Systemic Immune-Inflammation Index as a Prognostic Marker in Gastric and Gastroesophageal Junction Cancers Receiving Perioperative FLOT Therapy
Abstract
1. Introduction
2. Materials and Methods
2.1. Study Design and Patient Selection
2.2. Data Collection
2.3. SII Cutoff Determination
2.4. Statistical Analysis
3. Results
3.1. Baseline Characteristics
3.2. Prognostic Value of SII: ROC Analysis
3.3. Univariate and Multivariate Cox Regression Analysis
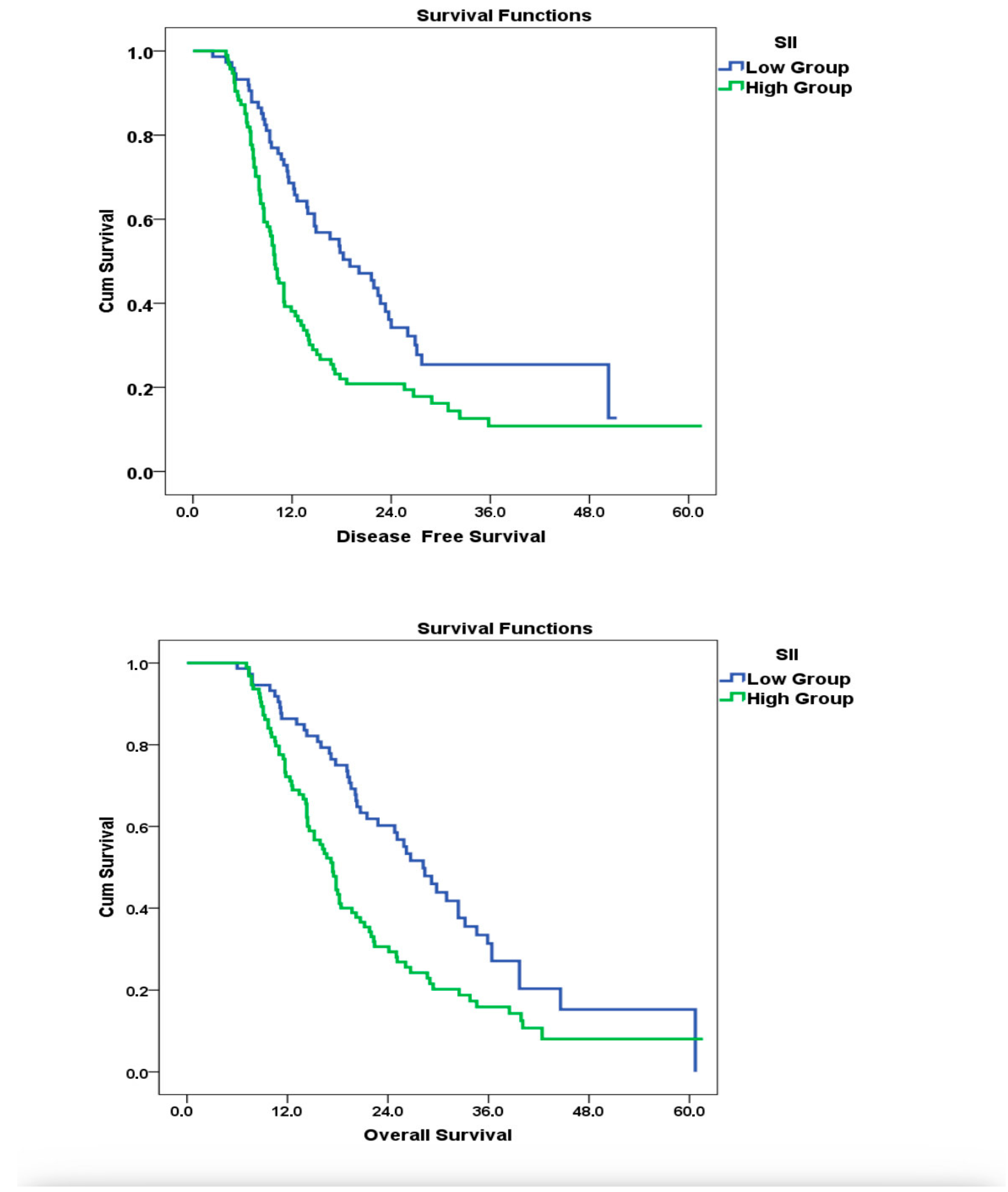
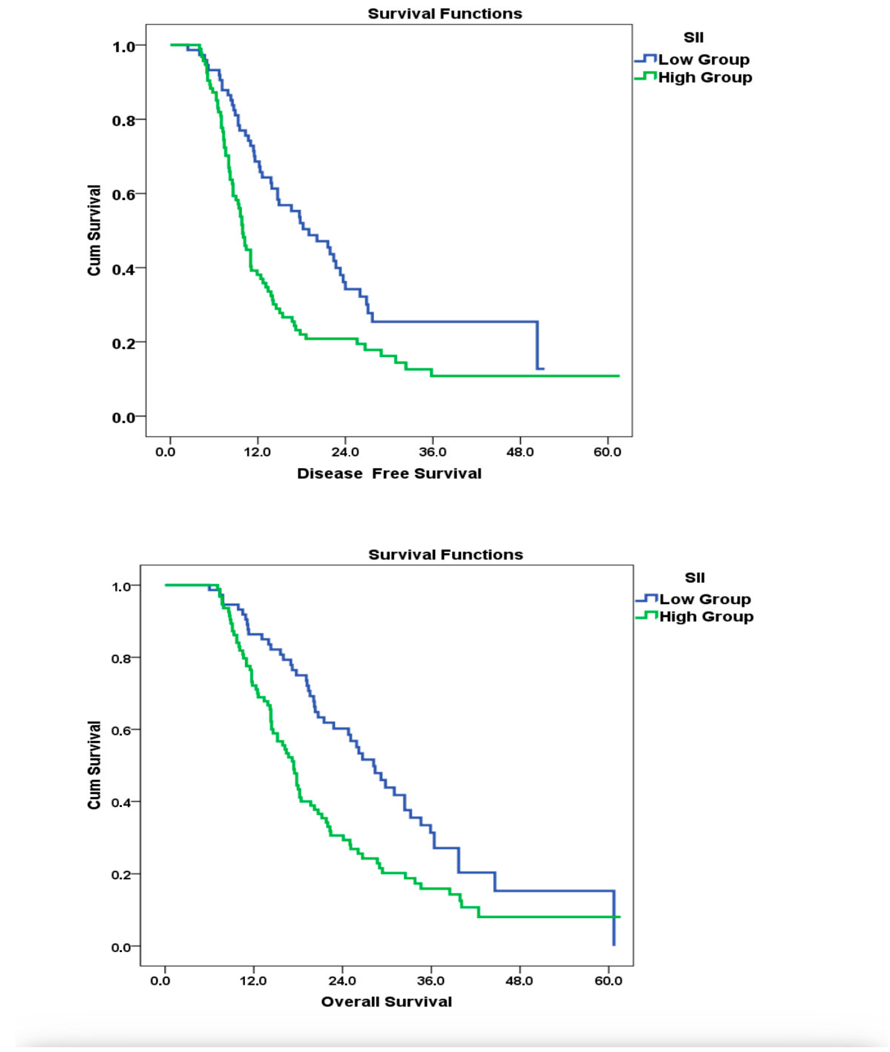
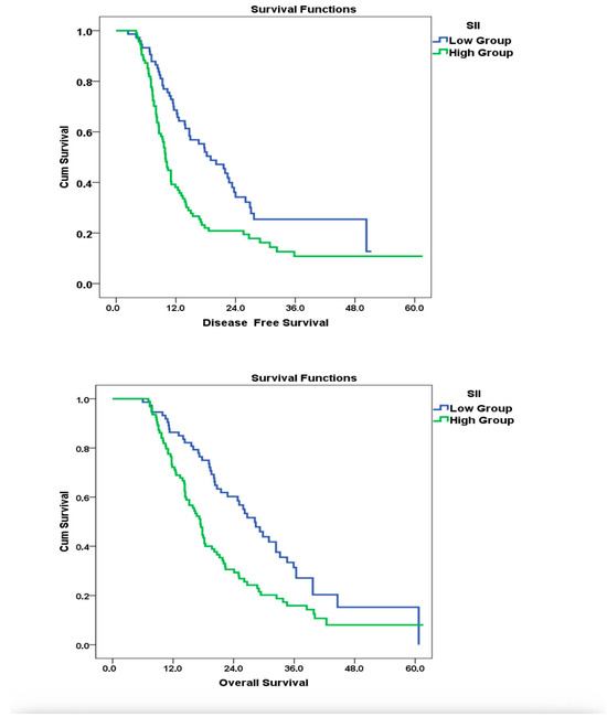
3.4. Survival Analysis
4. Discussion
5. Conclusions
Author Contributions
Funding
Institutional Review Board Statement
Informed Consent Statement
Data Availability Statement
Acknowledgments
Conflicts of Interest
Abbreviations
| SII: | Systemic Immune-Inflammation Index |
| GC: | Gastric Cancer |
| GEJ: | Gastroesophageal Junction |
| FLOT: | 5-Fluorouracil, Leucovorin, Oxaliplatin, Docetaxel |
| OS: | Overall Survival |
| DFS: | Disease-Free Survival |
| ROC: | Receiver Operating Characteristic |
| AUC: | Area Under the Curve |
| HR: | Hazard Ratio |
| OR: | Odds Ratio |
| CI: | Confidence Interval |
| ECOG- PS: | Eastern Cooperative Oncology Group Performance Score |
| TNM: | Tumor-Node-Metastasis |
| PNI: | Perineural Invasion |
| LVI: | Lymphovascular Invasion |
| BMI: | Body Mass Index |
| NLR: | Neutrophil-to-Lymphocyte Ratio |
| PLR: | Platelet-to-Lymphocyte Ratio |
| LMR: | Lymphocyte-to-Monocyte Ratio |
| pCR: | Pathological Complete Response |
| TLS: | Tertiary Lymphoid Structures |
| SRC: | Signet-Ring Cell |
| MSI: | Microsatellite Instability |
| PD-L1: | Programmed Death-Ligand 1 |
| MIF: | Macrophage Migration Inhibitory Factor |
| TNF-α: | Tumor Necrosis Factor Alpha |
| IL-6: | Interleukin-6 |
| IQR: | Interquartile Range |
| pTNM: | Pathological Tumor-Node-Metastasis |
| RFS: | Recurrence-Free Survival |
| NS: | not significant |
References
- Sung, H.; Ferlay, J.; Siegel, R.L.; Laversanne, M.; Soerjomataram, I.; Jemal, A.; Bray, F. Global Cancer Statistics 2020: GLOBOCAN Estimates of Incidence and Mortality Worldwide for 36 Cancers in 185 Countries. CA Cancer J. Clin. 2021, 71, 209–249. [Google Scholar] [CrossRef]
- Sexton, R.E.; Al Hallak, M.N.; Diab, M.; Azmi, A.S. Gastric cancer: A comprehensive review of current and future treatment strategies. Cancer Metastasis Rev. 2020, 39, 1179–1203. [Google Scholar] [CrossRef] [PubMed]
