3-[4-(1H-Indol-3-yl)-1,3-thiazol-2-yl]-1H-pyrrolo[2,3-b]pyridines, Nortopsentin Analogues with Antiproliferative Activity
Abstract
:1. Introduction



2. Results and Discussion
2.1. Chemistry

| Compound | R | R1 | R2 | Yield% | Compound | R | R1 | R2 | Yield% |
|---|---|---|---|---|---|---|---|---|---|
| 3a | H | Me | F | 97 | 3g | H | Ts | H | 90 |
| 3b | Me | Me | F | 30 | 3h | Me | Ts | H | 50 |
| 3c | H | Me | H | 60 | 3i | H | H | F | 98 |
| 3d | Me | Me | H | 60 | 3l | Me | H | F | 40 |
| 3e | H | Ts | F | 97 | 3j | H | H | H | 98 |
| 3f | Me | Ts | F | 40 | 3k | Me | H | H | 98 |
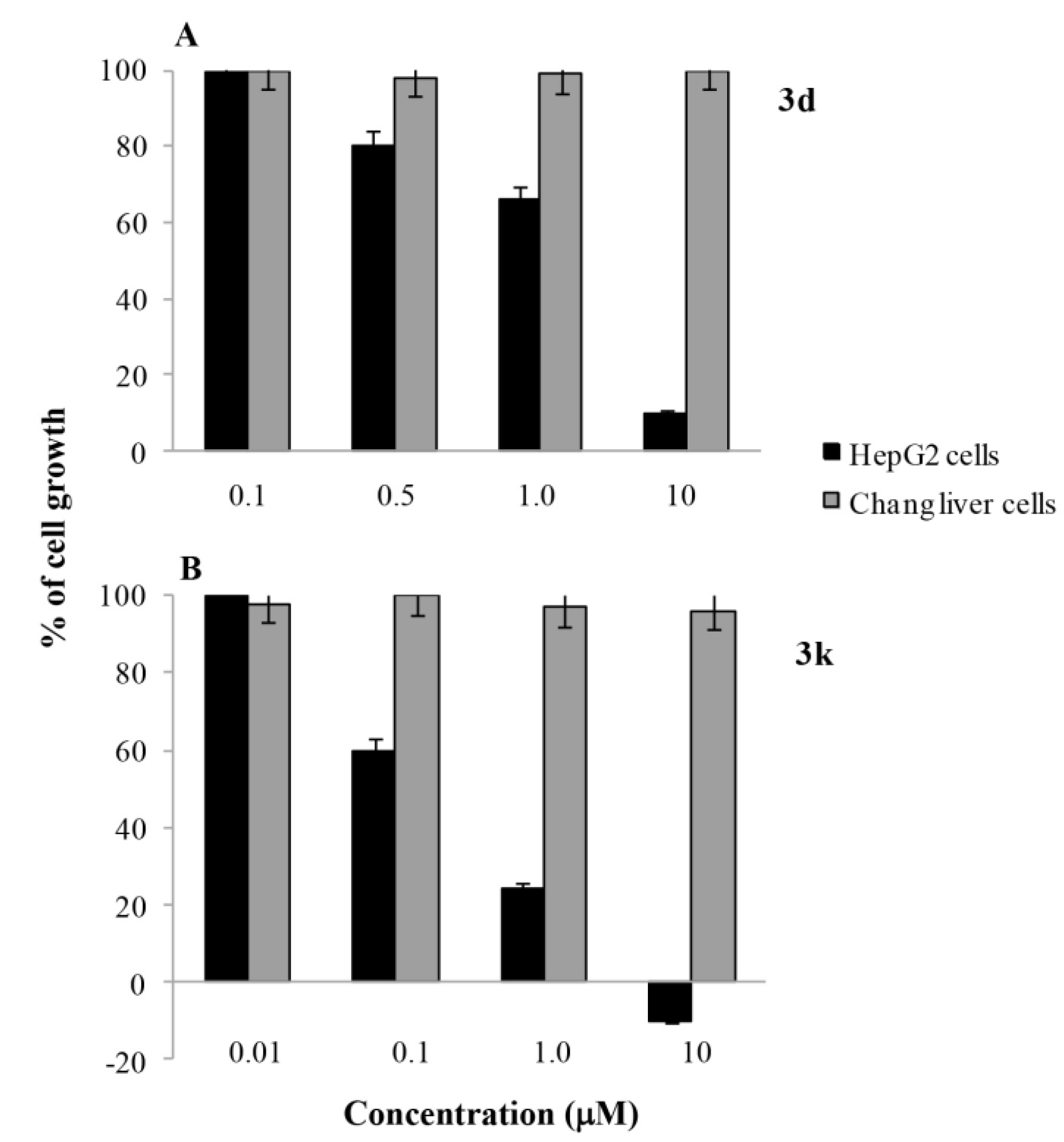
2.2. Biology
| Cell Lines | GI50 (µM) | Cell Lines | GI50 (µM) | Cell Lines | GI50 (µM) | |||
|---|---|---|---|---|---|---|---|---|
| 3d | 3k | 3d | 3k | 3d | 3k | |||
| Leukemia | CNS Cancer | Renal Cancer | ||||||
| CCRF-CEM | 0.40 | 0.43 | SF-268 | 2.44 | 0.94 | 786-0 | 0.97 | 0.72 |
| HL-60(TB) | 0.29 | 0.32 | SF-295 | 0.24 | 0.31 | A498 | 0.50 | 0.37 |
| K-562 | 0.07 | 0.12 | SF-539 | 0.18 | 0.25 | ACHN | 0.72 | 0.51 |
| MOLT-4 | 0.67 | 0.66 | SNB-19 | 0.63 | 0.64 | CAKI-1 | 0.38 | 0.44 |
| RPMI-8226 | 0.45 | 0.65 | SNB-75 | 0.16 | 0.14 | RXF393 | 0.33 | 0.52 |
| SR | 0.06 | 0.14 | U251 | 0.41 | 0.43 | SN12C | 12.1 | 5.48 |
| TK-10 | 0.60 | 0.99 | ||||||
| UO-31 | 0.90 | 0.69 | ||||||
| Non-Small Cell Lung Cancer | Melanoma | Prostate Cancer | ||||||
| A549/ATCC | 0.56 | 0.71 | LOX IMVI | 0.54 | 0.51 | PC-3 | 0.46 | 0.56 |
| EKVK | 0.91 | 0.91 | MALME-3M | 1.04 | 0.74 | DU-145 | 0.39 | 0.56 |
| HOP-62 | 0.81 | 0.93 | M14 | 0.27 | 0.28 | |||
| HOP-92 | 0.35 | 0.31 | MDA-MB-435 | 0.03 | 0.04 | |||
| NCI-H226 | 0.74 | 0.65 | SK-MEL-2 | 0.58 | 0.41 | |||
| NCI-H23 | 0.72 | 0.67 | SK-MEL-28 | 1.20 | 0.76 | |||
| NCI-H322M | 0.76 | ND b | SK-MEL-5 | 0.24 | 0.27 | |||
| NCI-H460 | 0.30 | 0.37 | UACC-257 | 13.0 | 14.2 | |||
| NCI-H522 | 0.04 | 0.05 | UACC-62 | 0.30 | 0.42 | |||
| Colon Cancer | Ovarian Cancer | Breast Cancer | ||||||
| COLO-205 | 0.19 | 0.19 | IGROV1 | 1.33 | 1.18 | MCF7 | 0.33 | 0.37 |
| HCC-2998 | 1.13 | 1.18 | OVCAR-3 | 0.10 | 0.25 | MDA-MB-231/ATCC | 2.82 | 1.29 |
| HCT-116 | 0.37 | 0.39 | OVCAR-4 | 7.22 | 0.52 | HS 578T | 0.59 | 0.66 |
| HCT-15 | 0.17 | 0.29 | OVCAR-5 | 1.41 | 2.39 | BT-549 | 0.47 | 0.44 |
| HT29 | 0.25 | 0.19 | OVCAR-8 | 0.66 | 0.82 | MDA-MB-468 | 0.28 | 0.23 |
| KM12 | 0.21 | 0.40 | NCI/ADR-RES | 0.09 | 0.15 | |||
| SW-620 | 0.22 | 0.30 | SK-OV-3 | 0.57 | 0.52 | |||




3. Experimental Section
3.1. Chemistry
3.1.1. General
3.1.2. Synthesis of 5-Fluoro-1-methyl-1H-indole (7b)
3.1.3. Synthesis of 5-Fluoro-1-[(4-methylphenyl)sulfonyl]-1H-indole (7c)
3.1.4. Synthesis of 1-(1-Methyl-1H-indol-3-yl)ethanone (8b)
3.1.5. Synthesis of 1-{1-[(4-Methylphenyl)sulfonyl]-1H-indol-3-yl}ethanone (8c)
3.1.6. Synthesis of 2-Chloro-1-(5-fluoro-1H-indol-3-yl)ethanones (9a,b)
3.1.6.1. 2-Chloro-1-(5-fluoro-1-methyl-1H-indol-3-yl)ethanone (9a)
