Association between Breakfast Skipping and the Metabolic Syndrome: The Korea National Health and Nutrition Examination Survey, 2017
Abstract
1. Introduction
2. Materials and Methods
2.1. Study Population
2.2. Anthropometric Measurements and Blood Biochemical Indices
2.3. Diagnosis of Metabolic Syndrome
- Abdominal obesity: waist circumference ≥90 cm (male) and ≥80 cm (female)
- Triglycerides ≥150 mg/dL
- High density lipoprotein cholesterol (HDL): <40 mg/dL for men, <50 mg/dL for women
- Fasting blood glucose ≥100 mg/dL, insulin injection to treat diabetes, or taking oral hypoglycemic drugs
- Blood pressure: systolic blood pressure/diastolic blood pressure ≥130/85 mmHg or taking anti-hypertensive drugs
2.4. Classification According to the Breakfast Pattern
- Skipping group: 0 times/week
- Irregular group: 1–4 times/week
- Regular group: 5–7 times/week
2.5. Measurement of Variables
2.6. Statistical Analysis
3. Results
3.1. General Characteristics of Study Population
3.2. Analysis of Relationship between Breakfast Pattern and Metabolic Syndrome Components
3.3. Risk of Metabolic Syndrome Related to Breakfast Patterns
4. Discussion
5. Conclusions
Author Contributions
Funding
Conflicts of Interest
References
- Isomaa, B.O.; Almgren, P.; Tuomi, T.; Forsén, B.; Lahti, K.; Nissen, M.; Taskinen, M.R.; Groop, L. Cardiovascular Morbidity and Mortality Associated with the Metabolic Syndrome. Diabetes Care 2001, 24, 683–689. [Google Scholar] [CrossRef] [PubMed]
- Eckel, R.H.; Grundy, S.M.; Zimmet, P.Z. The Metabolic Syndrome. Lancet 2005, 365, 1415–1428. [Google Scholar] [CrossRef]
- Huh, J.H.; Kang, D.R.; Jang, J.Y.; Shin, J.H.; Kim, J.Y.; Choi, S.; Cho, E.J.; Park, J.S.; Sohn, I.S.; Jo, S.H.; et al. Metabolic Syndrome Epidemic among Korean Adults: Korean Survey of Cardiometabolic Syndrome. Atherosclerosis 2018, 277, 47–52. [Google Scholar] [CrossRef] [PubMed]
- McKeigue, P.M.; Shah, B.; Marmot, M.G. Relation of Central Obesity and Insulin Resistance with High Diabetes Prevalence and Cardiovascular Risk in South Asians. Lancet 1991, 337, 382–386. [Google Scholar] [CrossRef]
- Feldeisen, S.E.; Tucker, K.L. Nutritional Strategies in the Prevention and Treatment of Metabolic Syndrome. Appl. Physiol. Nutr. Metab. 2007, 32, 46–60. [Google Scholar] [CrossRef] [PubMed]
- Carnethon, M.R.; Loria, C.M.; Hill, J.O.; Sidney, S.; Savage, P.J.; Liu, K. Risk Factors for the Metabolic Syndrome: The Coronary Artery Risk Development in Young Adults (Cardia) Study, 1985–2001. Diabetes Care 2004, 27, 2707–2715. [Google Scholar] [CrossRef]
- Yoo, H.J.; Kim, Y.H. A Study on the Characteristics of Nutrient Intake in Metabolic Syndrome Subjects. J. Nutr. Health 2008, 41, 510–517. [Google Scholar]
