400 MHz, CDCl3) δ: 7.03 (s, 1H), 3.88 (s, 3H), 3.86 (s, 3H), 3.84 (s, 3H), 2.71 (dd, J = 14.7, 6.2 Hz, 1H), 2.60–2.52 (m, 1H), 2.46 (dd, J = 9.1, 3.2 Hz, 1H), 1.66 (s, 2H), 1.40 (d, J = 6.2 Hz, 2H), 1.32 (s, 3H), 1.24 (s, 3H), 1.06 (s, 3H), 0.99 (d, J = 6.7 Hz, 1H), 0.94 (s, 1H), 0.90 (d, J = 2.8 Hz, 2H), 0.86 (s, 3H), 0.85 (s, 3H). 13C NMR (101 MHz, CDCl3) δ: 168.3, 149.8, 148.8, 148.3, 137.1, 121.2, 111.5, 64.8, 60.4, 57.1, 56.0, 51.8, 48.1, 42.5, 40.2, 37.1, 36.4, 33.4, 33.1, 25.3, 21.1, 20.0, 19.5, 18.35, 16.3. (Figure S6).
Pelorol (1): To a solution of methyl ester 17 (11 mg, 0.028 mmol, 1.0 equiv.) in 4 mL CH2Cl2 was added BI3 (129 mg, 0.336 mmol, 12 equiv.) in 2 mL CH2Cl2 dropwise at −78 °C under N2. The mixture was stirred for an additional 0.5 h, then poured into H2O and extracted with CH2Cl2 (2 × 50 mL). The combined CH2Cl2 extracts were dried over Na2SO4, filtered and concentrated under reduced pressure. The residue was purified by column chromatography on silica gel (petroleum ether/EtOAc = 3:1) to provide 1 as colorless oil (6.5 mg, 61.6% yield). 1H NMR (400 MHz, CDCl3) δ: 7.09 (s, 1H), 5.59 (s, 2H), 3.83 (s, 3H), 2.61 (d, J = 6.2 Hz, 1H), 2.54–2.47 (m, 2H), 1.66 (d, J = 6.2 Hz, 2H), 1.58–1.53 (m, 2H), 1.41 (dd, J = 8.8, 3.4 Hz, 2H), 1.25 (s, 3H), 1.23 (s, 3H), 1.05 (s, 3H), 0.98 (d, J = 4.5 Hz, 1H), 0.96–0.93 (m, 1H), 0.85 (d, J = 5.6 Hz, 6H). 13C NMR (101 MHz, CDCl3) δ: 168.3, 149.4, 143.7, 140.6, 130.0, 118.0, 114.8, 65.2, 57.1, 51.7, 48.5, 42.5, 40.2, 37.2, 36.5, 33.3, 33.1, 24.3, 21.1, 19.9, 19.5, 18.4, 16.3. (Figure S12). HRMS (ESI): m/z [M-H] calcd. for [C23H32O4]: 371.2228, found: 371.2220. [ a ] D 30 = −64.5 (c = 0.41, MeOH).
(4aS,6aR,11aR,11bS)-9,10-diHydroxy-4,4,6a,11b-tetramethyl-2,3,4,4a,5,6,6a,11,11a,11b-decahydro-1H-benzo[a]fluorene-7-carboxylic acid (2): To a solution of 16 (13 mg, 0.033 mmol, 1.0 equiv.) in 8 mL CH2Cl2 was slowly added BI3 (158 mg, 0.396 mmol, 12 equiv.) in 2 mL CH2Cl2 at −78 °C under N2. The mixture was stirred for an additional 0.5 h, then poured into H2O and extracted with CH2Cl2 (2 × 50 mL). The combined CH2Cl2 extracts were dried over Na2SO4, filtered and concentrated under reduced pressure. The residue was purified by column chromatography on silica gel (petroleum ether/EtOAc = 1:1) to provide 2 as colorless oil (7.7 mg, 64.1% yield). 1H NMR (400 MHz, DMSO-d6) δ: 12.15 (s, 1H), 8.98 (d, J = 113.4 Hz, 2H), 6.91 (s, 1H), 2.63 (d, J = 12.4 Hz, 1H), 2.34 (d, J = 13.2 Hz, 1H), 1.97 (s, 1H), 1.54 (s, 1H), 1.49–1.45 (m, 2H), 1.39–1.33 (m, 2H), 1.21 (s, 3H), 1.16 (d, J = 7.1 Hz, 2H), 1.11 (s, 3H), 0.99 (s, 3H), 0.90 (s, 1H), 0.81 (s, 6H). 13C NMR (101 MHz, DMSO-d6) δ: 169.1, 147.2, 145.2, 142.9, 130.3, 117.8, 115.1, 65.1, 60.2, 57.1, 48.1, 42.5, 37.1, 36.7, 33.6, 33.2, 24.9, 21.5, 20.1, 19.5, 18.4, 16.5. (Figure S13). HRMS (ESI): m/z [M-H] calcd. for [C22H30O4]: 357.2071, found: 357.2059. [ a ] D 30 = −11.61 (c = 0.37, MeOH).
