Comparison of the Prognostic Performance of Various Machine Learning Models in Patients with Acute Myocardial Infarction: Results from the COREA-AMI Registry
Abstract
1. Introduction
2. Materials and Methods
2.1. Study Design and Population
2.2. Ethics Statement
2.3. Study Outcomes
2.4. Statistical Method and Machine Learning Model
3. Results
3.1. Baseline Characteristics and Clinical Outcomes
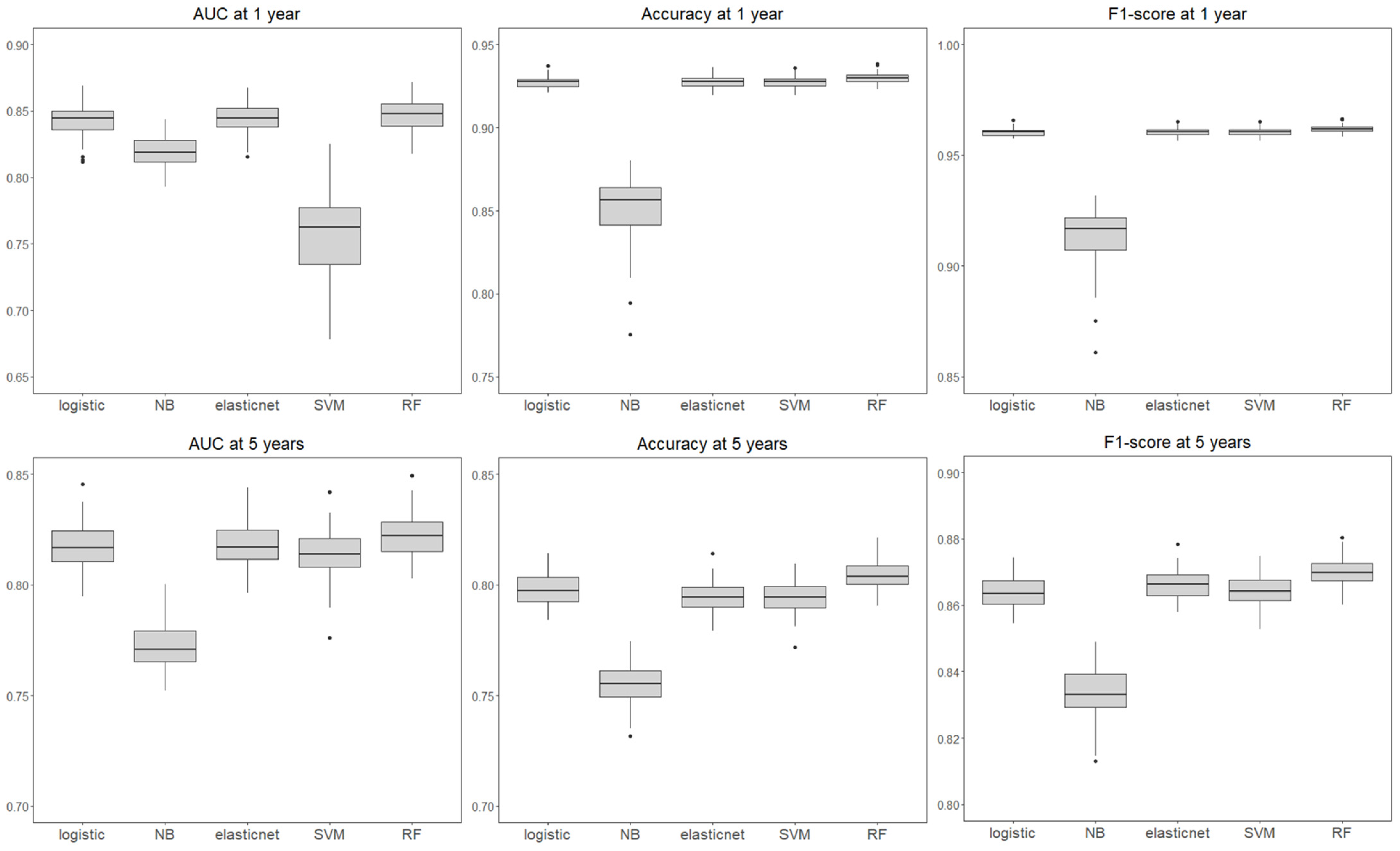
3.2. Comparative Performance of Machine Learning Models
3.3. Prognostic Predictors and SHAP Analysis
4. Discussion
5. Future Research Directions
6. Conclusions
Author Contributions
Funding
Institutional Review Board Statement
Informed Consent Statement
Data Availability Statement
Conflicts of Interest
References
- Seo, Y.; Moon, J.; Lee, H.H.; Kim, H.C.; Kaneko, F.; Shin, S.; Kim, E.; Bae, J.W.; Kim, B.K.; Lee, S.J.; et al. Incidence and case fatality of acute myocardial infarction in Korea, 2011–2020. Epidemiol. Health 2024, 46, e2024002. [Google Scholar] [CrossRef] [PubMed]
- Wang, Y.; Leifheit, E.; Normand, S.T.; Krumholz, H.M. Association Between Subsequent Hospitalizations and Recurrent Acute Myocardial Infarction Within 1 Year After Acute Myocardial Infarction. J. Am. Heart Assoc. 2020, 9, e014907. [Google Scholar] [CrossRef] [PubMed]
- Bonaca, M.P.; Wiviott, S.D.; Braunwald, E.; Murphy, S.A.; Ruff, C.T.; Antman, E.M.; Morrow, D.A. American College of Cardiology/American Heart Association/European Society of Cardiology/World Heart Federation universal definition of myocardial infarction classification system and the risk of cardiovascular death: Observations from the TRITON-TIMI 38 trial (Trial to Assess Improvement in Therapeutic Outcomes by Optimizing Platelet Inhibition with Prasugrel-Thrombolysis in Myocardial Infarction 38). Circulation 2012, 125, 577–583. [Google Scholar] [CrossRef] [PubMed]
- Lee, K.; Han, S.; Lee, M.; Kim, D.W.; Kwon, J.; Park, G.M.; Park, M.W. Evidence-Based Optimal Medical Therapy and Mortality in Patients with Acute Myocardial Infarction After Percutaneous Coronary Intervention. J. Am. Heart Assoc. 2023, 12, e024370. [Google Scholar] [CrossRef]
- GBD Causes of Death Collaborators. Global, regional, and national age-sex specific mortality for 264 causes of death, 1980–2016: A systematic analysis for the Global Burden of Disease Study 2016. Lancet 2017, 390, 1151–1210. [Google Scholar] [CrossRef]
- Roth, G.A.; Johnson, C.; Abajobir, A.; Abd-Allah, F.; Abera, S.F.; Abyu, G.; Ahmed, M.; Aksut, B.; Alam, T.; Alam, K.; et al. Global, Regional, and National Burden of Cardiovascular Diseases for 10 Causes, 1990 to 2015. J. Am. Coll. Cardiol. 2017, 70, 1–25. [Google Scholar] [CrossRef]
