Human Leukocyte Antigen (HLA) Haplotype Does Not Influence the Inflammatory Pattern of Duodenal Lymphocytosis Linked to Irritable Bowel Syndrome
Abstract
1. Introduction
2. Materials and Methods
2.1. Patients
2.2. Histology and Immunohistochemistry
2.3. Molecular Analysis
2.4. Statistical Analysis
3. Results
3.1. Patients Baseline Features
3.2. Expression of Molecules in Patients with DL Due to IBS
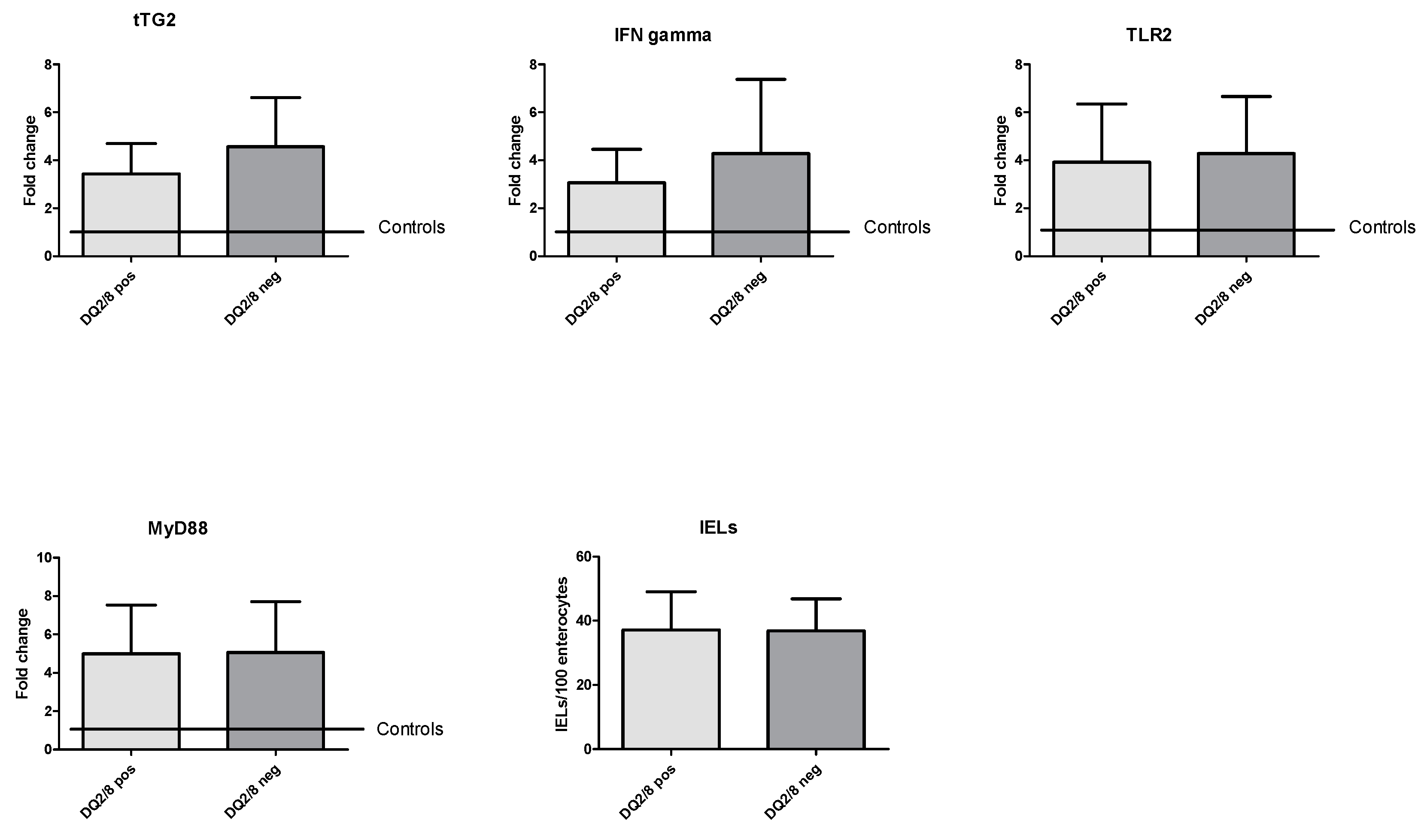
3.3. Influence of DQ2/8 Haplotype on Molecular Profile
3.4. Influence of Smoking on Molecular Profile
3.5. Influence of Hashimoto’s Thyroiditis on Molecular Profile
3.6. Influence of Other Clinical Factors on Molecular Profile
3.7. Correlation between IELs Count and Molecular Expression
4. Discussion
5. Conclusions
Author Contributions
Funding
Conflicts of Interest
References
- Hammer, S.T.; Greenson, J.K. The clinical significance of duodenal lymphocytosis with normal villus architecture. Arch. Pathol. Lab. Med. 2013, 137, 1216–1219. [Google Scholar] [CrossRef] [PubMed]
- Rostami, K.; Aldulaimi, D.; Holmes, G.; Johnson, M.W.; Robert, M.; Srivastava, A.; Fléjou, J.F.; Sanders, D.S.; Volta, U.; Derakhshan, M.H.; et al. Microscopic enteritis: Bucharest consensus. World J. Gastroenterol. 2015, 21, 2593–2604. [Google Scholar] [CrossRef] [PubMed]
- Ierardi, E.; Losurdo, G.; Iannone, A.; Piscitelli, D.; Amoruso, A.; Barone, M.; Principi, M.; Pisani, A.; Di Leo, A. Lymphocytic duodenitis or microscopic enteritis and gluten-related conditions: What needs to be explored? Ann. Gastroenterol. 2017, 30, 380–392. [Google Scholar] [CrossRef] [PubMed]
- De Giorgio, R.; Barbara, G.; Stanghellini, V.; Cremon, C.; Salvioli, B.; De Ponti, F.; Corinaldesi, R. Diagnosis and therapy of irritable bowel syndrome. Aliment. Pharmacol. Ther. 2004, 20, 10–22. [Google Scholar] [CrossRef] [PubMed]
- Lacy, B.E.; Mearin, F.; Chang, L.; Chey, W.D.; Lembo, A.J.; Simren, M.; Spiller, R. Bowel disorders. Gastroenterology 2016, 150, 1393–1407. [Google Scholar] [CrossRef] [PubMed]