- Lordick, F.; Carneiro, F.; Cascinu, S.; Fleitas, T.; Haustermans, K.; Piessen, G.; Vogel, A.; Smyth, E.C.; ESMO Guidelines Committee. Gastric cancer: ESMO Clinical Practice Guideline for diagnosis, treatment and follow-up. Ann. Oncol. 2022, 33, 1005–1020. [Google Scholar] [CrossRef] [PubMed]
- Zhang, S.; Xiao, X.; Yi, Y.; Lin, D.; Wu, C.; Yang, X.; Zhang, S.; Gao, Y.; Zeng, J.; Li, Y.; et al. Tumor initiation and early tumorigenesis: Molecular mechanisms and interventional targets. Signal Transduct. Target. Ther. 2024, 9, 149. [Google Scholar] [CrossRef]
- Candido, J.; Hagemann, T. Cancer-related inflammation. J. Clin. Immunol. 2013, 33 (Suppl. S1), S79–S84. [Google Scholar] [CrossRef]
- Diakos, C.I.; Charles, K.A.; McMillan, D.C.; Clarke, M.J. Cancer-related inflammation and treatment effectiveness. Lancet Oncol. 2014, 15, e493–e503. [Google Scholar] [CrossRef]
- Nøst, T.H.; Borch, K.B.; Skeie, G.; Wilsgaard, T.; Papadimitriou, C.J.; Tsilidis, K.K.; Lund, E.; Gram, I.T. Systemic inflammation markers and cancer incidence in the UK Biobank. Eur. J. Epidemiol. 2021, 36, 841–848. [Google Scholar] [CrossRef] [PubMed]
- Liu, J.; Li, H.; Wu, Q.; Feng, Y.; Hu, X.; Cao, S.; Zhou, Q. Systemic immune-inflammation index, neutrophil-to-lymphocyte ratio, platelet-to-lymphocyte ratio can predict clinical outcomes in patients with metastatic non-small-cell lung cancer treated with nivolumab. J. Clin. Lab. Anal. 2019, 33, e22964. [Google Scholar] [CrossRef]
- Hu, B.; Yang, X.-M.; Sang, C.-Y.; Chen, C.-Y.; Jiang, Q.; Xia, Q.-Q.; Zhang, C.-Y.; Fan, X.-G.; Zhang, Q.-B. Systemic immune-inflammation index predicts prognosis of patients after curative resection for hepatocellular carcinoma. Clin. Cancer Res. 2014, 20, 6212–6222. [Google Scholar] [CrossRef]
- Wang, Q.; Zhu, D. The prognostic value of systemic immune-inflammation index (SII) in patients after radical operation for carcinoma of stomach in gastric cancer. J. Gastrointest. Oncol. 2019, 10, 965–978. [Google Scholar] [CrossRef]
- Malik, M.; Iqbal, S.; Inayat, N.; Ali, A.; Irfan, M.; Arif, A.; Abbas, N.; Syed, A.A.; Rasheed, H.; Afzal, M.; et al. Predictive and Prognostic Role of Systemic Immune-Inflammation Index (SII) in Metastatic Colorectal Cancer Patients Treated with Trifluridine/Tipiracil. Biomedicines 2024, 12, 2076. [Google Scholar] [CrossRef]
