Liver Remodeling on CT Examination in Patients with HCV Compensated Cirrhosis Who Achieved Sustained Virological Response after Direct-Acting Antivirals Treatment
Abstract
1. Introduction
2. Methods
2.1. Study Design
2.2. Scanning Protocols
2.3. Data Analytic Strategy for Imaging Interpretation
2.4. Statistical Analysis
3. Results
3.1. Patients
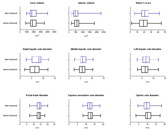
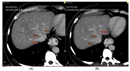
3.2. Hepatic Veins Diameters
3.3. The Caudate-Right Lobe Ratio and Modified Caudate-Right Lobe Ratio
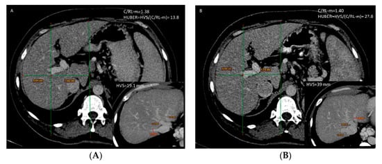
3.4. Huber’s Score
3.5. Liver Volume
3.6. Central Periportal Space Widening
3.7. Right Posterior Hepatic Notch Variation
3.8. Indicators of Portal Hypertension
4. Discussion
5. Conclusions
Author Contributions
Funding
Conflicts of Interest
References
- Asrani, S.K.; Devarbhavi, H.; Eaton, J.; Kamath, P.S. Burden of liver diseases in the world. J. Hepatol. 2019, 70, 151–171. [Google Scholar] [CrossRef] [PubMed]
- Sebastiani, G.; Gkouvatsos, K.; Pantopoulos, K. Chronic hepatitis C and liver fibrosis. World J. Gastroenterol. 2014, 20, 11033–11053. [Google Scholar] [CrossRef] [PubMed]
- Stanciu, C.; Trifan, A. Hepatitis C Virus Treatment Revolution: Eastern European Story. Hepat. Mon. 2015, 15, e28969. [Google Scholar] [CrossRef] [PubMed]
- Gheorghe, L.; Iacob, S.; Curescu, M.; Brisc, C.; Cijevschi, C.; Caruntu, F.; Stanciu, C.; Simionov, I.; Sporea, I.; Gheorghe, C.; et al. Real-Life Use of 3 Direct-Acting Antiviral Regimen in a Large Cohort of Patients with Genotype-1b HCV Compensated Cirrhosis. J. Gastrointest. Liver Dis. 2017, 26, 275–281. [Google Scholar] [CrossRef] [PubMed]
- Kogiso, T.; Sagawa, T.; Kodama, K.; Taniai, M.; Katagiri, S.; Egawa, H.; Tokushige, K. Hepatocellular carcinoma after direct-acting antiviral drug treatment in patients with hepatitis C virus. JGH Open 2018, 3, 52–60. [Google Scholar] [CrossRef] [PubMed]
- Desmet, V.J.; Roskams, T. Cirrhosis reversal: A duel between dogma and myth. J. Hepatol. 2004, 40, 860–867. [Google Scholar] [CrossRef]
- Trivedi, H.D.; Lin, S.C.; Lau, D.T. Noninvasive Assessment of Fibrosis Regression in Hepatitis C Virus Sustained Virologic Responders. Gastroenterol. Hepatol. 2017, 13, 587–595. [Google Scholar]
- Bachofner, J.A.; Valli, P.V.; Kröger, A.; Bergamin, I.; Künzler, P.; Baserga, A.; Braun, D.; Seifert, B.; Moncsek, A.; Fehr, J.; et al. Direct antiviral agent treatment of chronic hepatitis C results in rapid regression of transient elastography and fibrosis markers fibrosis-4 score and aspartate aminotransferase-platelet ratio index. Liver Int. 2017, 37, 369–376. [Google Scholar] [CrossRef]
- Mauro, E.; Crespo, G.; Montironi, C.; Londoño, M.C.; Hernández-Gea, V.; Ruiz, P.; Sastre, L.; Lombardo, J.; Marino, Z.; Diaz, A.; et al. Portal pressure and liver stiffness measurements in the prediction of fibrosis regression after sustained virological response in recurrent hepatitis C. Hepatology 2018, 67, 1683–1694. [Google Scholar] [CrossRef]
