Cembrane Derivatives from the Soft Corals, Sinularia gaweli and Sinularia flexibilis
Abstract
:1. Introduction

2. Results and Discussion
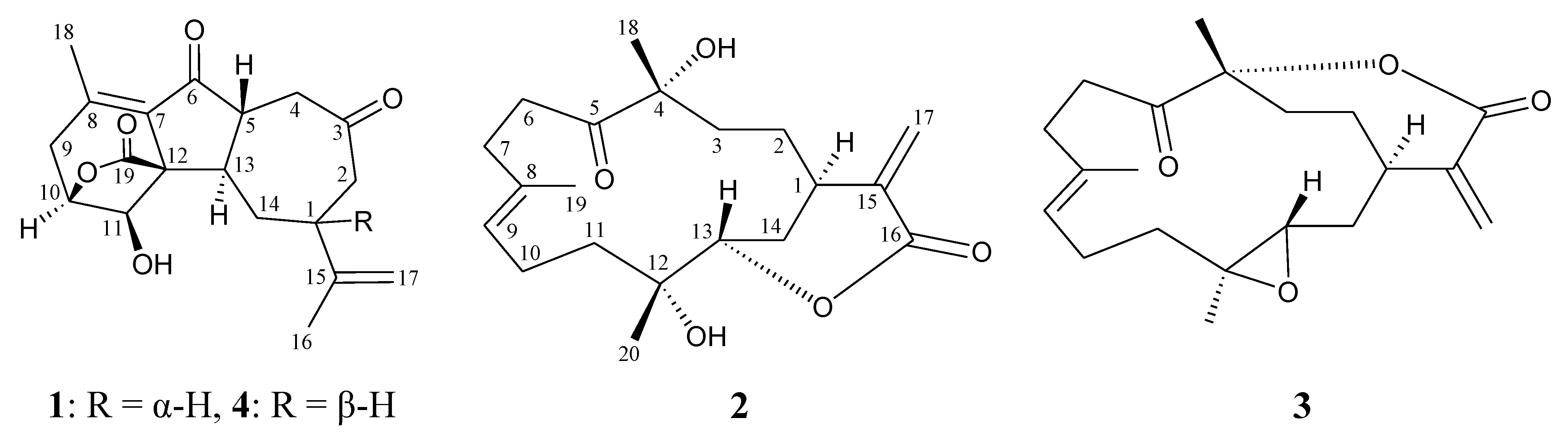
2.1. Isolation and Structure Determination of 1-epi-Sinulanorcembranolide A (1) from Sinularia gaweli
| Position | δH (J in Hz) | δC, Multiple | 1H–1H COSY | HMBC |
|---|---|---|---|---|
| 1 | 2.79 m | 39.4, CH | H2-2, H2-14 | C-3, -13, -14, -15 |
| 2/2′ | 2.71 d (16.0); 2.47 dd (16.0, 7.0) | 42.8, CH2 | H-1 | C-1, -3, -4, -14, -15 |
| 3 | 208.7, C | |||
| 4/4′ | 3.00 dd (15.5, 11.0); 2.56 (15.5, 7.0) | 38.9, CH2 | H-5 | C-3, -5, -6, -13 |
| 5 | 2.82 m | 46.6, CH | H2-4, H-13 | C-3, -4, -12, -13, -14 |
| 6 | 198.0, C | |||
| 7 | 129.9, C | |||
| 8 | 145.6, C | |||
| 9 | 2.68 br s | 39.1, CH2 | H-10 | C-7, -8 |
| 10 | 4.50 dd (2.5, 2.5) | 79.4, CH | H2-9, H-11 | C-8, -11, -19 |
| 11 | 4.15 s | 77.0, CH | H-10 | C-7, -10, -19 |
| 12 | 52.6, C | |||
| 13 | 2.88 m | 32.9, CH | H-5, H2-14 | C-1, -5, -19 |
| 14/14′ | 2.71 br d (5.5); 2.11 m | 28.4, CH2 | H-1, H-13 | C-1, -5, -12, -15 |
| 15 | 147.1, C | |||
| 16 | 1.76 s | 21.5, CH3 | H-17a | C-1, -15, -17 |
| 17a/b | 4.86 s; 4.71 s | 112.3, CH2 | H3-16 | C-1, -16 |
| 18 | 2.02 s | 21.0, CH3 | C-7, -8, -9 | |
| 19 | 174.7, C |


2.2. Isolation and Structure Determination of Flexibilin D (2) from Sinularia flexibilis
| Position | δH (J in Hz) | δC, Multiple | 1H–1H COSY | HMBC |
|---|---|---|---|---|
| 1 | 2.85 m | 35.4, CH | H2-2, H2-14 | n.o. a |
| 2/2′ | 1.49 m; 1.32 m | 28.2, CH2 | H-1, H2-3 | C-1, -3, -4, -14, -15 |
| 3/3′ | 1.79 ddd (13.6, 11,2, 5.6); 1.64 m | 37.2, CH2 | H2-2 | C-1, -2, -4, -5, -18 |
| 4 | 78.9, C | |||
| 5 | 213.8, C | |||
| 6/6′ | 2.76 ddd (18.0, 8.0, 3.2); 2.65 ddd (18.0, 10.2, 3.2) | 35.1, CH2 | H2-7 | C-5, -7, -8 |
| 7/7′ | 2.48 m; 2.33 m | 31.8, CH2 | H2-6 | C-5, -6, -8, -9 |
| 8 | 134.8, C | |||
| 9 | 5.15 dd (5.6, 5.6) | 126.1, CH | H2-10, H3-19 | C-7, -10, -19 |
| 10 | 2.18 m | 23.1, CH2 | H-9, H2-11 | C-8, -9, -11, -12 |
| 11/11′ | 1.87 dd (8.4, 2,8); 1.69 m | 36.7, CH2 | H2-10 | C-9, -12, -13 |
| 12 | 73.9, C | |||
| 13 | 4.29 dd (9.2, 6.0) | 79.1, CH | H2-14 | C-1, -14, -20 |
| 14 | 1.91 m | 26.2, CH2 | H-1, H-13 | C-12, -13, -15 |
| 15 | 138.0, C | |||
| 16 | 165.5, C | |||