- Chey, W.D.; Kurlander, J.; Eswaran, S. Irritable bowel syndrome: A clinical review. JAMA 2015, 313, 949–958. [Google Scholar] [CrossRef]
- De Giorgio, R.; Barbara, G. Is irritable bowel syndrome an inflammatory disorder? Curr. Gastroenterol. Rep. 2008, 10, 385–390. [Google Scholar] [CrossRef]
- Barbara, G.; Stanghellini, V.; De Giorgio, R.; Cremon, C.; Cottrell, G.S.; Santini, D.; Pasquinelli, G.; Morselli-Labate, A.M.; Grady, E.F.; Bunnett, N.W.; et al. Activated mast cells in proximity to colonic nerves correlate with abdominal pain in irritable bowel syndrome. Gastroenterology 2004, 126, 693–702. [Google Scholar] [CrossRef]
- Spiller, R.C.; Jenkins, D.; Thornley, J.P.; Hebden, J.M.; Wright, T.; Skinner, M.; Neal, K.R. Increased rectal mucosal enteroendocrine cells, T lymphocytes, and increased gut permeability following acute Campylobacter enteritis and in post-dysenteric irritable bowel syndrome. Gut 2000, 47, 804–811. [Google Scholar] [CrossRef]
- Sundin, J.; Rangel, I.; Kumawat, A.K.; Hultgren-Hörnquist, E.; Brummer, R.J. Aberrant mucosal lymphocyte number and subsets in the colon of post-infectious irritable bowel syndrome patients. Scand. J. Gastroenterol. 2014, 49, 1068–1075. [Google Scholar] [CrossRef]
- Aziz, I.; Evans, K.E.; Hopper, A.D.; Smillie, D.M.; Sanders, D.S. A prospective study into the aetiology of lymphocytic duodenosis. Aliment. Pharm. 2010, 32, 1392–1397. [Google Scholar] [CrossRef] [PubMed]
- Remes-Troche, J.M.; Adames, K.; Castillo-Rodal, A.I.; Ramírez, T.; Barreto-Zuñiga, R.; López-Vidal, Y.; Uscanga, L.F. Intraepithelial gammadelta+ lymphocytes: A comparative study between celiac disease, small intestinal bacterial overgrowth, and irritable bowel syndrome. J. Clin. Gastroenterol. 2007, 41, 671–676. [Google Scholar] [CrossRef] [PubMed]
- Walker, M.M.; Talley, N.J.; Prabhakar, M.; Pennaneac’h, C.J.; Aro, P.; Ronkainen, J.; Storskrubb, T.; Harmsen, W.S.; Zinsmeister, A.R.; Agreus, L. Duodenal mastocytosis, eosinophilia and intraepithelial lymphocytosis as possible disease markers in the irritable bowel syndrome and functional dyspepsia. Aliment. Pharm. 2009, 29, 765–773. [Google Scholar] [CrossRef] [PubMed]