- Guo, W.; Li, Z.; Feng, X.-Y.; Niu, Y.-J.; Sun, Z.-M.; Xu, M.-J.; Shen, C.; Bo, X.-F.; Chen, X.-H.; Xu, S.; et al. Systemic immune-inflammation index (SII) is useful to predict survival outcomes in patients with surgically resected non-small cell lung cancer. Thorac. Cancer 2019, 10, 761–768. [Google Scholar] [CrossRef]
- Denk, D.; Greten, F.R. Inflammation: The incubator of the tumor microenvironment. Trends Cancer 2022, 8, 901–914. [Google Scholar] [CrossRef]
- Qiu, Y.; Zhang, Z.; Chen, Y. Prognostic Value of Pretreatment Systemic Immune-Inflammation Index in Gastric Cancer: A Meta-Analysis. Front. Oncol. 2021, 11, 537140. [Google Scholar] [CrossRef] [PubMed]
- Roxburgh, C.S.; McMillan, D.C. Cancer and systemic inflammation: Treat the tumour and treat the host. Br. J. Cancer 2014, 110, 1409–1412. [Google Scholar] [CrossRef]
- Inoue, H.; Tominaga, K.; Imajyo, K.; Otsuka, S.; Yamasaki, S.; Miyashita, T.; Okazaki, S.; Ueda, K.; Uchiyama, K. Significance of a preoperative systemic immune-inflammation index as a predictor of postoperative survival outcomes in gastric cancer. World J. Surg. Oncol. 2021, 19, 173. [Google Scholar] [CrossRef]
- Wang, K.; Diao, S.-Q.; Ye, X.-M.; Li, H.; Li, X.-L.; Li, Q.; Wang, Z.-N.; Wang, C.-H. Prognostic value of systemic immune-inflammation index in patients with gastric cancer. Chin. J. Cancer. 2017, 36, 75. [Google Scholar] [CrossRef]
- Uzunoglu, H.; Kaya, S. Does systemic immune inflammation index have predictive value in gastric cancer prognosis? N. Clin. Istanb. 2023, 10, 24–32. [Google Scholar] [CrossRef] [PubMed]
- Li, X.; Luo, Y.; Xu, J.; Zhao, J.; Zeng, Y.; Zhang, Y.; Xu, Z.; Li, Q. The prognostic value of systemic immune-inflammation index in surgical esophageal cancer patients: An updated meta-analysis. Front. Surg. 2022, 9, 922595. [Google Scholar] [CrossRef]
- Yang, X.; Wu, C. Systemic immune inflammation index and gastric cancer prognosis: A systematic review and meta-analysis. Exp. Ther. Med. 2024, 27, 122. [Google Scholar] [CrossRef] [PubMed]
- Xiang, S.; Zhao, L.; Xiao, Z.; Li, J.; Huang, R.; Liu, H.; Xu, H.; Xie, Y.; Ma, Y.; Lin, R.; et al. Prognostic value of systemic immune inflammation index and geriatric nutrition risk index in early-onset colorectal cancer. Front. Nutr. 2023, 10, 1134300. [Google Scholar] [CrossRef]