(1R,2R,4aS,8aS)-1-(5-Ethyl-2,3-diMethoxybenzyl)-2,5,5,8a-tetramethyldecahydronaphthalen-2-ol (19) [14]: Yield 73%, colorless oil. 1H NMR (400 MHz, CDCl3) δ: 6.66 (s, 1H), 6.56 (s, 1H), 3.83 (s, 6H), 2.80 (s, 2H), 2.61–2.53 (m, 3H), 1.82 (s, 2H), 1.67 (s, 1H), 1.61 (s, 3H), 1.41 (d, J = 6.6 Hz, 2H), 1.33 (d, J = 15.8 Hz, 2H), 1.28 (s, 3H), 1.20 (t, J = 7.5 Hz, 3H), 1.09 (d, J = 3.4 Hz, 1H), 0.90 (s, 3H), 0.85 (s, 3H), 0.80 (s, 3H). 13C NMR (101 MHz, CDCl3) δ: 152.3, 144.3, 140.0, 137.6, 122.0, 109.6, 73.7, 62.8, 60.56, 56.1, 55.6, 43.7, 41.8, 40.3, 39.4, 33.5, 33.3, 28.8, 25.3, 24.3, 21.6, 20.3, 18.6, 15.7, 15.4. (Figure S7).
(4aS,6aR,11aR,11bS)-7-Ethyl-9,10-diMethoxy-4,4,6a,11b-tetramethyl-2,3,4,4a,5,6,6a,11,11a,11b-decahydro-1H-benzo[a]fluorene (20) [14]: Yield 92%, colorless oil. 1H NMR (400 MHz, CDCl3) δ: 6.53 (s, 1H), 3.85 (s, 3H), 3.84 (s, 3H), 2.76–2.68 (m, 2H), 2.59 (dd, J = 30.3, 10.4 Hz, 2H), 2.41 (d, J = 11.8 Hz, 1H), 1.81 (s, 1H), 1.79–1.73 (m, 3H), 1.61 (d, J = 13.1 Hz, 3H), 1.44 (d, J = 10.6 Hz, 3H), 1.29–1.25 (m, 3H), 1.13 (s, 3H), 1.07 (s, 3H), 1.00 (s, 1H), 0.90 (s, 6H). 13C NMR (101 MHz, CDCl3) δ: 150.4, 144.8, 143.6, 135.8, 133.7, 111.1, 64.3, 60.3, 57.1, 56.0, 47.9, 42.6, 40.2, 39.3, 37.1, 33.4, 33.1, 25.3, 24.7, 21.4, 21.2, 19.7, 18.4, 16.2, 16.1. (Figure S8).
1-((4aS,6aR,11aR,11bS)-9,10-diMethoxy-4,4,6a,11b-tetramet-hyl-2,3,4,4a,5,6,6a,11,11a,11b-decahydro-1H-benzo[a]fluoren-7-yl)ethanone (21) [14]: Yield 27%, white solid. 1H NMR (400 MHz, CDCl3) δ: 6.81 (s, 1H), 3.88 (s, 3H), 3.86 (s, 3H), 3.64 (d, J = 4.3 Hz, 1H), 2.71 (dd, J = 14.7, 6.2 Hz, 1H), 2.58 (d, J = 13.0 Hz, 1H), 2.52 (s, 3H), 2.32 (d, J = 12.5 Hz, 1H), 1.62 (d, J = 5.9 Hz, 6H), 1.40 (d, J = 9.1 Hz, 2H), 1.25 (s, 3H), 1.14 (s, 1H), 1.05 (s, 3H), 0.92 (s, 1H), 0.85 (d, J = 5.6 Hz, 6H). 13C NMR (101 MHz, CDCl3) δ: 201.9, 149.6, 147.9, 147.6, 137.4, 130.5, 110.0, 65.0, 60.5, 57.2, 56.2, 48.0, 42.5, 40.2, 37.1, 36.4, 33.4, 33.1, 30.3, 25.2, 21.1, 20.6, 19.4, 18.4, 16.3. (Figure S9).
1-((4aS,6aR,11aR,11bS)-9,10-diHydroxy-4,4,6a,11b-tetramethyl-2,3,4,4a,5,6,6a,11,11a,11b-decahydro-1H-benzo[a]fluoren-7-yl)ethanone (3): To a solution of 21 (34 mg, 0.088 mmol, 1.0 equiv.) in 5 mL CH2Cl2 was slowly added BI3 (413 mg, 1.05 mmol, 12 equiv.) in 2 mL CH2Cl2 at −78 °C under N2. The mixture was stirred for an additional 0.5 h, then poured into H2O and extracted with CH2Cl2 (2 × 30 mL). The combined CH2Cl2 extracts were dried over Na2SO4, filtered and concentrated. The residue was purified by column chromatography on silica gel (petroleum ether/EtOAc = 4:1) to provide 3 as colorless oil (23.5 mg, 75% yield). 1H NMR (400 MHz, CDCl3) δ: 6.94 (s, 1H), 5.80 (d, J = 157.3 Hz, 2H), 2.61 (dd, J = 14.2, 6.3 Hz, 1H), 2.51 (d, J = 12.9 Hz, 1H), 2.46 (s, 3H), 2.41 (d, J = 12.6 Hz, 1H), 1.64 (d, J = 5.9 Hz, 2H), 1.53 (dd, J = 9.7, 3.0 Hz, 2H), 1.64 (d, J = 5.9 Hz, 2H), 1.53 (dd, J = 9.7, 3.0 Hz, 2H), 1.42 (d, J = 4.8 Hz, 2H), 1.26 (s, 6H), 1.23 (s, 2H), 1.04 (s, 3H), 0.84 (d, J = 6.3 Hz, 6H). 13C NMR (101 MHz, CDCl3) δ: 201.5, 148.3, 143.3, 140.8, 130.3, 127.3, 113.7, 65.3, 57.2, 48.5, 42.5, 40.3, 37.1, 36.3, 33.4, 33.1, 29.7, 24.3, 21.1, 20.3, 19.5, 18.4, 16.3. (Figure S14). HRMS (ESI): m/z [M-H] calcd. for [C23H32O3]: 355.2279, found: 355.2270. [ a ] D 30 = −18.0 (c = 0.36, MeOH).