3.1.6.2. 2-Chloro-1-{5-fluoro-1-[(4-methylphenyl)sulfonyl]-1H-indol-3-yl}ethanone (9b)
3.1.7. Synthesis of 2-Bromo-(1H-indol-3-yl)ethanones (9c,d)
3.1.7.1. 2-Bromo-1-(1-methyl-1H-indol-3-yl)ethanone (9c)
3.1.7.2. 2-Bromo-1-{1-[(4-methylphenyl)sulfonyl]-1H-indol-3-yl}ethanone (9d)
3.1.8. Synthesis of 3-[4-(1H-indol-3-yl)-1,3-thiazol-2-yl]-1H-pyrrolo[2,3-b]pyridines (3a–h)
3.1.8.1. 3-[4-(5-Fluoro-1-methyl-1H-indol-3-yl)-1,3-thiazol-2-yl]-1H-pyrrolo[2,3-b]pyridine (3a)
3.1.8.2. 3-[4-(5-Fluoro-1-methyl-1H-indol-3-yl)-1,3-thiazol-2-yl]-1-methyl-1H-pyrrolo[2,3-b]pyridine (3b)
3.1.8.3. 3-[4-(1-Methyl-1H-indol-3-yl)-1,3-thiazol-2-yl]-1H-pyrrolo[2,3-b]pyridine (3c)
3.1.8.4. 1-Methyl-3-[4-(1-methyl-1H-indol-3-yl)-1,3-thiazol-2-yl]-1H-pyrrolo[2,3-b]pyridine (3d)
3.1.8.5. 3-(4-{5-Fluoro-1-[(4-methylphenyl)sulfonyl]-1H-indol-3-yl}-1,3-thiazol-2-yl)-1H-pyrrolo [2,3-b]pyridine (3e)
3.1.8.6. 3-(4-{5-Fluoro-1-[(4-methylphenyl)sulfonyl]-1H-indol-3-yl}-1,3-thiazol-2-yl)-1-methyl-1H-pyrrolo[2,3-b]pyridine (3f)
3.1.8.7. 3-(4-{1-[(4-Methylphenyl)sulfonyl]-1H-indol-3-yl}-1,3-thiazol-2-yl)-1H-pyrrolo[2,3-b] pyridine (3g)
3.1.8.8. 1-Methyl-3-(4-{1-[(4-methylphenyl)sulfonyl]-1H-indol-3-yl}-1,3-thiazol-2-yl)-1H-pyrrolo [2,3-b]pyridine (3h)
3.1.9. Synthesis of 3-[4-(1H-indol-3-yl)-1,3-thiazol-2-yl]-1H-pyrrolo[2,3-b]pyridines (3i–k)
3.1.9.1. 3-[4-(5-Fluoro-1H-indol-3-yl)-1,3-thiazol-2-yl]-1H-pyrrolo[2,3-b]pyridine (3i)
3.1.9.2. 3-[4-(5-Fluoro-1H-indol-3-yl)-1,3-thiazol-2-yl]-1-methyl-1H-pyrrolo[2,3-b]pyridine (3l)
3.1.9.3. 3-[4-(1H-Indol-3-yl)-1,3-thiazol-2-yl]-1H-pyrrolo[2,3-b]pyridine (3j)
3.1.9.4. 3-[4-(1H-Indol-3-yl)-1,3-thiazol-2-yl]-1-methyl-1H-pyrrolo[2,3-b]pyridine (3k)
3.2. HPLC Analysis
3.3. Biology
3.3.1. Viability Assay in Vitro
3.3.2. Cell Cycle Analysis
3.3.3. Measurement of Phosphatidylserine Exposure
3.3.4. Acridine Orange and Ethidium Bromide Morphological Fluorescence Dye Staining
3.3.5. Measurement of Mitochondrial Transmembrane Potential
3.3.6. Measurement of Intracellular Reactive Oxygen Species
4. Conclusions
Acknowledgments
Author Contributions
Conflicts of Interest
References and Notes
- Barraja, P.; Spanò, V.; Diana, P.; Carbone, A.; Cirrincione, G.; Vedaldi, D.; Salvador, A.; Viola, G.; Dall’Acqua, F. Pyrano[2,3-e]isoindol-2-ones, new angelicin heteroanalogue. Bioorg. Med. Chem. Lett. 2009, 19, 1711–1714. [Google Scholar] [CrossRef] [PubMed]
- Montalbano, A.; Parrino, B.; Diana, P.; Barraja, P.; Carbone, A.; Spanò, V.; Cirrincione, G. Synthesis of the new oligopeptide pyrrole derivative isonetropsin and its one pyrrole unit analogue. Tetrahedron 2013, 69, 2550–2554. [Google Scholar] [CrossRef]
- Barraja, P.; Spanò, V.; Diana, P.; Carbone, A.; Cirrincione, G. Synthesis of the new ring system 6,8-dihydro-5H-pyrrolo[3,4-h]-quinazoline. Tetrahedron Lett. 2009, 50, 5389–5391. [Google Scholar] [CrossRef]