- Vavricka, S.R.; Stelzer, T.; Lattmann, J.; Stotz, M.; Lehmann, R.; Zeitz, J.; Scharl, M.; Misselwitz, B.; Pohl, D.; Fried, M.; et al. Celiac Disease is Misdiagnosed Based on Serology Only in a Substantial Proportion of Patients. J. Clin. Gastroenterol. 2018, 52, 25–29. [Google Scholar] [CrossRef] [PubMed]
- Losurdo, G.; Giorgio, F.; Piscitelli, D.; Montenegro, L.; Covelli, C.; Fiore, M.G.; Giangaspero, A.; Iannone, A.; Principi, M.; Amoruso, A.; et al. May the assessment of baseline mucosal molecular pattern predict the development of gluten related disorders among microscopic enteritis? World J. Gastroenterol. 2016, 22, 8017–8025. [Google Scholar] [CrossRef] [PubMed]
- Catassi, C.; Elli, L.; Bonaz, B.; Bouma, G.; Carroccio, A.; Castillejo, G.; Cellier, C.; Cristofori, F.; de Magistris, L.; Dolinsek, J.; et al. Diagnosis of Non-Celiac Gluten Sensitivity (NCGS): The Salerno Experts’ Criteria. Nutrients 2015, 7, 4966–4977. [Google Scholar] [CrossRef] [PubMed]
- Losurdo, G.; Piscitelli, D.; Giangaspero, A.; Principi, M.; Buffelli, F.; Giorgio, F.; Montenegro, L.; Sorrentino, C.; Amoruso, A.; Ierardi, E.; et al. Evolution of nonspecific duodenal lymphocytosis over 2 years of follow-up. World J. Gastroenterol. 2015, 21, 7545–7552. [Google Scholar] [CrossRef]
- Ierardi, E.; Giorgio, F.; Rosania, R.; Zotti, M.; Prencipe, S.; Della Valle, N.; De Francesco, V.; Panella, C. Mucosal assessment of tumor necrosis factor alpha levels on paraffined samples: A comparison between immunohistochemistry and real time polymerase chain reaction. Scand. J. Gastroenterol. 2010, 45, 1007–1008. [Google Scholar] [CrossRef]
- Sindrome dell’ Intestino Irritable: Una Patologia a Rilevanza Sociale alla Ricercar di una Vera Riposte Sanitaria. Available online: http://www.panoramasanita.it/2016/12/06/sindrome-dellintestino-irritabile-una-patologia-a-rilevanza-sociale-alla-ricerca-di-una-vera-risposta-sanitaria/ (accessed on 7 October 2019).