(4aS,6aR,11aR,11bS)-7-Ethyl-4,4,6a,11b-tetramethyl-2,3,4,4a,5,6,6a,11,11a,11b-decahydro-1H-benzo [a]fluorene-9,10-diol (4): To a solution of 20 (34 mg, 0.092 mmol, 1.0 equiv.) in 5 mL CH2Cl2 was slowly added BI3 (431 mg, 1.10 mmol, 12 equiv.) in 2 mL CH2Cl2 at −78 °C under N2. The mixture was stirred for an additional 0.5 h, then poured into H2O and extracted with CH2Cl2 (2 × 30 mL). The combined CH2Cl2 extracts were dried over Na2SO4, filtered and concentrated. The residue was purified by column chromatography on silica gel (petroleum ether/EtOAc = 4:1) to provide 4 as colorless oil (29.9 mg, 95% yield). 1H NMR (400 MHz, CDCl3) δ: 6.49 (s, 1H), 2.61 (s, 2H), 2.48 (s, 2H), 2.35 (s, 1H), 1.77 (s, 2H), 1.69 (s, 1H), 1.60–1.53 (m, 3H), 1.43 (d, J = 4.1 Hz, 2H), 1.25 (s, 3H), 1.18 (s, 3H), 1.08 (s, 3H), 1.03 (s, 3H), 0.87 (s, 6H). 13C NMR (101 MHz, CDCl3) δ: 144.8, 141.4, 137.9, 130.9, 128.7, 113.7, 64.6, 57.1, 48.1, 42.5, 40.1, 39.3, 37.1, 33.4, 33.1, 24.5, 24.2, 21.4, 21.1, 19.7, 18.4, 16.2, 15.9. (Figure S15). HRMS (ESI): m/z [M-H] calcd. for [C23H34O2]: 341.2486, found: 341.2481. [ a ] D 30 = −161.3 (c = 0.54, MeOH).
(4aS,6aR,11aR,11bS)-9,10-diMethoxy-4,4,6a,11b-tetramethyl-2,3,4,4a,5,6,6a,11,11a,11b-decahydro-1H-benzo[a]fluorene-7-carbaldehyde (22): To compound 15 (60 mg, 0.16 mmol, 1.0 equiv.) in 4 mL solvent (THF:acetone:H2O = 2:1:1) at room temperature was added NMO (0.7 mL) and H4K2O6Os (1 mg). The reaction mixture was stirred at room temperature for 12 h. Then the mixture was quenched with 5 mL saturated NaHS2O3, extracted with CH2Cl2 (2 × 30 mL). The combined CH2Cl2 extracts were dried over Na2SO4, filtered and concentrated. The residue was dissolved in 10 mL CH2Cl2, then NaIO4 (68.4 mg in 2 mL H2O) was added at room temperature for 3 h. The mixture was extracted with EtOAc (2 × 30 mL), washed with saturated brine (50 mL), dried over Na2SO4, filtered and concentrated. The residue was purified by column chromatography on silica gel (petroleum ether/EtOAc = 8:1) to provide 22 as colorless oil (36.8 mg, 61% yield). 1H NMR (400 MHz, CDCl3) δ: 10.32 (s, 1H), 7.21 (s, 1H), 3.88 (s, 3H), 3.82 (s, 3H), 2.70 (d, J = 6.2 Hz, 1H), 2.53 (s, 1H), 2.42 (d, J = 12.1 Hz, 1H), 1.87 (s, 1H), 1.73 (d, J = 12.8 Hz, 2H), 1.63 (d, J = 3.3 Hz, 1H), 1.56 (s, 1H), 1.52 (s, 1H), 1.46–1.40 (m, 1H), 1.37 (d, J = 13.3 Hz, 2H), 1.19 (s, 2H), 1.14 (s, 1H), 1.02 (s, 3H), 0.96 (s, 2H), 0.83 (s, 6H). 13C NMR (101 MHz, CDCl3) δ: 189.9, 153.2, 150.7, 136.1, 127.0, 108.1, 63.9, 60.4, 56.7, 55.9, 48.7, 42.4, 40.8, 40.1, 37.1, 33.3, 33.0, 25.5, 23.7, 21.1, 19.8, 18.3, 16.1. (Figure S10).
(4aS,6aR,11aR,11bS)-9,10-diMethoxy-4,4,6a,11b-tetramethyl-2,3,4,4a,5,6,6a,11,11a,11b-decahydro-1H-benzo[a]fluorene-7-carbonitrile (23): To a solution of 22 (49 mg, 0.13 mmol, 1.0 equiv.) and Et3N (25.6 mg, 0.14 mmol, 1.1 equiv.) in 2 mL CH2Cl2 was slowly added NH2OH·HCl (10 mg, 1.4 mmol, 10 equiv.) at 0 °C. The mixture was stirred for an additional 4 h at room temperature. Then Cl3COCOOCCl3 (43 mg, 0.15 mmol, 1.2 equiv.) was added, releasing a large number of bubbles. The reaction mixture was stirred at room temperature for 12 h, then extracted with CH2Cl2 (2 × 50 mL). The combined CH2Cl2 extracts were dried over Na2SO4, filtered and concentrated. The residue was purified by column chromatography on silica gel (petroleum ether/EtOAc = 8:1) to provide 23 as colorless oil (38.7 mg, 79.6% yield). 