Antibacterial Secondary Metabolites from the Cave Sponge Xestospongia sp.
Abstract
:1. Introduction

2. Results and Discussion
2.1. Bioassay-Guided Isolation
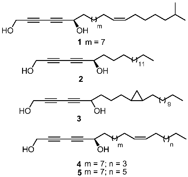
2.2. Structural Elucidation of the New Compounds
| 1 | 2 | 3 | ||||||
|---|---|---|---|---|---|---|---|---|
| C# | δC mult | δH (J in Hz) | C# | δC mult | δH (J in Hz) | C# | δC mult | δH (J in Hz) |
| 1 | 51.5 t | 4.37 (s) | 1 | 51.5 t | 4.34 (s) | 1 | 51.5 t | 4.33 s |
| 2 | 77.5 s | - | 2 | 77.5 s | - | 2 | 77.3 s | - |
| 3 | 69.6 s | - | 3 | 69.9 s | - | 3 | 69.9 s | - |
| 4 | 69.0 s | - | 4 | 68.8 s | - | 4 | 68.7 s | - |
| 5 | 80.7 s | - | 5 | 80.6 s | - | 5 | 80.7 s | - |
| 6 | 62.9 d | 4.45 (t, 6.6) | 6 | 62.9 d | 4.43 (t, 6.4) | 6 | 62.9 d | 4.4 (t, 6.8) |
| 7 | 37.7 t | 1.74 m | 7 | 37.8 t | 1.75 m | 7 | 37.5 t | 1.7 m |
| 16 | 129.9 d | 5.37 (t, 4.5) | 22 | 14.3 q | 0.88 t (6.8) | 10,11 | 15.8 d | 0.63 m (2H) |
| 17 | 129.8 d | 5.37 (t, 4.5) | 23 | 14.2 q | 0.87 t (6.8) | |||
| 22 | 28.3 d | 1.46 m | 24 | 10.8 t | −0.35, 0.55 m | |||
| 23 | 22.6 q | 0.89 d (6.5) | ||||||
| 24 | 22.6 q | 0.89 d (6.5) | ||||||
| Compound | P. aeruginosaIC50 | M. intracellulareIC50 * |
|---|---|---|
| 1 | 1.7 | 9.9 |
| 2 | 1.9 | 7.7 |
| 3 | 1.8 | 14.3 |
| 4 | 2.6 | 23.0 |
| 5 | 2.9 | 17.5 |
| Ciprofloxacin | 0.2 | 1.5 |
3. Experimental Section
3.1. General
3.2. Sponge Material
3.3. Extraction and Isolation
3.4. Antibacterial Assay
4. Conclusions
Acknowledgments
References
- van Soest, R.W.M.; Fusetani, N.; Andersen, R.J. Straight-Chain Acetylenes as Chemotaxonomic Markers of the Marine Haplosclerida. In Sponge Sciences. Multidisciplinary Perspectives; Watanabe, Y., Fusetani, N., Eds.; Springer: Tokyo, Japan, 1998; pp. 3–30. [Google Scholar]
- Fusetani, N.; Li, H.-Y.; Tamura, K.; Matsunaga, S. Antifungal brominated C18 acetylenic acids from the marine sponge, Petrosia volcano hoshino. Tetrahedron 1993, 49, 1203–1210. [Google Scholar] [CrossRef]
- Fusetani, N.; Shiragaki, T.; Matsunaga, S.; Hashimoto, K. Bioactive marine metabolites XX. Petrosynol and petrosyne, antimicrobial C30 polyacetylenes from the marine sponge Petrosia sp.: Determination of the absolute configuration. Tetrahedron Lett. 1987, 28, 4313–4314. [Google Scholar]
- Patil, A.D.; Kokke, W.C.; Cochran, S.; Francis, T.A.; Tomszek, T.; Westley, J.W. Brominated polyacetylenic acids from the marine sponge Xestospongia muta: Inhibitors of HIV protease. J. Nat. Prod. 1992, 55, 1170–1177. [Google Scholar]
- Isaacs, S.; Kashman, Y.; Loya, S.; Hizi, A.; Loya, Y. Petrosynol and petrosolic acid, two novel natural inhibitors of the reverse transcriptase of human immunodeficiency virus from Petrosia sp. Tetrahedron 1993, 49, 10435–10438. [Google Scholar]
- Lim, Y.J.; Kim, J.S.; Im, K.S.; Jung, J.H.; Lee, C.O.; Hong, J.; Kim, D.-K. New cytotoxic polyacetylenes from the marine sponge Petrosia. J. Nat. Prod. 1999, 62, 1215–1217. [Google Scholar] [CrossRef]
- Kim, J.S.; Lim, Y.J.; Im, K.S.; Jung, J.H.; Shim, C.J.; Lee, C.O.; Hong, J.; Lee, H. Cytotoxic polyacetylenes from the marine sponge Petrosia sp. J. Nat. Prod. 1999, 62, 554–559. [Google Scholar]
- Li, H.Y.; Matsunaga, S.; Fusetani, N. Corticatic acids A–C, antifungal acetylenic acids from the marine sponge, Petrosia corticata. J. Nat. Prod. 1994, 54, 1464–1467. [Google Scholar]
- Fusetani, N.; Sugano, M.; Matsunaga, S.; Hashimoto, K. H,K-ATPASE inhibitors from the marine sponge Siphonochalina truncata: Absolute configuration of siphonodiol and two related metabolites. Tetrahedron Lett. 1987, 28, 4311–4312. [Google Scholar]
