Comparison of the Effects of Multiple Frailty and Nutritional Indexes on Postoperative Outcomes in Critically Ill Patients Undergoing Lung Transplantation
Abstract
1. Introduction
2. Methods
2.1. Study Design
2.2. Patients
2.3. Preoperative Variables and Data Collection
2.4. Preoperative Nutritional Status and Frailty Risk Indexes
- The GNRI can be determined by the following equation: GNRI = 14.89 × serum albumin (g/dL) + 41.7 × (present weight/ideal body weight) [7].
- The CONUT score is computed by summing the scores of the following variables:
- Serum albumin level: ≥3.5 g/dL (0 points), 3.0–3.4 g/dL (2 points), 2.5–2.9 g/dL (4 points), or <2.5 g/dL (6 points);
- Total lymphocyte count: ≥1600 cells/µL (0 points), 1200–1599 cells/µL (1 point), 800–1199 cells/µL (2 points), or <800 cells/µL (3 points);
- Total cholesterol level: ≥180 mg/dL (0 points), 140–179 mg/dL (1 point), 100–139 mg/dL (2 points), or <100 mg/dL (3 points) [9].
- The MFI is calculated based on a patient’s medical history and functional status. It comprises 11 elements, and the score is derived by summing the applicable factors and then dividing by 11. Thus, having one factor corresponds to a score of 0.09, while having three factors results in a score of 0.27 (Supplementary Table S1) [11,12,13].
- The CFS is categorized on a scale ranging from 1 (very fit) to 9 (terminally ill). The score is determined by selecting the fitness level that matches the descriptive criteria provided for each level (Supplementary Table S2) [14].
- The CCI is determined by summing the scores associated with a patient’s medical history to achieve the final score (Supplementary Table S3) [15].
2.5. Primary and Secondary Postoperative Outcomes
2.6. Statistical Analysis
3. Results
3.1. Baseline Patient Characteristics
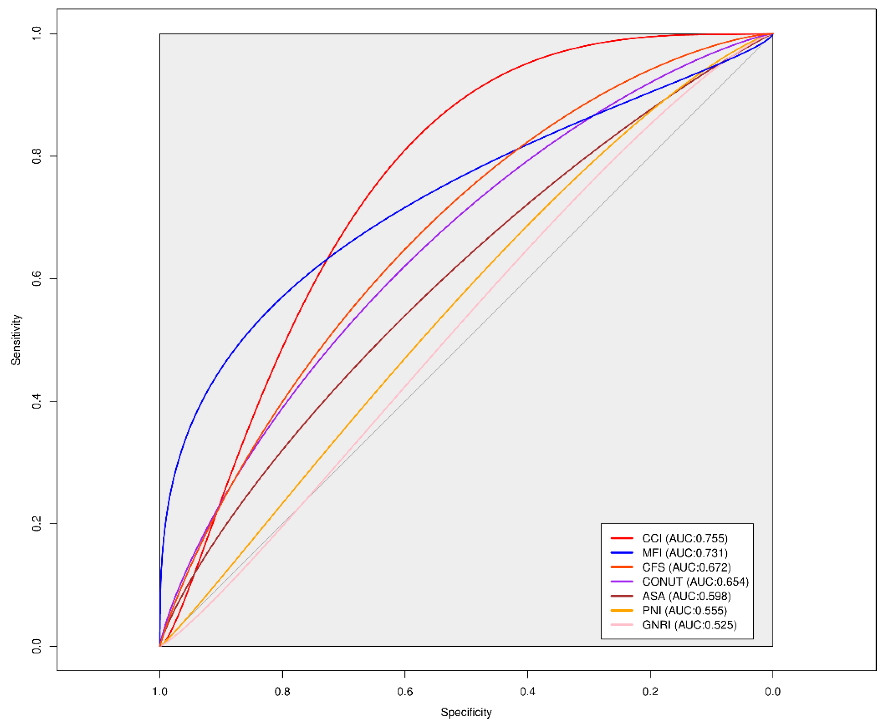
3.2. Comparing Nutritional and Frailty Indexes in Predicting in-Hospital Mortality
3.3. Postoperative Clinical Outcomes
3.4. Factors Affecting Postoperative 7-Year Overall Survival
4. Discussion
5. Conclusions
Supplementary Materials
Author Contributions
Funding
Institutional Review Board Statement
Informed Consent Statement
Data Availability Statement
Conflicts of Interest
References
- Studer, S.M.; Levy, R.D.; McNeil, K.; Orens, J.B. Lung transplant outcomes: A review of survival, graft function, physiology, health-related quality of life and cost-effectiveness. Eur. Respir. J. 2004, 24, 674–685. [Google Scholar] [CrossRef]
- Hartert, M.; Senbaklavacin, O.; Gohrbandt, B.; Fischer, B.M.; Buhl, R.; Vahld, C.F. Lung transplantation: A treatment option in end-stage lung disease. Dtsch. Arztebl. Int. 2014, 111, 107–116. [Google Scholar]