1H NMR (400 MHz, CDCl3) δ: 6.86 (s, 1H), 3.91 (s, 3H), 3.83 (s, 3H), 2.71 (d, J = 6.2 Hz, 1H), 2.62 (s, 1H), 2.53 (s, 1H), 1.82–1.76 (m, 1H), 1.72 (d, J = 6.5 Hz, 2H), 1.61 (s, 2H), 1.47 (s, 2H), 1.25 (d, J = 5.4 Hz, 2H), 1.14 (s, 3H), 1.04 (s, 3H), 0.99 (s, 1H), 0.95 (d, J = 10.3 Hz, 1H), 0.88 (s, 6H). 13C NMR (101 MHz, CDCl3) δ: 151.8, 149.5, 148.8, 135.5, 117.0, 112.9, 98.2, 63.1, 59.5, 56.2, 55.2, 46.3, 41.5, 39.1, 36.1, 35.8, 32.4, 32.1, 24.4, 20.8, 20.1, 18.3, 17.2, 15.1. (Figure S11).
(4aS,6aR,11aR,11bS)-9,10-diHydroxy-4,4,6a,11b-tetramethyl-2,3,4,4a,5,6,6a,11,11a,11b-decahydro-1H-benzo[a]fluorene-7-carbaldehyde (5): To a solution of 22 (34 mg, 0.092 mmol, 1.0 equiv.) in 5 mL CH2Cl2 was slowly added BI3 ( 431 mg, 1.10 mmol, 12 equiv.) in 2 mL CH2Cl2 at −78 °C under N2. The mixture was stirred for an additional 0.5 h, then poured into H2O and extracted with CH2Cl2 (2 × 30 mL). The combined CH2Cl2 extracts were dried over Na2SO4, filtered and concentrated. The residue was purified by column chromatography on silica gel (petroleum ether/EtOAc = 4:1) to provide 5 as colorless oil (23.5 mg, 75% yield). 1H NMR (400 MHz, CDCl3) δ: 10.26 (s, 1H), 7.37 (s, 1H), 6.80 (s, 1H), 6.14 (s, 1H), 2.72 (dd, J = 14.7, 5.9 Hz, 1H), 2.54 (d, J = 13.4 Hz, 2H), 1.92 (s, 1H), 1.76 (s, 3H), 1.58 (d, J = 12.1 Hz, 1H), 1.43 (d, J = 11.4 Hz, 2H), 1.26 (s, 2H), 1.22 (s, 3H), 1.07 (s, 3H), 1.00 (d, J = 13.8 Hz, 2H), 0.88 (s, 6H). 13C NMR (101 MHz, CDCl3) δ: 190.5, 154.5, 147.3, 142.0, 129.2, 124.3, 111.2, 64.2, 56.8, 49.0, 42.4, 40.7, 40.1, 37.1, 33.3, 33.1, 24.6, 23.8, 21.1, 19.8, 18.3, 16.1. (Figure S16). HRMS (ESI): m/z [M-H] calcd. for [C22H30O3]: 341.2122, found: 341.2107. [ a ] D 30 = 48.6 (c = 0.23, MeOH).
(4aS,6aR,11aR,11bS)-9,10-diHydroxy-4,4,6a,11b-tetramethyl-2,3,4,4a,5,6,6a,11,11a,11b-decahydro-1H-benzo[a]fluorene-7-carbonitrile (6): To a solution of 23 (11 mg, 0.03 mmol, 1.0 equiv.) in 5 mL CH2Cl2 was slowly added BI3 (140 mg, 0.36 mmol, 12 equiv.) in 1 mL CH2Cl2 at −78 °C under N2. The mixture was stirred for an additional 0.5 h, then poured into H2O. The solution was extracted with CH2Cl2 (2 × 30 mL). The combined CH2Cl2 extracts were dried over Na2SO4, filtered and concentrated. The residue was purified by column chromatography on silica gel (petroleum ether/EtOAc = 3:1) to provide 6 as colorless oil (7.6 mg, 75% yield). 1H NMR (400 MHz, CDCl3) δ: 6.89 (s, 1H), 4.13 (d, J = 7.2 Hz, 2H), 2.60 (dd, J = 20.5, 8.7 Hz, 2H), 2.45 (s, 1H), 2.06 (s, 1H), 1.73 (d, J = 12.9 Hz, 3H), 1.40 (s, 1H), 1.25 (s, 3H), 1.10 (s, 2H), 1.02 (s, 2H), 0.86 (s, 9H). 13C NMR (101 MHz, CDCl3) δ: 152.9, 145.6, 141.8, 129.8, 118.3, 116.7, 95.3, 64.4, 57.2, 47.6, 42.5, 40.1, 37.0, 36.8, 33.4, 33.1, 24.5, 21.9, 21.1, 19.4, 18.3, 16.2. (Figure S17). HRMS (ESI): m/z [M-H] calcd. for [C22H29NO2]: 338.2126, found: 338.2119. [ a ] D 30 = 10.2 (c = 0.53, MeOH).