- Min, C.; Noh, H.; Kang, Y.S.; Sim, H.J.; Baik, H.W.; Song, W.O.; Yoon, J.; Park, Y.H.; Joung, H. Breakfast Patterns Are Associated with Metabolic Syndrome in Korean Adults. Nutr. Res. Pract. 2012, 6, 61–67. [Google Scholar] [CrossRef]
- Ruidavets, J.B.; Bongard, V.; Bataille, V.; Gourdy, P.; Ferrieres, J. Eating Frequency and Body Fatness in Middle-Aged Men. Int. J. Obes. 2002, 26, 1476–1483. [Google Scholar] [CrossRef]
- Stote, K.S.; Baer, D.J.; Spears, K.; Paul, D.R.; Harris, G.K.; Rumpler, W.V.; Strycula, P.; Najjar, S.S.; Ferrucci, L.; Ingram, D.K.; et al. A Controlled Trial of Reduced Meal Frequency without Caloric Restriction in Healthy, Normal-Weight, Middle-Aged Adults. Am. J. Clin. Nutr. 2007, 85, 981–988. [Google Scholar] [CrossRef]
- Shin, K.H.; Chae, K.Y.; Yoo, Y.J. A Study on the Breakfast Habits of Salaried People in Seoul. Korean J. Soc. Food Cookery Sci. 2002, 18, 119–128. [Google Scholar]
- Choi, M.K.; Kim, J.G.; Kim, J.M. A Study on the Dietary Habit and Health of Office Workers in Seoul. J. Korean Soc. Food Cult. 2003, 18, 45–55. [Google Scholar]
- Expert Panel on Detection, Evaluation. Executive Summary of the Third Report of the National Cholesterol Education Program (Ncep) Expert Panel on Detection, Evaluation, and Treatment of High Blood Cholesterol in Adults (Adult Treatment Panel Iii). JAMA 2001, 285, 2486. [Google Scholar] [CrossRef] [PubMed]
- World Health Organization. The Asia-Pacific Perspective: Redefining Obesity and Its Treatment; International Association for the Study of Obesity; Health Communications Australia: Sydney, Australia, 2000. [Google Scholar]
- Yun, S.; Jeong, H.; Kim, M. A Survey on the Breakfast Skipping Rate of Korean Adults Relative to Their Lifestyle and Breakfast Skipping Reasons and Dietary Behavior of Breakfast Skippers. Korean J. Community Nutr. 2010, 15, 191–205. [Google Scholar]
- Hyun, W.J.; Lee, J.W.; Kwak, C.S.; Song, K.H. Energy Value of Breakfast and Its Relation to Total Daily Nutrient Intake and Serum Lipid in Korean Urban Adults. Korean J. Community Nutr. 1998, 3, 368–379. [Google Scholar]
- Smith, K.J.; Gall, S.L.; McNaughton, S.A.; Blizzard, L.; Dwyer, T.; Venn, A.J. Skipping Breakfast: Longitudinal Associations with Cardiometabolic Risk Factors in the Childhood Determinants of Adult Health Study. Am. J. Clin. Nutr. 2010, 92, 1316–1325. [Google Scholar] [CrossRef]
- Monzani, A.; Ricotti, R.; Caputo, M.; Solito, A.; Archero, F.; Bellone, S.; Prodam, F. A Systematic Review of the Association of Skipping Breakfast with Weight and Cardiometabolic Risk Factors in Children and Adolescents. What Should We Better Investigate in the Future? Nutrients 2019, 11, 387. [Google Scholar] [CrossRef]