- Meza-Valderrama, D.; Anaya-Loyola, J.A.; García-Morales, J.M.; Gallegos-Cabriales, N.I.; Navarro-Navarro, J.F.; Enciso-Vargas, J.A.; Sánchez-Ramírez, S.; Hernández-Cortés, M.; Bernal-Orozco, J.A.; Padilla-Romo, A.L.; et al. Sarcopenia, Malnutrition, and Cachexia: Adapting Definitions and Terminology of Nutritional Disorders in Older People with Cancer. Nutrients 2021, 13, 761. [Google Scholar] [CrossRef]
- Fu, S.; Lin, T.; Xu, Y.; Wu, B.; Lv, T.; Zhao, Z.; Zhang, W.; Xia, L.; Wei, S.; Meng, Z.; et al. Prognostic value of systemic immune-inflammatory index in survival outcome in gastric cancer: A meta-analysis. J. Gastrointest. Oncol. 2021, 12, 344–354. [Google Scholar] [CrossRef] [PubMed]
- Feng, J.F.; Chen, S.; Yang, X. Systemic immune-inflammation index (SII) is a useful prognostic indicator for patients with squamous cell carcinoma of the esophagus. Medicine 2017, 96, e5886. [Google Scholar] [CrossRef]
- Zhu, Z.; Wang, H.; Wang, J.; Wang, Z.; Li, Y.; Bai, Z.; Bei, J.; Jin, J.; Ye, G.; Wang, L.; et al. Preoperative Systemic Immune-Inflammation Index (SII) for Predicting the Survival of Patients with Stage I-III Gastric Cancer with a Signet-Ring Cell (SRC) Component. Biomed. Res. Int. 2020, 2020, 5038217. [Google Scholar] [CrossRef]
- Shi, H.; Jiang, Q.; Xu, P.; Wang, F.; Li, X.; Luo, W.; Hu, B. Nomogram Based on Systemic Immune-Inflammation Index to Predict Overall Survival in Gastric Cancer Patients. Dis. Markers 2018, 2018, 1787424. [Google Scholar] [CrossRef]
- Calle, E.E.; Kaaks, R. Overweight, obesity and cancer: Epidemiological evidence and proposed mechanisms. Nat. Rev. Cancer 2004, 4, 579–591. [Google Scholar] [CrossRef]
- Oswalt, C.; Hu, C.; He, K.; Wei, W.; Jiang, Y.; Spencer, C.S.; Walko, C.M.; Ko, H.C.; Egan, T.A.; Weiss, J.; et al. Associations between body mass index, weight loss and overall survival in patients with advanced lung cancer. J. Cachexia Sarcopenia Muscle 2022, 13, 2650–2660. [Google Scholar] [CrossRef]
- Lee, K.; Kim, D.; Jung, H.J.; Kim, J.; Jeong, I.G.; Jeon, H.G.; Lee, J.L.; Jeong, B.C.; Seo, S.I.; Jeon, S.S.; et al. Impact of pretreatment body mass index on clinical outcomes in patients with metastatic renal cell carcinoma receiving first-line immune checkpoint inhibitor-based therapy: A systematic review and meta-analysis. Investig. Clin. Urol. 2024, 65, 423–434. [Google Scholar] [CrossRef] [PubMed]
