New Cytotoxic Cembranolides from the Soft Coral Lobophytum michaelae
Abstract
:1. Introduction


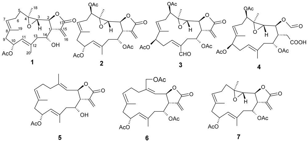
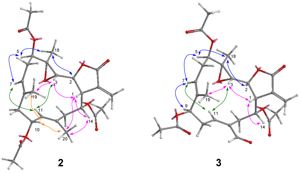
2. Results and Discussion

| Position | 1 | 2 | 3 | |||
|---|---|---|---|---|---|---|
| δH (J in Hz) a | δC b | δH (J in Hz) a | δC b | δH (J in Hz) a | δC b | |
| 1 | 2.90 m | 48.1 | 3.07 m | 44.1 | 2.97 m | 45.2 |
| 2 | 4.46 t (6.8) c | 76.7 | 4.68 t (6.8) | 75.2 | 4.52 t (6.8) | 75.3 |
| 3 | 2.70 d (6.8) | 59.6 | 2.83 d (6.8) | 60.3 | 2.76 d (6.8) | 59.9 |
| 4 | 64.0 | 62.7 | 63.4 | |||
| 5 | 1.91 m | 23.8 | 4.83 dd (10.8, 3.2) | 75.5 | 5.05 dd (11.2, 3.6) | 74.3 |
| 6 | 2.03 m, 2.18 m | 33.5 | 2.21 m, 2.42 m | 30.3 | 2.33 m, 2.54 m | 29.1 |
| 7 | 5.19 br d (8.0) | 129.5 | 5.10 t (5.6) | 122.5 | 5.46 t (6.4) | 121.7 |
| 8 | 127.5 | 132.3 | 131.3 | |||
| 9 | 2.18 m, 2.45 m | 44.7 | 2.38 m | 44.5 | 5.25 br s | 75.3 |
| 10 | 5.64 m | 67.8 | 5.67 m | 68.4 | 2.82 m, 3.27 m | 29.4 |
| 11 | 5.65 m | 127.8 | 5.45 m | 128.1 | 6.73 dd (9.6, 4.4) | 147.0 |
| 12 | 137.5 | 135.8 | 137.8 | |||
| 13 | 2.48 m, 2.91 m | 44.2 | 2.37 m, 2.51 m | 41.8 | 2.28 m, 2.89 m | 34.7 |
| 14 | 4.38 m | 68.6 | 5.40 m | 71.1 | 5.77 m | 69.3 |
| 15 | 136.7 | 134.9 | 136.1 | |||
| 16 | 5.67 m, 6.44 d (2.8) | 122.3 | 5.72 s, 6.40 s | 124.0 | 5.75 d (2.8), 6.39 d (2.8) | 124.7 |
| 17 | 169.4 | 168.9 | 168.4 | |||
| 18 | 1.42 s | 20.4 | 1.25 s | 14.7 | 1.49 s | 15.7 |
| 19 | 1.55 s | 15.6 | 1.66 s | 16.5 | 1.67 s | 12.9 |
| 20 | 1.72 s | 15.9 | 1.83 s | 16.0 | 10.14 s | 190.3 |
| 5-OAc | 2.01 s | 170.1 | 2.13 s | 170.1 | ||
| 21.1 | 21.2 | |||||
| 9-OAc | 2.13 s | 169.8 | ||||
| 20.8 | ||||||
| 10-OAc | 2.05 s | 170.5 | 2.05 s | 170.2 | ||
| 21.4 | 21.2 | |||||
| 14-OAc | 2.11 s | 170.3 | 2.02 s | 169.8 | ||
| 21.3 | 20.5 |




| Position | 4 | 5 | 6 | |||
|---|---|---|---|---|---|---|
| δH (J in Hz) a | δC b | δH (J in Hz) a | δC b | δH (J in Hz) a | δC b | |
| 1 | 2.61 m | 43.2 | 2.68 br s | 48.0 | 2.79 m | 46.1 |
| 2 | 4.52 t (6.8)c | 76.4 | 5.38 dd (8.8, 2.7) | 73.5 | 5.53 dd (8.7, 6.8) | 72.5 |
| 3 | 2.82 d (6.8) | 60.2 | 5.03 d (8.8) | 123.3 | 5.18 m | 127.2 |
| 4 | 63.4 | 140.0 | 140.6 | |||
| 5 | 4.89 dd (10.8, 3.6) | 75.1 | 2.30 m | 24.1 | 2.33 m | 24.1 |
| 6 | 2.82 m, 2.55 m | 29.8 | 2.21 m | 37.9 | 2.36m, 2.40 m | 33.1 |
| 7 | 5.34 m | 120.1 | 4.96 m | 129.7 | 4.93 m | 128.8 |
| 8 | 133.5 | 130.6 | 131.1 | |||
| 9 | 5.16 m | 76.6 | 2.32 m, 2.39 m | 44.5 | 2.29 m, 2.40 m | 44.5 |
| 10 | 2.37 m, 2.48 m | 41.8 | 5.65 m | 68.5 | 5.66 m | 68.0 |
| 11 | 5.30 m | 123.4 | 5.16 d (9.1) | 126.6 | 5.19 m | 127.7 |
| 12 | 131.7 | 134.5 | 136.8 | |||
| 13 | 2.31 m, 2.68 m | 43.8 | 2.21 m, 2.43 m | 45.5 | 2.28 m, 2.53 m | 41.8 |