- Barraja, P.; Caracausi, L.; Diana, P.; Carbone, A.; Montalbano, A.; Cirrincione, G.; Brun, P.; Palù, G.; Castagliuolo, I.; Dall’Acqua, F.; et al. Synthesis of pyrrolo[3,2-h]quinolinones with good photochemotherapeutic activity and no DNA damage. Bioorg. Med. Chem. 2010, 18, 4830–4843. [Google Scholar] [CrossRef] [PubMed]
- Diana, P.; Stagno, A.; Barraja, P.; Montalbano, A.; Carbone, A.; Parrino, B.; Cirrincione, G. Synthesis of the new ring system pyrrolizino[2,3-b]indol-4(5H)-one. Tetrahedron 2011, 67, 3374–3379. [Google Scholar] [CrossRef]
- Barraja, P.; Spanò, V.; Giallombardo, D.; Diana, P.; Montalbano, A.; Carbone, A.; Parrino, B.; Cirrincione, G. Synthesis of [1,2]oxazolo[5,4-e]indazoles as antitumour agents. Tetrahedron 2013, 69, 6474–6477. [Google Scholar]
- Diana, P.; Barraja, P.; Lauria, A.; Montalbano, A.; Almerico, A.M.; Dattolo, G.; Cirrincione, G. Pyrrolo[2,1-c][1,2,4]triazines from 2-diazopyrroles: Synthesis and antiproliferative activity. Eur. J. Med. Chem. 2002, 37, 267–272. [Google Scholar] [CrossRef] [PubMed]
- Barraja, P.; Diana, P.; Spanò, V.; Montalbano, A.; Carbone, A.; Parrino, B.; Cirrincione, G. An efficient synthesis of pyrrolo[3′,2′:4,5]thiopyrano[3,2-b]pyridin-2-one: A new ring system of pharmaceutical interest. Tetrahedron 2012, 68, 5087–5094. [Google Scholar] [CrossRef]
- Barraja, P.; Caracausi, L.; Diana, P.; Montalbano, A.; Carbone, A.; Salvador, A.; Brun, P.; Castagliuolo, I.; Tisi, S.; Dall’Acqua, F.; et al. Pyrrolo[3,2-h]quinazolines as photochemotherapeutic agents. ChemMedChem 2011, 6, 1238–1248. [Google Scholar] [CrossRef] [PubMed]
- Diana, P.; Martorana, A.; Barraja, P.; Lauria, A.; Montalbano, A.; Almerico, A.M.; Dattolo, G.; Cirrincione, G. Isoindolo[2,1-c]benzo[1,2,4]triazines: A new ring system with antiproliferative activity. Bioorg. Med. Chem. 2007, 15, 343–349. [Google Scholar] [CrossRef] [PubMed]
- Barraja, P.; Diana, P.; Montalbano, A.; Carbone, A.; Viola, G.; Basso, G.; Salvador, A.; Vedaldi, D.; Dall’Acqua, F.; Cirrincione, G. Pyrrolo[3,4-h]quinolinones a new class of photochemotherapeutic agents. Bioorg. Med. Chem. 2011, 19, 2326–2341. [Google Scholar] [CrossRef] [PubMed]
- Barraja, P.; Caracausi, L.; Diana, P.; Spanò, V.; Montalbano, A.; Carbone, A.; Parrino, B.; Cirrincione, G. Synthesis and antiproliferative activity of the ring system [1,2]oxazolo[4,5-g]indole. ChemMedChem 2012, 7, 1901–1904. [Google Scholar] [CrossRef] [PubMed]
- Spanò, V.; Montalbano, A.; Carbone, A.; Parrino, B.; Diana, P.; Cirrincione, G.; Barraja, P. Convenient synthesis of pyrrolo[3,4-g]indazole. Tetrahedron 2013, 69, 9839–9847. [Google Scholar] [CrossRef]
- Ma, D.-L.; Liu, L.-J.; Leung, K.-H.; Chen, Y.-T.; Zhong, H.-J.; Chan, D.S.-H.; Wang, H.-M.D.; Leung, C.-H. Antagonizing STAT3 Dimerization with a Rhodium(III) Complex. Angew. Chem. Int. Ed. 2014, 53, 9178–9182. [Google Scholar] [CrossRef]