- Kim, C.Y.; Kim, S.Y.; Song, J.H.; Kim, Y.S.; Jeong, S.J.; Lee, J.G.; Paik, H.C.; Park, M.S. Usefulness of the preoperative prognostic nutritional index score as a predictor of the outcomes of lung transplantation: A single-institution experience. Clin. Nutr. 2019, 38, 2423–2429. [Google Scholar] [CrossRef]
- Singer, J.P.; Christie, J.D.; Diamond, J.M.; Anderson, M.A.; Benvenuto, L.A.; Gao, Y.; Arcasoy, S.M.; Lederer, D.J.; Calabrese, D.; Wang, P.; et al. Development of the Lung Transplant Frailty Scale (LT-FS). J. Heart Lung Transplant. 2023, 42, 892–904. [Google Scholar] [CrossRef]
- Singer, J.P.; Diamond, J.M.; Anderson, M.R.; Katz, P.P.; Covinsky, K.; Oyster, M.; Blue, T.; Soong, A.; Kalman, L.; Shrestha, P.; et al. Frailty phenotypes and mortality after lung transplantation: A prospective cohort study. Am. J. Transplant. 2018, 18, 1995–2004. [Google Scholar] [CrossRef]
- Singer, J.P.; Diamond, J.M.; Gries, C.J.; McDonnough, J.; Blanc, P.D.; Shah, R.; Dean, M.Y.; Hersh, B.; Wolters, P.J.; Tokman, S.; et al. Frailty Phenotypes, Disability, and Outcomes in Adult Candidates for Lung Transplantation. Am. J. Respir. Crit. Care Med. 2015, 192, 1325–1334. [Google Scholar] [CrossRef]
- Bouillanne, O.; Morineau, G.; Dupont, C.; Coulombel, I.; Vincent, J.P.; Nicolis, I.; Benazeth, S.; Cynober, L.; Aussel, C. Geriatric Nutritional Risk Index: A new index for evaluating at-risk elderly medical patients. Am. J. Clin. Nutr. 2005, 82, 777–783. [Google Scholar] [CrossRef]
- Buzby, G.P.; Mullen, J.L.; Matthews, D.C.; Hobbs, C.L.; Rosato, E.F. Prognostic nutritional index in gastrointestinal surgery. Am. J. Surg. 1980, 139, 160–167. [Google Scholar] [CrossRef]
- Ignacio de Ulibarri, J.; Gonzalez-Madrono, A.; de Villar, N.G.; Gonzalez, P.; Gonzalez, B.; Mancha, A.; Rodriguez, F.; Fernandez, G. CONUT: A tool for controlling nutritional status. First validation in a hospital population. Nutr. Hosp. 2005, 20, 38–45. [Google Scholar]
- Onodera, T.; Goseki, N.; Kosaki, G. Prognostic nutritional index in gastrointestinal surgery of malnourished cancer patients. Nihon Geka Gakkai Zasshi 1984, 85, 1001–1005. [Google Scholar]
- Mitnitski, A.B.; Mogilner, A.J.; Rockwood, K. Accumulation of deficits as a proxy measure of aging. Sci. World J. 2001, 1, 323–336. [Google Scholar] [CrossRef]
- Rockwood, K.; Andrew, M.; Mitnitski, A. A comparison of two approaches to measuring frailty in elderly people. J. Gerontol. A Biol. Sci. Med. Sci. 2007, 62, 738–743. [Google Scholar] [CrossRef]
- Runner, R.P.; Bellamy, J.L.; Vu, C.C.L.; Erens, G.A.; Schenker, M.L.; Guild, G.N., 3rd. Modified Frailty Index Is an Effective Risk Assessment Tool in Primary Total Knee Arthroplasty. J. Arthroplasty 2017, 32, S177–S182. [Google Scholar] [CrossRef]