- Wiley, J.W.; Chang, L. Functional Bowel Disorders. Gastroenterology 2018, 155, 1–4. [Google Scholar] [CrossRef]
- Vanheel, H.; Vicario, M.; Vanuytsel, T.; Van Oudenhove, L.; Martinez, C.; Keita, Å.V.; Pardon, N.; Santos, J.; Söderholm, J.D.; Tack, J.; et al. Impaired duodenal mucosal integrity and low-grade inflammation in functional dyspepsia. Gut 2014, 63, 262–271. [Google Scholar] [CrossRef]
- Talley, N.J.; Walker, M.M.; Aro, P.; Ronkainen, J.; Storskrubb, T.; Hindley, L.A.; Harmsen, W.S.; Zinsmeister, A.R.; Agréus, L. Non-ulcer dyspepsia and duodenal eosinophilia: An adult endoscopic population-based case-control study. Clin. Gastroenterol. Hepatol. 2007, 5, 1175–1183. [Google Scholar] [CrossRef] [PubMed]
- Talley, N.J.; Walker, M.M.; Holtmann, G. Functional dyspepsia. Curr. Opin. Gastroenterol. 2016, 32, 467–473. [Google Scholar] [CrossRef] [PubMed]
- Burns, G.; Carroll, G.; Mathe, A.; Horvat, J.; Foster, P.; Walker, M.; Talley, N.; Keely, S. Evidence for Local and Systemic Immune Activation in Functional Dyspepsia and the Irritable Bowel Syndrome: A Systematic Review. Am. J. Gastroenterol. 2019, 114, 429–436. [Google Scholar] [CrossRef] [PubMed]
- Arévalo, F.; Aragon, V.; Montes, P.; Guzmán, E.; Monge, E. Increase of intraepithelial lymphocytes in patients with irritable bowel syndrome. Rev. Gastroenterol. Peru 2011, 31, 315–318. [Google Scholar]
- Foley, S.; Garsed, K.; Singh, G.; Swan, C.; Hall, I.P.; Zaitoun, A.; Bennett, A.; Marsden, C.; Holmes, G.; Walls, A.; et al. Impaired uptake of serotonin by platelets from patients with irritable bowel syndrome correlates with duodenal immune activation. Gastroenterology 2011, 140, 1434–1443. [Google Scholar] [CrossRef]
- Guilarte, M.; Santos, J.; De Torres, I.; Alonso, C.; Vicario, M.; Ramos, L.; Martínez, C.; Casellas, F.; Saperas, E.; Malagelada, J.R. Diarrhoea-predominant IBS patients show mast cell activation and hyperplasia in the jejunum. Gut 2007, 56, 203–209. [Google Scholar] [CrossRef]
- Vicario, M.; González-Castro, A.M.; Martínez, C.; Lobo, B.; Pigrau, M.; Guilarte, M.; De Torres, I.; Mosquera, J.L.; Fortea, M.; Sevillano-Aguilera, C.; et al. Increased humoral immunity in the jejunum of diarrhoea-predominant irritable bowel syndrome associated with clinical manifestations. Gut 2015, 64, 1379–1388. [Google Scholar] [CrossRef]
- El-Salhy, M.; Gundersen, D.; Hatlebakk, J.G.; Hausken, T. Low-grade inflammation in the rectum of patients with sporadic irritable bowel syndrome. Mol. Med. Rep. 2013, 7, 1081–1085. [Google Scholar] [CrossRef]
- Martínez, C.; Vicario, M.; Ramos, L.; Lobo, B.; Mosquera, J.L.; Alonso, C.; Sánchez, A.; Guilarte, M.; Antolin, M.C.; De Torres, I.; et al. The jejunum of diarrhea-predominant irritable bowel syndrome shows molecular alterations in the tight junction signaling pathway that are associated with mucosal pathobiology and clinical manifestations. Am. J. Gastroenterol. 2012, 107, 736–746. [Google Scholar] [CrossRef]