- Ma, D.-L.; Chan, D.S.-H.; Wei, G.; Zhong, H.-J.; Yang, H.; Leung, L.T.; Gullen, E.A.; Chiu, P.; Cheng, Y.-C.; Leung, C.-H. Virtual screening and optimization of Type II inhibitors of JAK2 from a natural product library. Chem. Commun. 2014, 50, 13885–13888. [Google Scholar] [CrossRef]
- Leung, C.-H.; Liu, L.-J.; Lu, L.; He, B.; Kwong, D.W.J.; Wong, C.-Y.; Ma, D.-L. A metal-based tumor necrosis factor-alpha converting enzyme inhibitor. Chem. Commun. 2015, 51, 3973–3976. [Google Scholar] [CrossRef]
- Ma, D.-L.; Chan, D.S.-H.; Leung, C.-H. Drug repositioning by structure-based virtual screening. Chem. Soc. Rev. 2013, 42, 2130–2141. [Google Scholar] [CrossRef] [PubMed]
- Parrino, B.; Carbone, A.; Ciancimino, C.; Spano, V.; Montalbano, A.; Barraja, P.; Cirrincione, G.; Diana, P.; Sissi, C.; Palumbo, M.; et al. Water-soluble isoindolo[2,1-a]quinoxalin-6-imines: In vitro antiproliferative activity and molecular mechanism(s) of action. Eur. J. Med. Chem. 2015, 94, 149–162. [Google Scholar] [CrossRef] [PubMed]
- Parrino, B.; Carbone, A.; Spano, V.; Montalbano, A.; Giallombardo, D.; Barraja, P.; Attanzio, A.; Tesoriere, L.; Sissi, C.; Palumbo, M.; et al. Aza-isoindolo and isoindolo-azaquinoxaline derivatives with antiproliferative activity. Eur. J. Med. Chem. 2015, 94, 367–377. [Google Scholar] [CrossRef] [PubMed]
- Sun, H.H.; Sakemi, S.; Gunasekera, S.; Kashman, Y.; Lui, M.; Burres, N.; McCarthy, P. Bisindole Compounds which are Useful Antitumor and Antimicrobial Agents. U.S. Patent 4970226, 13 November 1990. [Google Scholar]
- Casapullo, A.; Bifulco, G.; Bruno, I.; Riccio, R. New bisindole alkaloids of the topsentin and hamacanthin classes from the Mediterranean marina sponge Rhaphisia lacazei. J. Nat. Prod. 2000, 63, 447–451. [Google Scholar] [CrossRef] [PubMed]
- Bao, B.; Sun, Q.; Yao, X.; Hong, J.; Lee, C.; Sim, C.J.; Im, K.S.; Jung, J.H. Cytotoxic bisindole alkaloids from a marine sponge Spongosorites sp. J. Nat. Prod. 2005, 68, 711–715. [Google Scholar] [CrossRef] [PubMed]
- Gul, W.; Hamann, M.T. Indole alkaloid marine natural products: An established source of cancer drug leads with considerable promise for the control of parasitic, neurological and other diseases. Life Sci. 2005, 78, 442–453. [Google Scholar] [CrossRef] [PubMed]
- Kobayashi, J.; Murayama, T.; Ishibashi, M.; Kosuge, S.; Takamatsu, M.; Ohizumi, Y.; Kobayashi, H.; Ohta, T.; Nozoe, S.; Sasaki, T. Hyrtiosins A and B, new indole alkaloids from the Okinawan marine sponge Hyrtios erecta. Tetrahedron 1990, 46, 7699–7702. [Google Scholar] [CrossRef]
- Fahy, E.; Potts, B.C.M.; Faulkner, D.J.; Smith, K. 6-Bromotryptamine derivatives from the Gulf of California tunicate Didemnum candidum. J. Nat. Prod. 1991, 54, 564–569. [Google Scholar] [CrossRef]
- Bokesch, H.R.; Pannell, L.K.; McKee, T.C.; Boyd, M.R. Coscinamides A, B, and C, three new bis indole alkaloids from the marine sponge Coscinoderma sp. Tetrahedron Lett. 2000, 41, 6305–6308. [Google Scholar] [CrossRef]