- Wang, J.; Wang, S.; Zhu, M.X.; Yang, T.; Yin, Q.; Hou, Y. Risk Prediction of Major Adverse Cardiovascular Events Occurrence Within 6 Months After Coronary Revascularization: Machine Learning Study. JMIR Med. Inform. 2022, 10, e33395. [Google Scholar] [CrossRef]
- Khera, R.; Haimovich, J.; Hurley, N.C.; McNamara, R.; Spertus, J.A.; Desai, N.; Rumsfeld, J.S.; Masoudi, F.A.; Huang, C.; Normand, S.L.; et al. Use of Machine Learning Models to Predict Death After Acute Myocardial Infarction. JAMA Cardiol. 2021, 6, 633–641. [Google Scholar] [CrossRef]
- D’Ascenzo, F.; De Filippo, O.; Gallone, G.; Mittone, G.; Deriu, M.A.; Iannaccone, M.; Ariza-Sole, A.; Liebetrau, C.; Manzano-Fernandez, S.; Quadri, G.; et al. Machine learning-based prediction of adverse events following an acute coronary syndrome (PRAISE): A modelling study of pooled datasets. Lancet 2021, 397, 199–207. [Google Scholar] [CrossRef]
- Rubin, D.B. Multiple Imputation for Nonresponse in Surveys; Springer: Berlin/Heidelberg, Germany, 1987. [Google Scholar]
- Schafer, J.L. Analysis of Incomplete Multivariate Data; Chapman and Hall/CRC: New York, NY, USA, 1997. [Google Scholar]
- Yuan, Y. Multiple Imputation Using SAS Software. J. Stat. Softw. 2011, 45, 1–25. [Google Scholar] [CrossRef]
- Kuhn, M.; Johnson, K. Applied Predictive Modeling, 1st ed.; Springer: New York, NY, USA, 2013; pp. XIII, 600. [Google Scholar]
- Kuhn, M. Building Predictive Models in R Using the caret Package. J. Stat. Softw. 2008, 28, 1–26. [Google Scholar] [CrossRef]
- Kohavi, R. A Study of Cross-Validation and Bootstrap for Accuracy Estimation and Model Selection. Int. Jt. Conf. Artif. Intell. 1995, 2, 1137–1143. [Google Scholar]
- Cortes, C.; Vapnik, V. Support-vector networks. Mach. Learn. 1995, 20, 273–297. [Google Scholar] [CrossRef]
- Breiman, L. Random Forests. Mach. Learn. 2001, 45, 5–32. [Google Scholar] [CrossRef]
- Zou, H.; Hastie, T. Regularization and Variable Selection Via the Elastic Net. J. R. Stat. Soc. Ser. B Stat. Methodol. 2005, 67, 301–320. [Google Scholar] [CrossRef]
- Domingos, P.; Pazzani, M. On the Optimality of the Simple Bayesian Classifier under Zero-One Loss. Mach. Learn. 1997, 29, 103–130. [Google Scholar] [CrossRef]
- Hastie, T.; Tibshirani, R.; Friedman, J. The Elements of Statistical Learning, 2nd ed.; Springer: New York, NY, USA, 2009; pp. XXII, 745. [Google Scholar]
- Bergstra, J.; Bengio, Y. Random search for hyper-parameter optimization. J. Mach. Learn. Res. 2012, 13, 281–305. [Google Scholar]
- Probst, P.; Wright, M.N.; Boulesteix, A.-L. Hyperparameters and tuning strategies for random forest. WIREs Data Min. Knowl. Discov. 2019, 9, e1301. [Google Scholar] [CrossRef]