| 14 | 5.32 m | 69.2 | 4.15 m | 72.9 | 5.28 m | 74.0 |
| 15 | 3.75m, 3.85 m | 35.2 | 136.8 | 136.6 | ||
| 16 | 175.6 | 5.65 s, 6.41 s | 122.7 | 5.70 s, 6.37 s | 124.4 | |
| 17 | 8.26 s | 161.6 | 167.8 | 167.3 | ||
| 18 | 1.48 s | 15.7 | 1.80 s | 17.3 | 4.55 d (12.6), 4.91 d (12.6) | 62.3 |
| 19 | 1.60 s | 12.3 | 1.64 s | 16.7 | 1.61 s | 16.6 |
| 20 | 1.74 s | 15.6 | 1.75 s | 16.3 | 1.81 s | 16.0 |
| 5-OAc | 2.11 s | 170.1 | ||||
| 21.1 | ||||||
| 9-OAc | 2.11 s | 170.3 | ||||
| 21.2 | ||||||
| 10-OAc | 2.04 s | 170.0 | 2.01 s | 170.2 | ||
| 21.4 | 21.0 | |||||
| 14-OAc | 2.12 s | 170.3 | 2.02 s | 170.8 | ||
| 21.3 | 21.3 | |||||
| 18-OAc | 2.03 s | 169.3 | ||||
| 20.9 | ||||||
| 16-OH | 6.18 brs |


| Compounds | Cell Lines ED50 (μM/mL) | |||
|---|---|---|---|---|
| A549 | HT-29 | P-388 | HEL | |
| 1 | 1.2 | 0.8 | 0.3 | 1.0 |
| 2 | 2.0 | 4.9 | 1.5 | 3.2 |
| 3 | 2.1 | 1.6 | 0.4 | 2.0 |
| 4 | 61.3 | 61.5 | 39.6 | 60.2 |
| 5 | 3.2 | 2.8 | 2.0 | 2.9 |
| 6 | 2.0 | 1.5 | 1.0 | 1.8 |
| 7 | 1.9 | 1.4 | 0.4 | 1.7 |
3. Experimental Section
3.1. General Experimental Procedures
3.2. Biological Material
3.3. Extraction and Isolation
3.4. Cytotoxicity Assay
3.5. Anti-HCMV Assay
4. Conclusion
Acknowledgments
References
- Blunt, J.W.; Copp, B.R.; Munro, M.H.G.; Northcote, P.T.; Prinsep, M.R. Marine natural products. Nat. Prod. Rep. 2010, 27, 165–237. [Google Scholar]
- Wang, S.-K.; Duh, C.-Y.; Wu, Y.-C.; Wang, Y.; Cheng, M.-C.; Soong, K.; Fang, L.-S. Cytotoxic cembranolides from the soft coral Lobophytum michaelae. J. Nat. Prod. 1992, 55, 1430–1435. [Google Scholar]
- Wang, S.-K.; Duh, C.-Y.; Wu, Y.-C.; Wang, Y.; Cheng, M.-C.; Soong, K.; Fang, L.-S. Cytotoxic cembranolides from the soft coral Lobophytum michaelae. J. Nat. Prod. 2009, 72, 324. [Google Scholar]
- Wang, L.-T.; Wang, S.-K.; Soong, K.; Duh, C.-Y. New Cytotoxic Cembranolides from the Soft Coral Lobophytum michaelae. Chem. Pharm. Bull. 2007, 55, 766–770. [Google Scholar] [CrossRef]
- Coval, S.J.; Patton, R.W.; Petrin, J.M.; James, L.; Rothofsky, M.L.; Lin, S.L.; Patel, M.; Reed, J.K.; McPhil, A.T.; Bishop, W.R. A Cembranolide Diterpene Farnesyl Protein Transferase Inhibitor from the Marine Soft Coral Lobophytum cristagalli. Bioorg. Med. Chem. Lett. 1996, 6, 909–912. [Google Scholar]
- Higuchi, R.; Miyamoto, T.; Yamada, K.; Komori, T. Cytotoxic and ichthyotoxic compounds from marine opisthobranchia and soft coral. Toxicon 1998, 36, 1703–1705. [Google Scholar]
- Matthee, G.F.; Konig, G.M.; Wright, A.D. Three new diterpenes from the marine soft coral Lobophytum crassum. J. Nat. Prod. 1998, 61, 237–240. [Google Scholar]