- Sakata, K.; Matumura, Y.; Yoshimura, N.; Tamaki, J.; Hashimoto, T.; Oguri, S.; Okayama, A.; Yanagawa, H. Relationship between Skipping Breakfast and Cardiovascular Disease Risk Factors in the National Nutrition Survey Data. Jpn. J. Public Health 2001, 48, 837. [Google Scholar]
- Timlin, M.T.; Pereira, M.A. Breakfast Frequency and Quality in the Etiology of Adult Obesity and Chronic Diseases. Nutr. Rev. 2007, 65, 268–281. [Google Scholar] [CrossRef]
- Horikawa, C.; Kodama, S.; Yachi, Y.; Heianza, Y.; Hirasawa, R.; Ibe, Y.; Saito, K.; Shimano, H.; Yamada, N.; Sone, H. Skipping Breakfast and Prevalence of Overweight and Obesity in Asian and Pacific Regions: A Meta-Analysis. Prev. Med. 2011, 53, 260–267. [Google Scholar] [CrossRef]
- Farshchi, H.R.; Taylor, M.A.; Macdonald, I.A. Deleterious Effects of Omitting Breakfast on Insulin Sensitivity and Fasting Lipid Profiles in Healthy Lean Women. Am. J. Clin. Nutr. 2005, 81, 388–396. [Google Scholar] [CrossRef] [PubMed]
- Kim, Y.J.; Lee, J.G.; Yi, Y.H.; Lee, S.Y.; Jung, D.W.; Park, S.K.; Cho, Y.H. The Influence of Breakfast Size to Metabolic Risk Factors. J. Life Sci. 2010, 20, 1812–1819. [Google Scholar] [CrossRef]
- Min, C.; Noh, H.; Kang, Y.S.; Sim, H.J.; Baik, H.W.; Song, W.O.; Yoon, J.; Park, Y.H.; Joung, H. Skipping Breakfast Is Associated with Diet Quality and Metabolic Syndrome Risk Factors of Adults. Nutr. Res. Pract. 2011, 5, 455–463. [Google Scholar] [CrossRef] [PubMed]
- Benton, D.; Slater, O.; Donohoe, R.T. The Influence of Breakfast and a Snack on Psychological Functioning. Physiol. Behav. 2001, 74, 559–571. [Google Scholar] [CrossRef]
- Yoshimura, E.; Hatamoto, Y.; Yonekura, S.; Tanaka, H. Skipping Breakfast Reduces Energy Intake and Physical Activity in Healthy Women Who Are Habitual Breakfast Eaters: A Randomized Crossover Trial. Physiol. Behav. 2017, 174, 89–94. [Google Scholar] [CrossRef] [PubMed]
- Kutsuma, A.; Nakajima, K.; Suwa, K. Potential Association between Breakfast Skipping and Concomitant Late-Night-Dinner Eating with Metabolic Syndrome and Proteinuria in the Japanese Population. Scientifica 2014, 2014, 253581. [Google Scholar] [CrossRef] [PubMed]
- Anton, S.D.; Moehl, K.; Donahoo, W.T.; Marosi, K.; Lee, S.A.; Mainous, A.G., III; Leeuwenburgh, C.; Mattson, M.P. Flipping the Metabolic Switch: Understanding and Applying the Health Benefits of Fasting. Obesity 2018, 26, 254–268. [Google Scholar] [CrossRef]
- Weindruch, R.; Sohal, R.S. Caloric Intake and Aging. N. Engl. J. Med. 1997, 337, 986–994. [Google Scholar] [CrossRef]
- Mattson, M.P.; Moehl, K.; Ghena, N.; Schmaedick, M.; Cheng, A. Intermittent Metabolic Switching, Neuroplasticity and Brain Health. Nat. Rev. Neurosci. 2018, 19, 63. [Google Scholar] [CrossRef]