- He, H.; Garcia, E.A. Learning from Imbalanced Data. IEEE Trans. Knowl. Data Eng. 2009, 21, 1263–1284. [Google Scholar] [CrossRef]
- Elkan, C. The Foundations of Cost-Sensitive Learning. In Proceedings of the 17th International Joint Conference on Artificial Intelligence—Volume 2, Seattle, WA, USA, 18–23 August 2001; pp. 973–978. [Google Scholar]
- Japkowicz, N.; Stephen, S. The class imbalance problem: A systematic study1. Intell. Data Anal. 2002, 6, 429–449. [Google Scholar] [CrossRef]
- Fawcett, T. An introduction to ROC analysis. Pattern Recognit. Lett. 2006, 27, 861–874. [Google Scholar] [CrossRef]
- Saito, T.; Rehmsmeier, M. The Precision-Recall Plot Is More Informative than the ROC Plot When Evaluating Binary Classifiers on Imbalanced Datasets. PLoS ONE 2015, 10, e0118432. [Google Scholar] [CrossRef] [PubMed]
- Lundberg, S.M.; Lee, S.-I. A Unified Approach to Interpreting Model Predictions. In Proceedings of the Neural Information Processing Systems, Long Beach, CA, USA, 4–9 December 2017. [Google Scholar]
- Lundberg, S.M.; Erion, G.; Chen, H.; DeGrave, A.; Prutkin, J.M.; Nair, B.; Katz, R.; Himmelfarb, J.; Bansal, N.; Lee, S.-I. From local explanations to global understanding with explainable AI for trees. Nat. Mach. Intell. 2020, 2, 56–67. [Google Scholar] [CrossRef] [PubMed]
- Pedregosa, F.; Varoquaux, G.; Gramfort, A.; Michel, V.; Thirion, B.; Grisel, O.; Blondel, M.; Prettenhofer, P.; Weiss, R.; Dubourg, V.; et al. Scikit-learn: Machine Learning in Python. J. Mach. Learn. Res. 2011, 12, 2825–2830. [Google Scholar]
- Chen, T.; Guestrin, C. XGBoost: A Scalable Tree Boosting System. In Proceedings of the 22nd ACM SIGKDD International Conference on Knowledge Discovery and Data Mining, Melbourne, VIC, Australia, 3–6 June 2016. [Google Scholar]
- Friedman, J.H.; Hastie, T.; Tibshirani, R. Regularization Paths for Generalized Linear Models via Coordinate Descent. J. Stat. Softw. 2010, 33, 1–22. [Google Scholar] [CrossRef]
- Liaw, A.; Wiener, M. Classification and Regression by randomForest. R News 2002, 2, 18–22. [Google Scholar]
- Kim, Y.; Ahn, Y.; Cho, M.C.; Kim, C.J.; Kim, Y.J.; Jeong, M.H. Current status of acute myocardial infarction in Korea. Korean J. Intern. Med. 2019, 34, 1–10. [Google Scholar] [CrossRef]
- Zhang, Y.; Liu, H.; Huang, Q.; Qu, W.; Shi, Y.; Zhang, T.; Li, J.; Chen, J.; Shi, Y.; Deng, R.; et al. Predictive value of machine learning for in-hospital mortality risk in acute myocardial infarction: A systematic review and meta-analysis. Int. J. Med. Inform. 2025, 198, 105875. [Google Scholar] [CrossRef]
- Oliveira, M.; Seringa, J.; Pinto, F.J.; Henriques, R.; Magalhães, T. Machine learning prediction of mortality in Acute Myocardial Infarction. BMC Med. Inform. Decis. Mak. 2023, 23, 70. [Google Scholar] [CrossRef]