| 17a/b | 6.43 d (1.2); 5.56 dd (1.2, 1.2) | 128.4, CH2 | C-1, -15, -16 | |
| 18 | 1.35 s | 25.2, CH3 | C-3, -4, -5 | |
| 19 | 1.66 s | 17.2, CH3 | H-9 | C-7, -8, -9 |
| 20 | 1.31 s | 24.1, CH3 | C-11, -12, -13 | |
| OH-4 | 3.24 br s | C-5 |



| Position | δH (J in Hz) | δC, Multiple | 1H–1H COSY | HMBC |
|---|---|---|---|---|
| 1 | 1.81 m | 34.7, CH | H2-2, H2-14 | C-14, -15, -16, -17 |
| 2/2′ | 2.24 ddd (18.0, 12.4, 6.0); 1.17 m | 30.8, CH2 | H-1, H2-3 | C-1, -3, -4, -14, -15 |
| 3/3′ | 2.41 dd (15.6, 6.0); 1.87 m | 33.1, CH2 | H2-2 | C-1, -2, -4, -18 |
| 4 | 90.4, C | |||
| 5 | 209.1, C | |||
| 6/6′ | 3.11 ddd (20.4, 10.8, 1.6); 2.63 ddd (20.4, 8.4, 1.6) | 33.5, CH2 | H2-7 | C-5, -7, -8 |
| 7/7′ | 2.68 m; 1.94 m | 29.9, CH2 | H2-6 | C-5, -6, -8, -9 |
| 8 | 134.9, C | |||
| 9 | 5.02 ddq (7.2, 7.2, 1.2) | 122.6, CH | H2-10, H3-19 | C-7, -10, -19 |
| 10 | 2.13 m | 24.3, CH2 | H-9, H2-11 | C-8, -9, -11, -12 |
| 11/11′ | 2.02 ddd (13.6, 4.4, 4.0); 1.11 m | 37.4, CH2 | H2-10 | C-9, -10, -12, -13 |
| 12 | 60.5, C | |||
| 13 | 2.65 br s | 62.1, CH | H2-14 | C-14 |
| 14/14′ | 1.84 br s; 1.44 dd (22.8, 10.8) | 32.4, CH2 | H-1, H-13 | C-1, -2, -12, -13, -15 |
| 15 | 143.5, C | |||
| 16 | 167.5, C | |||
| 17a/b | 6.26 s; 5.45 s | 125.7, CH2 | C-1, -15, -16 | |
| 18 | 1.43 s | 29.5, CH3 | C-3, -4, -5 | |
| 19 | 1.59 d (1.2) | 17.1, CH3 | H-9 | C-7, -8, -9 |
| 20 | 1.13 s | 16.0, CH3 | C-11, -12, -13 |

3. Experimental Section
3.1. General Experimental Procedures
3.2. Animal Material
3.2.1. Sinularia gaweli
3.2.2. Sinularia flexibilis
3.3. Extraction and Isolation
3.3.1. Sinularia gaweli
3.3.2. Sinularia flexibilis
3.4. Single-Crystal X-ray Crystallography of 5-Dehydrosinulariolide (3) [25]
3.5. Molecular Mechanics Calculations
3.6. In Vitro Anti-Inflammatory Assay
4. Conclusions
Acknowledgments
Conflict of Interest
References and Notes
- Blunt, J.W.; Copp, B.R.; Keyzers, R.A.; Munro, M.H.G.; Prinsep, M.R. Marine natural products. Nat. Prod. Rep. 2013, 30, 237–323. [Google Scholar] [CrossRef]
- Chen, W.-T.; Li, Y.; Guo, Y.-W. Terpenoids of Sinularia soft corals: Chemistry and bioactivity. Acta Pharm. Sin. B 2012, 2, 227–237. [Google Scholar]