- Tsukamoto, S.; Kato, H.; Hirota, H.; Fusetani, N. Seven new polyacetylene derivatives, showing both potent metamorphosis-inducing activity in Ascidian larvae and antifouling activity against barnacle larvae, from the marine sponge Callyspongia truncata. J. Nat. Prod. 1997, 60, 126–130. [Google Scholar] [CrossRef]
- Gunasekera, S.P.; Faircloth, G.T. New acetylenic alcohols from the sponge Cribrochalina vasculum. J. Org. Chem. 1990, 55, 6223–6225. [Google Scholar] [CrossRef]
- Wright, A.E.; McConnel, O.J.; Kohmoto, S.; Lui, M.S.; Thompson, W.; Snader, K.M. Duryne, a new cytotoxic agent from the marine sponge Cribrochalina dura. Tetrahedron Lett. 1987, 28, 1377–1380. [Google Scholar]
- Hallock, Y.F.; Cardellina, J.H., II; Balaschak, M.S.; Alexander, M.R.; Prather, T.R.; Shoemaker, R.H.; Boyd, M.R. Antitumor activity and stereochemistry of acetylenic alcohols from the sponge Cribrochalina vasculum. J. Nat. Prod. 1995, 58, 1801–1807. [Google Scholar]
- Blunt, J.W.; Copp, B.R.; Munro, M.H.G.; Northcote, P.T.; Prinsep, M.R. Marine natural products reports. Nat. Prod. Rep. 2005, 23, 15–61, and previous reports in this series.. [Google Scholar]
- Watanabe, K.; Tsuda, Y.; Yamane, Y.; Takahashi, H.; Iguchi, K.; Naoki, H.; Fujita, T.; van Soest, R.W.M. Strongylodiols A, B and C, new cytotoxic acetylenic alcohols isolated from the Okinawan marine sponge of the genus Strongylophora as each enantiomeric mixture with a different ratio. Tetrahedron Lett. 2000, 41, 9271–9276. [Google Scholar]
- Carballeira, N.M.; Montano, N.; Vicente, J.; Rodriguez, D. Novel cyclopropane fatty acids from the phospholipids of the Caribbean sponge Pseudospongosorites suberitoides. Lipids 2007, 42, 519–524. [Google Scholar] [CrossRef]
- Cimino, G.; Segano, D.S. New acetylenic compounds from the sponge Reniera fulva. Tetrahedron Lett. 1977, 18, 1325–1328. [Google Scholar] [CrossRef]
- Clinical and Laboratory Standards Institute, Methods for Dilution Antimicrobial Susceptibility Tests for Bacteria That Grow Aerobically; Approved Standard, Seventh Edition M7-A7; Clinical and Laboratory Standards Institute: Wayne, PA, USA, 2006; Volume 26.
- Clinical and Laboratory Standards Institute, Susceptibility Testing of Mycobacteria, Nocardia and Other Aerobic Actinomycetes; Approved Standard M24-A; Clinical and Laboratory Standards Institute: Wayne, PA, USA, 2006; Volume 23.
- Franzblau, S.G.; Witzig, R.S.; McLaughlin, J.C.; Torres, P.; Madico, G.; Hernandez, A.; Degnan, M.T.; Cook, M.B.; Quenzer, V.K.; Ferguson, R.M.; et al. Rapid, low-technology MIC determination with clinical Mycobacterium tuberculosis isolates by using microplate alamar blue assay. J. Clin. Microbiol. 1998, 36, 362–366. [Google Scholar]
- Samples Availability: Not available.
© 2012 by the authors; licensee MDPI, Basel, Switzerland. This article is an open-access article distributed under the terms and conditions of the Creative Commons Attribution license (http://creativecommons.org/licenses/by/3.0/).
Share and Cite
Ankisetty, S.; Slattery, M. Antibacterial Secondary Metabolites from the Cave Sponge Xestospongia sp. Mar. Drugs 2012, 10, 1037-1043. https://doi.org/10.3390/md10051037
Ankisetty S, Slattery M. Antibacterial Secondary Metabolites from the Cave Sponge Xestospongia sp. Marine Drugs. 2012; 10(5):1037-1043. https://doi.org/10.3390/md10051037
Chicago/Turabian StyleAnkisetty, Sridevi, and Marc Slattery. 2012. "Antibacterial Secondary Metabolites from the Cave Sponge Xestospongia sp." Marine Drugs 10, no. 5: 1037-1043. https://doi.org/10.3390/md10051037
APA StyleAnkisetty, S., & Slattery, M. (2012). Antibacterial Secondary Metabolites from the Cave Sponge Xestospongia sp. Marine Drugs, 10(5), 1037-1043. https://doi.org/10.3390/md10051037