- Barbara, G.; Wang, B.; Stanghellini, V.; De Giorgio, R.; Cremon, C.; Di Nardo, G.; Trevisani, M.; Campi, B.; Geppetti, P.; Tonini, M.; et al. Mast cell-dependent excitation of visceral-nociceptive sensory neurons in irritable bowel syndrome. Gastroenterology 2007, 132, 26–37. [Google Scholar] [CrossRef]
- De Silva, A.P.; Nandasiri, S.D.; Hewavisenthi, J.; Manamperi, A.; Ariyasinghe, M.P.; Dassanayake, A.S.; Jewell, D.P.; De Silva, H.J. Subclinical mucosal inflammation in diarrhea-predominant irritable bowel syndrome (IBS) in a tropical setting. Scand. J. Gastroenterol. 2012, 47, 619–624. [Google Scholar] [CrossRef] [PubMed]
- Chen, J.; Zhang, Y.; Deng, Z. Imbalanced shift of cytokine expression between T helper 1 and T helper 2 (Th1/Th2) in intestinal mucosa of patients with post-infectious irritable bowel syndrome. BMC Gastroenterol. 2012, 12, 91. [Google Scholar] [CrossRef] [PubMed]
- Chang, L.; Adeyemo, M.; Karagiannidis, I.; Videlock, E.J.; Bowe, C.; Shih, W.; Presson, A.P.; Yuan, P.-Q.; Cortina, G.; Gong, H.; et al. Serum and colonic mucosal immune markers in irritable bowel syndrome. Am. J. Gastroenterol. 2012, 107, 262–272. [Google Scholar] [CrossRef] [PubMed]
- Sharry, J.; O’Mahony, L.; Fanning, A.; Bairead, E.; Sherlock, G.; Tiesman, J.; Fulmer, A.; Kiely, B.; Dinan, T.G.; Shanahan, F.; et al. Mucosal cytokine imbalance in irritable bowel syndrome. Scand. J. Gastroenterol. 2008, 43, 1467–1476. [Google Scholar]
- Van De Wal, Y.; Kooy, Y.; Van Veelen, P.; Peña, S.; Mearin, L.; Papadopoulos, G.; Koning, F. Selective deamidation by tissue transglutaminase strongly enhances gliadin-specific T cell reactivity. J. Immunol. 1998, 161, 1585–1588. [Google Scholar]
- Bonnert, T.P.; Garka, K.E.; Parnet, P.; Sonoda, G.; Testa, J.R.; Sims, J.E. The cloning and characterization of human MyD88: A member of an IL-1 receptor related family. FEBS Lett. 1998, 402, 81–84. [Google Scholar] [CrossRef]
- Szebeni, B.; Veres, G.; Dezsofi, A.; Rusai, K.; Vannay, A.; Bokodi, G.; Vásárhelyi, B.; Korponay-Szabó, I.R.; Tulassay, T.; Arató, A. Increased mucosal expression of Toll-like receptor (TLR)2 and TLR4 in coeliac disease. J. Pediatr. Gastroenterol. Nutr. 2007, 45, 187–193. [Google Scholar] [CrossRef]
- Zufferey, C.; Erhart, D.; Saurer, L.; Mueller, C. Production of interferon-gamma by activated T-cell receptor-alphabeta CD8alphabeta intestinal intraepithelial lymphocytes is required and sufficient for disruption of the intestinal barrier integrity. Immunology 2009, 128, 351–359. [Google Scholar] [CrossRef]
- Bethune, M.T.; Siegel, M.; Howles-Banerji, S.; Khosla, C. Interferon-gamma released by gluten-stimulated celiac disease-specific intestinal T cells enhances the transepithelial flux of gluten peptides. J. Pharm. Exp. 2009, 329, 657–668. [Google Scholar] [CrossRef]