3.2. Kinase Assays of PI3K

PI3K reactions were performed in 50 mM HEPES at pH 7.5 with 1 mM EGTA, 100 mM NaCl, 3 mM MgCl2, 2 mM DTT, and 0.03% CHAPS. All tested compounds were dissolved in 100% DMSO. PIP2 and ATP were used as substrates, and the final reaction volume was 10 μL. To evaluate the PI3Kα inhibitors, 1.65 nM enzyme, 50 μM PIP2, and 25 μM ATP were used for every 10 μL reaction volume with inhibitor concentrations ranging from 0.5 nM to 10 μM. After incubating for 1 h at room temperature, the reactions were quenched by adding 10 μL of Kinase-Glo reagent. Raw data were collected from Flexstation program.

3.3. Antiproliferative Assays in Vitro

The following cell lines, MCF-7, SK-BR-3, K562, Hela, MOLT-4, DU145, U937, and PC3 were purchased from Shanghai Cell Bank, Chinese Academy of Sciences. The cells were maintained at 37 °C in a 5% CO2 incubator in DMEM (Gibco, Invitrogen, Carlsbad, CA, USA) or RPMI1640 (Gibco, Invitrogen) containing 10% FBS. Cell proliferation was determined by CCK8 assay (DOjinDo, Kyoto, Japan). Cells were seeded at a density of 800–1000 cells/well in 384 well plates and treated with solvent control or various concentration of compounds. After 72 h incubation, CCK8 reagent was added and absorbance was measured at 450 nm by using Envision 2104 multi-label Reader (Perkin Elmer, Waltham, MA, USA). Dose-response curves were plotted to determine the IC50 values using Prism 5.0 (Graph Pad software Inc., San Diego, CA, USA).