- de Cabo, R.; Mattson, M.P. Effects of Intermittent Fasting on Health, Aging, and Disease. N. Engl. J. Med. 2019, 381, 2541–2551. [Google Scholar] [CrossRef]
- Wan, R.; Camandola, S.; Mattson, M.P. Intermittent Food Deprivation Improves Cardiovascular and Neuroendocrine Responses to Stress in Rats. J. Nutr. 2003, 133, 1921–1929. [Google Scholar] [CrossRef] [PubMed]
- Harvie, M.; Howell, A. Potential Benefits and Harms of Intermittent Energy Restriction and Intermittent Fasting Amongst Obese, Overweight and Normal Weight Subjects—A Narrative Review of Human and Animal Evidence. Behav. Sci. 2017, 7, 4. [Google Scholar] [CrossRef] [PubMed]
- Redman, L.M.; Ravussin, E. Caloric Restriction in Humans: Impact on Physiological, Psychological, and Behavioral Outcomes. Antioxid. Redox Signal. 2011, 14, 275–287. [Google Scholar] [CrossRef] [PubMed]

| Regular (N = 2237) | Irregular (N = 1016) | Skipping (N = 611) | p-Value | |||
|---|---|---|---|---|---|---|
| N (%) or Mean | N (%) or Mean(SE) | N (%) or Mean (SE) | N (%) or Mean (SE) | |||
| Sex | Male | 1643 (49.1) | 911 (46.9) | 423 (48.8) | 309 (56.0) | <0.001 (1) |
| Female | 2221 (50.9) | 1326 (53.1) | 593 (51.2) | 302 (44.0) | ||
| Age (years) | 20–29 | 548 (19.3) | 156 (9.6) | 225 (28.0) | 167 (34.4) | <0.001 |
| 30–39 | 784 (22.0) | 311 (15.3) | 290 (28.8) | 183 (31.2) | ||
| 40–49 | 964 (24.7) | 551 (26.5) | 270 (24.1) | 143 (20.0) | ||
| 50–59 | 1051 (24.5) | 766 (33.1) | 193 (16.5) | 92 (11.7) | ||
| 60–64 | 517 (9.6) | 453 (15.5) | 38 (2.7) | 26 (2.8) | ||
| BMI (kg/m2) | <18.5 | 151 (4.1) | 68 (3.0) | 49 (5.2) | 34 (5.7) | 0.03 |
| 18.5–23.0 | 1543 (39.3) | 875 (39.3) | 433 (40.1) | 235 (38.1) | ||
| >23.0 | 2158 (56.6) | 1287 (57.7) | 532 (54.6) | 339 (56.2) | ||
| Alcohol | Non-drinker | 526 (13.1) | 68 (15.6) | 117 (10.9) | 58 (9.3) | <0.001 |
| Social drinker | 2145 (60.4) | 875 (60.3) | 586 (61.8) | 336 (58.6) | ||
| Heavy drinker | 904 (26.5) | 1287 (24.1) | 257 (27.3) | 185 (32.2) | ||
| Smoking | Non-smoker | 2360 (57.5) | 1432 (60.4) | 618 (58.1) | 310 (48.0) | <0.001 |
| Ex-smoker | 746 (20.2) | 459 (22.1) | 178 (18.2) | 109 (17.6) | ||
| Current smoker | 758 (22.3) | 346 (17.5) | 220 (23.7) | 192 (34.4) | ||
| Exercise | None | 1929 (50.9) | 1115 (51.0) | 497 (49.8) | 317 (52.4) | 0.7 |
| Regular | 1737 (49.1) | 1008 (49.0) | 469 (50.2) | 260 (47.6) | ||
| HTN | No | 3351 (88.6) | 1844 (84.3) | 942 (93.2) | 565 (94.2) | <0.001 |
| Yes | 513 (11.4) | 393 (15.7) | 74 (6.8) | 46 (5.8) | ||
| Dyslipidemia | No | 3452 (90.6) | 1932 (87.7) | 952 (94.1) | 568 (94.0) | <0.001 |
| Yes | 412 (9.4) | 305 (12.3) | 64 (5.9) | 43 (6.0) | ||
| DM | No | 3669 (95.9) | 2088 (94.1) | 992 (98.4) | 589(97.2) | <0.001 |
| Yes | 195 (4.1) | 149 (5.9) | 24 (1.6) | 22 (2.8) | ||