- Shimizu, S.; Yamamoto, Y.; Inagaki, L.; Koshimura, S. Antitumor effect and structure-activity relationship of asterriquinone analogs. Gann 1982, 73, 642–648. [Google Scholar] [PubMed]
- Kohmoto, S.; Kashman, Y.; McConnel, O.J.; Rinehart, K.L., Jr.; Wrigh, A.; Koehn, F. Dragmacidin, a new cytotoxic bis(indole)alkaloid from a deep water marine sponge, dragmacidon sp. J. Org. Chem. 1988, 53, 3116–3118. [Google Scholar] [CrossRef]
- Morris, S.A.; Andersen, R.J. Brominated bis(indole)alkaloids from the marine sponge Hexadella sp. Tetrahedron 1990, 46, 715–720. [Google Scholar] [CrossRef]
- Wright, A.E.; Pomponi, S.A.; Cross, S.S.; McCarthy, P. A new bis-(indole)alkaloid from a deep-water marine sponge of the genus Spongosorites. J. Org. Chem. 1992, 57, 4772–4775. [Google Scholar] [CrossRef]
- Capon, R.J.; Rooney, F.; Murray, L.M.; Collins, E.; Sim, A.T.R.; Rostas, J.A.P.; Butler, M.S.; Carrol, A.R. Dragmacidins: New protein phosphatase inhibitors from a Southern Australian deep-water marine sponge Spongosorites sp. J. Nat. Prod. 1998, 61, 660–662. [Google Scholar] [CrossRef] [PubMed]
- Endo, T.; Tsuda, M.; Fromont, J.; Kobayashi, J. Hyrtinadine A, a bis-indole alkaloid from a marine sponge. J. Nat. Prod. 2007, 70, 423–424. [Google Scholar]
- Bartik, K.; Braekman, J.C.; Daloze, D.; Stoller, C.; Huysecom, J.; Vandevyver, G.; Ottinger, R. Topsentin, new toxic bis-indole alkaloids from the marine sponge Topsentia genitrix. Can. J. Chem. 1987, 65, 2118–2121. [Google Scholar] [CrossRef]
- Tsujii, S.; Rinehart, K.L.; Gunasekera, S.P.; Kashman, Y.; Cross, S.S.; Lui, M.S.; Pomponi, S.A.; Diaz, M.C. Topsentin, bromotopsentin, and dihydrodeoxybromotopsentin: Antiviral and antitumor bis(indolyl)imidazoles from Caribbean deep-sea sponge of the family halichondriidae. Structural and synthetic studies. J. Org. Chem. 1988, 53, 5446–5453. [Google Scholar] [CrossRef]
- Morris, S.A.; Andersen, R.J. Nitrogenous metabolites from the deep water sponge Hexadella sp. Can. J. Chem. 1989, 67, 677–681. [Google Scholar] [CrossRef]
- Murray, L.M.; Lim, T.K.; Hooper, J.N.A.; Capon, R.J. Isobromotopsentin: A new bis(indole) alkaloid from a deep-water marine sponge Spongosorites sp. Aust. J. Chem. 1995, 48, 2053–2058. [Google Scholar] [CrossRef]
- Shin, J.; Seo, Y.; Cho, K.W.; Rho, J.R.; Sim, C.J. New bis(indole) alkaloids of the topsentin class from the sponge Spongosorites genitrix. J. Nat. Prod. 1999, 62, 647–649. [Google Scholar] [CrossRef] [PubMed]
- Alvarez, M.; Salas, M.; Joule, J.A. Marine, nitrogen-containing heterocyclic natural products. Structures and syntheses of compounds containing indole units. Heterocycles 1991, 32, 1391–1429. [Google Scholar] [CrossRef]
- Sakemi, S.; Sun, H.H. Nortopsentins A, B and C. Cytotoxic and antifungal imidazolediylbis[indoles] from the sponge Spongosorites ruetzleri. J. Org. Chem. 1991, 56, 4304–4307. [Google Scholar] [CrossRef]