- Yang, Y.; Tang, J.; Ma, L.; Wu, F.; Guan, X. A systematic comparison of short-term and long-term mortality prediction in acute myocardial infarction using machine learning models. BMC Med. Inform. Decis. Mak. 2025, 25, 208. [Google Scholar] [CrossRef]
- Xiao, C.; Guo, Y.; Zhao, K.; Liu, S.; He, N.; He, Y.; Guo, S.; Chen, Z. Prognostic Value of Machine Learning in Patients with Acute Myocardial Infarction. J. Cardiovasc. Dev. Dis. 2022, 9, 56. [Google Scholar] [CrossRef]
- Powers, D.M.W. Evaluation: From Precision, Recall and F-measure to ROC, Informedness, Markedness and Correlation. J. Mach. Learn. Technol. 2011, 2, 37–63. [Google Scholar]
- Chicco, D.; Jurman, G. The advantages of the Matthews correlation coefficient (MCC) over F1 score and accuracy in binary classification evaluation. BMC Genom. 2020, 21, 6. [Google Scholar] [CrossRef] [PubMed]
- Levine, G.N.; Bates, E.R.; Bittl, J.A.; Brindis, R.G.; Fihn, S.D.; Fleisher, L.A.; Granger, C.B.; Lange, R.A.; Mack, M.J.; Mauri, L.; et al. 2016 ACC/AHA Guideline Focused Update on Duration of Dual Antiplatelet Therapy in Patients with Coronary Artery Disease: A Report of the American College of Cardiology/American Heart Association Task Force on Clinical Practice Guidelines: An Update of the 2011 ACCF/AHA/SCAI Guideline for Percutaneous Coronary Intervention, 2011 ACCF/AHA Guideline for Coronary Artery Bypass Graft Surgery, 2012 ACC/AHA/ACP/AATS/PCNA/SCAI/STS Guideline for the Diagnosis and Management of Patients With Stable Ischemic Heart Disease, 2013 ACCF/AHA Guideline for the Management of ST-Elevation Myocardial Infarction, 2014 AHA/ACC Guideline for the Management of Patients with Non-ST-Elevation Acute Coronary Syndromes, and 2014 ACC/AHA Guideline on Perioperative Cardiovascular Evaluation and Management of Patients Undergoing Noncardiac Surgery. Circulation 2016, 134, e123–e155. [Google Scholar] [CrossRef] [PubMed]
- Ibanez, B.; James, S.; Agewall, S.; Antunes, M.J.; Bucciarelli-Ducci, C.; Bueno, H.; Caforio, A.L.P.; Crea, F.; Goudevenos, J.A.; Halvorsen, S.; et al. 2017 ESC Guidelines for the management of acute myocardial infarction in patients presenting with ST-segment elevation: The Task Force for the management of acute myocardial infarction in patients presenting with ST-segment elevation of the European Society of Cardiology (ESC). Eur. Heart J. 2018, 39, 119–177. [Google Scholar] [CrossRef]