- Li, Y.; Pattenden, G. Novel macrocyclic and polycyclic norcembranoid diterpenes from Sinularia species of soft coral: Structural relationships and biosynthetic speculations. Nat. Prod. Rep. 2011, 28, 429–440. [Google Scholar] [CrossRef]
- Yang, B.; Zhou, X.-F.; Lin, X.-P.; Liu, J.; Peng, Y.; Yang, X.-W.; Liu, Y. Cembrane diterpenes chemistry and biological properties. Curr. Org. Chem. 2012, 16, 1512–1539. [Google Scholar] [CrossRef]
- Yen, W.-H.; Hu, L.-C.; Su, J.-H.; Lu, M.-C.; Twan, W.-H.; Yang, S.-Y.; Kuo, Y.-C.; Weng, C.-F.; Lee, C.-H.; Kuo, Y.-H.; Sung, P.-J. Norcembranoidal diterpenes from a Formosan soft coral Sinularia sp. Molecules 2012, 17, 14058–14066. [Google Scholar] [CrossRef]
- Yen, W.-H.; Chen, W.-F.; Cheng, C.-H.; Dai, C.-F.; Lu, M.-C.; Su, J.-H.; Su, Y.-D.; Chen, Y.-H.; Chang, Y.-C.; Chen, Y.-H.; et al. A new 5α,8α-epidioxysterol from the soft coral Sinularia gaweli. Molecules 2013, 18, 2895–2903. [Google Scholar] [CrossRef]
- Yen, W.-H.; Su, Y.-D.; Chang, Y.-C.; Chen, Y.-H.; Chen, Y.-H.; Dai, C.-F.; Wen, Z.-H.; Su, J.-H.; Sung, P.-J. Sinulanorcembranolide A, a novel norcembranoidal diterpene from the octocoral Sinularia gaweli. Tetrahedron Lett. 2013, 54, 2267–2270. [Google Scholar] [CrossRef]
- Duh, C.-Y.; Wang, S.-K.; Tseng, H.-K.; Sheu, J.-H.; Chiang, M.Y. Novel cytotoxic cembranoids from the soft coral Sinularia flexibilis. J. Nat. Prod. 1998, 61, 844–847. [Google Scholar] [CrossRef]
- Duh, C.-Y.; Wang, S.-K.; Tseng, H.-K.; Sheu, J.-H. A novel cytotoxic biscembranoid from the Formosan soft coral Sinularia flexibilis. Tetrahedron Lett. 1998, 39, 7121–7122. [Google Scholar]
- Hsieh, P.-W.; Chang, F.-R.; McPhail, A.T.; Lee, K.-H.; Wu, Y.-C. New cembranolide analogues from the Formosan soft coral Sinularia flexibilis and their cytotoxicity. Nat. Prod. Res. 2003, 17, 409–418. [Google Scholar] [CrossRef]
- Lo, K.-L.; Khalil, A.T.; Kuo, Y.-H.; Shen, Y.-C. Sinuladiterpenes A–F, new cembrane diterpenes from Sinularia flexibilis. Chem. Biodivers. 2009, 6, 2227–2235. [Google Scholar] [CrossRef]
- Su, J.-H.; Lin, Y.-F.; Lu, Y.; Yeh, H.-C.; Wang, W.-H.; Fan, T.-Y.; Sheu, J.-H. Oxygenated cembranoids from the cultured and wild-type soft corals Sinularia flexibilis. Chem. Pharm. Bull. 2009, 57, 1189–1192. [Google Scholar]
- Lin, Y.-S.; Chen, C.-H.; Liaw, C.-C.; Chen, Y.-C.; Kuo, Y.-H.; Shen, Y.-C. Cembrane diterpenoids from the Taiwanese soft coral Sinularia flexibilis. Tetrahedron 2009, 65, 9157–9164. [Google Scholar]