- Trifan, A.; Stanciu, C. Checkmate to liver biopsy in chronic hepatitis C. World J. Gastroenterol. 2012, 18, 5514–5520. [Google Scholar] [CrossRef]
- Zoubek, M.E.; Trautwein, C.; Strnad, P. Reversal of liver fibrosis: From fiction to reality. Best Pract. Res. Clin. Gastroenterol. 2017, 31, 129–141. [Google Scholar] [CrossRef] [PubMed]
- Kudo, M.; Zheng, R.Q.; Kim, S.R.; Okabe, Y.; Osaki, Y.; Iijima, H.; Itani, T.; Kasugai, H.; Kanematsu, M.; Ito, K.; et al. Diagnostic Accuracy of Imaging for Liver Cirrhosis Compared to Histologically Proven Liver Cirrhosis. Intervirology 2008, 51, 17–26. [Google Scholar] [CrossRef] [PubMed]
- Mihai, F.; Trifan, A.; Cuciureanu, T.; Negru, D.; Sîngeap, A.M. Role of computed tomography in the evaluation of the patients with hepatitis C-related liver cirrhosis. Rev. Med. Chir. 2017, 121, 535–547. [Google Scholar]
- Sangster, G.P.; Previgliano, C.H.; Nader, M.; Chwoschtschinsky, E.; Heldmann, M.G. MDCT Imaging Findings of Liver Cirrhosis: Spectrum of Hepatic and Extrahepatic Abdominal Complications. HPB Surg. 2013, 2013, 1–12. [Google Scholar] [CrossRef]
- Tan, K.C. The Right Posterior Hepatic Notch Sign. Radiology 2008, 248, 317–318. [Google Scholar] [CrossRef]
- Ito, K.; Mitchell, D.G.; Gabata, T. Expanded Gallbladder Fossa: Simple MR Imaging Sign of Cirrhosis. Radiology 1999, 211, 723–726. [Google Scholar] [CrossRef]
- Ito, K.; Mitchell, D.G.; Kim, M.J.; Awaya, H.; Koike, S.; Matsunaga, N. Right posterior hepatic notch sign: A simple diagnostic MR finding of cirrhosis. J. Magn. Reson. Imaging 2003, 18, 561–566. [Google Scholar] [CrossRef]
- Zhang, Y.; Zhang, X.M.; Prowda, J.C.; Zhang, H.L.; Sant’anna Henry, C.; Shih, G.; Emond, J.C.; Prince, M.R. Changes in hepatic venous morphology with cirrhosis on MRI. J. Magn. Reson. Imaging 2009, 29, 1085–1092. [Google Scholar] [CrossRef]
- Harbin, W.P.; Robert, N.J.; Ferrucci, J.T. Diagnosis of cirrhosis based on regional changes in hepatic morphology: A radiological and pathological analysis. Radiology 1980, 135, 273–283. [Google Scholar] [CrossRef]
- Awaya, H.; Mitchell, D.G.; Kamishima, T.; Holland, G.; Ito, K.; Matsumoto, T. Cirrhosis: Modified Caudate–Right Lobe Ratio. Radiology 2002, 224, 769–774. [Google Scholar] [CrossRef]
- Huber, A.; Ebner, L.; Montani, M.; Semmo, N.; Roy Choudhury, C.; Heverhagen, J.; Christe, A. Computed tomography findings in liver fibrosis and cirrhosis. Swiss Med. Wkly. 2014, 144, w13923. [Google Scholar] [CrossRef] [PubMed]
- Muggli, D.; Müller, M.A.; Karlo, C.; Fornaro, J.; Marincek, B.; Frauenfelder, T. A simple method to approximate liver size on cross-sectional images using living liver models. Clin. Radiol. 2009, 64, 682–689. [Google Scholar] [CrossRef] [PubMed]
- Liu, P.; Li, P.; He, W.; Zhao, L.-Q. Liver and spleen volume variations in patients with hepatic fibrosis. World J. Gastroenterol. 2009, 15, 3298. [Google Scholar] [CrossRef] [PubMed]
- Grgurevic, I.; Bozin, T.; Madir, A. Hepatitis C is now curable, but what happens with cirrhosis and portal hypertension afterwards? Clin. Exp. Hepatol. 2017, 16, 181–186. [Google Scholar] [CrossRef]