| Stroke | No | 3832 (99.3) | 2213 (99.0) | 1011 (99.6) | 608 (99.6) | 0.141 |
| Yes | 32 (0.7) | 24 (1.0) | 5 (0.4) | 3 (0.4) | ||
| MI | No | 3847 (99.6) | 2222 (99.4) | 1014 (99.9) | 611 (100.0) | 0.003 |
| Yes | 17 (0.4) | 15 (0.6) | 2 (0.1) | 0 (0.0) | ||
| Angina | No | 3834 (99.4) | 2213 (99.1) | 1012 (99.6) | 609 (99.8) | 0.143 |
| Yes | 30 (0.6) | 24 (0.9) | 4 (0.4) | 2 (0.2) | ||
| Systolic blood pressure (mmHg) | 115.2 | 116.5 (0.4) | 113.6 (0.6) | 113.8 (0.7) | <0.001 (2) | |
| Diastolic blood pressure (mmHg) | 76.4 | 76.7 (0.3) | 76.6 (0.5) | 76.4 (0.5) | 0.74 | |
| Height (cm) | 165.7 | 164.4 (0.3) | 166.7 (0.4) | 167.9 (0.5) | <0.001 | |
| Weight (kg) | 65.96 | 64.8 (0.3) | 66.7 (0.6) | 68.3 (0.7) | <0.001 | |
| Waist circumstance (cm) | 81.19 | 81.4 (0.3) | 80.6 (0.5) | 81.65 (0.6) | 0.21 | |
| Fasting Blood Glucose (mg/dL) | 97.8 | 99.1(0.5) | 96.4 (1.0) | 96.1 (0.9) | 0.01 | |
| HbA1c | 5.55 | 5.621 (0.0) | 5.46 (0.0) | 5.475 (0.0) | <0.001 | |
| Total Cholesterol (mg/dL) | 194.88 | 194.52 (1.0) | 195.95 (1.6) | 194.28 (1.9) | 0.61 | |
| Serum HDL-cholesterol (mg/dL) | 51.91 | 51.66 (0.3) | 52.79 (0.5) | 51.28 (0.6) | 0.4 | |
| Serum Triglycerides (mg/dL) | 135.24 | 134.42 (3.0) | 134.73 (5.2) | 138.44 (6.2) | 0.81 | |
| Total N (%) | Regular N (%) | Irregular N (%) | Skipping N (%) | p-Value | ||
|---|---|---|---|---|---|---|
| Metabolic syndrome | ||||||
| No | 3537 (91.5) | 2001 (89.5) | 954 (93.9) | 582 (95.3) | <0.001 | |
| Yes | 327 (8.5) | 236 (10.5) | 62 (6.1) | 29 (4.7) | ||
| Abdominal Obesity (1) | ||||||
| No | 2567 (66.8) | 1451 (65.2) | 705 (70.0) | 411 (67.4) | 0.306 | |
| Yes | 1277 (33.2) | 776 (34.8) | 302 (30.0) | 199 (32.6) | ||
| Elevated blood pressure (2) | ||||||
| No | 2610 (67.5) | 1407 (62.9) | 754 (74.2) | 449 (73.5) | <0.001 | |
| Yes | 1254 (32.5) | 830 (37.1) | 262 (25.8) | 162 (26.5) | ||
| Impaired fasting glucose (3) | ||||||
| No | 2703 (70.0) | 1491 (66.7) | 752 (74.0) | 460 (75.3) | <0.001 | |
| Yes | 1161 (30.0) | 746 (33.3) | 264 (26.0) | 151 (24.7) | ||
| Elevated triglycerides (4) | ||||||
| No | 2610 (67.5) | 1464 (65.4) | 730 (71.9) | 416 (68.1) | 0.172 | |
| Yes | 1254 (32.5) | 773 (34.6) | 286 (28.1) | 195 (31.9) | ||
| Reduced HDL-C (5) | ||||||
| No | 2568 (66.5) | 1414 (63.2) | 731 (71.9) | 423 (69.2) | <0.001 | |
| Yes | 1296 (35.3) | 823 (36.8) | 285 (28.1) | 188 (30.2) | ||
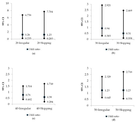
| Metabolic Syndrome | Breakfast | Odd Ratio | 95% CI | p-Value | |
|---|---|---|---|---|---|
| Model 1 | Regular | 1 | |||
| Irregular | 0.61 | 0.435 | 0.867 | 0.006 | |
| Skipping | 0.37 | 0.234 | 0.584 | <0.001 | |
| Model 2 | Regular | 1 | |||
| Irregular | 0.54 | 0.369 | 0.791 | 0.002 | |
| Skipping | 0.37 | 0.207 | 0.656 | 0.001 | |