- Bethune, M.T.; Siegel, M.; Howles-Banerji, S.; Khosla, C. Mucosal molecular pattern of tissue transglutaminase and interferon gamma in suspected seronegative celiac disease at Marsh 1 and 0 stages. Saudi J. Gastroenterol. 2015, 21, 379–385. [Google Scholar]
- Ianiro, G.; Bibbò, S.; Bruno, G.; Ricci, R.; Arena, V.; Gasbarrini, A.; Cammarota, G. Prior Misdiagnosis of Celiac Disease Is Common Among Patients Referred to a Tertiary Care Center: A Prospective Cohort Study. Clin. Transl. Gastroenterol. 2016, 7, 139. [Google Scholar] [CrossRef] [PubMed]
- Biagi, F.; Bianchi, P.I.; Campanella, J.; Zanellati, G.; Corazza, G.R. The impact of misdiagnosing celiac disease at a referral centre. Can. J. Gastroenterol. 2009, 23, 543–545. [Google Scholar] [CrossRef] [PubMed]
- Leonard, M.M.; Vasagar, B. US perspective on gluten-related diseases. Clin. Exp. Gastroenterol. 2014, 7, 25–37. [Google Scholar] [PubMed]
- Pauls, R.N.; Max, J.B. Symptoms and dietary practices of irritable bowel syndrome patients compared to controls: Results of a USA national survey. Minerva Gastroenterol. Dietol. 2019, 65, 1–10. [Google Scholar] [CrossRef]
- Dionne, J.; Ford, A.C.; Yuan, Y.; Chey, W.D.; Lacy, B.E.; Saito, Y.A.; Quigley, E.M.M.; Moayyedi, P. A Systematic Review and Meta-Analysis Evaluating the Efficacy of a Gluten-Free Diet and a Low FODMAPs Diet in Treating Symptoms of Irritable Bowel Syndrome. Am. J. Gastroenterol. 2018, 113, 1290–1300. [Google Scholar] [CrossRef]
- Niland, B.; Cash, B.D. Health Benefits and Adverse Effects of a Gluten-Free Diet in Non-Celiac Disease Patients. Gastroenterol. Hepatol. 2018, 14, 82–91. [Google Scholar]
- Creed, F. Review article: The incidence and risk factors for irritable bowel syndrome in population-based studies. Aliment. Pharm. 2019, 50, 507–516. [Google Scholar] [CrossRef]
- Farzaneh, N.; Ghobaklou, M.; Moghimi-Dehkordi, B.; Naderi, N.; Fadai, F. Effects of demographic factors, body mass index, alcohol drinking and smoking habits on irritable bowel syndrome: A case control study. Ann. Med. Health Sci. Res. 2013, 3, 391–396. [Google Scholar]
- Nwokediuko, S.C.; Ijoma, U.; Obienu, O. Functional dyspepsia: Subtypes, risk factors, and overlap with irritable bowel syndrome in a population of african patients. Gastroenterol. Res. Pr. 2012, 2012, 562393. [Google Scholar] [CrossRef]
- Fujiwara, Y.; Kubo, M.; Kohata, Y.; Machida, H.; Okazaki, H.; Yamagami, H.; Tanigawa, T.; Watanabe, K.; Watanabe, T.; Tominaga, K.; et al. Cigarette smoking and its association with overlapping gastroesophageal reflux disease, functional dyspepsia, or irritable bowel syndrome. Intern. Med. 2011, 50, 2443–2447. [Google Scholar] [CrossRef]