- Kawasaki, I.; Yamashita, M.; Ohta, S. Total synthesis of nortopsentins A–D marine alkaloids. Chem. Pharm. Bull. 1996, 44, 1831–1839. [Google Scholar] [CrossRef]
- Moody, C.J.; Roffey, J.R.A. Synthesis of N-protected Nortopsentins B and D. Arkivoc 2000, 1, 393–401. [Google Scholar] [CrossRef]
- Miyake, F.Y.; Yakushijin, K.; Horne, D.A. A concise synthesis of topsentin A and nortopsentin B and D. Org. Lett. 2000, 2, 2121–2123. [Google Scholar] [CrossRef] [PubMed]
- Fresneda, P.M.; Molina, P.; Sanz, M.A. Microwave-assisted regioselective synthesis of 2,4-disubstituted imidazoles: Nortopsentin D synthesized by minimal effort. Synlett 2001, 2, 218–221. [Google Scholar]
- Jiang, B.; Gu, X.-H. Syntheses and cytotoxicity evaluation of bis(indolyl)thiazole, bis(indolyl)pyrazinone and bis(indolyl)pyrazine: Analogues of cytotoxic marine bis(indole) alkaloid. Bioorg. Med. Chem. 2000, 8, 363–371. [Google Scholar] [CrossRef] [PubMed]
- Jiang, B.; Yang, C.G.; Xiong, W.N.; Wang, J. Synthesis and cytotoxicity evaluation of novel indolylpyrimidines and indolylpyrazines as potential antitumor agents. Bioorg. Med. Chem. 2001, 9, 1149–1154. [Google Scholar] [CrossRef] [PubMed]
- Jiang, B.; Xiong, X.N.; Yang, C.G. Synthesis and antitumor evaluation of novel monoindolyl-4-trifluoromethylpyridines and bisindolyl-4-trifluoromethylpyridines. Bioorg. Med. Chem. Lett. 2001, 11, 475–477. [Google Scholar] [CrossRef] [PubMed]
- Xiong, W.N.; Yang, C.G.; Jiang, B. Synthesis of novel analogues of marine indole alkaloids: Mono(indolyl)-4-trifluoromethylpyridines and bis(indolyl)-4-trifluoromethylpyridines as potential anticancer agents. Bioorg. Med. Chem. 2001, 9, 1773–1780. [Google Scholar] [CrossRef] [PubMed]
- Diana, P.; Carbone, A.; Barraja, P.; Montalbano, A.; Martorana, A.; Dattolo, G.; Gia, O.; Dalla Via, L.; Cirrincione, G. Synthesis and antitumor properties of 2,5-bis(3′-indolyl)thiophenes: Analogues of marine alkaloid nortopsentin. Bioorg. Med. Chem. Lett. 2007, 17, 2342–2346. [Google Scholar] [CrossRef] [PubMed]
- Diana, P.; Carbone, A.; Barraja, P.; Martorana, A.; Gia, O.; Dalla Via, L.; Cirrincione, G. 3,5-Bis(3′-indolyl)pyrazoles, analogues of marine alkaloid nortopsentin: Synthesis and antitumor properties. Bioorg. Med. Chem. Lett. 2007, 17, 6134–6137. [Google Scholar] [CrossRef] [PubMed]
- Diana, P.; Carbone, A.; Barraja, P.; Kelter, G.; Fiebig, H.H.; Cirrincione, G. Synthesis and antitumor activity of 2,5-bis(3′-indolyl)-furans and 3,5-bis(3′-indolyl)-isoxazoles, nortopsentin analogues. Bioorg. Med. Chem. 2010, 18, 4524–4529. [Google Scholar] [CrossRef] [PubMed]
- Carbone, A.; Parrino, B.; Barraja, P.; Spanò, V.; Cirrincione, G.; Diana, P.; Maier, A.; Kelter, G.; Fiebig, H.H. Synthesis and antiproliferative activity of 2,5-bis(3′-indolyl)pyrroles, analogues of the marine alkaloid nortopsentin. Mar. Drugs 2013, 11, 643–654. [Google Scholar] [CrossRef] [PubMed]