- Zhao, B.; Zhang, W.; Zhao, M.; Luo, Y.; Shen, Y.; Chen, Y.; Wei, B.; Ye, G.; Ge, J.; Ye, Y.; et al. Does high body mass index negatively affect the surgical outcome and long-term survival of gastric cancer patients who underwent gastrectomy: A systematic review and meta-analysis. Eur. J. Surg. Oncol. 2018, 44, 1971–1981. [Google Scholar] [CrossRef] [PubMed]
- Park, J.-Y.; Kim, Y.J.; Lengyel, E.; Jeong, J.-W. Obesity and cancer—mechanisms underlying tumour progression and recurrence. Nat. Rev. Endocrinol. 2014, 10, 455–465. [Google Scholar] [CrossRef]
- Blauwhoff-Buskermolen, S.; Versteeg, J.J.; de van der Schueren, H.M.; den Braver, J.J.; Berkhof, J.; Langius, P.J.; Verheul, H.J. Loss of Muscle Mass During Chemotherapy Is Predictive for Poor Survival of Patients With Metastatic Colorectal Cancer. J. Clin. Oncol. 2016, 34, 1339–1344. [Google Scholar] [CrossRef]
- Wu, Y.; Wang, W.; Wang, R.; Zhang, J.; Cheng, H.; Liu, H.; Xu, C.; Gao, X.; Ding, X.; Zhang, J.; et al. Association of systemic inflammatory markers and tertiary lymphoid structure with pathological complete response in gastric cancer patients receiving preoperative treatment: A retrospective cohort study. Int. J. Surg. 2023, 109, 4151–4161. [Google Scholar] [CrossRef] [PubMed]
- Wang, H.; Zhang, Y.; Zhang, X.; Sun, H.; Liu, Z.; Bei, J.; Wang, L.; Li, Y.; Ye, G.; Wang, Z. Nomogram Based on Preoperative Fibrinogen and Systemic Immune-Inflammation Index Predicting Recurrence and Prognosis of Patients with Borrmann Type III Advanced Gastric Cancer. J. Inflamm. Res. 2023, 16, 1059–1075. [Google Scholar] [CrossRef]
- Aoyama, T.; Tamagawa, H.; Shiraishi, J.; Asada, T.; Yukawa, N.; Numata, M.; Oshima, T.; Yoshikawa, T.; Rino, Y.; Masuda, M.; et al. The Systemic Immune-inflammation Index Is an Independent Prognostic Factor for Gastric Cancer Patients Who Receive Curative Treatment. In Vivo 2024, 38, 2001–2008. [Google Scholar] [CrossRef]
- Shinko, D.; Diakos, N.C.; Gill, A.L.D.; Clarkson, A.K.; Hsu, F.S.; Selinger, K.; Leung, B.Y.; Chan, D.L.; Chou, A.M.; Crowe, P.J.; et al. Cancer-Related Systemic Inflammation: The Challenges and Therapeutic Opportunities for Personalized Medicine. Clin. Pharmacol. Ther. 2017, 102, 599–610. [Google Scholar] [CrossRef]
- Aizawa, M.; Kiuchi, J.; Kinoshita, T.; Tamagawa, H.; Numata, M.; Oshima, T.; Yoshikawa, T.; Rino, Y.; Masuda, M.; Aoyama, T. Predictive significance of surgery-induced lymphopenia on the survival after curative resection for locally advanced gastric cancer: A retrospective cohort analysis. World J. Surg. Oncol. 2023, 21, 7. [Google Scholar] [CrossRef] [PubMed]