- Rockwood, K.; Song, X.; MacKnight, C.; Bergman, H.; Hogan, D.B.; McDowell, I.; Mitnitski, A. A global clinical measure of fitness and frailty in elderly people. CMAJ 2005, 173, 489–495. [Google Scholar] [CrossRef]
- Charlson, M.E.; Pompei, P.; Ales, K.L.; MacKenzie, C.R. A new method of classifying prognostic comorbidity in longitudinal studies: Development and validation. J. Chronic Dis. 1987, 40, 373–383. [Google Scholar] [CrossRef]
- Khwaja, A. KDIGO clinical practice guidelines for acute kidney injury. Nephron Clin. Pract. 2012, 120, c179–c184. [Google Scholar] [CrossRef]
- Yusen, R.D.; Christie, J.D.; Edwards, L.B.; Kucheryavaya, A.Y.; Benden, C.; Dipchand, A.I.; Dobbels, F.; Kirk, R.; Lund, L.H.; Rahmel, A.O.; et al. The Registry of the International Society for Heart and Lung Transplantation: Thirtieth Adult Lung and Heart-Lung Transplant Report—2013; focus theme: Age. J. Heart Lung Transplant. 2013, 32, 965–978. [Google Scholar] [CrossRef]
- Weiss, E.S.; Allen, J.G.; Merlo, C.A.; Conte, J.V.; Shah, A.S. Factors indicative of long-term survival after lung transplantation: A review of 836 10-year survivors. J. Heart Lung Transplant. 2010, 29, 240–246. [Google Scholar] [CrossRef]
- Gries, C.J.; Bhadriraju, S.; Edelman, J.D.; Goss, C.H.; Raghu, G.; Mulligan, M.S. Obese patients with idiopathic pulmonary fibrosis have a higher 90-day mortality risk with bilateral lung transplantation. J. Heart Lung Transplant. 2015, 34, 241–246. [Google Scholar] [CrossRef]
- Guralnik, J.M.; Simonsick, E.M.; Ferrucci, L.; Glynn, R.J.; Berkman, L.F.; Blazer, D.G.; Scherr, P.A.; Wallace, R.B. A short physical performance battery assessing lower extremity function: Association with self-reported disability and prediction of mortality and nursing home admission. J. Gerontol. 1994, 49, M85–M94. [Google Scholar] [CrossRef]
- Fried, L.P.; Tangen, C.M.; Walston, J.; Newman, A.B.; Hirsch, C.; Gottdiener, J.; Seeman, T.; Tracy, R.; Kop, W.J.; Burke, G.; et al. Frailty in older adults: Evidence for a phenotype. J. Gerontol. A Biol. Sci. Med. Sci. 2001, 56, M146–M156. [Google Scholar] [CrossRef]



| Variables | Total (n = 185) | Survivors (n = 130) | Non-Survivors (n = 55) | p-Value |
|---|---|---|---|---|
| Age, years | 53.9 ± 11.6 | 53.4 ± 11.2 | 55.2 ± 12.5 | 0.082 |
| Male sex, n (%) | 119 (64.3) | 83 (63.8) | 36 (65.5) | 0.967 |
| BMI, kg/m2 | 22.0 ± 4.3 | 21.7 ± 4.0 | 22.6 ± 5.1 | 0.356 |
| ASA Class III, n (%) | 55 (29.7) | 41 (31.5) | 14 (25.5) | 0.041 |
| ASA Class VI, n (%) | 121 (65.4) | 86 (66.2) | 35 (63.6) | |
| ASA Class V, n (%) | 9 (4.9) | 3 (2.3) | 6 (10.9) | |
| Bilateral lung transplantation, n (%) | 177 (95.7) | 124 (95.4) | 53 (96.4) | 1.000 |
| Former or current smoker, n (%) | 96 (51.9) | 68 (52.3) | 28 (50.9) | 0.990 |
| Underlying disease | ||||