- Kumar, D.; Kumar, N.M.; Chang, K.H.; Gupta, R.; Shah, K. Synthesis and in vitro anticancer activity of 3,5-bis(indolyl)-1,2,4-thiadiazoles. Bioorg. Med. Chem. Lett. 2011, 21, 5897–5900. [Google Scholar] [CrossRef] [PubMed]
- Jacquemard, U.; Dias, N.; Lansiaux, A.; Bailly, C.; Logè, C.; Robert, J.M.; Lozach, O.; Meijer, L.; Merour, J.Y.; Routier, S. Synthesis of 3,5-bis(2-indolyl)pyridine and 3-[(2-indolyl)-5-phenyl]pyridine derivatives as CDK inhibitors and cytotoxic agents. Bioorg. Med. Chem. 2008, 16, 4932–4953. [Google Scholar] [CrossRef] [PubMed]
- Diana, P.; Carbone, A.; Barraja, P.; Montalbano, A.; Parrino, B.; Lopergolo, A.; Pennati, M.; Zaffaroni, N.; Cirrincione, G. Synthesis and antitumor activity of 3-(2-phenyl-1,3-thiazol-4-yl)-1H-indoles and 3-(2-phenyl-1,3-thiazol-4-yl)-1H-7-azaindoles. ChemMedChem 2011, 6, 1300–1309. [Google Scholar] [CrossRef] [PubMed]
- Carbone, A.; Pennati, M.; Barraja, P.; Montalbano, A.; Parrino, B.; Spanò, V.; Lopergolo, A.; Sbarra, S.; Doldi, V.; Zaffaroni, N.; et al. Synthesis and antiproliferative activity of substituted 3[2-(1H-indol-3-yl)-1,3-thiazol-4-yl]-1H-pyrrolo[3,2-b]pyridines, marine alkaloid nortopsentin analogues. Curr. Med. Chem. 2014, 21, 1654–1666. [Google Scholar] [CrossRef] [PubMed]
- Carbone, A.; Pennati, M.; Parrino, B.; Lopergolo, A.; Barraja, P.; Montalbano, A.; Spanò, V.; Sbarra, S.; Doldi, V.; de Cesare, M.; et al. Novel 1H-pyrrolo[2,3-b]pyridine derivatives nortopsentin analogues: Synthesis and antitumor activity in peritoneal mesothelioma experimental models. J. Med. Chem. 2013, 56, 7060–7072. [Google Scholar] [CrossRef] [PubMed]
- Carbone, A.; Parrino, B.; di Vita, G.; Attanzio, A.; Spanò, V.; Montalbano, A.; Barraja, P.; Tesoriere, L.; Livrea, M.A.; Diana, P.; et al. Synthesis and antiproliferative activity of thiazolyl-bis-pyrrolo[2,3-b]pyridines and indolyl-thiazolyl-pyrrolo[2,3-c]pyridines, nortopsentin analogues. Mar. Drugs 2015, 13, 460–492. [Google Scholar] [CrossRef] [PubMed]
- Parrino, B.; Carbone, A.; Muscarella, M.; Spanò, V.; Montalbano, A.; Barraja, P.; Salvador, A.; Vedaldi, D.; Cirrincione, G.; Diana, P. 11H-Pyrido[3′,2′:4,5]pyrrolo[3,2-c]cinnoline and pyrido[3′,2′:4,5]pyrrolo[1,2-c][1,2,3]benzotriazine: Two new ring systems with antitumor activity. J. Med. Chem. 2014, 57, 9495–9511. [Google Scholar] [CrossRef] [PubMed]
- Spanò, V.; Montalbano, A.; Carbone, A.; Parrino, B.; Diana, P.; Cirrincione, G.; Castagliuolo, I.; Brun, P.; Issinger, O.G.; Tisi, S.; et al. Synthesis of a new class of pyrrolo[3,4-h]quinazolines with antimitotic activity. Eur. J. Med. Chem. 2014, 74, 340–357. [Google Scholar] [CrossRef] [PubMed]
- Diana, P.; Stagno, A.; Barraja, P.; Carbone, A.; Parrino, B.; Dall’Acqua, F.; Vedaldi, D.; Salvador, A.; Brun, P.; Castagliuolo, I.; et al. Synthesis of triazenoazaindoles: A new class of triazenes with antitumor activity. ChemMedChem 2011, 6, 1291–1299. [Google Scholar] [CrossRef] [PubMed]