- Lo, K.-L.; Khalil, A.T.; Chen, M.-H.; Shen, Y.-C. New cembrane diterpenes from Taiwanese soft coral Sinularia flexibilis. Helv. Chim. Acta 2010, 93, 1329–1335. [Google Scholar] [CrossRef]
- Chen, B.-W.; Chao, C.-H.; Su, J.-H.; Huang, C.-Y.; Dai, C.-F.; Wen, Z.-H.; Sheu, J.-H. A novel symmetric sulfur-containing biscembranoid from the Formosan soft coral Sinularia flexibilis. Tetrahedron Lett. 2010, 51, 5764–5766. [Google Scholar]
- Shih, H.-J.; Tseng, Y.-J.; Huang, C.-Y.; Wen, Z.-H.; Dai, C.-F.; Sheu, J.-H. Cytotoxic and anti-inflammatory diterpenoids from the Dongsha Atoll soft coral Sinularia flexibilis. Tetrahedron 2012, 68, 244–249. [Google Scholar] [CrossRef]
- Su, C.-C.; Wong, B.-S.; Chin, C.; Wu, Y.-J.; Su, J.-H. Oxygenated cembranoids from the soft coral Sinularia flexibilis. Int. J. Mol. Sci. 2013, 14, 4317–4325. [Google Scholar] [CrossRef]
- Hu, L.-C.; Su, J.-H.; Chiang, M.Y.-N.; Lu, M.-C.; Hwang, T.-L.; Chen, Y.-H.; Hu, W.-P.; Lin, N.-C.; Wang, W.-H.; Fang, L.-S.; et al. Flexibilins A–C, new cembrane-type diterpenoids from the Formosan soft coral Sinularia flexibilis. Mar. Drugs 2013, 11, 1999–2012. [Google Scholar] [CrossRef]
- Tursch, B.; Braekman, J.C.; Daloze, D.; Herin, M.; Karlsson, R.; Losman, D. Chemical studies of marine invertebrates—XI. Sinulariolide, a new cembranolide diterpene from the soft coral Sinularia flexibilis (Coelenterata, Octocorallia, Alcyonacea). Tetrahedron 1975, 31, 129–133. [Google Scholar]
- Herin, M.; Tursch, B. Chemical studies of marine invertebrates. XXIV. Minor cembrane diterpenes from the soft coral Sinularia flexibilis (Coelenterata, Octocorallia). Bull. Soc. Chim. Belg. 1976, 85, 707–719. [Google Scholar] [CrossRef]
- Lin, Y.-F. Study on the Natural Products of the Wild-Type and Cultured Soft Corals Sinularia flexibilis. Master Thesis, Department of Marine Biotechnology and Resources, National Sun Yat-sen Univeristy, Kaohsiung, Taiwan, July 2008. [Google Scholar]
- Wen, T.; Ding, Y.; Deng, Z.; van Ofwegen, L.; Proksch, P.; Lin, W. Sinulaflexiolides A–K, cembrane-type diterpenoids from the Chinese soft coral Sinularia flexibilis. J. Nat. Prod. 2008, 71, 1133–1140. [Google Scholar] [CrossRef]