- Jan, H.-C.; Yang, M.-H.; Chang, K.-H.; Chang, Y.-H.; Li, W.-M.; Wu, W.-J.; Huang, C.-N.; Li, C.-C.; Meng, E.; Huang, Y.-H.; et al. The Systemic Immune-Inflammation Index (SII) Increases the Prognostic Significance of Lymphovascular Invasion in Upper Tract Urothelial Carcinoma After Radical Nephroureterectomy. Cancer Manag. Res. 2022, 14, 3139–3149. [Google Scholar] [CrossRef]
- Wang, P.-X.; Wei, X.-L.; Liu, Y.; Jiang, W.-Q.; Xu, R.-H.; Luo, H.-Y.; Qiu, M.-Z.; Wang, F.-H.; Wang, D.-S.; Zhou, Z.-W.; et al. A nomogram combining plasma fibrinogen and systemic immune-inflammation index predicts survival in patients with resectable gastric cancer. Sci. Rep. 2021, 11, 10301. [Google Scholar] [CrossRef] [PubMed]


| Variable | Total (n = 168) | SII ≤ 685 (n = 74) | SII > 685 (n = 94) | p-Value |
|---|---|---|---|---|
| Age group | ≤65: 87 (51.8%) >65: 81 (48.2%) | ≤65: 34 (45.9%) >65: 40 (54.1%) | ≤65: 53 (56.4%) >65: 41 (43.6%) | 0.179 |
| Sex | Male: 105 (62.5%) Female: 63 (37.5%) | Male: 50 (67.6%) Female: 24 (32.4%) | Male: 55 (58.5%) Female: 39 (41.5%) | 0.229 |
| Blood group (O/Non-O) | O: 43 (25.6%) Non-O: 125 (74.4%) | O: 22 (29.7%) Non-O: 52 (70.3%) | O: 21 (22.3%) Non-O: 73 (77.7%) | 0.276 |
| Smoking history | Yes: 103 (61.3%) No: 65 (38.7%) | Yes: 47 (63.5%) No: 27 (36.5%) | Yes: 56 (59.6%) No: 38 (40.4%) | 0.603 |
| Comorbidity | Yes: 67 (39.9%) No: 101 (60.1%) | Yes: 30 (40.5%) No: 44 (59.5%) | Yes: 37 (39.4%) No: 57 (60.6%) | 0.877 |
| BMI (<25/≥25) | <25: 93 (55.4%) ≥25: 75 (44.6%) | <25: 41 (55.4%) ≥25: 33 (44.6%) | <25: 52 (55.3%) ≥25: 42 (44.7%) | 0.991 |
| Tumor histology | Adenocarcinoma: 114 (67.9%) Signet-ring cell carcinoma: 54 (32.1%) | Adenocarcinoma: 51 (68.9%) Signet-ring cell carcinoma: 23 (31.1%) | Adenocarcinoma: 63 (67.0%) Signet-ring cell carcinoma:31 (33.0%) | 0.794 |
| Tumor location | Proximal: 49 (29.2%) Distal: 119 (70.8%) | Proximal: 18 (24.3%) Distal: 56 (75.7%) | Proximal: 31 (33.0%) Distal: 63 (67.0%) | 0.221 |
| Surgical resection | Yes: 123 (73.2%) No: 45 (26.8%) | Yes: 58 (78.4%) No: 16 (21.6%) | Yes: 65 (69.1%) No: 29 (30.9%) | 0.180 |
| T stage * | T1–2: 51 (36.2%) T3–4: 90 (63.8%) | T1–2: 31 (47.0%) T3–4: 35 (53.0%) | T1–2: 20 (26.7%) T3–4: 55 (73.3%) | 0.012 |
| N stage * | N0: 52 (36.9%) N+: 89 (63.1%) | N0: 33 (50.0%) N+: 33 (50.0%) | N0: 19 (25.3%) N+: 56 (74.7%) | 0.002 |