- Cirrincione, G.; Almerico, A.M.; Barraja, P.; Diana, P.; Lauria, A.; Passannanti, A.; Musiu, C.; Pani, A.; Murtas, P.; Minnei, C.; et al. Derivatives of the new ring system indolo[1,2-c]benzo[1,2,3]triazine with potent antitumor and antimicrobial activity. J. Med. Chem. 1999, 42, 2561–2568. [Google Scholar] [CrossRef] [PubMed]
- Barraja, P.; Diana, P.; Carbone, A.; Cirrincione, G. Nucleophilic reactions in the indole series: Displacement of bromine under phase transfer catalysis. Tetrahedron 2008, 64, 11625–11631. [Google Scholar] [CrossRef]
- Barraja, P.; Diana, P.; Montalbano, A.; Dattolo, G.; Cirrincione, G.; Viola, G.; Vedaldi, D.; Dall’Acqua, F. Pyrrolo[2,3-h]quinolinones: A new ring system wih potent photoantiproliferative activity. Bioorg. Med. Chem. 2006, 14, 8712–8728. [Google Scholar] [CrossRef] [PubMed]
- Barraja, P.; Diana, P.; Lauria, A.; Montalbano, A.; Almerico, A.M.; Dattolo, G.; Cirrincione, G.; Viola, G.; Dall’Acqua, F. Pyrrolo[2,3-h]quinolinones: Synthesis and photo-chemotherapic activity. Bioorg. Med. Chem. Lett. 2003, 13, 2809–2811. [Google Scholar] [CrossRef] [PubMed]
- Shoemaker, R.H. The NCI60 human tumour cell line anticancer drug screen. Nat. Rev. Cancer 2006, 6, 813–823. [Google Scholar] [CrossRef] [PubMed]
© 2015 by the authors; licensee MDPI, Basel, Switzerland. This article is an open access article distributed under the terms and conditions of the Creative Commons Attribution license (http://creativecommons.org/licenses/by/4.0/).
Share and Cite
Parrino, B.; Carbone, A.; Di Vita, G.; Ciancimino, C.; Attanzio, A.; Spanò, V.; Montalbano, A.; Barraja, P.; Tesoriere, L.; Livrea, M.A.; et al. 3-[4-(1H-Indol-3-yl)-1,3-thiazol-2-yl]-1H-pyrrolo[2,3-b]pyridines, Nortopsentin Analogues with Antiproliferative Activity. Mar. Drugs 2015, 13, 1901-1924. https://doi.org/10.3390/md13041901
Parrino B, Carbone A, Di Vita G, Ciancimino C, Attanzio A, Spanò V, Montalbano A, Barraja P, Tesoriere L, Livrea MA, et al. 3-[4-(1H-Indol-3-yl)-1,3-thiazol-2-yl]-1H-pyrrolo[2,3-b]pyridines, Nortopsentin Analogues with Antiproliferative Activity. Marine Drugs. 2015; 13(4):1901-1924. https://doi.org/10.3390/md13041901
Chicago/Turabian StyleParrino, Barbara, Anna Carbone, Gloria Di Vita, Cristina Ciancimino, Alessandro Attanzio, Virginia Spanò, Alessandra Montalbano, Paola Barraja, Luisa Tesoriere, Maria Antonia Livrea, and et al. 2015. "3-[4-(1H-Indol-3-yl)-1,3-thiazol-2-yl]-1H-pyrrolo[2,3-b]pyridines, Nortopsentin Analogues with Antiproliferative Activity" Marine Drugs 13, no. 4: 1901-1924. https://doi.org/10.3390/md13041901
APA StyleParrino, B., Carbone, A., Di Vita, G., Ciancimino, C., Attanzio, A., Spanò, V., Montalbano, A., Barraja, P., Tesoriere, L., Livrea, M. A., Diana, P., & Cirrincione, G. (2015). 3-[4-(1H-Indol-3-yl)-1,3-thiazol-2-yl]-1H-pyrrolo[2,3-b]pyridines, Nortopsentin Analogues with Antiproliferative Activity. Marine Drugs, 13(4), 1901-1924. https://doi.org/10.3390/md13041901