| IPF, n (%) | 117 (63.2) | 80 (61.5) | 37 (67.3) | 0.567 |
| DM, n (%) | 36 (19.5) | 24 (18.5) | 12 (21.8) | 0.746 |
| Coronary disease, n (%) | 29 (15.7) | 19 (14.6) | 10 (18.2) | 0.698 |
| Home O2, n (%) | 112 (60.5) | 74 (56.9) | 38 (69.1) | 0.167 |
| Creatinine, mg/dL | 0.63 ± 0.27 | 0.61 ± 0.26 | 0.68 ± 0.30 | 0.189 |
| Albumin, mg/dL | 2.91 ± 0.81 | 2.94 ± 0.88 | 2.86 ± 0.61 | 0.877 |
| E-lymphocyte, /mm3 | 13.57 ± 7.93 | 13.20 ± 8.11 | 14.45 ± 7.50 | 0.203 |
| White blood cell count, 103/µL | 11.17 ± 4.42 | 11.83 ± 4.58 | 9.62 ± 3.59 | 0.002 |
| C-reactive protein, mg/dL | 5.65 ± 5.71 | 5.83 ± 5.86 | 5.23 ± 5.37 | 0.641 |
| Brain natriuretic peptide, pg/mL | 301.6 ± 544.3 | 260.3 ± 400.8 | 389.6 ± 763.1 | 0.075 |
| Total cholesterol, mg/dL | 145.5 ± 46.0 | 146.7 ± 45.6 | 142.3 ± 47.2 | 0.572 |
| Pretransplantation PFT | ||||
| FEV1, predicted (%) | 44.7 ± 17.7 | 43.1 ± 18.2 | 48.5 ± 16.1 | 0.090 |
| FVC, predicted (%) | 45.1 ± 16.1 | 44.2 ± 16.8 | 46.9 ± 14.2 | 0.180 |
| DLCO, predicted (%) | 25.1 ± 13.7 | 25.0 ± 13.5 | 25.5 ± 14.4 | 0.987 |
| 6-Minute walk distance, m | 238.2 ± 116.3 | 244.7 ± 119.2 | 223.4 ± 109.7 | 0.354 |
| Preoperative MV, n (%) | 128 (69.2) | 87 (66.9) | 41 (74.5) | 0.394 |
| Preoperative ECMO, n (%) | 108 (58.4) | 73 (56.2) | 35 (63.6) | 0.435 |
| Intraoperative CPB, n (%) | 73 (39.5) | 42 (32.3) | 31 (56.4) | 0.004 |
| PNI | 36.1 ± 9.8 | 36.5 ± 10.4 | 35.2 ± 8.5 | 0.476 |
| GNRI | 84.5 ± 14.9 | 84.3 ± 15.5 | 84.9 ± 13.4 | 0.596 |
| CONUT score | 6.04 ± 3.15 | 5.89 ± 3.09 | 6.40 ± 3.29 | 0.299 |
| MFI | 0.18 ± 0.10 | 0.17 ± 0.10 | 0.21 ± 0.10 | 0.016 |
| CFS | 7.46 ± 1.59 | 7.25 ± 1.69 | 7.96 ± 1.22 | 0.012 |
| CCI | 1.84 ± 1.26 | 1.70 ± 1.24 | 2.18 ± 1.26 | 0.002 |
| Outcomes | Total (n = 185) | Survivors (n = 130) | Non-Survivors (n = 55) | p-Value |
|---|---|---|---|---|
| Acute rejection, n (%) | 9 (4.9) | 4 (3.1) | 5 (9.1) | 0.129 |
| Postoperative CRRT, n (%) | 27 (14.6) | 6 (4.6) | 21 (38.2) | <0.001 |
| Postoperative AKI, n (%) | 43 (23.2) | 16 (12.3) | 27 (49.1) | <0.001 |
| Respiratory infection, n (%) | 69 (37.3) | 43 (33.1) | 26 (47.3) | 0.097 |
| Sepsis, n (%) | 40 (21.6) | 15 (11.5) | 25 (45.5) | <0.001 |
| Re-transplantation, n (%) | 2 (1.1) | 1 (0.8) | 1 (0.8) | 0.507 |
| 30-day mortality, n (%) | 10 (5.4) | |||
| 90-day mortality, n (%) | 19 (10.3) |
| Variables | Univariate | Multivariate | ||
|---|---|---|---|---|
| HR (95% CI) | p-Value | HR (95% CI) | p-Value | |
| Age, years | 1.022 (0.993–1.051) | 0.137 | ||
| Male sex | 1.037 (0.597–1.800) | 0.899 | ||
| BMI | 1.037 (0.960–1.119) | 0.355 | ||
| ASA Class III | Reference | Reference | ||
| ASA Class VI | 1.212 (0.644–2.283) | 0.551 | 0.780 (0.383–1.588) | 0.493 |
| ASA Class V | 3.626 (1.428–9.209) | 0.007 | 2.932 (1.202–7.149) | 0.018 |