- Kang, S.H.; Choi, S.W.; Lee, S.J.; Chung, W.; Lee, H.R.; Chung, K.Y.; Lee, E.S.; Moon, H.S.; Kim, S.H.; Sung, J.K.; et al. The effects of lifestyle modification on symptoms and quality of life in patients with irritable bowel syndrome: A prospective observational study. Gut Liver 2011, 5, 472–477. [Google Scholar] [CrossRef] [PubMed][Green Version]
- Cosnes, J.; Carbonnel, F.; Beaugerie, L.; Le Quintrec, Y.; Gendre, J.P. Effects of cigarette smoking on the long-term course of Crohn’s disease. Gastroenterology 1996, 110, 424–431. [Google Scholar] [CrossRef] [PubMed]
- Negovan, A.; Iancu, M.; Moldovan, V.; Sàrkàny, K.; Bataga, S.; Mocan, S.; Țilea, I.; Bănescu, C. The contribution of clinical and pathological predisposing factors to severe gastro-duodenal lesions in patients with long-term low-dose aspirin and proton pump inhibitor therapy. Eur. J. Intern. Med. 2017, 44, 62–66. [Google Scholar] [CrossRef] [PubMed]
- Roth, B.; Gustafsson, R.J.; Jeppsson, B.; Manjer, J.; Ohlsson, B. Smoking-and alcohol habits in relation to the clinical picture of women with microscopic colitis compared to controls. BMC Womens Health 2014, 14, 16. [Google Scholar] [CrossRef] [PubMed]
- Münch, A.; Tysk, C.; Bohr, J.; Madisch, A.; Bonderup, O.K.; Mohrbacher, R.; Mueller, R.; Greinwald, R.; Ström, M.; Miehlke, S. Smoking Status Influences Clinical Outcome in Collagenous Colitis. J. Crohns Colitis 2016, 10, 449–454. [Google Scholar] [CrossRef]




| Molecules | Primers and Probes | 
|---|---|
| Tissue transglutaminase 2 | Primer Forward:ATAAGTTAGCGCCGCTCTCC | 
| Primer Reverse: CGGTGGCTCCTTCCACTG | |
| Probe: GCCAGCCGCCAGTG | |
| Interferon-gamma | Primer Forward: CGCTTTACTTTATAGAAAACCTGGA | 
| Primer Reverse: TCAATGAAGAGAACTTGGTCATTC | |
| Probe: GCTTGAATCTAAA | |
| Toll-like receptor 2 | Primer Forward: CAAGATTCAAAGTATTTA | 
| Primer Reverse: CCAGGTG CATTTAAAGA | |
| Probe: TGCCCCTACTCAATCT | |
| MyD88 | Primer Forward: CAAGGCCTTGTCCCTGC | 
| Primer Reverse: TCTGCCCTGCCTCCT | |
| Probe: AGGCCCTGGGTGTGTGT | 
| Variable | N (%) or Mean ± Standard Deviation | 
|---|---|
| Sex M/F | 8/24 | 
| Age | 36.4 ± 14.1 | 
| Smokers | 5 (15.6%) | 
| IELs count | 38.8 ± 10.8 | 
| ANA | 3 (9.4%) | 
| AGA | 2 (6.3%) | 
| First-degree familiarity for celiac disease | 1 (3.1%) | 
| HLA DQ2/8 | 14 (43.8%) | 
| Autoimmune thyroiditis | 6 (18.8%) | 
| Iron deficiency | 6 (18.8%) | 
| Vitamin B12 deficiency | 2 (6.3%) | 
| Folate deficiency | 9 (28.1%) | 
| Weight loss | 5 (15.6%) | 
| Bloating | 15 (50%) | 
| Diarrhea | 24 (75.0%) | 
| Weakness | 3 (9.4%) | 
| Abdominal pain | 32 (100%) | 
| Anxiety | 1 (3.1%) | 
| Neutrophilic leukocytosis | 2 (6.3%) | 
| High CRP | 2 (6.3%) | 
| Hyper-ferritinemia | 0 (0%) | 
| Variable | IBS with DL (n = 32) | IBS without DL (n = 15) | p | 
|---|---|---|---|
| Sex M/F | 8/24 | 3/12 | 1 | 
| Age | 36.4 ± 14.1 | 37.4 ± 15.9 | 0.83 | 
| Smokers | 5 (15.6%) | 2 (13.3%) | 1 | 
| IELs count | 38.8 ± 10.8 | 13.8 ± 8.6 | <0.001 | 