| Neoadjuvant response | No response: 70 (41.7%) Partial: 56 (33.3%) Complete: 42 (25.0%) | No response: 21 (28.4%) Partial: 25 (33.8%) Complete: 28 (37.8%) | No response: 49 (52.1%) Partial: 31 (33.0%) Complete: 14 (14.9%) | 0.001 |
| PNI | Present: 123 (73.2%) Absent: 45 (26.8%) | Present: 51 (68.9%) Absent: 23 (31.1%) | Present: 72 (76.6%) Absent: 22 (23.4%) | 0.265 |
| LVI | Present: 112 (66.7%) Absent: 56 (33.3%) | Present: 39 (52.7%) Absent: 35 (47.3%) | Present: 73 (77.7%) Absent: 21 (22.3%) | 0.001 |
| ECOG-PS | ECOG 0: 133 (79.2%) ECOG ≥1: 35 (20.8%) | ECOG 0: 64 (86.5%) ECOG ≥1: 10 (13.5%) | ECOG 0: 69 (73.4%) ECOG ≥1: 25 (26.6%) | 0.038 |
| Recurrence | Yes: 135 (80.4%) No: 33 (19.6%) | Yes: 53 (71.6%) No: 21 (28.4%) | Yes: 82 (87.2%) No: 12 (12.8%) | 0.011 |
| Mortality | Deceased: 127 (75.6%) Alive: 41 (24.4%) | Deceased: 49 (66.2%) Alive: 25 (33.8%) | Deceased: 78 (83.0%) Alive: 16 (17.0%) | 0.012 |
| Variable | Median OS (95% CI) | Univariable HR (95% CI) | p-Value | Multivariable HR (95% CI) | p-Value | Reference Category |
|---|---|---|---|---|---|---|
| Age > 65 | 11.0 (8.88–13.12) | 1.06 (0.76–1.49) | 0.721 | – | – | ≤65 years |
| Male sex | 12.7 (9.97–15.43) | 0.84 (0.60–1.20) | 0.340 | – | – | Female |
| Non-0 blood group | 11.6 (10.06–13.14) | 1.21 (0.81–1.81) | 0.345 | – | – | Blood group 0 |
| Smoking | 11.5 (9.38–13.62) | 1.04 (0.73–1.46) | 0.847 | – | – | Non-smoker |
| Comorbidity present | 11.0 (8.87–13.13) | 0.95 (0.67–1.35) | 0.783 | – | – | None |
| BMI ≥ 25 | 16.7 (12.02–21.38) | 0.60 (0.43–0.85) | 0.004 | 0.79 (0.55–1.15) | 0.220 (NS) | BMI < 25 |
| Signet-ring cell carcinoma | 11.0 (8.00–14.00) | 1.30 (0.91–1.85) | 0.146 | – | – | NOS |
| Distal tumor | 13.1 (10.87–15.33) | 0.69 (0.48–0.99) | 0.041 | 0.84 (0.55–1.28) | 0.410 (NS) | GEJ/Cardia |
| Surgery performed | 15.0 (12.28–17.72) | 0.32 (0.22–0.47) | <0.001 | 0.71 (0.44–1.15) | 0.162 (NS) | No surgery |
| T stage (T3–4) | 11.0 (9.70–12.30) | 5.74 (3.50–9.41) | <0.001 | 3.69 (2.07–6.58) | <0.001 | T1–2 |
| N stage (N+) | 10.4 (9.38–11.42) | 5.09 (3.21–8.07) | <0.001 | 1.44 (0.82–2.53) | 0.200 (NS) | N0 |
| PNI present | 10.0 (8.91–11.09) | 3.22 (2.06–5.05) | <0.001 | 1.32 (0.71–2.45) | 0.380 (NS) | PNI absent |
| LVI present | 9.8 (8.76–10.84) | 4.04 (2.64–6.18) | <0.001 | 1.56 (0.84–2.87) | 0.160 (NS) | LVI absent |