- Duh, C.-Y.; Wang, S.-K.; Huang, B.-T.; Dai, C.-F. Cytotoxic cembrenolide diterpenes from the Formosan soft coral Lobophytum crassum. J. Nat. Prod. 2000, 63, 884–885. [Google Scholar]
- Chao, C.-H.; Hang, H.-C.; Wu, Y.-C.; Lu, C.-K.; Dai, C.-F.; Sheu, J.-H. Glycolipids from the Formosan Soft Coral Lobophytum crassum. Chem. Pharm. Bull. 2007, 55, 1720–1723. [Google Scholar]
- Zhang, W.; Krohn, K.; Ding, J.; Miao, Z.-H.; Zhou, X.-H.; Chen, S.-H.; Pescitelli, G.; Salvadori, P.; Kurtan, T.; Guo, Y.-W. Structural and stereochemical studies of α-methylene-γ-lactone-bearing cembrane diterpenoids from a south China sea soft coral Lobophytum crassum. J. Nat. Prod. 2008, 71, 961–966. [Google Scholar] [CrossRef]
- Lin, S.-T.; Wang, S.-K.; Cheng, S.-Y.; Duh, C.-Y. Lobocrasol, a new diterpenoid from the soft coral Lobophytum crassum. Org. Lett. 2009, 14, 3012–3014. [Google Scholar]
- Cheng, S.-Y.; Wen, Z.-H.; Chiou, S.-F.; Wang, S.-K.; Hsu, C.-H.; Dai, C.-F.; Chiang, M.Y.; Duh, C.-Y. Durumolides A–E, Anti-inflammatory and antibacterial cembranolides from the soft coral Lobophytum durum. Tetrahedron 2008, 64, 9698–9704. [Google Scholar]
- Cheng, S.-Y.; Wen, Z.-H.; Wang, S.-K.; Chiou, S.-F.; Hsu, C.-H.; Dai, C.-F.; Duh, C.-Y. Anti-inflammatory cembranolides from the soft coral Lobophytum durum. Bioorg. Med. Chem. 2009, 17, 3763–3769. [Google Scholar]
- Cheng, S.-Y.; Wen, Z.-H.; Chiou, S.-F.; Wang, S.-K.; Hsu, C.-H.; Dai, C.-F.; Chiang, M.Y.; Duh, C.-Y. Unprecedented hemiketal cembranolides with anti-inflammatory activity from the soft coral Lobophytum durum. J. Nat. Prod. 2009, 72, 152–155. [Google Scholar]
- Rashid, M.A.; Gustafson, K.R.; Boyd, M.R. HIV-inhibitory cembrane derivatives from a Philippines collection of the soft coral Lobophytum species. J. Nat. Prod. 2000, 63, 531–533. [Google Scholar]
- Kashman, Y.; Groweiss, A. Lobolide: A new epoxy cembranolide from marine origin. Tetrahedron Lett. 1977, 13, 1159–1160. [Google Scholar]
- Kashman, Y.; Carmely, S.; Groweiss, A. Further cembranoid derivatives from the Red Sea soft corals Alcyonium flaccidum and Lobophytum crassum. J. Org. Chem. 1981, 46, 3592–3596. [Google Scholar]
- Kinamoni, Z.; Groweiss, A.; Carmely, S.; Kashman, Y. Several new cembranoid diterpenes from three soft corals of the Red Sea. Tetrahedron 1983, 39, 1643–1648. [Google Scholar]
- Bowden, B.F.; Coll, J.C.; Tapiolas, D.M. Studies of Australian Soft Corals. ХХХШ. New cembranoid diterpenes from a Lobophytum species. Aust. J. Chem. 1983, 36, 2289–2295. [Google Scholar] [CrossRef]
- Bowden, B.F.; Coll, J.C.; Decosta, M.S.L.; Desilva, E.D.; Mackay, M.F.; Mahendran, M.; Willis, R.H. The structure determination of a new cembranolide diterpene from the soft coral Lobophytum cristigalli (Coelenterata, Octocorallia, Alcyonacea). Aust. J. Chem. 1984, 34, 545–552. [Google Scholar]