4. Conclusions

Pelorol is natural product isolated from marine organisms, which possesses novel structure with high bioactivity. To solve the source problem of pelorol, we have developed an efficient and practical synthetic route for the preparation of pelorol in large scale. Moreover, the synthesis of some key intermediates has been optimized and scaled up. Five pelorol analogs have been prepared, their PI3K and tumor cell inhibitory activities have also been evaluated. This work is useful for further route optimization, structural modifications, activity assays and large-scale preparation of pelorol and related analogs.

Supplementary Materials

The following are available online at www.mdpi.com/link, Figures S1–S17: 1H and 13C NMR spectra of compounds.

Acknowledgments

This work was financially supported by the National High-tech R&D Program of China (863 Program, No. 2013AA092903) and the Guangdong Province Natural Science Foundation (No. 2015A030313184).

Author Contributions

Y.L and H.C. performed experiments for the synthesis, structure confirmation, PI3K enzymatic activity assay and antiproliferative assays of the compounds; G.L. supervised the research work; and all authors contributed to writing the paper.

Conflicts of Interest

The authors declare no conflict of interest.

Abbreviations

The following abbreviations are used in this manuscript:
CHAPS3-[(3-Cholamidopropyl)dimethylammonio]-1-propane sulfonate
CTABHexadecyl trimethyl ammonium bromide
DCCDicyclimide
DIBALDiisobutylaluminium hydride
DMEMDulbecco minimum essential medium
DTTDithiothreitol in Ethyl acetate
EGTAEthylenebis(oxyethylenenitrilo)tetraacetic acid
FBSFetal calf serum
HEPES2-[4-(2-Hydroxyethyl)-1-piperazinyl]ethanesulfonic acid
NMO4-Methylmorpholine N-oxide
PCCPyridinum chlorochromate
PDCPyridinium dichromate
PIDAIodobenzene diacetate
TBHPtert-Butylhydroperoxide
TLCThin layer chromatography
S-Phos2-Dicyclohexylphosphino-2′,6′-diMethoxy-1,1′-biphenyl