| ECOG ≥ 1 | 6.8 (6.32–7.28) | 8.93 (5.67–14.06) | <0.001 | 3.30 (1.74–6.25) | <0.001 | ECOG 0 |
| SII > 685 | 9.8 (8.96–10.64) | 1.82 (1.28–2.57) | 0.001 | 1.88 (1.36–2.89) | 0.039 | SII ≤ 685 |
| Neoadjuvant—partial response | 14.0 (11.56–16.45) | 0.18 (0.12–0.27) | <0.001 | 0.91 (0.53–1.55) | 0.720 (NS) | No response |
| Neoadjuvant—complete response | 28.9 (24.00–33.80) | 0.07 (0.04–0.11) | <0.001 | 0.36 (0.21–0.61) | <0.001 | No response |
Disclaimer/Publisher’s Note: The statements, opinions and data contained in all publications are solely those of the individual author(s) and contributor(s) and not of MDPI and/or the editor(s). MDPI and/or the editor(s) disclaim responsibility for any injury to people or property resulting from any ideas, methods, instructions or products referred to in the content. |
© 2025 by the authors. Published by MDPI on behalf of the Lithuanian University of Health Sciences. Licensee MDPI, Basel, Switzerland. This article is an open access article distributed under the terms and conditions of the Creative Commons Attribution (CC BY) license (https://creativecommons.org/licenses/by/4.0/).
Share and Cite
Peker, P.; Geçgel, A.; Özkan, O.; Gökmen, I.; Menekse, S.; Duşgun, A.; Duman, B.B.; Çil, T. Systemic Immune-Inflammation Index as a Prognostic Marker in Gastric and Gastroesophageal Junction Cancers Receiving Perioperative FLOT Therapy. Medicina 2025, 61, 1614. https://doi.org/10.3390/medicina61091614
Peker P, Geçgel A, Özkan O, Gökmen I, Menekse S, Duşgun A, Duman BB, Çil T. Systemic Immune-Inflammation Index as a Prognostic Marker in Gastric and Gastroesophageal Junction Cancers Receiving Perioperative FLOT Therapy. Medicina. 2025; 61(9):1614. https://doi.org/10.3390/medicina61091614
Chicago/Turabian StylePeker, Pinar, Asli Geçgel, Oğuzcan Özkan, Ivo Gökmen, Serkan Menekse, Alpay Duşgun, Berna Bozkurt Duman, and Timuçin Çil. 2025. "Systemic Immune-Inflammation Index as a Prognostic Marker in Gastric and Gastroesophageal Junction Cancers Receiving Perioperative FLOT Therapy" Medicina 61, no. 9: 1614. https://doi.org/10.3390/medicina61091614
APA StylePeker, P., Geçgel, A., Özkan, O., Gökmen, I., Menekse, S., Duşgun, A., Duman, B. B., & Çil, T. (2025). Systemic Immune-Inflammation Index as a Prognostic Marker in Gastric and Gastroesophageal Junction Cancers Receiving Perioperative FLOT Therapy. Medicina, 61(9), 1614. https://doi.org/10.3390/medicina61091614