| Variable | Pre-Treatment | Post-Treatment | p | ||
|---|---|---|---|---|---|
| Median | IQR | Median | IQR | ||
| Liver volume (cm3) | 1786.77 | 879.23 | 1716.44 | 840.50 | 0.049 |
| Caudate-right lobe ratio | 0.65 | 0.19 | 0.65 | 0.17 | ns |
| Modified caudate-right lobe ratio | 0.98 | 0.28 | 0.99 | 0.31 | ns |
| Right hepatic vein diameter (mm) | 6.36 | 3.94 | 8.12 | 4.20 | <0.001 |
| Middle hepatic vein diameter (mm) | 5.70 | 2.48 | 5.91 | 2.51 | ns |
| Left hepatic vein diameter (mm) | 6.69 | 3.17 | 6.65 | 3.19 | ns |
| Sum of hepatic vein diameters (mm) | 19.29 | 9.52 | 21.44 | 9.06 | 0.028 |
| Huber’s score | 19.16 | 11.50 | 20.58 | 9.73 | 0.035 |
| Central periportal space widening (mm) | 11.85 | 5.75 | 11.7 | 6.47 | ns |
| Right posterior hepatic notch (degrees) | 126.3 | 26.05 | 136.9 | 17.30 | ns |
| Splenic volume (cm3) | 564.79 | 342.54 | 474.45 | 330.00 | 0.012 |
| Portal trunk diameter (mm) | 14 | 2.70 | 14.2 | 2.90 | ns |
| Superior mesenteric vein diameter (mm) | 12.7 | 2.90 | 12.2 | 2.70 | ns |
| Splenic vein diameter (mm) | 9.85 | 3.31 | 10.2 | 3.73 | ns |
© 2020 by the authors. Licensee MDPI, Basel, Switzerland. This article is an open access article distributed under the terms and conditions of the Creative Commons Attribution (CC BY) license (http://creativecommons.org/licenses/by/4.0/).
Share and Cite
Mihai, F.; Trifan, A.; Stanciu, C.; Singeap, A.M.; Cucuteanu, B.; Lupascu Ursulescu, C.; Pop, C.; Girleanu, I.; Cuciureanu, T.; Negru, D.; et al. Liver Remodeling on CT Examination in Patients with HCV Compensated Cirrhosis Who Achieved Sustained Virological Response after Direct-Acting Antivirals Treatment. Medicina 2020, 56, 171. https://doi.org/10.3390/medicina56040171
Mihai F, Trifan A, Stanciu C, Singeap AM, Cucuteanu B, Lupascu Ursulescu C, Pop C, Girleanu I, Cuciureanu T, Negru D, et al. Liver Remodeling on CT Examination in Patients with HCV Compensated Cirrhosis Who Achieved Sustained Virological Response after Direct-Acting Antivirals Treatment. Medicina. 2020; 56(4):171. https://doi.org/10.3390/medicina56040171
Chicago/Turabian StyleMihai, Florin, Anca Trifan, Carol Stanciu, Ana Maria Singeap, Bogdan Cucuteanu, Corina Lupascu Ursulescu, Corina Pop, Irina Girleanu, Tudor Cuciureanu, Dragos Negru, and et al. 2020. "Liver Remodeling on CT Examination in Patients with HCV Compensated Cirrhosis Who Achieved Sustained Virological Response after Direct-Acting Antivirals Treatment" Medicina 56, no. 4: 171. https://doi.org/10.3390/medicina56040171
APA StyleMihai, F., Trifan, A., Stanciu, C., Singeap, A. M., Cucuteanu, B., Lupascu Ursulescu, C., Pop, C., Girleanu, I., Cuciureanu, T., Negru, D., & Cojocariu, C. (2020). Liver Remodeling on CT Examination in Patients with HCV Compensated Cirrhosis Who Achieved Sustained Virological Response after Direct-Acting Antivirals Treatment. Medicina, 56(4), 171. https://doi.org/10.3390/medicina56040171