| Model 3 | Regular | 1 | |||
| Irregular | 0.84 | 0.561 | 1.25 | 0.384 | |
| Skipping | 0.66 | 0.356 | 1.204 | 0.172 | |
| Model 4 | Regular | 1 | |||
| Irregular | 0.81 | 0.509 | 1.275 | 0.354 | |
| Skipping | 0.68 | 0.345 | 1.351 | 0.271 | |
| Metabolic Syndrome | Breakfast | Odd Ratio | 95% CI | p-Value | |
|---|---|---|---|---|---|
| Model 1 | Regular | 1 | |||
| Irregular | 0.91 | 0.397 | 2.064 | 0.811 | |
| Skipping | 0.56 | 0.187 | 1.652 | 0.288 | |
| Model 2 | Regular | 1 | |||
| Irregular | 0.65 | 0.245 | 1.698 | 0.373 | |
| Skipping | 0.38 | 0.1 | 1.456 | 0.158 | |
| Model 3 | Regular | 1 | |||
| Irregular | 0.71 | 0.266 | 1.902 | 0.494 | |
| Skipping | 0.43 | 0.104 | 1.756 | 0.237 | |
| Model 4 | Regular | 1 | |||
| Irregular | 0.86 | 0.31 | 2.371 | 0.765 | |
| Skipping | 0.45 | 0.1 | 2.025 | 0.296 | |
| Metabolic Syndrome | Breakfast | Odd Ratio | 95% CI | p-Value | |
|---|---|---|---|---|---|
| Model 1 | Regular | 1 | |||
| Irregular | 0.86 | 0.595 | 1.251 | 0.435 | |
| Skipping | 0.61 | 0.373 | 0.999 | 0.049 | |
| Model 2 | Regular | 1 | |||
| Irregular | 0.73 | 0.473 | 1.133 | 0.16 | |
| Skipping | 0.65 | 0.366 | 1.168 | 0.15 | |
| Model 3 | Regular | 1 | |||
| Irregular | 0.87 | 0.557 | 1.362 | 0.542 | |
| Skipping | 0.74 | 0.401 | 1.377 | 0.343 | |
| Model 4 | Regular | 1 | |||
| Irregular | 0.79 | 0.473 | 1.324 | 0.371 | |
| Skipping | 0.78 | 0.385 | 1.616 | 0.515 | |
© 2020 by the authors. Licensee MDPI, Basel, Switzerland. This article is an open access article distributed under the terms and conditions of the Creative Commons Attribution (CC BY) license (http://creativecommons.org/licenses/by/4.0/).
Share and Cite
Jung, J.; Kim, A.-S.; Ko, H.-J.; Choi, H.-I.; Hong, H.-E. Association between Breakfast Skipping and the Metabolic Syndrome: The Korea National Health and Nutrition Examination Survey, 2017. Medicina 2020, 56, 396. https://doi.org/10.3390/medicina56080396
Jung J, Kim A-S, Ko H-J, Choi H-I, Hong H-E. Association between Breakfast Skipping and the Metabolic Syndrome: The Korea National Health and Nutrition Examination Survey, 2017. Medicina. 2020; 56(8):396. https://doi.org/10.3390/medicina56080396
Chicago/Turabian StyleJung, JaeHun, A-Sol Kim, Hae-Jin Ko, Hye-In Choi, and Hee-Eun Hong. 2020. "Association between Breakfast Skipping and the Metabolic Syndrome: The Korea National Health and Nutrition Examination Survey, 2017" Medicina 56, no. 8: 396. https://doi.org/10.3390/medicina56080396
APA StyleJung, J., Kim, A.-S., Ko, H.-J., Choi, H.-I., & Hong, H.-E. (2020). Association between Breakfast Skipping and the Metabolic Syndrome: The Korea National Health and Nutrition Examination Survey, 2017. Medicina, 56(8), 396. https://doi.org/10.3390/medicina56080396