- Cembrane 3 was named as 5-dehydrosinulariolide in [13,22], and this compound was named as 11-dehydrosinulariolide in [10,20,21]. Due to the structure, including its absolute stereochemistry, of 3 was further determined in this study. The authors suggested that this compound should be named as 5-dehydrosinulariolide following the systematic numbering system of cembrane-type compound.
- Allinger, N.L. Conformational analysis. 130. MM2. A hydrocarbon force field utilizing V1 and V2 torsional terms. J. Am. Chem. Soc. 1977; 99, 8127–8134. [Google Scholar]
- Crystallographic data for the structure of 5-dehydrosinulariolide (3) have been deposited with the Cambridge Crystallographic Data Center as supplementary publication number CCDC 934485. Copies of the data can be obtained, free of charge, on application to CCDC, 12 Union Road, Cambridge, CB2 1EZ, UK (Fax: +44-(0)-1223-336033 or E-Mail: deposit@ccdc.cam.ac.uk).
- Flack, H.D. On enantiomorph-polarity estimation. Acta Cryst. 1983, A39, 876–881. [Google Scholar]
- Huang, S.-Y.; Chen, N.-F.; Chen, W.-F.; Hung, H.-C.; Lee, H.-P.; Lin, Y.-Y.; Wang, H.-M.; Sung, P.-J.; Sheu, J.-H.; Wen, Z.-H. Sinularin from indigenous soft coral attenuates nociceptive responses and spinal neuroinflammation in carrageenan-induced inflammatory rat model. Mar. Drugs 2012, 10, 1899–1919. [Google Scholar] [CrossRef]
- Jean, Y.-H.; Chen, W.-F.; Sung, C.-S.; Duh, C.-Y.; Huang, S.-Y.; Lin, C.-S.; Tai, M.-H.; Tzeng, S.-F.; Wen, Z.-H. Capnellene, a natural marine compound derived from soft coral, attenuates chronic constriction injury-induced neuropathic pain in rats. Br. J. Pharmacol. 2009, 158, 713–725. [Google Scholar] [CrossRef]
- Jean, Y.-H.; Chen, W.-F.; Duh, C.-Y.; Huang, S.-Y.; Hsu, C.-H.; Lin, C.-S.; Sung, C.-S.; Chen, I.-M.; Wen, Z.-H. Inducible nitric oxide synthase and cyclooxygenase-2 participate in anti-inflammatory and analgesic effects of the natural marine compound lemnalol from Formosan soft coral Lemnalia cervicorni. Eur. J. Pharmacol. 2008, 578, 323–331. [Google Scholar] [CrossRef]
- Liu, C.-I.; Chen, C.-C.; Chen, J.-C.; Su, J.-H.; Huang, H.H.; Chen, J.Y.-F.; Wu, Y.-J. Proteomic analysis of anti-tumor effects of 11-dehydrosinulariolide on CAL-27 cells. Mar. Drugs 2011, 9, 1254–1272. [Google Scholar] [CrossRef]