- Amsterdam, E.A.; Wenger, N.K.; Brindis, R.G.; Casey, D.E., Jr.; Ganiats, T.G.; Holmes, D.R., Jr.; Jaffe, A.S.; Jneid, H.; Kelly, R.F.; Kontos, M.C.; et al. 2014 AHA/ACC guideline for the management of patients with non-ST-elevation acute coronary syndromes: Executive summary: A report of the American College of Cardiology/American Heart Association Task Force on Practice Guidelines. Circulation 2014, 130, 2354–2394. [Google Scholar] [CrossRef]
- Lee, M.; Lee, K.; Kim, D.W.; Cho, J.S.; Kim, T.S.; Kwon, J.; Kim, C.J.; Park, C.S.; Kim, H.Y.; Yoo, K.D.; et al. Comparative Effectiveness of Long-Term Maintenance Beta-Blocker Therapy After Acute Myocardial Infarction in Stable, Optimally Treated Patients Undergoing Percutaneous Coronary Intervention. J. Am. Heart Assoc. 2023, 12, e028976. [Google Scholar] [CrossRef]
- Choi, K.H.; Kim, J.; Kang, D.; Doh, J.H.; Kim, J.; Park, Y.H.; Ahn, S.G.; Kim, W.; Park, J.P.; Kim, S.M.; et al. Discontinuation of β-blocker therapy in stabilised patients after acute myocardial infarction (SMART-DECISION): Rationale and design of the randomised controlled trial. BMJ Open 2024, 14, e086971. [Google Scholar] [CrossRef]
- Cersosimo, A.; Zito, E.; Pierucci, N.; Matteucci, A.; La Fazia, V.M. A Talk with ChatGPT: The Role of Artificial Intelligence in Shaping the Future of Cardiology and Electrophysiology. J. Pers. Med. 2025, 15, 205. [Google Scholar] [CrossRef]



| 1 Year | 5 Years | |||||
|---|---|---|---|---|---|---|
| Characteristics | Overall | No MACE | MACE | Overall | No MACE | MACE |
| n = 9624 | n = 8537 | n = 1087 | n = 6747 | n = 4686 | n = 2061 | |
| Demographics | ||||||
| Age (years) | 63.5 ± 12.7 | 62.5 ± 12.5 | 71.5 ± 11.3 | 63.7 ± 12.7 | 60.7 ± 12.0 | 70.5 ± 11.8 |
| Male | 6912 (71.8) | 6245 (73.2) | 667 (61.4) | 4797 (71.1) | 3520 (75.1) | 1277 (62.0) |
| BMI | 24.1 ± 3.2 | 24.2 ± 3.2 | 23.2 ± 3.4 | 24.1 ± 3.2 | 24.4 ± 3.1 | 23.3 ± 3.3 |
| SBP | 128.3 ± 27.0 | 129.4 ± 26.5 | 119.4 ± 29.0 | 127.9 ± 27.1 | 129.6 ± 26.3 | 124.1 ± 28.5 |
| DBP | 78.3 ± 16.7 | 79.0 ± 16.4 | 72.8 ± 18.1 | 78.1 ± 16.7 | 79.4 ± 16.2 | 75.1 ± 17.4 |
| HR | 78.9 ± 19.0 | 78.1 ± 18.3 | 85.3 ± 22.8 | 79.2 ± 19.3 | 77.1 ± 17.6 | 84.0 ± 22.0 |
| Clinical diagnosis | ||||||
| STEMI | 4337 (45.1) | 3881 (45.5) | 456 (42.0) | 2935 (43.5) | 1982 (42.3) | 953 (46.2) |
| NSTEMI | 5287 (54.9) | 4656 (54.5) | 631 (58.1) | 3812 (56.5) | 2704 (57.7) | 1108 (53.8) |
| Past medical history | ||||||
| Hypertension | 5016 (52.1) | 4313 (50.5) | 703 (64.7) | 3585 (53.1) | 2267 (48.4) | 1318 (64.0) |
| Diabetes mellitus | 3002 (31.2) | 2553 (29.9) | 449 (41.3) | 2138 (31.7) | 1279 (27.3) | 859 (41.7) |
| Hyperlipidemia | 1523 (15.8) | 1381 (16.2) | 142 (13.1) | 968 (14.3) | 701 (15.0) | 267 (13.0) |
| History of CAD | 287 (3.0) | 265 (3.1) | 22 (2.0) | 195 (2.9) | 155 (3.3) | 40 (1.9) |
| Current smoker | 3891 (40.4) | 3586 (42.0) | 305 (28.1) | 2682 (39.8) | 2080 (44.4) | 602 (29.2) |