References

  1. Newman, D.J.; Cragg, G.M.; Snader, K.M. Natural products as sources of new drugs over the 30 years from 1981 to 2010. J. Nat. Prod. 2012, 75, 311–335. [Google Scholar] [CrossRef] [PubMed]
  2. Liu, Y.-H.; Zhang, S.; Jung, J.H.; Xu, T.-H. Bioactive furanosesterterpenoids from marine sponges. Top. Heterocycl. Chem. 2007, 11, 231–258. [Google Scholar]
  3. Wang, B.-G.; Gloer, J.B.; Ji, N.-Y.; Zhao, J.-C. Halogenated organic molecules of rhodomelaceae origin: Chemistry and biology. Chem. Rev. 2013, 113, 3632–3685. [Google Scholar] [CrossRef] [PubMed]
  4. Lin, Y.-S.; Chen, C.-H.; Liaw, C.-C.; Chen, Y.-C.; Kuo, Y.-H.; Shen, Y.-C. Cembrane diterpenoids from the Taiwanese soft coral Sinularia flexibilis. Tetrahedron 2009, 65, 9157–9164. [Google Scholar] [CrossRef]
  5. Talpir, R.; Rudi, A.; Kashman, Y.; Loya, Y.; Hizi, A. Three new sesquiterpene hydroquinones from marine origin. Tetrahedron 1994, 50, 4179–4184. [Google Scholar] [CrossRef]
  6. Simona, D.M.; Festaa, C.; D’Auriaa, M.V.; Bourguet-Kondrackib, M.-L.; Petekc, S.; Debitusd, C.; Andrése, R.M.; Terencioe, M.C.; Payáe, M.; Zampella, A. Coscinolactams A and B: New nitrogen-containing sesterterpenoids from the marine sponge Coscinoderma mathewsi exerting anti-inflammatory properties. Tetrahedron 2009, 65, 2905–2909. [Google Scholar]
  7. Itokawa, H.; Morita, H. Cytotoxic and antifungal diterpenes from the seeds of Alpinia galangal. Planta Med. 1988, 54, 117–119. [Google Scholar]
  8. Singh, M.; Pal, M.; Sharma, R.P. Biological activity of the Labdane diterpenes. Planta Med. 1999, 65, 2–8. [Google Scholar] [CrossRef] [PubMed]
  9. Kwak, J.H.; Schmitz, F.J.; Kelly, M.J. Sesquiterpene quinols/quinones from the micronesian sponge Petrosaspongia metachromia. J. Nat. Prod. 2000, 63, 1153–1156. [Google Scholar] [CrossRef] [PubMed]
  10. Goclik, E.; König, G.M.; Wright, A.D.; Kaminsky, R. Pelorol from the tropical marine sponge Dactylospongia elegans. J. Nat. Prod. 2000, 63, 1150–1152. [Google Scholar] [CrossRef] [PubMed]
  11. Viernes, D.R.; Choi, L.B.; Kerr, W.G.; Chisholm, J.D. Discovery and development of small molecule SHIP phosphatase modulators. Med. Res. Rev. 2014, 34, 795–824. [Google Scholar] [CrossRef] [PubMed]
  12. Vivanco, I.; Sawyers, C.L. The phosphatidylinositol 3-kinase-akt pathway in human cancer. Nat. Rev. Cancer 2002, 2, 489–501. [Google Scholar] [CrossRef] [PubMed]
  13. Yang, L.; Williams, D.E.; Mui, A.; Ong, C.; Krystal, G.; Soest, R.V.; Andersen, R.J. Synthesis of pelorol and analogues: Activators of the inositol 5-phosphatase SHIP. Org. Lett. 2005, 17, 1073–1076. [Google Scholar] [CrossRef] [PubMed]
  14. Dixon, D.D.; Lockner, J.W.; Zhou, Q.-H.; Baran, P.S. Scalable, divergent synthesis of meroterpenoids via “borono-sclareolide”. J. Am. Chem. Soc. 2012, 134, 8432–8435. [Google Scholar] [CrossRef] [PubMed]
  15. Shaikh, T.M.; Hong, F.-E. Iron-catalyzed oxidative cleavage of olefins and alkynes to carboxylic acids with aqueous tert-butyl hydroperoxide. Adv. Synth. Catal. 2011, 353, 1491–1496. [Google Scholar] [CrossRef]
  16. Walker, S.D.; Barder, T.E.; Martinelli, J.R.; Buchwald, S.L. A rationally designed universal catalyst for Suzuki-Miyaura coupling processes. Angew. Chem. Int. Ed. 2004, 43, 1871–1876. [Google Scholar] [CrossRef] [PubMed]
  17. Muniz, K. Electronic effects in olefin oxidation by imidoosmium (VIII) compounds. Eur. J. Org. Chem. 2004, 10, 2243–2252. [Google Scholar] [CrossRef]
  18. Ren, Q.-G.; Chen, S.-Y.; Zhou, X.-T.; Ji, H.-B. Highly efficient controllable oxidation of alcohols to aldehydes and acids with sodium periodate catalyzed by water-soluble metalloporphyrins as biomimetic catalyst. Bioorg. Med. Chem. 2010, 18, 8144–8149. [Google Scholar] [CrossRef] [PubMed]
  19. Bose, D.S.; Goud, P.R. Bis(trichloromethyl)carbonate, an efficient activator for the one-pot conversion of aldehydes into nitriles under mild conditions. Synth. Commun. 2002, 32, 3621–3624. [Google Scholar] [CrossRef]
  20. Xu, J.-H.; Jiang, Q.; Guo, C.-C. Phenyliodonium diacetate mediated direct synthesis of benzonitriles from styrenes through oxidative cleavage of C=C bonds. J. Org. Chem. 2013, 78, 11881–11886. [Google Scholar] [CrossRef] [PubMed]
Figure 1. Representative bioactive compounds of labdane-type diterpenes.
Figure 1. Representative bioactive compounds of labdane-type diterpenes.
Marinedrugs 14 00118 g001
Figure 2. Pelerol analogs 26 in our work.
Figure 2. Pelerol analogs 26 in our work.
Marinedrugs 14 00118 g002
Scheme 1. Synthesis of 1 and 2. Reagents and conditions: (a) DIBAL, CH2Cl2, −78 °C, 1 h; (b) PIDA, I2, toluene, hv, 80 °C,1 h; (c) AgF, pyridine, room temperature (RT), 12 h; (d) K2CO3, MeOH, 0 °C–RT, 2 h; (e) BH3·THF, THF, 0 °C–RT, 12 h; (f) S-Phos, CsF, Pd(OAc)2, 1,4-dioxane, 50 °C, 18 h; (g) SnCl4, CH2Cl2, –78 °C, 1 h; (h) FeCl3·6H2O, TBHP, NaOH, CTAB, H2O, 80 °C, 48 h; (i) MeI, K2CO3, DMF, RT, 12 h; (j) BI3, CH2Cl2, –78 °C, 1 h.
Scheme 1. Synthesis of 1 and 2. Reagents and conditions: (a) DIBAL, CH2Cl2, −78 °C, 1 h; (b) PIDA, I2, toluene, hv, 80 °C,1 h; (c) AgF, pyridine, room temperature (RT), 12 h; (d) K2CO3, MeOH, 0 °C–RT, 2 h; (e) BH3·THF, THF, 0 °C–RT, 12 h; (f) S-Phos, CsF, Pd(OAc)2, 1,4-dioxane, 50 °C, 18 h; (g) SnCl4, CH2Cl2, –78 °C, 1 h; (h) FeCl3·6H2O, TBHP, NaOH, CTAB, H2O, 80 °C, 48 h; (i) MeI, K2CO3, DMF, RT, 12 h; (j) BI3, CH2Cl2, –78 °C, 1 h.
Marinedrugs 14 00118 sch001
Scheme 2. Synthesis of 3 and 4. Reagents and conditions: (a) S-Phos, CsF, Pd(OAc)2, 1,4-dioxane, 50 °C, 12 h; (b) SnCl4, CH2Cl2, −20 °C, 1 h; (c) PCC, 40 °C, 20 h; (d) BI3, CH2Cl2, −78 °C, 1 h.
Scheme 2. Synthesis of 3 and 4. Reagents and conditions: (a) S-Phos, CsF, Pd(OAc)2, 1,4-dioxane, 50 °C, 12 h; (b) SnCl4, CH2Cl2, −20 °C, 1 h; (c) PCC, 40 °C, 20 h; (d) BI3, CH2Cl2, −78 °C, 1 h.
Marinedrugs 14 00118 sch002
Scheme 3. Synthesis of 5 and 6. Reagents and conditions: (a) NMO, H4K2O6Os, THF:acetone:H2O=2:1:1, RT, 8 h; (b) NaIO4, CH2Cl2, 0 °C–RT, 3 h; (c) NH2OH·HCl, Et3N, RT, 4 h; (d) Cl3COCOOCCl3, CH2Cl2, RT, 8 h; (e) BI3, CH2Cl2, −78 °C, 1 h.
Scheme 3. Synthesis of 5 and 6. Reagents and conditions: (a) NMO, H4K2O6Os, THF:acetone:H2O=2:1:1, RT, 8 h; (b) NaIO4, CH2Cl2, 0 °C–RT, 3 h; (c) NH2OH·HCl, Et3N, RT, 4 h; (d) Cl3COCOOCCl3, CH2Cl2, RT, 8 h; (e) BI3, CH2Cl2, −78 °C, 1 h.
Marinedrugs 14 00118 sch003
Table 1. Inhibition of pelorol and analogs against PI3Kα (μM) a.
Table 1. Inhibition of pelorol and analogs against PI3Kα (μM) a.
Compound12345 b620
IC5038.1720.708.7683.695.0649.51>100
a Average of three replicates; b For compound 5, IC50 value for PI3Kβ is 8.90 μM, for PI3Kγ is >100 μM, for PI3Kδ is >100 μM.
Table 2. Relative IC50 values (μM) of pelorol and analogs against tumor cell lines a.
Table 2. Relative IC50 values (μM) of pelorol and analogs against tumor cell lines a.
Compound123456
MCF-7>30>30>30>3038.916.5
K562>30>30>30>3016.11>30
Hela>30N.D. b>30>3013.1512.05
DU14572.69>30>30>309.018.13
MOLT-4>30N.D.22.3>304.272.89
SK-BR-3>30N.D.>30>3019.14>30
U937>30N.D.>30>305.9912.85
PC3>30>30>30>3018.36>30
a Average of three replicates; b N.D.: not determined.