- Su, T.-R.; Tsai, F.-J.; Lin, J.-J.; Huang, H.H.; Chiu, C.-C.; Su, J.-H.; Yang, Y.-T.; Chen, J.Y.-F.; Wong, B.-S.; Wu, Y.-J. Induction of apoptosis by 11-dehydrosinulariolide via mitochondrial dysregulation and ER stress pathways in human melanoma cells. Mar. Drugs 2012, 10, 1883–1898. [Google Scholar] [CrossRef]
- Chen, W.-F.; Chakraborty, C.; Sung, C.-S.; Feng, C.-W.; Jean, Y.-H.; Lin, Y.-Y.; Hung, H.-C.; Huang, T.-Y.; Huang, S.-Y.; Su, T.-M.; et al. Neuroprotection by marine-derived compound, 11-dehydrosinulariolide, in an in vitro Parkinson’s model: A promising candidate for the treatment of Parkinson’s disease. Naunyn Schmiedebergs Arch. Pharmacol. 2012, 385, 265–275. [Google Scholar] [CrossRef]
- Samples Availability: Sample of the cembrane 3 is available from the authors.
© 2013 by the authors; licensee MDPI, Basel, Switzerland. This article is an open access article distributed under the terms and conditions of the Creative Commons Attribution license (http://creativecommons.org/licenses/by/3.0/).
Share and Cite
Hu, L.-C.; Yen, W.-H.; Su, J.-H.; Chiang, M.Y.-N.; Wen, Z.-H.; Chen, W.-F.; Lu, T.-J.; Chang, Y.-W.; Chen, Y.-H.; Wang, W.-H.; et al. Cembrane Derivatives from the Soft Corals, Sinularia gaweli and Sinularia flexibilis. Mar. Drugs 2013, 11, 2154-2167. https://doi.org/10.3390/md11062154
Hu L-C, Yen W-H, Su J-H, Chiang MY-N, Wen Z-H, Chen W-F, Lu T-J, Chang Y-W, Chen Y-H, Wang W-H, et al. Cembrane Derivatives from the Soft Corals, Sinularia gaweli and Sinularia flexibilis. Marine Drugs. 2013; 11(6):2154-2167. https://doi.org/10.3390/md11062154
Chicago/Turabian StyleHu, Li-Chung, Wei-Hsuan Yen, Jui-Hsin Su, Michael Yen-Nan Chiang, Zhi-Hong Wen, Wu-Fu Chen, Ting-Jang Lu, Yu-Wei Chang, Yung-Husan Chen, Wei-Hsien Wang, and et al. 2013. "Cembrane Derivatives from the Soft Corals, Sinularia gaweli and Sinularia flexibilis" Marine Drugs 11, no. 6: 2154-2167. https://doi.org/10.3390/md11062154
APA StyleHu, L.-C., Yen, W.-H., Su, J.-H., Chiang, M. Y.-N., Wen, Z.-H., Chen, W.-F., Lu, T.-J., Chang, Y.-W., Chen, Y.-H., Wang, W.-H., Wu, Y.-C., & Sung, P.-J. (2013). Cembrane Derivatives from the Soft Corals, Sinularia gaweli and Sinularia flexibilis. Marine Drugs, 11(6), 2154-2167. https://doi.org/10.3390/md11062154