| Prior MI | 347 (3.6) | 293 (3.4) | 54 (5.0) | 266 (3.9) | 145 (3.1) | 121 (5.9) |
| Prior PCI | 557 (5.8) | 469 (5.5) | 88 (8.1) | 386 (5.7) | 213 (4.6) | 173 (8.4) |
| Prior CABG | 43 (0.4) | 33 (0.4) | 10 (0.9) | 34 (0.5) | 14 (0.3) | 20 (1.0) |
| Prior CVA | 694 (7.2) | 553 (6.5) | 141 (13.0) | 522 (7.7) | 275 (5.9) | 247 (12.0) |
| CAD | 52 (0.5) | 42 (0.5) | 10 (0.9) | 31 (0.5) | 15 (0.3) | 16 (0.8) |
| A.fib | 492 (5.1) | 364 (4.3) | 128 (11.8) | 380 (5.6) | 177 (3.8) | 203 (9.9) |
| Chronic renal disease | 189 (2.0) | 124 (1.5) | 65 (6.0) | 146 (2.2) | 28 (0.6) | 118 (5.7) |
| Cancer | 294 (3.1) | 252 (3.0) | 42 (3.9) | 177 (2.6) | 86 (1.8) | 91 (4.4) |
| Chronic liver disease | 82 (0.9) | 73 (0.9) | 9 (0.8) | 56 (0.8) | 38 (0.8) | 18 (0.9) |
| COPD | 235 (2.4) | 190 (2.2) | 45 (4.1) | 173 (2.6) | 87 (1.9) | 86 (4.2) |
| Laboratory and echocardiographic findings | ||||||
| White blood cell | 14.6 ± 121.0 | 13.9 ± 114.3 | 19.8 ± 164.0 | 14.7 ± 105.2 | 14.1 ± 98.3 | 16.0 ± 119.4 |
| Neutrophil | 65.3 ± 92.7 | 64.9 ± 98.1 | 68.4 ± 20.5 | 65.2 ± 100.8 | 64.2 ± 119.9 | 67.5 ± 23.7 |
| Hemoglobin | 13.6 ± 2.1 | 13.7 ± 2.0 | 12.4 ± 2.2 | 13.5 ± 2.1 | 13.8 ± 1.9 | 12.7 ± 2.3 |
| Platelet | 233.0 ± 74.4 | 233.4 ± 73.6 | 230.1 ± 80.6 | 232.9 ± 71.9 | 233.9 ± 69.9 | 230.7 ± 76.1 |
| HbA1c | 6.6 ± 1.6 | 6.6 ± 1.6 | 6.8 ± 1.5 | 6.6 ± 1.6 | 6.6 ± 1.6 | 6.8 ± 1.6 |
| Total Cholesterol | 178.2 ± 43.4 | 179.8 ± 42.6 | 166.2 ± 47.5 | 178.3 ± 43.5 | 182.7 ± 41.6 | 168.3 ± 45.9 |
| Triglyceride | 125.4 ± 91.6 | 127.3 ± 93.3 | 110.7 ± 75.1 | 125.9 ± 92.9 | 132.7 ± 99.7 | 110.6 ± 72.7 |
| HDL Cholesterol | 40.7 ± 10.9 | 40.9 ± 10.8 | 39.1 ± 11.8 | 40.7 ± 10.9 | 41.2 ± 10.5 | 39.6 ± 11.5 |
| LDL Cholesterol | 113.8 ± 37.8 | 115.0 ± 37.3 | 104.2 ± 40.5 | 113.8 ± 37.8 | 117.2 ± 36.8 | 106.2 ± 38.8 |
| hsCRP | 77.2 ± 312.3 | 73.4 ± 323.4 | 107.5 ± 202.5 | 79.8 ± 264.8 | 70.8 ± 288.4 | 100.1 ± 199.6 |
| Creatinine | 1.2 ± 1.1 | 1.1 ± 0.9 | 1.7 ± 1.7 | 1.2 ± 1.1 | 1.0 ± 0.7 | 1.6 ± 1.7 |
| eGFR | 63.4 ± 24.0 | 65.3 ± 23.2 | 48.0 ± 25.2 | 61.8 ± 23.7 | 66.6 ± 21.3 | 50.8 ± 25.2 |
| CK-MB (peak) | 142.1 ± 677.1 | 130.0 ± 233.4 | 237.1 ± 1903.6 | 147.4 ± 796.2 | 134.1 ± 247.2 | 177.6 ± 1391.3 |
| LV EF | 53.1 ± 11.3 | 53.9 ± 10.8 | 46.5 ± 12.9 | 52.8 ± 11.6 | 54.7 ± 10.6 | 48.4 ± 12.6 |
| Discharge medications | ||||||
| DAPT | 9026 (93.8) | 8388 (98.3) | 638 (58.7) | 6196 (91.8) | 4605 (98.3) | 1591 (77.2) |
| SAPT | 198 (2.1) | 139 (1.6) | 59 (5.4) | 155 (2.3) | 78 (1.7) | 77 (3.7) |
| warfarin | 201 (2.1) | 169 (2.0) | 32 (2.9) | 142 (2.1) | 76 (1.6) | 66 (3.2) |
| anticoagulation | 285 (3.0) | 245 (2.9) | 40 (3.7) | 203 (3.0) | 110 (2.4) | 93 (4.5) |