- Bowdon, B.F.; Coll, J.C.; Heaton, A.; Konig, G.; Bruck, M.A.; Cramer, R.E.; Klein, D.M.; Scheuer, P.J. The structures of four isomeric dihydrofuran-containing cembranoid diterpenes from several species of soft coral. J. Nat. Prod. 1987, 50, 650–659. [Google Scholar] [CrossRef]
- Subrahmanyam, C.; Rao, C.V.; Anjaneyulu, V.; Satyanarayana, P.; Rao, P.V.S. New diterpenes from a new species of Lobophytum soft coral of the South Andaman coast. Tetrahedron 1992, 48, 3111–3120. [Google Scholar]
- Yamada, K.; Ryu, K.; Miyamoto, T.; Higuchi, R. Bioactive terpenoids from octocorallia. 4. Three new cembrane-type diterpenoids from the soft coral Lobophytum schoedei. J. Nat. Prod. 1997, 60, 798–801. [Google Scholar] [CrossRef]
- Cheng, S.-Y.; Chen, P.-W.; Chen, H.-P.; Wang, S.-K.; Duh, C.-Y. New Cembranolides from the Dongsha Atoll Soft Coral Lobophytum durum. Mar. Drugs 2011, 9, 1307–1318. [Google Scholar]
- Geran, R.I.; Greenberg, N.H.; MacDonald, M.M.; Schumacher, A.M.; Abbott, B.J. Protocols for screening chemical agents and natural products against animal tumors and other biological syatems. Cancer Chemother. Rep. 1972, 3, 1–91. [Google Scholar]
- Hou, R.-S.; Duh, C.-Y.; Chiang, M.Y.; Lin, C.-N. Sinugibberol, a new cytotoxic cembranoid diterpene from the soft coral Sinularia gibberosa. J. Nat. Prod. 1995, 58, 1126–1130. [Google Scholar]
- Stevens, M.; Balzarini, J.; Tabarrini, O.; Andrei, G.; Snoeck, R.; Cecchetti, V.; Fravolini, A.; De Clercq, E.; Pannecouque, C. Cell-dependent interference of a series of new 6-aminoquinolone derivatives with viral (HIV/CMV) transactivation. J. Antimicrob. Chemother. 2005, 56, 847–855. [Google Scholar]
- Samples Availability: Not Available.
© 2012 by the authors; licensee MDPI, Basel, Switzerland. This article is an open-access article distributed under the terms and conditions of the Creative Commons Attribution license (http://creativecommons.org/licenses/by/3.0/).
Share and Cite
Wang, S.-K.; Duh, C.-Y. New Cytotoxic Cembranolides from the Soft Coral Lobophytum michaelae. Mar. Drugs 2012, 10, 306-318. https://doi.org/10.3390/md10020306
Wang S-K, Duh C-Y. New Cytotoxic Cembranolides from the Soft Coral Lobophytum michaelae. Marine Drugs. 2012; 10(2):306-318. https://doi.org/10.3390/md10020306
Chicago/Turabian StyleWang, Shang-Kwei, and Chang-Yih Duh. 2012. "New Cytotoxic Cembranolides from the Soft Coral Lobophytum michaelae" Marine Drugs 10, no. 2: 306-318. https://doi.org/10.3390/md10020306
APA StyleWang, S.-K., & Duh, C.-Y. (2012). New Cytotoxic Cembranolides from the Soft Coral Lobophytum michaelae. Marine Drugs, 10(2), 306-318. https://doi.org/10.3390/md10020306