| Former or current smoker | 0.982 (0.579–1.666) | 0.947 | ||
| IPF | 1.361 (0.769–2.410) | 0.290 | ||
| DM | 1.498 (0.793–2.828) | 0.213 | ||
| Coronary disease | 1.651 (0.861–3.164) | 0.131 | ||
| Home O2 | 1.523 (0.856–2.709) | 0.152 | ||
| Albumin | 0.928 (0.674–1.277) | 0.646 | ||
| C-Reactive Protein | 0.986 (0.939–1.036) | 0.572 | ||
| Brain natriuretic peptide | 1.000 (1.000–1.001) | 0.082 | 1.000 (1.000–1.001) | 0.230 |
| 6-Minute walk distance | 0.999 (0.996–1.002) | 0.512 | ||
| Preoperative MV | 1.330 (0.729–2.428) | 0.353 | ||
| Preoperative ECMO | 1.286 (0.749–2.208) | 0.362 | ||
| Intraoperative CPB | 1.672 (0.970–2.881) | 0.064 | 1.591 (0.879–2.880) | 0.125 |
| PNI | 0.989 (0.962–1.017) | 0.448 | ||
| GNRI | 1.002 (0.985–1.019) | 0.810 | ||
| CONUT score | 1.048 (0.959–1.145) | 0.303 | ||
| MFI | 25.932 (1.711–393.055) | 0.019 | 5.223 (0.174–156.503) | 0.341 |
| CFS | 1.203 (1.009–1.435) | 0.039 | 1.211 (1.007–1.455) | 0.041 |
| CCI | 1.258 (1.077–1.470) | 0.004 | 1.325 (1.092–1.607) | 0.004 |
Disclaimer/Publisher’s Note: The statements, opinions and data contained in all publications are solely those of the individual author(s) and contributor(s) and not of MDPI and/or the editor(s). MDPI and/or the editor(s) disclaim responsibility for any injury to people or property resulting from any ideas, methods, instructions or products referred to in the content. |
© 2024 by the authors. Licensee MDPI, Basel, Switzerland. This article is an open access article distributed under the terms and conditions of the Creative Commons Attribution (CC BY) license (https://creativecommons.org/licenses/by/4.0/).
Share and Cite
Lee, S.-W.; Lee, D.; Choi, D.-K. Comparison of the Effects of Multiple Frailty and Nutritional Indexes on Postoperative Outcomes in Critically Ill Patients Undergoing Lung Transplantation. Medicina 2024, 60, 1018. https://doi.org/10.3390/medicina60071018
Lee S-W, Lee D, Choi D-K. Comparison of the Effects of Multiple Frailty and Nutritional Indexes on Postoperative Outcomes in Critically Ill Patients Undergoing Lung Transplantation. Medicina. 2024; 60(7):1018. https://doi.org/10.3390/medicina60071018
Chicago/Turabian StyleLee, Sang-Wook, Donghee Lee, and Dae-Kee Choi. 2024. "Comparison of the Effects of Multiple Frailty and Nutritional Indexes on Postoperative Outcomes in Critically Ill Patients Undergoing Lung Transplantation" Medicina 60, no. 7: 1018. https://doi.org/10.3390/medicina60071018
APA StyleLee, S.-W., Lee, D., & Choi, D.-K. (2024). Comparison of the Effects of Multiple Frailty and Nutritional Indexes on Postoperative Outcomes in Critically Ill Patients Undergoing Lung Transplantation. Medicina, 60(7), 1018. https://doi.org/10.3390/medicina60071018