Share and Cite

MDPI and ACS Style

Luo, Y.; Chen, H.; Weng, J.; Lu, G. Synthesis of Pelorol and Its Analogs and Their Inhibitory Effects on Phosphatidylinositol 3-Kinase. Mar. Drugs 2016, 14, 118. https://doi.org/10.3390/md14060118

AMA Style

Luo Y, Chen H, Weng J, Lu G. Synthesis of Pelorol and Its Analogs and Their Inhibitory Effects on Phosphatidylinositol 3-Kinase. Marine Drugs. 2016; 14(6):118. https://doi.org/10.3390/md14060118

Chicago/Turabian Style

Luo, Yongjie, Huixuan Chen, Jiang Weng, and Gui Lu. 2016. "Synthesis of Pelorol and Its Analogs and Their Inhibitory Effects on Phosphatidylinositol 3-Kinase" Marine Drugs 14, no. 6: 118. https://doi.org/10.3390/md14060118

APA Style

Luo, Y., Chen, H., Weng, J., & Lu, G. (2016). Synthesis of Pelorol and Its Analogs and Their Inhibitory Effects on Phosphatidylinositol 3-Kinase. Marine Drugs, 14(6), 118. https://doi.org/10.3390/md14060118

Note that from the first issue of 2016, this journal uses article numbers instead of page numbers. See further details here.

Article Metrics

Back to TopTop