| ANA | 3 (9.4%) | 2 (13.3%) | 0.65 | 
| AGA | 2 (6.3%) | 1 (6.6%) | 1 | 
| First-degree familiarity for celiac disease | 1 (3.1%) | 0 (0%) | 0.51 | 
| HLA DQ2/8 | 14 (43.8%) | 5 (33.3%) | 0.54 | 
| Autoimmune thyroiditis | 6 (18.8%) | 2 (13.3%) | 1 | 
| Iron deficiency | 6 (18.8%) | 3 (20%) | 1 | 
| Vitamin B12 deficiency | 2 (6.3%) | 0 (0%) | 0.83 | 
| Folate deficiency | 9 (28.1%) | 4 (26.6%) | 1 | 
| Weight loss | 5 (15.6%) | 3 (20%) | 0.69 | 
| Bloating | 15 (50%) | 8 (53.3%) | 0.76 | 
| Diarrhea | 24 (75.0%) | 9 (60.0%) | 0.32 | 
| Weakness | 3 (9.4%) | 2 (13.3%) | 0.65 | 
| Abdominal pain | 32 (100%) | 15 (100%) | 1 | 
| Anxiety | 1 (3.1%) | 1 (6.6%) | 0.54 | 
| Neutrophilic leukocytosis | 2 (6.3%) | 0 (0%) | 0.83 | 
| High CRP | 2 (6.3%) | 0 (0%) | 0.83 | 
| Hyper-ferritinemia | 0 (0%) | 0 (0%) | 1 | 
| IBS with DL (n = 32) | IBS without DL (n = 15) | p | |
|---|---|---|---|
| Tissue transglutaminase 2 | 4.1 ± 1.8 | 1.1 ± 0.2 | <0.001 | 
| Interferon gamma | 3.7 ± 2.5 | 1.1 ± 0.3 | <0.001 | 
| Toll-like receptor 2 | 4.1 ± 2.4 | 1.0 ± 0.1 | <0.001 | 
| MyD88 | 5.0 ± 2.5 | 1.2 ± 0.4 | <0.001 | 
| Publisher’s Note: MDPI stays neutral with regard to jurisdictional claims in published maps and institutional affiliations. | 
© 2020 by the authors. Licensee MDPI, Basel, Switzerland. This article is an open access article distributed under the terms and conditions of the Creative Commons Attribution (CC BY) license (http://creativecommons.org/licenses/by/4.0/).
Share and Cite
Losurdo, G.; Todeschini, A.; Giorgio, F.; Piscitelli, D.; Giangaspero, A.; Ierardi, E.; Di Leo, A. Human Leukocyte Antigen (HLA) Haplotype Does Not Influence the Inflammatory Pattern of Duodenal Lymphocytosis Linked to Irritable Bowel Syndrome. Medicina 2020, 56, 660. https://doi.org/10.3390/medicina56120660
Losurdo G, Todeschini A, Giorgio F, Piscitelli D, Giangaspero A, Ierardi E, Di Leo A. Human Leukocyte Antigen (HLA) Haplotype Does Not Influence the Inflammatory Pattern of Duodenal Lymphocytosis Linked to Irritable Bowel Syndrome. Medicina. 2020; 56(12):660. https://doi.org/10.3390/medicina56120660
Chicago/Turabian StyleLosurdo, Giuseppe, Alessia Todeschini, Floriana Giorgio, Domenico Piscitelli, Antonio Giangaspero, Enzo Ierardi, and Alfredo Di Leo. 2020. "Human Leukocyte Antigen (HLA) Haplotype Does Not Influence the Inflammatory Pattern of Duodenal Lymphocytosis Linked to Irritable Bowel Syndrome" Medicina 56, no. 12: 660. https://doi.org/10.3390/medicina56120660
APA StyleLosurdo, G., Todeschini, A., Giorgio, F., Piscitelli, D., Giangaspero, A., Ierardi, E., & Di Leo, A. (2020). Human Leukocyte Antigen (HLA) Haplotype Does Not Influence the Inflammatory Pattern of Duodenal Lymphocytosis Linked to Irritable Bowel Syndrome. Medicina, 56(12), 660. https://doi.org/10.3390/medicina56120660
 
        


 
       