| statin | 8343 (86.7) | 7754 (90.8) | 589 (54.2) | 5629 (83.4) | 4213 (89.9) | 1416 (68.7) |
| beta blocker | 7604 (79.0) | 7073 (82.9) | 531 (48.9) | 5153 (76.4) | 3854 (82.2) | 1299 (63.0) |
| ACE-inhibitor or ARB | 7195 (74.8) | 6688 (78.3) | 507 (46.6) | 5091 (75.5) | 3860 (82.4) | 1231 (59.7) |
| Procedure details | ||||||
| Radial access | 1732 (18.0) | 1581 (18.5) | 151 (13.9) | 771 (11.4) | 488 (10.4) | 283 (13.7) |
| Multivessel disease | 2911 (30.2) | 2592 (30.4) | 319 (29.4) | 2087 (30.9) | 1447 (30.9) | 640 (31.1) |
| Left main disease | 639 (6.6) | 492 (5.8) | 147 (13.5) | 459 (6.8) | 236 (5.0) | 223 (10.8) |
| Proximal LAD lesion | 4037 (41.9) | 3515 (41.2) | 522 (48.0) | 2871 (42.6) | 1902 (40.6) | 969 (47.0) |
| Disease_extent | ||||||
| 1VD | 4319 (44.9) | 3935 (46.1) | 384 (35.3) | 2892 (42.9) | 2157 (46.0) | 735 (35.7) |
| 2VD | 3132 (32.5) | 2776 (32.5) | 356 (32.8) | 2193 (32.5) | 1499 (32.0) | 694 (33.7) |
| 3VD | 2105 (21.9) | 1780 (20.9) | 325 (29.9) | 1612(23.9) | 1006 (21.5) | 606 (29.4) |
| Complex PCI | 4069 (42.3) | 3595 (42.1) | 474 (43.6) | 2871 (42.6) | 1949 (41.6) | 922 (44.7) |
| Treated lesion extent | ||||||
| 1VD | 7039 (73.1) | 6202 (72.7) | 837 (77.0) | 4885 (72.4) | 3355 (71.6) | 1530 (74.2) |
| 2VD | 2541 (26.4) | 2293 (26.9) | 248 (22.8) | 1826 (27.1) | 1303 (27.8) | 523 (25.4) |
| 3VD | 44 (0.5) | 42 (0.5) | 2 (0.2) | 36 (0.5) | 28 (0.6) | 8 (0.4) |
| LM PCI | 406 (4.2) | 304 (3.6) | 102 (9.4) | 285 (4.2) | 141 (3.0) | 144 (7.0) |
| Graft PCI | 6 (0.1) | 5 (0.1) | 1 (0.1) | 3 (0.0) | 1 (0.0) | 2 (0.1) |
| LAD PCI | 5831 (60.6) | 5138 (60.2) | 693 (63.8) | 4115 (61.0) | 2815 (60.1) | 1300 (63.1) |
| LCX PCI | 2544 (26.4) | 2326 (27.3) | 218 (20.1) | 1775 (26.3) | 1298 (27.7) | 477 (23.1) |
| RCA PCI | 3791 (39.4) | 3390 (39.7) | 401 (36.9) | 2694 (39.9) | 1906 (40.7) | 788 (38.2) |
| Culprit LAD/LM | 4947 (51.4) | 4319 (50.6) | 628 (57.8) | 3487 (51.7) | 2348 (50.1) | 1139 (55.3) |
| Bifurcation | 400 (4.2) | 346 (4.1) | 54 (5.0) | 290 (4.3) | 192 (4.1) | 98 (4.8) |
| Ostium | 390 (4.1) | 337 (4.0) | 53 (4.9) | 288 (4.3) | 192 (4.1) | 96 (4.7) |
| Restenosis | 145 (1.5) | 126 (1.5) | 19 (1.8) | 84 (1.2) | 47 (1.0) | 37 (1.8) |
| CTO | 506 (5.3) | 440 (5.2) | 66 (6.1) | 369 (5.5) | 264 (5.6) | 105 (5.1) |
| Long stenting | 1320 (13.7) | 1149 (13.5) | 171 (15.7) | 866 (12.8) | 553 (11.8) | 313 (15.2) |
| IVUS | 1944 (20.2) | 1771 (20.7) | 173 (15.9) | 1491 (22.1) | 1122 (23.9) | 369 (17.9) |
| total stent number | 1.6 ± 0.9 | 1.6 ± 0.9 | 1.6 ± 0.9 | 1.6 ± 0.9 | 1.7 ± 0.9 | 1.6 ± 0.8 |
| mean stent diameter | 3.2 ± 0.4 | 3.2 ± 0.4 | 3.1 ± 0.4 | 3.2 ± 0.4 | 3.2 ± 0.4 | 3.1 ± 0.4 |
| total stent length | 34.2 ± 20.8 | 34.4 ± 20.9 | 32.6 ± 20.1 | 34.4 ± 20.7 | 34.7 ± 21.0 | 33.6 ± 20.0 |
| 5 Years | AUC | Accuracy | Precision | Recall | F1-Score |
|---|---|---|---|---|---|
| Logistic | 0.817 | 0.798 | 0.810 | 0.925 | 0.864 |
| Naive Bayes | 0.772 | 0.755 | 0.790 | 0.883 | 0.834 |
| Elastic net | 0.817 | 0.794 | 0.790 | 0.958 | 0.866 |
| SVM | 0.814 | 0.794 | 0.798 | 0.943 | 0.864 |
| RF | 0.822 | 0.804 | 0.808 | 0.943 | 0.870 |
| 1 Year | AUC | Accuracy | Precision | Recall | F1-Score |
| Logistic | 0.843 | 0.927 | 0.93 | 0.993 | 0.960 |
| Naive Bayes | 0.819 | 0.851 | 0.943 | 0.886 | 0.913 |
| Elastic net | 0.844 | 0.927 | 0.928 | 0.995 | 0.961 |
| SVM | 0.758 | 0.927 | 0.928 | 0.995 | 0.960 |
| RF | 0.847 | 0.930 | 0.928 | 0.998 | 0.962 |
Disclaimer/Publisher’s Note: The statements, opinions and data contained in all publications are solely those of the individual author(s) and contributor(s) and not of MDPI and/or the editor(s). MDPI and/or the editor(s) disclaim responsibility for any injury to people or property resulting from any ideas, methods, instructions or products referred to in the content. |
© 2025 by the authors. Published by MDPI on behalf of the Lithuanian University of Health Sciences. Licensee MDPI, Basel, Switzerland. This article is an open access article distributed under the terms and conditions of the Creative Commons Attribution (CC BY) license (https://creativecommons.org/licenses/by/4.0/).
Share and Cite
Jung, J.-H.; Lee, K.; Chang, K.; Ahn, Y.; Her, S.-H.; Lee, S. Comparison of the Prognostic Performance of Various Machine Learning Models in Patients with Acute Myocardial Infarction: Results from the COREA-AMI Registry. Medicina 2025, 61, 1783. https://doi.org/10.3390/medicina61101783
Jung J-H, Lee K, Chang K, Ahn Y, Her S-H, Lee S. Comparison of the Prognostic Performance of Various Machine Learning Models in Patients with Acute Myocardial Infarction: Results from the COREA-AMI Registry. Medicina. 2025; 61(10):1783. https://doi.org/10.3390/medicina61101783
Chicago/Turabian StyleJung, Ji-Hoon, Kyusup Lee, Kiyuk Chang, Youngkeun Ahn, Sung-Ho Her, and Sangin Lee. 2025. "Comparison of the Prognostic Performance of Various Machine Learning Models in Patients with Acute Myocardial Infarction: Results from the COREA-AMI Registry" Medicina 61, no. 10: 1783. https://doi.org/10.3390/medicina61101783
APA StyleJung, J.-H., Lee, K., Chang, K., Ahn, Y., Her, S.-H., & Lee, S. (2025). Comparison of the Prognostic Performance of Various Machine Learning Models in Patients with Acute Myocardial Infarction: Results from the COREA-AMI Registry. Medicina, 61(10), 1783. https://doi.org/10.3390/medicina61101783

